Servicios Personalizados
Revista
Articulo
Indicadores
Links relacionados
-
Similares en
SciELO
Compartir
Agrociencia
versión On-line ISSN 2521-9766versión impresa ISSN 1405-3195
Agrociencia vol.42 no.3 Texcoco abr./may. 2008
Matemáticas aplicadas, estadística y computación
Los ciclos económicos de México y sus regularidades empíricas
Economic cycles of Mexico and their empirical regularities
Genaro AlmendraArao1 , Adrián GonzálezEstrada2 y José S. MoraFlores1
1 Economía.Campus Montecillo. Colegio de Postgraduados. 56230. Montecillo, Estado de México (genalara@prodigy.net.mx).
2 Programa Nacional de Economía del INIFAP. Apartado Postal 10. Chapingo, Estado de México (adrglez@prodigy.net.mx)
Recibido: Julio, 2007.
Aprobado: Enero, 2008.
Resumen
Los costos financieros y sociales de las crisis económicas de México son muy grandes y, sin embargo, no se han estudiado a profundidad. El objetivo del presente estudio fue investigar las regularidades empíricas de los ciclos económicos de México. Mediante el método HodrickPrescott se filtraron las series de tiempo de las variables macroeconómicas, se estudiaron los comovimientos de las componentes cíclicas de dichas variables y se les comparó con la componente cíclica del PIB real. Se encontró que la inversión es más volátil que el PIB, los precios son acíclicos, la inversión y el consumo son procíclicos y están fuertemente correlacionados con el PIB, y el ciclo de la inversión es contemporáneo al ciclo del PIB. Estos resultados son consistentes con las predicciones de la teoría de los ciclos económicos reales y coinciden con las regularidades observadas en las economías de EE.UU. y de otros países en desarrollo. Las políticas macroeconómicas anticíclicas de México, a pesar de su costo social, no han tenido efecto alguno para atenuar las fluctuaciones cíclicas. La política macroeconómica, cuando no impulsa el cambio técnico y la productividad, tiene efectos negativos importantes.
Palabras clave: Crisis económicas, filtro HodrickPrescott, fluctuaciones cíclicas, teoría de los ciclos económicos.
Abstract
Although the financial and social costs of Mexico's economic crises are enormous, they have not been studied in depth. The objective of this research was to study empirical regularities of Mexico's economic cycles. Using the HodrickPrescott method, time series of macroeconomic variable were filtered, comovements of the cyclical components of macroeconomic variables were studied and compared with the cyclical component of the real GNP. It was found that investment is more volatile than GNP, prices are acyclical, and investment and consumption are procyclical and highly correlated with GNP, while the investment cycle is contemporary to the GNP cycle. These results are consistent with predictions of the theory of real economic cycles and coincide with the regularities observed in economies of the USA and in those of other developing countries. Mexican anticyclical macroeconomic policies, in spite of their social cost, have not had any effect in attenuating cyclical fluctuations. Macroeconomic policy, when it does not encourage technical change and productivity, has important negative effects.
Key words: Economic crisis, HodrickPrescott filter, cyclical fluctuations, theory of economic cycles.
INTRODUCCIÓN
Durante el período 19802006, la economía mexicana tuvo dos de las crisis más severas en su historia reciente. En la crisis de 19811983, el producto interno bruto (PIB) pasó de 1 067 220 a 986 439 millones de pesos de 1993, en un periodo de seis trimestres. Su costo fue 80 781 millones de pesos, equivalentes al salario anual devengado en 1993 por 17 millones de obreros o a 7.56% del PIB. El costo de la crisis de 19941995 fue 122 383 millones de pesos de 1993, equivalente al salario anual de 26 millones de obreros o a 9.2% del PIB. Esta crisis fue más severa que la de 19811983, y manifestó sus efectos en un tiempo menor.
No obstante el inmenso costo económico y social de las crisis económicas para el pueblo de México y para la economía nacional, no se ha estudiado rigurosamente sus regularidades empíricas. Por tanto, el objetivo de la presente investigación fue descubrir estas regularidades en los ciclos económicos de México y establecer un conjunto de hechos como base para su explicación científica, así como modelos dinámicoestocásticos de equilibrio general, para comprender los problemas macroeconómicos del país y para definir políticas económicas y sociales eficientes y óptimas.
Las regularidades empíricas de los ciclos económicos no se pueden obtener mediante los estadísticos descriptivos de las variables macroeconómicas, porque no son observables directamente. Tampoco se pueden conocer mediante la aplicación de la teoría clásica de las series de tiempo, debido a varias razones. La primera es que el estudio de los ciclos económicos debe estar basado en el cálculo de la esperanza matemática de un vector inobservado de estados condicionado a la historia observada de un vector de señales de ruido. En consecuencia, se requiere un procedimiento de filtrado y de extracción de señales, para hacer inferencias sobre cualesquiera de las variables inobservadas de estado, la componente cíclica y la de crecimiento, las cuales están latentes en las variables macroeconómicas (Hamilton, 1989 y 2002). Si se filtra adecuadamente la información macroeconómica, se podrá descubrir la estructura dinámica subyacente (Harvey, 1985). En segundo lugar, para las variables macroeconómicas no es correcta la práctica común de concebir la trayectoria secular de la serie como una función del tiempo, y a la componente cíclica como un proceso estacionario que tiene movimientos transitorios alrededor de la tendencia secular. La componente cíclica de las variables macroeconómicas no es determinística, sino estocástica (Nelson y Kang, 1981 y 1984). Por esta razón, la contabilidad de crecimiento de Solow (1957) y Denison (1974), aunque exitosa, no es adecuada para calcular la componente de crecimiento de las series macroeconómicas (Hodrick y Prescott, 1997). Así, no es correcto modelar simultáneamente la componente de crecimiento como un proceso determinístico y a la componente cíclica como un proceso estocástico (Hodrick y Prescott, 1997). En tercer lugar, Kydland y Prescott (1982 y 1990) demostraron que la tendencia secular de las variables macroeconómicas no es monótona, como se supone en la teoría de series de tiempo, sino que también fluctúa porque el cambio tecnológico que determina a esas variables no es constante ni determinístico.
MATERIALES Y MÉTODOS
Datos
Se usaron series de tiempo con periodicidad trimestral del PIB real y de las principales variables macroeconómicas desde 1980 (Banco de México, 2006), y también series de tiempo de periodicidad anual del PIB real y de las principales variables macroeconómicas desde 1939 (Banco de México, 2006).
Herramientas de análisis
Las componentes seculares fluctuantes del PIB real y de las principales variables macroeconómicas se obtuvieron con el procedimiento de filtrado (HodrickPrescott, 1997). Las componentes cíclicas del PIB real y de las principales variables macroeconómicas se obtuvieron con el mismo procedimiento.
El filtro HodrickPrescott
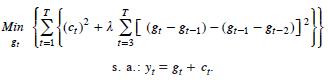
Según Hodrick y Prescott (1997), la serie de tiempo yt es la suma de una componente de tendencia gt , y una componente cíclica ct:

La medida del suavizamiento de la tendencia {gt} o componente de crecimiento, es la suma de los cuadrados de su segunda diferencia. La serie {ct} mide las desviaciones de la serie original con respecto a su componente de crecimiento; su promedio en períodos largos es aproximadamente cero. Estas consideraciones llevan al siguiente problema de programación matemática para determinar la componente de crecimiento {gt} y la cíclica {ct}:

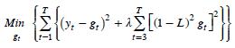
λ>0 dado. Si
, entonces:
(1L)2 gt = (12L + L2) gt = gt 2gt1 + gt2 = (gt gt1) (gt1gt2)
De acuerdo con esta notación, el problema de minimización es:

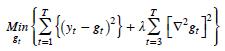
De igual manera, si:

entonces, el problema anterior se puede reformular como:

Las condiciones de primer orden son:

de donde:

y

Los filtros HodrickPrescott para obtener las componentes secular o de crecimiento y cíclica son:

El coeficiente λ penaliza la variabilidad de la componente de tendencia de la serie. Con λ = 0 no se distingue la serie de su tendencia, y cuando λ tiende a infinito la tendencia es lineal. Según González Estrada (2000), el filtro HodrickPrescott es la solución dual del problema de control lineal óptimo estocástico de la programación dinámica.
Pruebas de estacionariedad
Una serie de tiempo es estacionaria si la media y la autocovarianza de la serie no dependen del tiempo; es integrada de orden d, lo cual se denota por I(d), si después de d operaciones de diferencias, la serie es estacionaria. Las pruebas para investigar la estacionariedad de una serie de tiempo son:
1) Prueba DickeyFuller Aumentada (ADF): Ho: la serie es I(1) vs Ha: la serie no es I(1).
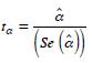
La regla de decisión es: si el estadístico ta es menor que el valor crítico a un nivel de significancia δ, se rechaza Ho donde:

es el estimador de
es el error estándar.
2) Prueba ElliottRothenbergStock (ERS(DFGLS)): Ho: la serie es I(1) vs Ha: la serie no es I(1).
La regla de decisión es: si el estadístico tα es menor que el valor crítico a un nivel de significancia, δ, se rechaza Ho donde:

es el estimador de
es el error estándar.
3) Prueba PhillipsPerron (PP): Ho: la serie es I(1) vs Ha: la serie no es I(1).
La regla de decisión es: si el estadístico
es menor que el valor crítico a un nivel de significancia δ, se rechaza Ho donde:

S es el error estándar de la regresión, γ0 es un estimador consistente del error de varianza, f0 es un estimador del espectro residual en frecuencia cero.
4) Prueba Kwiatkowski, Phillips, Schmidt, y Shin (KPSS): Ho: la serie es I(0) vs Ha: la serie no es I(0).
La regla de decisión es: si el estadístico LM es menor que el valor crítico a un nivel de significancia δ, se acepta Ho donde:

5) Prueba ElliottRothenbergStock (ERS(OLS)): Ho: la serie es I(1) vs Ha: la serie no es I(1).
La regla de decisión es: si el estadístico PT es menor que el valor crítico a un nivel de significancia δ, se rechaza Ho donde:

6) Prueba NgPerron (NgP): Ho: la serie es I(1) vs Ha: la serie no es I(1).
La regla de decisión es: si el estadístico MZα es menor que el valor crítico a un nivel de significancia δ, se rechaza Ho donde:

RESULTADOS Y DISCUSIÓN
Análisis de sensibilidad de la componente cíclica del PIB
Para estudiar la sensibilidad de la componente cíclica del PIB al parámetro de suavización, λ, se hicieron las pruebas de raíz unitaria, DickeyFuller Aumentada(ADF), ElliotRothenbergStock (ERSGLS), PhillipsPerron(PP), KwiatkowskiPhillipsSchmidtShin (KPSS), ElliotRothenbergStock (ERSOLS), y NgPerron (NgP). Se analizó las desviaciones estándar y las autocorrelaciones sucesivas hasta las de orden 10.
Se concluyó que la componente cíclica del PIB es estacionaria para todos los valores de λ, excepto cuando
. Este resultado coincide con los reportados por Hodrick y Prescott (1997), para la economía de EE.UU. en el período 1950.11979.2.
Variabilidad macroeconómica
Entre las componentes cíclicas de las variables macroeconómicas, la de mayor variabilidad es los gastos de gobierno (4.4), seguida del agregado monetario M1(4.1). La inversión bruta es casi tres veces más volátil que la componente cíclica del PIB. El consumo privado tiene casi la misma variabilidad que la del PIB. Estos resultados coinciden con los reportados por Hodrick y Prescott (1997) para la economía de los EE.UU. en el periodo 1950.11979.2.
El agregado monetario nominal M1 es cuatro veces más volátil que el PIB. Sin embargo, para la economía de EE.UU., Kydland y Prescott (1990) observaron que tiene la misma volatilidad que el PIB.
La variabilidad macroeconómica no ha cambiado; y está caracterizada por los mismos parámetros. En consecuencia, las políticas anticíclicas no han sido efectivas.
Los ciclos de la economía expresan tanto la tendencia a la recesión como la respuesta óptima y espontánea del sistema ante la tendencia decreciente de la tasa media de ganancia, conforme se acumula el capital y ante la incertidumbre en la tasa de crecimiento del cambio técnico y la productividad. En consecuencia, las crisis y la respuesta óptima de los agentes económicos hacen posible que el sistema retorne a la racionalidad perdida, creando posibilidades nuevas y ampliadas para la acumulación de capital.



Componentes cíclicas de la demanda agregada
Entre las variables macroeconómicas de la demanda agregada, la de mayor variabilidad es gastos de gobierno (4.4), y luego la inversión bruta (2.7). La inversión bruta es casi cuatro veces más variable que el PIB. Los gastos de gobierno tienen una variabilidad de 4.4 y el consumo privado 1.2. Estos resultados coinciden con los reportados por Hodrick y Prescott (1997) para la economía de EE.UU. en el período 1950.11979.2.
Covariabilidad macroeconómica
La covariabilidad de la inversión bruta es 0.739, y la de los gastos de gobierno 0.742; ambas son mayores que la del consumo privado. Estos resultados coinciden con los reportados por Hodrick y Prescott (1997) para la economía de EE.UU. en el período 1950.11979.2. Nótese que la covariabilidad de las exportaciones es 0.058.
Las componentes cíclicas de la demanda agregada y del PIB para el período 1987.12006.2, obtenidas mediante el filtro HodrickPrescott (1997), se presentan en la Figura 1.
Prociclicidad (análisis de correlación cruzada)
El consumo es procíclico (0.658) y su ciclo está adelantado dos trimestres al ciclo del PIB. La inversión bruta es procíclica (0.739) y contemporánea al ciclo de PIB. Los gastos de gobierno son procíclicos (0.742) y contemporáneos al ciclo del PIB.
Análisis de cambio de fase o de persistencia
En el Cuadro 5 se observa que el ciclo de las exportaciones está adelantado un trimestre con respecto al ciclo del PIB. El ciclo de las exportaciones liderea al ciclo del PIB, y es acíclico (0.058).
El ciclo de las importaciones está rezagado dos trimestres con respecto al ciclo del PIB y es procíclico (0.562).
El ciclo del agregado monetario nominal M1 es contemporáneo al ciclo del PIB y es procíclico (0.547). Estos resultados coinciden con los de Kydland y Prescott (1990) para la economía de EE.UU., durante el período 1954.11989.4.
Análisis de raíces unitarias y cambios estructurales
En economía, la hipótesis de raíces unitarias resulta de las implicaciones teóricas del supuesto de que los agentes económicos tratan de maximizar su función objetivo, para lo cual usan racionalmente la información disponible (Phillips y Perron, 1988). Hay fuertes evidencias de la falta de estacionariedad de las raíces unitarias, usando la prueba de Dickey y Fuller (Nelson y Plosser, 1982). Esta prueba es válida asintóticamente para un proceso general ARIMA (p,1,q), donde p y q son números naturales (Said y Dickey, 1984). Phillips (1987) desarrolló un modelo noparamétrico más general y Serena y Perron (1995) estudiaron las propiedades asintóticas de la prueba de raíces unitarias con diferentes niveles del rezago del truncado. En EE.UU., en 11 de las 14 series macroeconómicas posteriores a 1945 no se cumple la hipótesis de raíz unitaria, las fluctuaciones cíclicas son estacionarias con respecto a la función determinística de tendencia y sólo hay un cambio estructural persistente en las series analizadas, que es el shock de los precios del petróleo en 1973 (Perron, 1989).
Los trabajos mencionados en el párrafo anterior suponen que la componente secular del proceso estocástico es determinística, como lo reconoce Perron (1989), y que la teoría económica que usa este último autor para interpretar sus resultados es estática. Pero, ¿qué pasaría si la componente secular del proceso estocástico no es determinística sino estocástica?; ¿qué pasaría con esos análisis si, además, el proceso macroeconómico se explica como un proceso estocástico con shocks y cambios estructurales persistentes? Con base en la teoría del equilibrio general dinámicoestocástico, Kydland y Prescott (1990) demostraron que las economías de los países se pueden representar más eficientemente y con mayor rigor teórico como procesos estocásticos con tendencias seculares estocásticas y con shocks persistentes de distinta naturaleza. Más aún, Prescott (1998) mostró que los shocks persistentes, los de carácter tecnológico, explican 70% de las fluctuaciones cíclicas, que son persistentes y que, contrariamente a lo postulado por Perron (1989), los precios reales no son procíclicos sino contracíclicos.
Pruebas de estacionariedad
Después de aplicar las seis pruebas de raíz unitaria, DickeyFuller Aumentada (ADF), ElliotRothenbergStock (ERSGLS), PhillipsPerron (PP), KwiatkowskiPhillipsSchmidtShin (KPSS), ElliotRothenbergStock (ERSOLS), y NgPerron (NgP)) a la primera diferencia de cada variable macroeconómica, se concluyó que la primera diferencia de todas las variables macroeconómicas es estacionaria con 95% de confianza (Cuadro 6). Es decir, las variables macroeconómicas son I(1), variables cointegradas de orden 1.
Los resultados del Cuadro 6 prueban que las variables macroeconómicas de México tienen raíces unitarias. Esta conclusión es robusta, ya que no pudo ser rechazada con ninguna de las seis pruebas aplicadas.
Análisis de cointegración de las variables macroeconómicas
Se analiza la relación en el largo plazo entre las variables macroeconómicas PIB, consumo, gastos de gobierno, inversión, exportaciones e importaciones. Engle y Granger (1987) señalan que una combinación lineal de dos o más series de tiempo no estacionarias puede ser estacionaria. Si tal combinación lineal existe, las series de tiempo no estacionarias se llaman cointegradas. La combinación lineal estacionaria se llama ecuación de cointegración y se interpreta como la relación de equilibrio en el largo plazo entre las variables involucradas.
El vector de cointegración para las variables macroeconómicas PIB, consumo, gastos de gobierno, inversión, exportaciones, importaciones, con un nivel de significancia de 5%, es:
(1, 0.460651, 0.205349, 0.528263, 0.287941, 0.394331)
Por tanto, la ecuación de cointegración es:
PIB = 0.460651 (consumo) + 0.205349 (gastos de gobierno) + 0.528263 (inversión) + 0.287941 (exportaciones) 0.394331 (importaciones).
Esta ecuación de cointegración expresa el PIB como una combinación lineal de las variables asociadas a la demanda agregada. Además, como se muestra en este trabajo, el PIB es una variable estacionaria en primera diferencia. En consecuencia, el PIB, el consumo nacional, la inversión, los gastos de gobierno, las exportaciones y las importaciones están cointegradas.
Funciones de respuesta al impulso
En la Figura 3 se presentan las gráficas de las funciones de respuesta del PIB al impulso de un shock positivo de una desviación estándar de cada una de las principales variables macroeconómicas. Se observa que el PIB responde de manera positiva, más fuerte y más inmediata a la inversión bruta que a las demás variables macroeconómicas.
Regularidades empíricas en otros períodos
Los resultados muestran que las regularidades observadas en los períodos 1980.11986.4, 1987.11994.4, 19391986, 19872003, son esencialmente las mismas que las del período fundamental de análisis.
Autocorrelación serial
Para detectar la presencia de autocorrelación serial en las variables macroeconómicas se aplicó la prueba BreuschGodfrey de contraste a procesos autorregresivos de orden seis.

Dado que el valor (np)R2 es mayor en todos los casos que el valor de X2p (α), se concluyó que existe autocorrelación serial en las variables macroeconómicas, con nivel de confianza de 99%.
CONCLUSIONES
Las políticas macroeconómicas anticíclicas de México, no obstante su costo social, no han tenido efecto alguno para atenuar las fluctuaciones cíclicas.
El cambio técnico y la productividad no son invariantes respecto de la política macroeconómica. Cuando ésta los afecta negativamente tiene costos económicos importantes. La política macroeconómica mexicana se ha centrado exclusivamente en las medidas anticíclicas y en la estabilización y ha desatendido la promoción del cambio técnico y la productividad.
El hecho de que las transacciones de los saldos monetarios reales (M1) sean procíclicos, mientras que las componentes no relacionadas con el intercambio mercantil de (M2) sean anticíclicas, significa que el crédito debe recibir más atención, tanto en los modelos dinámicos de equilibrio general para México, como en la política macroeconómica.
Contrariamente a la idea comúnmente aceptada, la desaceleración de las exportaciones no es un factor que influya en las crisis económicas de México. Las importaciones, por el contrario, sí exhiben comovimientos positivos con respecto a la componente cíclica del PIB.
Las regularidades empíricas de las fluctuaciones cíclicas de la economía mexicana son esencialmente las mismas que las de los EE.UU. y las de los 12 países en desarrollo, y son acordes con la teoría de los ciclos económicos de la Nueva Escuela Clásica.
LITERATURA CITADA
Banco de México. 2006. Indicadores Económicos. México, D.F. pp: 125137. [ Links ]
Denison, E. F. 1974. Accounting for United States Growth, 1929 1969. The Brookings Institute, Washington, D. C. 356 p. [ Links ]
Engle, R. F., and C. W. J. Granger. 1987. Cointegration and error correction: representation, estimation, and testing. Econometrica 55: 251276. [ Links ]
GonzálezEstrada, A. 2000. Programación Dinámica con Aplicaciones en la Economía. Registro Número: 0319991215131420001. Instituto Nacional del Derecho de Autor. Chapingo, México. 382 p. [ Links ]
Hamilton, J. D. 1989. A new approach to the economic analysis of nonstationary time series and the business cycle. Econometrica 57 (2): 357384. [ Links ]
Hamilton, J. D. 2002. Time Series Analysis. Princeton University Press. New Jersey, USA. 799 p. [ Links ]
Harvey, A. C. 1985. Trends and cycles in macroeconomic time series. J. Business and Economic Statistics 3 (3): 216227. [ Links ]
Hodrick, R. J., and E. C. Prescott. 1997. Postwar US business cycles: An empirical investigation. J. of Money, Credit and Banking 29 (1): 116. [ Links ]
Kydland, F. E., and E. C. Prescott. 1982. Time to build and aggregate fluctuations. Econometrica 50 (6): 13451370. [ Links ]
Kydland, F. E., and E. C. Prescott. 1990. Business cycles: real facts and a monetary myth. Quarterly Review, Federal Reserve Bank of Mineapolis 14 (2): 318. [ Links ]
Nelson, C. R., and H. Kang. 1981. Spurious periodicity in inappropriately detrended time series. Econometrica 49: 741 751. [ Links ]
Nelson, C. R., and H. Kang. 1984. Pitfalls in the use of time as an explanatory variable in regression. J. Business and Economic Statistics 2: 7382. [ Links ]
Nelson, C., and C. Plosser. 1982. Trends and random walks in macroeconomics time series: some evidence and implications. J. Monetary Economics 10: 139162. [ Links ]
Perron, P. 1989.The great crash, the oil price shock, and the unit root hypothesis. Econometrica 57 (6): 13611401. [ Links ]
Phillips, P. C. B. 1987. Time series regression with a unit root. Econometrica 55: 277301. [ Links ]
Phillips, P. C. B., and P. Perron. 1988. Testing for a unit root in time series regression. Biometrika 75 (2): 3365346. [ Links ]
Prescott, Edward C. 1998. Business cycle research: methods and problems. Working paper 590. Federal Reserve Bank of Minneapolis. Minneapolis, MN. [ Links ]
Said E., and D. A. Dickey. 1984. Testing for unit roots in autoregressivemoving average models of unknown order. Biometrika 71 (3): 599607. [ Links ]
Serena N. G., y P. Perron. 1995. Unit root tests in ARMA models with datadependent methods for the selection of the truncation lag. JASA, March: 268281. [ Links ]
Solow, Robert M. 1957. Technical progress and the aggregate production function. Rev. Economic and Statistics 39: 312320. [ Links ]













