Servicios Personalizados
Revista
Articulo
Indicadores
Links relacionados
-
Similares en
SciELO
Compartir
Agrociencia
versión On-line ISSN 2521-9766versión impresa ISSN 1405-3195
Agrociencia vol.42 no.6 Texcoco ago./sep. 2008
Socioeconomía
Aplicación de un modelo de equilibrio espacial para determinar la estructura del mercado del frijol en México
Application of a spatial equilibrium model to determine the bean market structure in Mexico
Clemente TorresSandoval y José A. GarcíaSalazar*
Economía. Campus Montecillo. Colegio de Postgraduados Km. 36.5 Carr. MéxicoTexcoco. 56230. Montecillo, Texcoco, Estado de México (clemts@colpos.mx) *Autor responsable: (jsalazar@colpos.mx)
Recibido: Marzo, 2007.
Aprobado: Julio, 2008.
Resumen
La importancia del frijol (Phaseolus vulgaris L.), en relación con el número de productores y consumidores, justifica el análisis de las imperfecciones en el mercado. Para determinar la estructura predominante en el mercado de frijol en México se compararon los valores observados de precios al consumidor y consumo, con los obtenidos mediante la solución de un modelo de equilibrio espacial ajustado con las suposiciones de competencia perfecta, oligopolio y monopolio. Los resultados muestran que el precio promedio al consumidor estimado por el modelo se aleja del observado en 7.9% , 5.9% y 68.2% en las estructuras de competencia perfecta, oligopolio y monopolio; en tanto que el consumo observado difiere del estimado en 4.0%, 3.4% y 36.3 % para las mismas estructuras. Se concluye que el mercado de frijol en México se rige bajo una estructura de oligopolio.
Palabras clave: Competencia perfecta, oligopolio, monopolio, precio al consumidor, consumo, valor social neto ajustado.
Abstract
The importance of bean (Phaseolus vulgaris L.), relative to the number of growers and consumers, requires an analysis of imperfections in the market. To determine the dominant structure of the bean market in México, the values observed of consumer prices and consumption were compared with those obtained by solving a spatial equilibrium model adjusted with assumptions of perfect competition, oligopoly and monopoly. The results show that the average consumer price estimated by the model departs from the observed consumer price by 7.9%, 5.9%, and 68.2% in the structures of perfect competition, oligopoly, and monopoly, while observed consumption differs from estimated consumption by 4.0%, 3.4%, and 36.3% for the same structures. It is concluded that the bean market in México is governed by an oligopolistic structure.
Key words: Perfect competition, oligopoly, monopoly, consumer price, consumption, adjusted net social payoff.
INTRODUCCIÓN
Con la liberación comercial y la desaparición de la Compañía Nacional de Subsistencias Populares (CONASUPO) de la distribución directa de productos básicos, el Estado se retiró de la regulación del mercado de frijol (Phaseolus vulgaris L.) permitiendo que el precio fuera determinado por la oferta y la demanda. Hay poco más de 550 mil productores que generan más de 1.2 millones t anualmente y más de 100 millones de consumidores que demandan, en promedio, 30.8 g al día (Serrano, 2004[1]; FAO, 2006), pero hay bajos y altos precios al productor y consumidor que sugieren la existencia de una estructura imperfecta en el funcionamiento del mercado de frijol en México.
De la producción nacional de frijol 20% se destina al autoconsumo y 80% entra al mercado formal. La producción comercializada es acaparada por 16 empresas acopiadoras que se consolidaron después de la desaparición de CONASUPO en 1999 (FIRA, 2001). El reducido número de empresas y su gran tamaño redunda en su capacidad potencial de especular y controlar precios para el consumidor y productor. De 2003 a 2005 la participación promedio del precio al productor en el precio al consumidor fue 42%, esto es, la suma de los márgenes de comercialización del mayorista y detallista absorbieron más de la mitad del precio al consumidor (17% y 41%).
La existencia de 16 empresas comercializadoras sugiere una estructura alejada de la competencia perfecta. Existiría un monopolio si la distribución de frijol la hiciera una sola empresa o un conjunto de ellas actuando como si fueran una sola (colusión). Habría un oligopolio con un número reducido de empresas, o una competencia perfecta con un gran número de empresas (Hirshleifer, 1980). Una estructura imperfecta no es deseable para la sociedad por: a) los altos precios al consumidor disminuirían el consumo; b) los bajos precios para el productor no permitirían una ganancia.
Por tanto, este estudio tuvo por objetivo determinar la estructura de mercado predominante en México, lo cual será útil para elaborar políticas que contribuyan a mejorar su funcionamiento. La hipótesis fue que el mercado de frijol opera bajo una estructura de mercado imperfecta de oligopolio.
METODOLOGÍA
El modelo
Se usó un modelo de equilibrio espacial que modela el funcionamiento del mercado de frijol en México, similar al de Kawaguchi et al. (1997), el cual permite considerar diferentes grados de competencia imperfecta. Se prefirió este modelo porque permite: a) modelar una gran combinación de comportamientos imperfectos y, por tanto, determinar el grado preciso de imperfección del mercado; b) replicar el funcionamiento del mercado completamente porque usa información desagregada espacialmente sobre consumo, producción, precios al productor y consumidor, importaciones, flujos comerciales, costos de transporte y otros costos de comercialización; c) determinar los efectos de cambios en variables de política (aranceles, tasa de cambio, etc.) sobre todas las variables endógenas del sistema. Su principal desventaja es la gran cantidad de información requerida porque necesita un considerable grado de desagregación en la información utilizada, a diferencia de modelos como los de corrección del error o cointegración de mercados que capturan de forma reducida los efectos netos de cambios exógenos incluidos en la oferta, demanda y comercialización sobre los precios.
El modelo considera un solo mercado de frijol por región y un solo agente que ofrece producto en cada región productora; también supone que cada región tiene funciones de oferta y demanda lineales. Puesto que el frijol se produce y consume en todo México, el país se dividió en 14 regiones productoras y consumidoras. Las ciudades tomadas como referencia para determinar los costos de transporte fueron: Zacatecas, Chihuahua, Durango, Mazatlán, Tepic, Mexicali, Monterrey, San Luis Potosí, Guadalajara, Morelia, D. F., Tuxtla Gutiérrez, Jalapa y Mérida. Las regiones son: Zacatecas, Chihuahua, Durango, Sinaloa, Nayarit, Noroeste (Baja California, Baja California Sur y Sonora), Norte (Nuevo León, Tamaulipas y Coahuila), Altiplano (San Luis Potosí, Guanajuato y Querétaro), Occidente (Jalisco, Aguascalientes y Colima), Sur 1 (Michoacán y Guerrero), Centro (Distrito Federal, Puebla, Tlaxcala, Morelos, Estado de México e Hidalgo), Sur 2 (Oaxaca y Chiapas), Golfo (Veracruz y Tabasco) y Península (Quintana Roo, Yucatán y Campeche) .
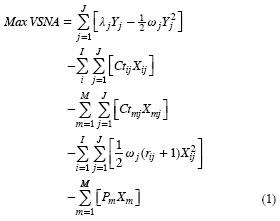
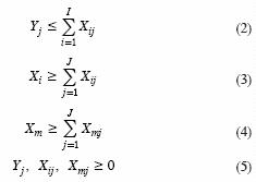
Considerando i(i= 1,2..I=14) regiones productoras, j(j=1,2.. J=14) regiones consumidoras y m(m=1,2..M=6) puertos y fronteras de entrada, la representación matemática es del modelo:

sujeto a:

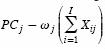
donde, Yj es la cantidad de frijol demandada en la región j; Yj =αjβjPCj es la función de demanda en la región consumidora j; αj es la ordenada al origen de la función de demanda en la región j; βj es la pendiente de la función de demanda en la región j; PCj es el precio al consumidor en la región j; PCj=λjωjYj es la función inversa de demanda en la región j con λj=αj/βj y ωj= 1/βj; Xij es la cantidad de frijol enviada de i a j; Ctij es el costo de transporte de i a j; Xmj es la cantidad enviada de frijol de m a j; Ctmj es el costo de transporte de m a j; Xm es la cantidad de frijol importada por el puerto o frontera m; Pm es el precio internacional de frijol por la frontera m y; Xi es la cantidad de frijol ofrecida en la región i.
En la función objetivo (1) se maximiza el valor social neto ajustado (VSNA) para diferentes estructuras de mercado, y es igual a la sumatoria del área bajo las curvas de demanda de cada región j, menos los costos de transporte de i y m a las regiones j, menos el valor de las importaciones. El área bajo la curva de demanda se obtiene integrando la función inversa de demanda PCj=λjωjYj.
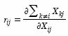
Según Kawaguchi et al. (1997), el ajuste que permite incluir diferentes grados de estructura de mercado es el cuarto término de la Ecuación 1, donde rijes la variación conjetural del agente i respecto a cambios en la oferta de todos los demás agentes diferentes de i en el mercado j. Considerando que los resultados dependen del valor de rij, es importante dar una explicación más amplia sobre el significado de este parámetro.
Basados en Kawaguchi et al. (1997), la variación conjetural se obtiene al analizar los ingresos por ventas del agente i en el mercado j, esto es:

El precio PCj es función de la cantidad demandada (Yj), donde
, lo cual implica que la demanda de frijol en el mercado j es igual a la suma de los envíos de todos los agentes a ese mercado; a su vez
se puede expresar como
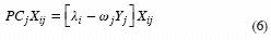
es decir, el envío del agente i más la suma de los envíos que los demás agentes k diferentes de i, hacen al mercado j. Los ingresos del agente i en el mercado j se escriben como
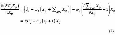
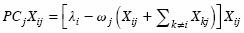
. El ingreso marginal que el agente i cree va a obtener por un cambio en su oferta Xij hacia el mercado j, es:

donde,
= representa la variación conjetural del agente i respecto a cambios en la oferta de los demás agentes k, ante cambios en su oferta en el mercado j.
Si rij = 1, el agente i espera que el resto de los agentes realice una variación en la producción en sentido contrario, de manera que el precio se mantendrá estable; de acuerdo a la ecuación 1, el término
es cero, y en base a 7 el ingreso
marginal iguala al precio de demanda (PCj ); en este caso el modelo equivale al de competencia perfecta. Un rij =0 indica que el agente i espera que no haya reacción a una variación de su producción y ocurre el equilibrio CournotNash (situación de oligopolio); El término de la ecuación 1 se reduce
y, en base a 7, el ingreso marginal es inferior al precio de demanda.
En el caso del monopolio, donde el agente i forma una coalición con los demás agentes, el ingreso marginal para ese agente sería
por tanto, un rij=13 indica coalición entre las 14 regiones productoras.
La Ecuación 2 indica que la demanda en cada región consumidora debe ser menor que los envíos de frijol que provienen de las regiones productoras; la 3 que la oferta de cada zona productora debe ser mayor a lo enviado a las regiones consumidoras; la 4 que los envíos de frijol de las fronteras debe ser menor que las importaciones totales ingresadas por cada puerto y frontera; la 5 establece las condiciones de no negatividad.
Los parámetros y variables exógenas del modelo son las ordenadas y pendientes de la función de demanda, los costos de transporte (Ctij y Ctmj ), la variación conjetural (rij ), la producción (Xi ), las importaciones (Xm) y los precios de importación (Pm ). Las variables endógenas son los flujos comerciales (Xij , Xmj ), el consumo (Yj ); y determinado éste último, se puede calcular el precio al consumidor (PCj ).
El mercado de frijol se caracteriza por muchos productores que venden individualmente a las empresas con almacenes y transporte, y que luego venden frijol al consumidor. Esto conduce a una estructura dual con productores como tomadores de precios y comercializadores ejerciendo poder de mercado. Esto significa que los productores pueden controlar la oferta pero no el precio; en cambio, los comercializadores controlan el precio, pero no la oferta.
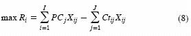
Para incluir esta característica al modelo es necesario analizar cómo cada agente maximiza su ingreso, y cómo los productores determinan su oferta. El proceso inicia con la primera solución del modelo que considera a Xi observada. La función del agente es distribuir la producción entre los mercados maximizando Ri , que es igual al ingreso por ventas menos costos de transporte:

donde, los flujos comerciales (Xij ) y precios al consumidor (PCj) se obtienen de la solución del modelo (ecuaciones 1 a 5). El productor de la región i determina su producción considerando el precio recibido (PPi ), calculado como:

donde, Xi corresponde al valor observado y Ri se calcula con la Ecuación 8.
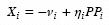
Con PPi y los valores de la ordenada y pendiente de la función de oferta (vi y ηi ,) se determinan nuevos valores para Xi así:

Los nuevos valores de Xi se introducen al modelo para obtener una nueva solución, y con los nuevos valores de Xij , PCj y Xi se vuelve a calcular Ri y PPi con las Ecuaciones 8 y 9.
El proceso se repite hasta que Xi se estaciona en un solo valor (solución final), realizando el proceso iterativo para los siguientes valores de rij : 1, 0 y 13. También se practicaron diferentes combinaciones de comportamiento de poder de mercado entre los 14 agentes, aunque sólo se presentan los resultados de la solución que más se acercó a la situación observada. La estructura que rige el funcionamiento del mercado de frijol se determina empíricamente seleccionando la solución donde los precios estimados son más cercanos a los observados.
Las distintas soluciones del modelo se obtuvieron usando el procedimiento MINOS escrito en el lenguaje de programación GAMS.
Datos
Para cada región se usó información promedio de tres ciclos anuales de consumo de frijol iniciando en octubre de 2002 y finalizando en septiembre de 2005. Las funciones de oferta y demanda se calcularon usando las cantidades producidas y consumidas, los precios al productor y consumidor y las elasticidades precio de oferta y demanda. La producción por región provino de los Avances de Siembras y Cosechas (SIAPSAGARPA, 2006a). La cantidad consumida se obtuvo usando el consumo per capita de la balanza disponibilidadconsumo reportada por SIAPSAGARPA (2006b) y datos poblacionales de INEGI (2006b). Las elasticidades fueron: elasticidad precio anual de 0.56 para la demanda y 0.81 y 0.36 para la oferta de riego y temporal. Se consideró una misma elasticidad precio de la demanda en todas las regiones consumidoras y se obtuvieron elasticidades precio de la oferta por región usando como ponderador la participación de la superficie de riego y temporal de cada región, en la oferta total regional. Las elasticidades obtenidas: 0.39 en Zacatecas; 0.51 en Chihuahua; 0.36 en Durango; 0.74 en Sinaloa; 0.49 en Nayarit; 0.77 en el Noroeste; 0.42 en el Norte; 0.40 en San Luis Potosí; 0.43 en Occidente; 0.51 en el Sur 1; 0.43 en el Centro; 0.40 en el Sur 2; 0.36 en el Golfo; 0.37 en la Península.
Con base en García y Williams (2004) y García et al. (2005), el precio al consumidor se obtuvo sumando el precio internacional de frijol reportado por USITC (2006), más los costos de transporte del punto de internación a la zona consumidora, más los gastos de internación reportados por ASERCA[2] . Para obtener el precio internacional en pesos se usó la tasa de cambio reportada por INEGI (2006a). El precio al productor se obtuvo del precio al consumidor menos un margen de comercialización equivalente a transportar el producto de la finca al mercado regional, con información del SNIIM (2006) y SAGARPA (2006).
Los costos de transporte se calcularon utilizando matrices de distancias (camión y ferrocarril) que conectan las zonas productoras y puntos de internación con las zonas consumidoras, las tarifas de transporte ferroviario publicadas por la SCT (2006) y las tarifas de transporte por carretera[3]. El costo de transporte usado en el modelo corresponde al promedio de los costos por camión y ferrocarril. Las importaciones por puerto y frontera de frijol provinieron de USITC (2006) y BANCOMEXT (2006).
RESULTADOS Y DISCUSIÓN
En el Cuadro 1 se presentan los precios observados en el año promedio del período 20022005, los precios arrojados por el modelo y la discrepancia entre ambos.
Independientemente del tipo de estructura de mercado en que operen, los productores buscan maximizar sus ganancias, aunque las posibilidades son diferentes en cada una de ellas. En competencia perfecta la empresa maximiza las utilidades menos los costos, la empresa monopólica los ingresos menos los costos, y el oligopolio maximiza una suma ponderada de ambos (Varian, 1992). El efecto de cada estructura sobre la sociedad se observa al analizar los precios cobrados al consumidor que cada empresa impone en el mercado.
Un mercado que opera bajo oligopolio impone precios más altos comparados con un mercado en competencia perfecta; situación que se observa en el Cuadro 1. El precio al consumidor bajo competencia perfecta fue 7412 pesos por t, ligeramente inferior al del oligopolio (7573 pesos por t). Con monopolio la situación es más extrema, con precios más altos que en el oligopolio. En el Cuadro 1 se observa que si el mercado de frijol se rigiera bajo un monopolio, lo cual sucedería si todas las empresas comercializadoras formaran una coalición, el precio al consumidor sería 13 533 pesos por t, 82.6% mayor al observado en competencia perfecta y 78.7% al registrado con el oligopolio.
La competencia perfecta es una estructura de mercado más deseable socialmente. La inexistencia de imperfecciones determina precios más bajos permitiendo niveles de consumo más altos; esta situación se observa en el Cuadro 1. Sin imperfecciones de mercado el consumo nacional anual de frijol asciende a 1.39 millones de t; con una situación de oligopolio el consumo es 0.6% inferior al de competencia perfecta, 1.38 millones de t. La ineficiencia en el funcionamiento del mercado de la estructura imperfecta extrema se manifiesta al observar el consumo bajo el monopolio. Como consecuencia de los altos precios al consumidor, el consumo sería 0.85 millones t, inferior en 38.8% al observado con competencia perfecta.
El VSNA es un indicador de los beneficios que obtendría la sociedad en cada estructura de mercado. En competencia perfecta el VSNA sería 19 817 millones de pesos y conforme el mercado se distorsiona dicho indicador disminuye: 17 823 millones de pesos en el oligopolio, y 9944 millones en el monopolio.
Comparando los precios y consumo con los valores observados en el año de análisis se puede identificar la estructura de mercado predominante en el mercado. En competencia perfecta el modelo predice un precio al consumidor de 7412 pesos por t, 7.9 % menor al observado en el año de análisis (8044 pesos por t). En la solución de oligopolio el modelo calcula un precio de 7573 pesos por t, 5.9% menor que el precio observado; y con monopolio el modelo predice un precio mayor en 68.2% al observado. Una situación similar se observa al comparar los consumos con las diferentes estructuras de mercado. El consumo calculado por el modelo se aleja del observado en 4.0%, 3.4% y 36.3% en la competencia perfecta, oligopolio y monopolio.
Debido a que un mercado imperfecto es perjudicial para la sociedad, el Gobierno debería tomar las medidas necesarias para impedir el fortalecimiento de la estructura de mercado oligopólica y asegurar el libre mercado mediante la competencia perfecta. A través del crédito el Gobierno debería apoyar a los productores para obtener los medios de transporte y almacenamiento necesarios para comercializar el frijol producido, y que definen el poder de los agentes comercializadores.
Se obtuvo una cuarta solución de tipo oligopólica en la que se ensayaron diferentes combinaciones de comportamiento competitivo imperfecto de cada agente. La combinación que mostró mejor acercamiento a los precios observados consideró a: r1j=0; r2j=0.5; r3j=3; r4j=3; r5j=0; r6j=0; r7j=3; r8j=0.7; r9j=0.7; r10j=0.7; r11j=3; r12j=0.7; r13j=0.5; r14j=0.8. Esto implica que Zacatecas, Nayarit y el Noroeste se comportan como jugadores CournotNash; que Durango, Sinaloa, el Noreste y la región Centro forman una coalición; que las otras regiones tienen poder de mercado parcial con rij entre 1 y 0. Con esta solución los precios al consumidor fueron 4.1% menores a los observados, el consumo fue 2.5% superior al observado y el VSNA ascendió a 17 002 millones de pesos (Cuadro 1).
CONCLUSIONES
Soluciones diversas de un modelo de equilibrio espacial ajustado permiten concluir lo siguiente: a) el frijol no se rige bajo las estructuras de competencia perfecta y monopolio; b) debido a que la solución de oligopolio replica de manera más exacta los precios y consumo observados en el año de análisis, se puede afirmar que ésta es el tipo de estructura predominante; c) el grado de imperfección no es extremo debido a que la solución de oligopolio es más cercana a la competencia perfecta que al monopolio. Dado que los mercados imperfectos no son deseables para la sociedad pues determinan precios más altos y consumos más bajos que los que prevalecerían con una estructura de competencia perfecta, es recomendable que el Gobierno tome las medidas necesarias y pertinentes para impedir el fortalecimiento de dicha estructura.
LITERATURA CITADA
BANCOMEXT (Banco Nacional de Comercio Exterior). 2006. Sistema de Información Comercial de México (SICM). México, D. F. 18 p. [ Links ]
FAO (Food and Agricultural Organization of United Nations). 2006. Statistical Databases. http://faostat.fao.org/ (26 de octubre de 2006). [ Links ]
FIRA (Fideicomisos Instituidos en Relación con la Agricultura). 2001. El frijol en México, competitividad y oportunidades de desarrollo. Boletín Informativo. Núm. 316. Vol. XXXIII. 71 p. [ Links ]
García Salazar, J. A., y G. W. Williams. 2004. Evaluación de la política comercial de México respecto al mercado de maíz. El Trimestre Económico. LXXI (281): 169213. [ Links ]
García Salazar, J. A., G. W. Williams, y J. E. Javier Málaga. 2005. Efectos del TLCAN sobre las exportaciones de tomate de México a los Estados Unidos. Rev. Fitotecnia Mex. 28(4): 299309. [ Links ]
Hirshleifer, J. 1980. Price Theory and Applications. 2nd. Edition, Prentice Hall. New Jersey. 620 p. [ Links ]
INEGI (Instituto Nacional de Estadística Geografía e Informática). 2006a. Indicadores Económicos de Coyuntura. www.inegi.gob.mx (5 de mayo de 2006). [ Links ]
INEGI (Instituto Nacional de Estadística Geografía e Informática). 2006b. XII Censo General de Población y Vivienda 2000. www.inegi.gob.mx (10 de abril de 2006). [ Links ]
Kawaguchi T., N. Suzuki, and H. M. Kaiser. 1997. A spatial equilibrium model for imperfectly competitive milk markets. Am. J. Agric. Econ. 79 (August): 851859. [ Links ]
SCT (Secretaría de Comunicaciones y Transportes). 2006. Tarifas de Transporte Ferroviarias. www.sct.gob.mx (8 de febrero). [ Links ]
SAGARPA (Secretaría de Agricultura, Ganadería, Desarrollo Rural, Pesca y Alimentación). 2006. Sistema de Información Agropecuaria de Consulta. www.siea.sagarpa.gob.mx/sistemas/siacon/SIACON_2006.html (abril de 2006). [ Links ]
SIAPSAGARPA (Sistema de Información Agroalimentaria y PesqueraSecretaría de Agricultura, Ganadería, Desarrollo Rural, Pesca y Alimentación). 2006a Avances de Siembras y Cosechas. www.siap.sagarpa.gob.mx (10 de marzo de 2006). [ Links ]
SIAPSAGARPA. 2006b. Sistema de Información Agroalimentaria y Pesquera. Balanza de disponibilidadConsumo. www.siap.sagarpa.gob.mx (15 de marzo de 2006). [ Links ]
SNIIM (Sistema Nacional de Información e Integración de Mercados). 2006. Mercados Nacionales. Granos Básicos. www.secofisniim.gob.mx/nuevo (20 de junio de 2006). [ Links ]
USITC (United States International Trade Commission). 2006. Interactive Tariff and Trade Dataweb. http://dataweb.usitc.gov/scripts/report.asp. (17 de mayo de 2006). [ Links ]
Varian H. R. 1992. Análisis Microeconómico. 3ª Edición, Antoni Bosh Editor. Madrid, España. 638 p. [ Links ]
1 Luis Manuel Serrano Covarrubias. 2004. Análisis del caso frijol. Universidad Autónoma Chapingo. Disponible en: www.sagarpa.gob.mx. Enero de 2004.
2 Información proporcionada por personal de ASERCA. Oficinas en la Ciudad de México / Information provided by ASERCA staff. México City offices.
3 Información proporcionada por la Integradora Estatal de Productores de Frijol de Zacatecas, S. A. de C. V. / Information provided by the Integradora Estatal de Productores de Frijol de Zacatecas, S. A. de C. V.












