SciELO - Scientific Electronic Library Online

 
vol.43 número4Determinación del origen de la contaminación microbiológica del agua subterránea en una cuenca rural en Chile índice de autoresíndice de materiabúsqueda de artículos
Home Pagelista alfabética de revistas  

Servicios Personalizados

Revista

Articulo

Indicadores

Links relacionados

  • No hay artículos similaresSimilares en SciELO

Compartir


Agrociencia

versión On-line ISSN 2521-9766versión impresa ISSN 1405-3195

Agrociencia vol.43 no.4 Texcoco may./jun. 2009

 

Socioeconomía

 

Formación de precios de alimentos y el efecto de la información: los casos de México y Estados Unidos de Norteamérica

 

Food prices buildup and the information effect: the México and the United States of America cases

 

Ileana E. Siller–Bedoya, Miguel Á. Martínez–Damián* , José de J. Brambila–Paz, José S. Mora–Flores

 

Economía, Campus Montecillo, Colegio Postgraduados. 56230. Carretera México–Texcoco, Km. 36.5 Montecillo, Estado de México. *Autor responsable: (angel01@colpos.mx); (ileanasiller@hotmail.com); (saturmf@colpos.mx); (jbrambilaa@colpos.mx).

 

Recibido: Enero, 2008.
Aprobado: Marzo, 2009.

 

Resumen

Para los productores, comercializadores y consumidores de productos agroalimentarios, la información es un aspecto relevante para la toma de decisiones en cuanto a producción, distribución y consumo así como un elemento esencial en la formación de los precios. El objetivo de este trabajo fue medir el efecto de la información en la formación y comportamiento de los precios al consumidor de la carne de res, carne de cerdo, carne de pollo, huevo y leche. hubo una mayor variabilidad de precios en México que en EE.UU. para el periodo 1986–2005. Después de calcular cinco ecuaciones precio de los productos mencionados se estimaron sus residuales para analizar la falta de información. El análisis temporal de los residuales de EE.UU. mostró un comportamiento más disperso que en el caso de México; esto indica que en el mercado mexicano de alimentos la necesidad de información es menor y los precios son más inestables.

Palabras clave: Información, mercado alimentario, volatilidad de precios.

 

Abstract

For producers, commercializers and consumers of agroalimentary products, information is an outstanding aspect for decision–making concerning production, distribution and consumption, as well as an essential element in prices buildup. The aim of this paper was to measure the effect of information over the buildup and behavior consumer prices for beef, pork, chicken, eggs and milk. In México, prices showed a higher variability than in the USA during 1986–2005. After the estimate of five price equations of the mentioned products, their residuals were estimated in order to analyze the lack of information. Temporary analysis showed that the behavior of USA residuals was more disperse than in the case of México; this suggests that in mexican food market the need of information is lower and prices are more instable.

Key words: Information, food market, price volatility.

 

INTRODUCCIÓN

Desde 1990 las tendencias en la producción de alimentos para el consumo humano empiezan a definirse con precisión. La conveniencia, la funcionalidad, la inocuidad y las características organolépticas toman mayor relevancia en la comercialización de cualquier producto alimenticio.

Actualmente se han vuelto más importantes para el consumidor las características de precio, calidad, forma y tiempo en los alimentos, debido a que ahora existen distintos sectores de consumidores: mujeres trabajadoras, hombres solos, niños sin papás por las tardes, ancianos, etc., quienes exigen que los productos que consumen cumplan diversas funciones (ahorro de tiempo, esfuerzo, y un precio conveniente) (Brambila, 2006).

El consumidor actualmente tiene más información y educación que antes, más y mejores opciones de productos para la compra, vive más tiempo, y sus enfermedades son distintas a las de antaño. La estructura familiar y la composición étnica de los consumidores han cambiado; poseen gustos más globalizados, y al mismo tiempo preferencias más específicas; en general, son más exigentes (Silbermann 2005).

El consumidor mexicano posee características distintas al consumidor estadounidense. La demanda por productos del primero se mueve principalmente por precios e ingreso, y en menor proporción también por calidad. El consumidor estadounidense no basa su decisión de compra sólo en el precio, sino que también basado en factores como conveniencia, funcionalidad del producto, calidad, inocuidad, etc.

Debido a las características del consumidor actual, la información se ha vuelto más importante en la toma de decisiones de toda la cadena productiva. La información debe tomar el sentido más amplio del concepto de comunicación; no lanzar información en una sola dirección (del productor al consumidor), sino enviar señales en ambos sentidos de la cadena de abasto (consumidor–productor–consumidor), para que las decisiones del productor sobre el producto satisfagan las necesidades de los consumidores.

El problema de una información incompleta o asimétrica en los mercados es un elemento que puede distorsionar la operación eficiente de los mercados Molho (1997), Tomek y Robinson (1990). Así, la desinformación en los agentes involucrados en una transacción causa pérdidas en la eficiencia y por ende pérdida de bienestar. La falta de información en un mercado no puede ser medida directamente (Molho, 1997); por ello resulta necesario tomar una variable cuantitativa que refleje el efecto de tal asimetría en los mercados, tal como el precio.

Los precios de un producto reflejan el número de compradores y vendedores, su distribución, el grado de diferenciación del producto y su calidad, y el hecho de entrada o no de nuevas marcas a la industria. Además, su movilidad es imputable a diversas variables económicas, como población, ingreso, precio de insumos, y a diversas variables macroeconómicas; asimismo, a variables cualitativas como gustos y preferencias o como la información. Los precios son informativos cuando se desconoce otros aspectos de los productos (Laffont, 1989).

Planteamiento del problema

De 1980 a 2004, el consumo de alimentos en México ha aumentado poco más del 100 %, mientras que en EE.UU. se ha elevado cerca de 200 % para el mismo periodo (Cook, 2005). Asimismo, el precio de los productos agroalimentarios a nivel mundial ha crecido rápidamente, 10 % en los últimos 20 años (Foro Global Agroalimentario, 2005).

En México, los precios de los productos agroalimentarios se forman con base en la información contenida sólo en algunas variables como: ingreso, población, precio de insumos, precios rezagados. En EE.UU. intervienen además otras como precios internacionales, inocuidad, calidad, naturalidad, y por casi todos los factores que entran en juego en el mercado en un momento determinado.

Un problema actual del sector agroalimentario mexicano es que los agentes económicos (productores, acopiadores, comerciantes, consumidores) no pueden tomar decisiones acertadas, debido a la falta de información eficiente y confiable sobre el mercado de alimentos. Por tanto, en la oferta se presenta escasez o sobreproducción, ocasionando una variación en los precios que desestabiliza la estructura de producción, así como el comportamiento de la demanda.

En los productos agroalimentarios estudiados, la diferencia entre el comportamiento de los productos mexicanos y estadounidenses revela una mayor variación o volatilidad de precios en los productos mexicanos. Al considerar carne de cerdo, carne de res, carne de pollo, leche y huevo, el resultado gráfico es similar en el periodo de observación 1986–2005 (Figura 1). Asimismo, las varianzas, desviaciones estándar y coeficientes de variación revelan mayor inestabilidad de los precios de los productos en México, con relación a los de EE.UU. (Cuadro 1).

Esta mayor dispersión de los precios es atribuible a la falta de información. Por tanto, ofrecer al productor información confiable y en tiempo, resulta de gran valor para tomar decisiones en el sector agroalimentario, las cuales podrían contribuir al desarrollo del mercado nacional de alimentos. Asimismo, brindar al consumidor información suficiente y eficaz puede asegurar una demanda constante y llegar a ser un mecanismo estabilizador de los precios. Así, el estudio del movimiento de los precios en los dos países permite comparar la información de cada mercado.

El objetivo de esta investigación fue medir la falta de información en el mercado de alimentos en México, en contraste con la del mercado estadounidense. La hipótesis fue que debido a la falta de información en el mercado agroalimentario mexicano, los precios estudiados son más volátiles que los del mercado de EE.UU.

 

MATERIALES Y MÉTODOS

Para determinar el efecto de la falta de información en los mercados agroalimentarios mexicanos, en comparación con los mercados estadounidenses, se construyeron cinco ecuaciones precio para los productos: leche, huevo, carne de res, carne de pollo y carne de cerdo. El propósito fue encontrar sus residuales, mismos que permitirían cuantificar la falta de información en el mercado de alimentos en México y en EE.UU.

Los residuales de las ecuaciones precio se compararon entre ambos países para establecer su comportamiento en el tiempo; la diferencia entre ellos permitió estimar el nivel de información que maneja cada país. Dichas ecuaciones precio involucran las principales variables económicas que determinan los precios población, ingreso y costos (el conjunto información), así como su evolución en los últimos años.

Para estimar los parámetros de las ecuaciones se utilizaron datos mensuales, tanto de México como de EE.UU., para el periodo 1986–2005. Se usaron los índices reales de precios al consumidor de cada producto y de cada variable, con el fin de tener un número suficiente de observaciones. Dichos índices fueron convertidos a logaritmos naturales para estabilizar las varianzas. La amplitud del periodo reconoce precisión en el comportamiento de las variables endógenas de las ecuaciones precio, lo que permitió medir a través de sus residuales, el efecto de la falta de información en el mercado de los productos alimenticios mencionados.

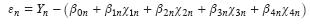
En la construcción de las ecuaciones precio, se utilizó un modelo de regresión lineal:

donde, Yn = Ln del índice real de precios al consumidor del producto específico (huevo, leche, carne de res, de pollo, de cerdo); χ1n=Ln del índice real de precios al consumidor de transporte y almacenaje; χ2n=Ln del índice real de precios al consumidor de alimentos para animales; χ3n=Ln del índice real del ingreso disponible percápita; χ4n=Ln del índice real de precios al consumidor del producto específico con un periodo de rezago; εn=residual de la ecuación precio del producto específico, equivalente al factor falta de información.

En las ecuaciones precio se hicieron los siguientes análisis: 1) el comportamiento del residual en el tiempo y se contrastó con el de EE.UU.; 2) se determinó la relación del residual con su rezago y se comparó con el de EE.UU.; y 3) se comparo la curtosis (concentración) de los residuales obtenidos. Tales pruebas ayudaron a determinar la incidencia que las variables formadoras del precio tienen en el comportamiento de su índice, y la función de la información en cada mercado.

Para obtener los residuales de las ecuaciones precio se utilizó la ecuación:

Donde el residual se entiende como la diferencia entre el valor observado y el valor esperado, por tanto, conteniendo un estimador de lo que no fue esperado dada la información observada. En esta comparación se restringe la información al mismo conjunto de variables en cada país.

Al obtener el valor numérico de los residuales para cada observación, tales datos se graficaron en el tiempo para observar su comportamiento en el periodo de estudio, y poder compararlos con sus similares en EE.UU.

Para obtener la dependencia del residual ante su rezago, se utilizó la proyección:

donde, εn=residual en el tiempo t; εn–1 = residual en el periodo rezagado, en t— 1.

Con esta proyección, se analizó el comportamiento del valor numérico de los residuales con relación a los residuales del periodo anterior para establecer su dependencia con el pasado.

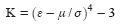
Asimismo, se calculó el coeficiente de curtosis de los residuales para obtener el grado de concentración con la siguiente fórmula:

donde, ε =residuales obtenidos de las ecuaciones precio; µ = media de la muestra de los residuales; σ =desviación estándar de la muestra de los residuales.

 

RESULTADOS Y DISCUSIÓN

El ajuste de las regresiones de las ecuaciones precio analizadas resultó significativo para ambos países, de acuerdo con los valores de R2 por producto (Cuadro 2). Para los datos de México R2 varió de 0.77 a 0.98 y para los datos americanos de 0.31 a 0.97.

Los coeficientes de determinación para México presentan mayor ajuste (más cercanos a la unidad); esto es, las variables explicativas (xn) contribuyen más a explicar la variable dependiente (yn), en este caso la formación del precio. El mejor ajuste de las ecuaciones precio para México, indica que las variables explicativas —precios al consumidor de transporte y almacenaje, precios de los alimentos balanceados, ingreso disponible percápita y precios rezagados—, explican mejor la formación de los precios para los productos considerados. El menor ajuste de dichas ecuaciones para EE.UU. refleja que otros factores probablemente afectarían dichos precios: inocuidad, precios internacionales, funcionalidad, etc., y no fueron incluidos en la formación de dichos precios. Así pues, la limitada información para el caso de México, es suficiente para los agentes económicos en la toma de decisiones referentes a huevo, leche, carne de res, carne de pollo y carne de cerdo.

El planteamiento anterior se refuerza con el análisis de las diferencias en el comportamiento de los residuales en las ecuaciones estimadas a través del tiempo. Así, los residuales en EE.UU. son más dispersos que en el caso de México (Figuras 2 y 3); esto indica que otras variables se deben considerar para la toma de decisiones y no sólo las incluidas en esta estimación. Lo anterior lleva a pensar que los consumidores estadounidenses son un público que requiere más información que la aquí considerada.

La menor dispersión de los residuales de las ecuaciones estimadas en la formación del precio, para el caso de México, indica que este factor está más concentrado hacia la parte central de la distribución y, en términos económicos, las variables explicativas que intervienen en la formación del precio son principalmente las consideradas.

Adicionalmente, se estimaron coeficientes de curtosis para cada producto en los dos países. La curtosis mide lo puntiagudo de la distribución probabilística de una variable aleatoria.

Los coeficientes de curtosis obtenidos de los residuales fueron mayores para el caso de México (Cuadro 3), lo que refuerza una mayor concentración de los residuales y una mejor explicación de las ecuaciones precio en el caso de México. Este planteamiento se reafirma con las Figuras 2 y 3, de la dispersión a través del tiempo para la carne de cerdo en México y EE.UU., misma situación que se presenta en los demás productos.

En el análisis de la diferencia del comportamiento de los residuales contra su rezago entre los dos países, se encontró que en México la concentración de los residuales de las ecuaciones precio en relación con su rezago, fue mayor que la de sus similares de EE.UU. Lo anterior muestra que los productos alimenticios estudiados en México presentan una mayor dependencia con los periodos anteriores, situación contraria en EE.UU. donde los residuales están más dispersos. Visualmente, la mayor concentración de los residuales para carne de cerdo en México se observa en la Figura 4, y la mayor dispersión del mismo fenómeno en EE.UU. se ve en la Figura 5.

 

CONCLUSIONES

De acuerdo con los resultados obtenidos, los residuales de las ecuaciones precio de los productos estudiados de México están más concentrados que los de EE.UU., dado el mismo conjunto información. Por tanto, para México son menos los factores considerados en la formación de precios, lo cual indica que la cantidad de información necesaria y disponible en el mercado de los alimentos en México es menor que la requerida en EE.UU. Lo anterior conlleva a que en México pueda haber una mayor inestabilidad de precios observada, sin embargo, con un comportamiento explicado por un reducido número de variables. La formación de precios de los alimentos en México se basa en mayor medida en información anterior (heredada); es decir, se toma en cuenta los fenómenos que formaron el precio en el pasado, mientras que en EE.UU. este factor es menos importante.

 

LITERATURA CITADA

Brambila P., J. 2006. En el Umbral de una Agricultura Nueva. UACH–COLPOS. Texcoco, México. 325 p.        [ Links ]

Cook, R. 2005. Structural change affects fresh produce marketing. In: Foro Global Agroalimentario 2005. Memoria. Consejo Nacional Agropecuario. México, D. F. 277 p.        [ Links ]

Laffont, J. 1989. The Economics of Uncertainty and Information. MIT Press. Cambridge, Massachusetts. pp: 5, 144.         [ Links ]

Molho, I. 1997. The Economics of Information: Lying and cheating in markets and organizations. 2a. ed. Blackwell publishing. Malden, Massachusetts. pp: 16–18.        [ Links ]

Silbermann, B. 2005. Respondiendo a las tendencias globales. In: Foro Global Agroalimentario 2005. Memoria. Consejo Nacional Agropecuario. México, D. F. 277 p.        [ Links ]

Tomek, W., and K. Robinson. 1990. Agricultural Product Prices.3a. ed. Cornell University Press. Ithaca, New York. pp: 82.        [ Links ]

Creative Commons License Todo el contenido de esta revista, excepto dónde está identificado, está bajo una Licencia Creative Commons