SciELO - Scientific Electronic Library Online

 
vol.43 número5Evaluación de dos generaciones de híbridos y progenitores de sorgo tolerantes al frío. I: variabilidad genética y adaptabilidadEtiología y manejo de la mancha de asfalto (Phyllachora maydis Maubl.) del maíz en Guerrero, México índice de autoresíndice de materiabúsqueda de artículos
Home Pagelista alfabética de revistas  

Servicios Personalizados

Revista

Articulo

Indicadores

Links relacionados

  • No hay artículos similaresSimilares en SciELO

Compartir


Agrociencia

versión On-line ISSN 2521-9766versión impresa ISSN 1405-3195

Agrociencia vol.43 no.5 Texcoco jul./ago. 2009

 

Maquinaria agrícola

 

Estimación analítica de las variables de funcionamiento óptimas de un distribuidor centrífugo de fertilizante, usando el método del gradiente sobre múltiples semillas

 

Analytical estimation of optimal operation variables of a centrifugal fertilizer distributor, using the gradient method on multiple seeds

 

Jaime Gómez–Gil1*, Alfonso de–Lózar–Escudero1, L. Manuel Navas–Gracia2 y Gonzalo Ruiz–Ruiz2

 

1 Departamento de Teoría de la Señal, Comunicaciones e Ingeniería Telemática. E.T.S. Ing. de Telecomunicación. Universidad de Valladolid. *Autor responsable: (jgomez@tel.uva.es).

2 Departamento de Ingeniería Agrícola y Forestal. E.T.S. de Ingenierías Agrarias Universidad de Valladolid.

 

Recibido: Agosto, 2008.
Aprobado: Marzo, 2009

 

Resumen

El ajuste óptimo de las variables de funcionamiento de una abonadora con distribuidores centrífugos para obtener un buen coeficiente de variación, es fundamental para una distribución uniforme del fertilizante en el terreno. En este artículo se presenta una aplicación informática para predecir analíticamente el perfil de distribución y el coeficiente de variación de abonadoras agrícolas con distribuidores centrífugos de disco. Esta aplicación además calcula, mediante el método del gradiente sobre múltiples semillas, los valores de las variables de ajuste de la abonadora que ofrecen un mejor coeficiente de variación. Con estos parámetros óptimos de las variables de ajuste de la abonadora se obtienen unos resultados de coeficiente de variación similares a los de las marcas más prestigiosas de equipos de abonado. Se muestra un caso particular con discos pequeños y moderada velocidad de giro con el que se consigue un ancho de trabajo de 22 m, similar a los obtenidos con equipos de abonado que tienen estos distribuidores. El uso de esta aplicación informática en una estación de ensayo de abonadoras permite un ajuste del equipo de abonado, reduciendo el número de ensayos experimentales requeridos. Esto se debe a que se realiza inicialmente una búsqueda de los parámetros óptimos mediante la aplicación desarrollada, y luego un ajuste fino de estos parámetros mediante ensayos experimentales.

Palabras clave: Perfil de distribución, coeficiente de variación, método del gradiente, simulador, optimizador.

 

Abstract

The optimal adjustment of operation variables of a fertilizer machine with centrifugal distributors for obtaining a good variation coefficient is essential for uniform fertilizer distribution on farmland. This article presents a computerized application in order to predict analytically the distribution profile and the variation coefficient of agricultural fertilizer machines with centrifugal disk distributors. Furthermore, this application calculates the values of fertilizer adjustment variables, which offer a better variation coefficient, using the gradient method on multiple seeds. With these optimal parameters of fertilizer adjustment variables, variation coefficient results are obtained, similar to those of the most prestigious trademarks of fertilizing equipment. A particular case is shown with small disks and moderate turn speed with which a work width of 22 m is achieved, similar to the ones obtained with the fertilizing equipment of these distributors. The use of this computerized application in a fertilizer machine test station allows an adjustment of the fertilizing equipment, reducing the number of required experimental trials. This is due to the fact that initially a search for the optimal parameters through developed application has been carried out and then, a fine adjustment of these parameters by means of experimental tests.

Key words: Distribution profile, variation coefficient, gradient method, simulator, optimizer.

 

INTRODUCCIÓN

El abonado es una de las tareas más importantes que debe realizar el agricultor para aumentar el rendimiento y calidad de los cultivos. Desde un punto de vista agronómico, económico y ambiental es muy importante una adecuada distribución de fertilizante en el terreno, ya que una dosis menor conlleva escasez de nutrientes, y una mayor, problemas ambientales asi como un crecimiento inadecuado de la planta (Tissot et al., 2002). En ambos casos, el agricultor obtendrá menores beneficios.

Este abonado se realiza habitualmente con abonos químicos en forma de pequeñas partículas o gránulos de fertilizante, y se esparcen con máquinas abonadoras. Los distribuidores de estas máquinas son de diferentes tipos; los más habituales son los centrífugos de dos discos.

Un abonado homogéneo en toda la parcela requiere que el equipo presente un patrón de distribución adecuado durante la distribución de fertilizante. Además, el coeficiente de variación (CV) de la distancia entre pasadas a la que abona el agricultor debe ser pequeño, para una mayor uniformidad en la distribución del fertilizante. El estudio del patrón de distribución casi siempre se hace experimentalmente en estaciones de ensayo, principalmente por los fabricantes de los equipos. Para suplir el uso de las estaciones de ensayo, Grift y Hofstee (2002) y Swisher et al. (2002) desarrollaron un método para determinar el patrón de distribución mediante un sensor que podía medir el diámetro y velocidad de las partículas que salían del disco distribuidor.

Se han realizado estudios analíticos del comportamiento del fertilizante en el aparato distribuidor (Olieslagers et al., 1995; Dintwa et al., 2004a; Villette et al., 2005). Con base en dichos estudios, en el presente trabajo se desarrolló una aplicación informática que modela el comportamiento de un distribuidor centrífugo, y puede buscar los parámetros del distribuidor que consigan un mejor CV. Esta búsqueda de los parámetros óptimos se realiza mediante el método del gradiente aplicado sobre múltiples semillas. Primero se presentan las ecuaciones, obtenidas de literatura científica, que modelan el comportamiento del fertilizante dentro y fuera del distribuidor centrífugo. Luego se detalla el método para la búsqueda de los parámetros óptimos de funcionamiento del distribuidor centrífugo. Finalmente se presentan los resultados obtenidos con la herramienta en un distribuidor centrífugo, resultados acordes a los de los equipos de abonado con distribuidores centrífugos de esas características.

 

MATERIALES Y MÉTODOS

La aplicación de simulación

Se usó el software de desarrollo Labview 7.1 de National Instruments para desarrollar una aplicación informática que simula el movimiento de las partículas de fertilizante en una abonadora centrífuga. Este movimiento comprende desde cuando los gránulos caen de la tolva al disco distribuidor, hasta su posición final en el suelo. A partir de la posición del abono en el suelo se halla el perfil de distribución y el CV obtenido con la abonadora. Las características de la abonadora (radio de los discos, velocidad de giro de los discos, etc.) y la granulometría del abono deben ser definidas por el usuario del programa.

A continuación se indican las ecuaciones en que se basa el simulador. Los cálculos que realiza el programa en cada simulación pueden dividirse en tres etapas.

Etapa 1. Movimiento de las partículas dentro del disco distribuidor.

Esta etapa comprende desde cuando las partículas caen de la tolva al disco distribuidor por el orificio de alimentación, hasta que abandonan el disco por su borde. Se supone que las aspas sobre el disco recogen los gránulos de abono y estos gránulos, por el efecto centrífugo, se deslizan por las aspas hasta llegar al borde del disco. En este estudio se supone que las aspas son rectas.

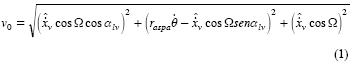
El análisis matemático para calcular la trayectoria de los gránulos en el disco distribuidor se basa en el trabajo de Villette et al. (2005). En esta etapa hay que obtener la velocidad absoluta de salida de los gránulos v0, el ángulo θout de salida de las partículas, y el ángulo recorrido Φu por las mismas mientras estaban en el disco.

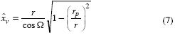
La velocidad de salida v0 de los gránulos por el borde del disco está dada por la ecuación:

donde, Ω es el ángulo de inclinación del disco con respecto a un plano horizontal; αlv el ángulo de inclinación del aspa con respecto al radio de la circunferencia que constituye el disco; la velocidad de giro de los discos (Figura 1).

La velocidad del gránulo a lo largo del aspa se define con la ecuación:

donde, xv0 es la posición inicial de la partícula en el aspa; μ el coeficiente de rozamiento del gránulo con el disco y el aspa; t el tiempo que tarda el gránulo en salir del disco.

La constante K y el coeficiente δ están dados por:

Para calcular el tiempo t que tarda la partícula en abandonar el disco centrífugo se usa la ecuación (5) que presenta la posición de la partícula respecto del aspa:

Sustituyendo por lvane en (5), se obtiene el tiempo que permanece el gránulo en el disco. Las ecuaciones (2) y (5) se pueden combinar para obtener:

La relación entre el radio de la posición del gránulo en el disco r, y la posición de la partícula respecto del aspa están dadas por la ecuación:

El ángulo de salida de la partícula θout se calcula con la ecuación:

Finalmente, Φu, el ángulo recorrido por el disco desde que el aspa recoge a la partícula hasta que ésta sale del disco, se halla con la ecuación:

Etapa 2. Movimiento de la partícula por el aire y posición final en el suelo.

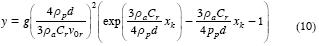
Esta etapa comprende desde que el gránulo de abono abandona el disco por su borde hasta que cae al suelo (Figura 2). Puede calcularse de forma aproximada la trayectoria que describe la partícula de fertilizante en el aire, empleando la siguiente aproximación (Timoshenko y Young, 1948):

donde, y es la altura a de la partícula de fertilizante a lo largo de la trayectoria; xk la distancia horizontal desde el punto de abandono del disco y la posición final del gránulo en el suelo; g, ρa, Cr, ρd y ρp son constantes definidas en el Apéndice 1. La velocidad inicial de la partícula en el aire, v0r, se define con:

donde, Vm es la velocidad del tractor; Φ0 el ángulo inicial del gránulo tomando como referencia 0° la dirección de avance del tractor; Φu el ángulo recorrido por el ángulo recorrido por el disco desde que el aspa recoge a la partícula hasta que ésta sale del disco; Φout es el ángulo entre el vector velocidad y el vector radio en el extremo del disco.

Las coordenadas cartesianas de la posición final del gránulo en el suelo, xtot y ztot, se obtienen mediante trigonometría:

Con el signo para los discos izquierdo (–) o derecho (+); Ad es la distancia entre los centros de los discos; xf y zf son las coordenadas de la posición de la partícula cuando abandona el disco. Dentro de estas ecuaciones, x1 y z1 se definen con:

con ± para cada sentido de giro en el de las agujas del reloj (+) o en el contrario (–).

Etapa 3. Obtención de coeficientes.

El perfil de distribución de una abonadora es la masa de fertilizante que hay en una franja perpendicular a su trayectoria. Para obtener este perfil el programa divide el eje horizontal en intervalos de 1 m y determina la masa total de abono en cada intervalo; con esas masas construye una gráfica obteniendo el perfil de distribución.

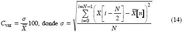
El CV de la densidad de fertilizante en el terreno, denominado simplemente como CV en el ámbito de la distribución de fertilizante, se obtiene con el perfil de distribución, y mide la uniformidad en la distribución de fertilizante para cada valor de separación entre pasadas; esta uniformidad es mayor cuanto menor es este coeficiente. En su cálculo para cada posible distancia entre pasadas, el programa superpone el perfil de distribución y determina la varianza del perfil de distribución combinado. Se calcula el CV para esa distancia con las fórmulas:

donde, N es el ancho de trabajo de la abonadora; X[i] la masa de partículas que hay en cada metro una vez realizadas todas las pasadas; X [n] la masa de partículas por metro del perfil combinado.

La aplicación de optimización

Las mejores variables de la abonadora se buscan mediante varias simulaciones donde se modifican los valores de las variables que se optimizarán. Los valores iniciales de dichas variables se denominan semillas. La aplicación desarrollada puede realizar una simulación y lanzar nuevas simulaciones con nuevos parámetros obtenidos en función de los datos provenientes de simulaciones anteriores. El usuario debe indicar al programa las variables para optimizar, su intervalo de variación, y el criterio de optimización, ya que se pueden optimizar de una a varias variables. Los parámetros de las nuevas optimizaciones se buscan con el método del gradiente y los siguientes pasos:

1) Se genera aleatoriamente un valor inicial para cada variable que se optimizará. Se denomina semilla al conjunto de estos valores.

2) Se modifican ligeramente los valores de las variables de la semilla inicial sumando y restando unos pasos, y se obtiene un grupo formado por el conjunto de valores de la semilla, así como los conjuntos de valores próximos a la semilla.

3) Se calculan con el simulador los CV correspondientes a cada conjunto de valores.

4) Con el criterio de optimización se comparan los coeficientes para encontrar el conjunto de valores con el mejor CV, de acuerdo con el criterio de optimización fijado.

5) El proceso se repetirá partiendo de esos nuevos valores.

El programa continúa ejecutándose hasta un momento donde todas las modificaciones con pequeños aumentos de las variables a optimizar, producen un peor CV; así habrá un máximo local del CV. Dado que el proceso se repite con nuevas semillas, es muy alta la probabilidad de obtener el mejor CV o CV óptimo.

Los criterios de optimización sirven para definir cómo elegir al mejor CV, junto con un límite de optimización elegido por el usuario. La aplicación busca en cada CV la máxima distancia entre pasadas que cumple el criterio y puede encontrar:

1) El último valor del CV que sea inferior al límite de optimización.

2) El primer valor del CV que sea superior al límite de optimización.

3) El último grupo de cinco valores consecutivos del CV que sean inferiores al límite de optimización.

4) El primer grupo de cinco valores consecutivos del CV con un elemento superior al límite de optimización.

Un problema del optimizador es que sólo encuentra máximos locales debido a que la aplicación informática busca el mejor CV comparando valores próximos entre sí, y por tanto los máximos que encontrará serán máximos locales. En la Figura 3 se muestra que hay máximos locales en una optimización donde se varían únicamente dos variables: el ángulo de las aspas y la velocidad angular a la que giran los discos.

La solución a este problema es realizar varias búsquedas con muchas semillas para aumentar la probabilidad de encontrar un máximo absoluto. Realizar búsquedas con varias semillas, aunque sin una certeza absoluta de llegar al máximo absoluto, aumenta considerablemente la probabilidad de llegar a éste, o se llegará a un máximo local con un buen CV.

 

RESULTADOS Y DISCUSIÓN

Planteamiento

Un ensayo realizado con la aplicación informática consistió en optimizar un equipo de abonado con características similares a modelos de bajo coste que están en el mercado y con discos pequeños y revoluciones de giro bajas–medias. El modelo a optimizar posee las siguientes características:

1) La abonadora posee dos discos distribuidores con centros separados 0.7 m.

2) El radio de cada disco es 0.3 m.

3) La velocidad de rotación de los discos es 26.67 p rad·s–1 (800 rpm).

4) El ángulo que forman los discos con la horizontal W es 0.0873 rad.

5) Los discos están a una altura de 1.5 m respecto al punto de salida de la partícula en el disco.

6) La velocidad de avance del tractor es 3 m·s–1.

El fertilizante usado en la simulación fue Kemira CAN 27 % N, que según Dintwa et al. (2004b), tiene densidad global ρb=1035 kg·m–3, densidad de la partícula 1800 kg·m–3, y coeficiente de fricción con el plato de acero de μ=0.3.

Las partículas poseen forma esférica y su coeficiente de resistencia al aire es Cr=0.44 (Mennel y Reece, 1963). El tamaño de los cedazos usados para hallar la granulometría de las partículas fue 1, 1.4, 2, 2.4, 2.8, 3.4, 4 y 5.6 mm; el porcentaje de la masa de partículas en cada cedazo fue 0, 0, 0.1, 2.4, 12.7, 38.8, 35.6, 10.4 y 0. Ninguna partícula atravesó los dos últimos cedazos, y ninguna se quedó sobre el cedazo con la malla más gruesa.

El orificio de alimentación tiene forma rectangular, el tractor con la abonadora se mueve a una velocidad de 2.78 m·s–1 y la densidad del aire es 1.2 kg·m–3.

Las variables optimizadas en este estudio son las cuatro que definen el orificio de alimentación: abcisa y ordenada del centro de la apertura (xcentro e ycentro); y la longitud de los lados horizontales y verticales de la abertura (xlado e ylado). También se optimiza el ángulo de las aspas.

El criterio de optimización en este estudio es el tercero de los que posee la aplicación, es decir, el programa buscará el último grupo de cinco valores consecutivos del CV menores al límite de optimización. El límite de optimización se fijó en 12 %, por ser un valor admisible para el CV en aplicaciones agrícolas de fertilización.

 

RESULTADOS

En el Cuadro 1 se muestran los resultados obtenidos después de una serie de optimizaciones con la aplicación desarrollada. El mejor resultado se muestra en la primera fila del Cuadro 1 por cumplir el criterio de optimización a una distancia entre pasadas de 22 m, mientras que el resto lo cumplen sólo para distancias entre pasadas de 20 m.

Para esta anchura de 22 m, algunas de las gráficas que calcula el simulador se muestran en las Figuras 4, 5, 6 y 7. En la Figura 4 se muestra la trayectoria calculada en 150 gránulos de fertilizante que caen en el disco distribuidor. En la Figura 5 se muestra la distribución sobre el terreno de las partículas de fertilizante, cuando la máquina abonadora no se desplaza.

El perfil de distribución del equipo de abonado se muestra en la Figura 6, y el CV de la distribución en ida y vuelta en la Figura 7.

 

CONCLUSIONES

Los valores óptimos de las variables de funcionamiento obtenidos analíticamente tienen CV similares a los de marcas conocidas de equipos de abonado. Los modelos SULKY DX Prisma, AMAZONE ZA–X, o KUHN AXIS tienen características de disco similares en tamaño y velocidad de rotación, y permite anchos máximos de trabajo de 24, 18, y 28 m.

Obtener experimentalmente estos resultados en una estación de ensayo es una tarea que exige mucho trabajo y recursos, mientras que con la aplicación desarrollada se obtiene resultados rápidamente. La misión de la estación de ensayo sería ajustar finamente los parámetros obtenidos con esta aplicación.

 

LITERATURA CITADA

Dintwa, E., P. Van Liedekerke, R. Olieslagers, E. Tijkens, and H. Ramon. 2004a. Model for simulation of particle flow on a centrifugal fertiliser spreader. Biosystems Eng. 87(4): 407–415.        [ Links ]

Dintwa, E., E. Tijskens, R. Olieslagers, J. De Beardemaeker, and H. Ramon. 2004b. Calibration of a spinning disc spreader simulation model for accurate site–specific fertiliser application. Biosystems Eng. 88(1): 49–62.        [ Links ]

Mennel, R. M., and A. R. Reece. 1963. The theory of the centrifugal distributor III: particle trajectories. J. Agric. Eng. Res. 8(1): 78–84.        [ Links ]

Olieslagers, R., H. Ramón, and J. de Baeremaeker. 1996. Calculation of fertilizar distribution patterns from a spinning disc spreader by means of a simulation model. J. Agric. Eng. Res. 63: 137–152.        [ Links ]

Grift, T.E., and J. W. Hofstee. 2002. Testing an online spread pattern determination sensor on a broadcast fertilizer spreader. T. of the Asabe 45(3): 561–567.        [ Links ]

Swisher, D.W., S. C. Borgelt, and K. A. Sudduth. 2002. Optical sensor for granular fertilizer flow rate measurement. T. of the Asabe 45(4): 881–888.        [ Links ]

Tissot, S., O. Miserque, O. Mostade, B. Huyghebaert, and J. P. Destain. 2002. Uniformity of N–fertilizer spreading and risk of ground water contamination. Irrig. and Drainage 51(1): 17–24.        [ Links ]

Timoshenko, S., and D.H. Young. 1984. Advanced Dynamics. McGraw–Hill Book Co., Inc. New York, NY. 400 p.        [ Links ]

Villette, S., F. Cointault, E. Pirón, and B. Chopinet. 2005. Centrifugal spreading: an analytical model for the motion of fertiliser particles on a spinning disc. Biosystems Eng. 92(2): 157–164. Enesad, UMR Cemagref–Enesad, Dsi–Lgap, Bp 87999, 21079 Dijon Cedex, France.        [ Links ]

Creative Commons License Todo el contenido de esta revista, excepto dónde está identificado, está bajo una Licencia Creative Commons