Introducción
En los últimos veinte años, un entorno mundial crecientemente interconectado y de progresiva especialización y desarrollo tecnológico en casi todas las áreas del conocimiento está transformado el ámbito económico y de los negocios. Esto da paso a un proceso de intensa competencia global en los países de renta media y media alta, que además de mostrar importantes progresos económicos y sociales reflejados en los distintos índices de competitividad internacional, han ganado también un lugar protagónico en el mapa geopolítico y geoeconómico.
La competitividad es un tema que preocupa tanto a las agencias de gobiernos y organismos multilaterales como a los sectores empresariales y académicos de todo el mundo (Lall, 2001). A escala regional existe una gran demanda de análisis y líneas de recomendaciones para generar propuestas con estrategias coherentes e integrales o de cambios estructurales. Esto se debe a que muchas regiones del mundo diseñan planes, programas y otros instrumentos de mediano y largo plazo con objetivos, metas y proyectos estratégicos con el propósito de mejorar su imagen para la atracción de inversiones y oportunidades de negocios, muchos de ellos alineándose a las recomendaciones e indicadores de los índices de competitividad nacional e internacionales como referentes.1 Respecto a su medición por parte de quienes los producen, más allá de una cuestión de oferta y demanda, inicialmente buscan llenar vacíos teóricos, conceptuales y metodológicos con relación a los índices y rankings vigentes en el mercado. Cuando algunos de ellos alcanzan prestigio nacional e internacional, ofrecen servicios de consultoría e incluso venta de estudios a nivel subnacional, en los que incluyen bases de datos. Al respecto, la Organización para la Cooperación y el Desarrollo Económicos (OCDE, 2008) reconoce la utilidad de estos índices con sus diferentes perspectivas como herramientas para el seguimiento del pulso económico y de competitividad de los territorios; sin embargo, también advierte de sus desventajas cuando están débilmente construidos y de cómo pueden conducir a interpretaciones parciales por parte de los usuarios de la información y a formulaciones inapropiadas de las políticas públicas, si en el proceso de construcción los índices no son transparentes y exhiben debilidades de carácter estadístico o conceptual.
Este documento se organiza de la siguiente manera. En la segunda sección se revisan aspectos teóricos sobre el concepto de competitividad y su relación con la productividad y el desempeño económico. La tercera describe brevemente la noción de competitividad y cómo a partir de ella surge un mercado de índices o rankings para medirla en los territorios. Asimismo, analiza las características de los cuatro principales índices de competitividad internacional y nacional de mayor consulta entre los sectores público, privado y académico, destacando sus cambios realizados entre 2008 y 2013 y sus características particulares. La cuarta sección propone dos metodologías para evaluar los índices nacionales de competitividad y en la quinta se presentan los resultados econométricos y comparativos. Finalmente se presentan las principales conclusiones desde la perspectiva de su utilidad para la planeación de las políticas públicas a nivel del desarrollo regional.
Aspectos conceptuales sobre la competitividad
El análisis del concepto de competitividad suele abordarse en el nivel micro teniendo como unidad de análisis las empresas y en el nivel macro teniendo como unidad de análisis los territorios y agentes económicos involucrados (Annoni y Kozovska, 2010). En el plano microeconómico tiene su origen en las teorías del comercio internacional centrado en los enfoques de las ventajas absolutas de Adam Smith (1776) y las ventajas comparativas de Ricardo (1817), según los cuales las naciones que producen mayor cantidad de bienes para el consumo y los intercambian en el marco de economías abiertas, elevan su bienestar al ganar mercados y obtener mayores ganancias gracias a la especialización de aquellos bienes que se producen con menor costo relativo por la mejor eficiencia productiva de los recursos empleados. Con la expansión y mayor presencia de algunas empresas en los mercados internacionales y la creciente incorporación de avances tecnológicos en sus procesos productivos, el análisis de la competencia entre empresas se desplaza crecientemente del enfoque de las ventajas comparativas hacia el de las economías de escala, que además de considerar los bajos costos de producción, incluyen la capacidad de innovación y la diferenciación del producto. Las estrategias de las multinacionales para acceder y ganar mercados a partir de identificar las distintas necesidades de los consumidores entre un país y otro, han dado paso a la formulación de un nuevo enfoque de comercio intraindustrial, ya no exclusivo de los países desarrollados como en su momento lo plantearan Heckscher (1919) y Ohlin (1933), sino de las importantes aportaciones planteadas por Dixit y Stiglitz (1977), Krugman (1979, 1980, 1991, 1997) y Bernard et al. (2007).
En el plano macroeconómico, dentro del proceso de globalización vigente, en el concepto de competitividad, el costo, la productividad y el comercio exterior no son los únicos factores que determinan la capacidad competitiva de las empresas, sino también otros factores dinámicos que influyen en el desempeño empresarial, tales como la innovación, las aplicaciones de la ciencia y el desarrollo tecnológico, el capital humano, la cultura y nuevas formas organización empresarial y de producción (aglomeraciones o clústers), el entorno institucional y la promoción económica de los territorios, entre otros, permitiendo a los países y las regiones insertarse de manera exitosa en los mercados mundiales para elevar el bienestar de su población. En este contexto, Porter (1990) reconceptualiza el término a partir de identificar cinco determinantes del entorno en que las empresas que nacen dentro de un país o región aprenden a competir tanto en su mercado doméstico como en el internacional, determinantes conocidos como el diamante de las ventajas competitivas. A esto han contribuido además los enfoques alternativos generados por la nueva economía institucional (North, 1990 y Chang, 2002).
Cualquiera que sea el ámbito de análisis, existe consenso de que la productividad y las oportunidades de comercio representan elementos fundamentales de la competitividad y el bienestar de un país. Así, mientras para Porter (1990) la competitividad no se hereda sino que se crea y está en función de la capacidad de su sector industrial para adoptar innovaciones tecnológicas que se traducen en un incremento en la productividad, Krugman (1991) argumenta que la localización de las actividades económicas tenderá a concentrarse inicialmente en aquellos territorios vinculados con ventajas absolutas (fuerzas centrípetas) que estarán en constante tensión con otras regiones por los diferenciales en el precio de los factores, transporte, barreras a la entrada, mercados, entro otros (fuerzas centrífugas). Desde su perspectiva esto podría lograr cierta convergencia entre los países del centro y la periferia en términos de productividad de los factores, el crecimiento del ingreso per cápita y el bienestar en el largo plazo, siempre que no se incurra en “el peligro de basar las políticas económicas en un concepto poco claro y que da pie a diversas interpretaciones” (Krugman, 1994).
Revisión de los principales índices de competitividad
El término competitividad presenta distintas acepciones según el ámbito donde se desarrolle y los sujetos-rivales que intervengan. En el ámbito de la economía su significado se desdobla cuando se analiza tanto a empresas como a territorios. Mientras las empresas compiten por conquistar o mantener su cuota de mercado a partir de productos y servicios para obtener márgenes sostenibles de ganancia, los territorios compiten por la atracción de divisas y actividades económicas con el propósito de generar oportunidades para que sus habitantes mejoren sus condiciones de vida, pero también para conservar la imagen y el estatus en el escenario nacional e internacional. Se puede decir que hay una construcción ecléctica del concepto de competitividad que se nutre con enfoques diversos y alternativos, pero también de aproximaciones a partir de la construcción de índices que buscan medir y jerarquizar el grado de competitividad para ciudades, países o regiones, considerando la utilización de variables para su cuantificación y técnicas de estimación adecuadas de acuerdo con el marco referencia adoptado.
El concepto se amalgama cada vez más con nuevos elementos en un entorno cada vez más interconectado a nivel internacional y tecnológicamente más competido, distinguiéndose dos niveles de análisis mutuamente incluyentes: a) las empresas como fuentes de innovación y desarrollo de estrategias para elevar la productividad, centrándose en su capacidad de producir y comercializar sus bienes, en aumentar su cuota en los mercados regionales y en elevar y mantener su rentabilidad y b) los territorios, que se refieren al espacio, ambiente y marco institucional y social donde se desenvuelven e interactúan las actividades y agentes económicos (Furió, 1994; Boisier, 1995; Montero y Morris, 1999), incorporando aspectos sistémicos relativos al quehacer público cuyas acciones influyan en el mejoramiento de la productividad y el bienestar de la población (Cabrero et al., 2003; Esser et al., 1996; Bianco, 2007).
En este entorno ha surgido un mercado de rankings o índices con distintas metodologías y conceptualizaciones, que buscan medir aspectos de la competitividad de los territorios, tales como el ambiente en que se desenvuelven los negocios, el entorno institucional, el grado de internacionalización y globalización, los niveles de educación e impulso a la economía del conocimiento, los costos de los factores y de vida y los niveles de desarrollo y bienestar alcanzados (Huber y Mungaray, 2013).
Los índices de competitividad internacional
Si bien las distintas definiciones relativas a la competitividad tienen un marco de referencia microeconómico, hoy en día incluyen elementos macroeconómicos, socioeconómicos, políticos y culturales que también influyen en el desempeño de las empresas y en el nivel de vida de la población, debido a que reconocen la correlación entre la competitividad de los países y los niveles de vida de su población (WEF, 2004).
Uno de los primeros estudios sobre competitividad internacional y el más difundido en la actualidad es el Global Competitiveness Report que data de 1979 del Foro Económico Mundial (WEF por sus siglas en inglés), con sede en Ginebra. A partir de 2004 se introduce el Global Competitiveness Index (GCI), el cual toma en cuenta bases microeconómicas y macroeconómicas para medir la competitividad de una nación. Para el WEF, la competitividad se define como “el conjunto de instituciones, políticas y factores que determinan el nivel de productividad de un país. Los niveles de productividad determinan las tasas de retorno de las inversiones, las cuales a su vez juegan un papel fundamental en el crecimiento de la economía”. De esta forma, una economía es más competitiva cuando logra crecer a tasas mayores de crecimiento promedio que el resto de las economías en el largo plazo. El indicador se construye a partir de 12 factores que explican la competitividad y posicionamiento de los países y que se agrupan en tres etapas: la primera a economías impulsadas por aumentos en los factores productivos; la segunda a economías impulsadas por mejoras de eficiencia, y la tercera a economías impulsadas por la innovación. Todos se cuantifican de acuerdo con el grado de desarrollo de los países mediante el producto interno bruto (PIB) per cápita (cuadro 1).
Cuadro 1 Posición y evolución para los primeros 20 países y algunos países seleccionados en el Global Competitiveness Index

Fuente: Elaboración propia con base en información de WEF (2008, 2009, 2010, 2011, 2012).
El estudio del WEF es de periodicidad anual y para la edición 2012-2013 contempla 144 países. La información proviene de encuestas y datos duros que se resumen en 111 variables estadísticas de fuentes internacionales. Durante los últimos cinco años, el GCI ha mantenido 91.6 por ciento de sus indicadores al sostener 99, eliminar tres e incorporar 12 nuevos. Esto otorga cierta estabilidad a quienes lo toman como referente para el seguimiento de las acciones públicas que emprenden los gobiernos nacionales para elevar sus niveles de competitividad en el mediano y largo plazo.
Otro de los organismos que estudian la competitividad internacional es el International Institute for Management Development (IMD) con sede en Lausana, a través el documento anual denominado World Competitiveness Yearbook (WYC) desde 1988. El estudio analiza la habilidad de las naciones para crear un ambiente propicio para la competitividad de las empresas. Su concepto de competitividad descansa en la premisa de “cómo una economía gestiona la totalidad de sus recursos y competencias para aumentar la prosperidad de su población”. Para el IMD “la competitividad de una nación no se reduce sólo al PIB per cápita y a la productividad de las empresas, sino también a la forma en que estas últimas deben hacer frente a factores políticos, sociales y culturales”, señalando a su vez “la necesidad de que los gobiernos provean más y mejor infraestructura, así como políticas orientadas a incrementar la competitividad de las empresas”.
Para el cálculo del World Competitiveness Ranking (WCR), la edición de 2012-2013 toma en cuenta 333 criterios de competitividad que contemplan datos duros y encuestas para los 60 países considerados, de las cuales 246 (131 datos duros y 115 de encuestas) se utilizan para el cálculo y el resto se presentan como información adicional derivada de la investigación en la literatura económica nacional e internacional y de la retroalimentación con la comunidad empresarial, agencias gubernamentales y académicos (cuadro 2).
Cuadro 2 Posición y evolución para los primeros 20 países y algunos países seleccionados en el World Competitiveness Ranking

Fuente: Elaboración propia con base en información del IMD (2008, 2009, 2010, 2011, 2012).
Un tercer índice de amplia consulta entre los gobiernos nacionales es el que presenta desde 1995 The Heritage Foundation en su estudio anual del Freedom Liberty Index (FLI), que para su edición 2013 clasifica a 179 países según diez medidas relativas a apertura económica, eficiencia reguladora, estado de derecho y competitividad. Los principios básicos de libertad económica que se enfatizan son el fortalecimiento individual, el trato equitativo y la promoción de la competencia. Para esta fundación la libertad económica se concibe como “el derecho fundamental de todo ser humano para controlar su propio trabajo y propiedad”. Cada uno de los componentes se pondera por igual, con lo que se obtiene un promedio como calificación general de la libertad económica de cada país. Es de destacar que, desde 2008, este índice ha mantenido la totalidad de sus 62 indicadores, incrementando cuatro en los últimos cinco estudios (cuadro 3).
Cuadro 3 Posición y evolución para los primeros 20 países y algunos países seleccionados en el Index of Economic Freedom

Fuente: Elaboración propia con base en información de The Heritage Foundation (2009, 2010, 2011, 2012, 2013).
Otro índice de importancia internacional es el producido por el Banco Mundial denominado Ease Doing Business Index (EDBI), cuya primera publicación data de 2003 y en su edición de 2012 cubre diez grupos de indicadores para 183 economías. El proyecto está dirigido a las pequeñas y medianas empresas nacionales y su finalidad es proporcionar un enfoque objetivo para la comprensión y mejora del entorno regulador de la actividad empresarial, con el fin de que los territorios diseñen regulaciones eficientes, accesibles y de fácil aplicación a todo el que necesite recurrir a ellas. Para su cálculo se utiliza un promedio simple para ponderar los subindicadores y calcular el posicionamiento por medio de un modelo de costeo estándar (cuadro 4).
Cuadro 4 Posición y evolución para los primeros 20 países y algunos países seleccionados en el Ease Doing Business Index

Fuente: Elaboración propia con base en información del Banco Mundial (2009, 2010, 2011, 2013).
Cabe señalar que si bien este indicador no contempla todos los aspectos del entorno empresarial ni todas las regulaciones ni factores de competitividad que interesan a las empresas o a los inversionistas, permite identificar qué países cuentan con las mejores y más simples normas empresariales, con una apropiada cobertura y protección de los derechos de propiedad, y ofrecen mayores facilidades para acceder al crédito y garantizar el cumplimiento de contratos, entre otros aspectos (Banco Mundial, 2012). Entre 2008 y 2013, este índice ha mantenido 84.6 por ciento de sus indicadores, eliminándose seis en los estudios de 2009 y 2010 e incorporando tres a partir de 2011.2
Cada uno de los factores de los índices de competitividad internacional analizados se construye con base en una mezcla de datos duros y de encuestas de opinión de los empresarios. El orden de los países no es directamente comparable con años anteriores debido a la inclusión de nuevos países. Si bien estos índices siguen la mayor parte de las etapas para la construcción de indicadores compuestos propuestas por Nardo et al. (2005),3 desde su aparición en este mercado de índices se observan cambios en el número de indicadores. Tomando como referencia el año 2008 para los cuatro estudios internacionales revisados, las instituciones que los realizan han justificado las sustituciones e incorporaciones con el argumento de mantener la calidad y ajustarse al cambiante entono económico mundial. Mientras el FLI ha mantenido los mismos indicadores, incorporando cuatro nuevos al día de hoy, el WCR mantiene 93.7 por ciento, el GCI 91.2 por ciento y el EDBI 84.6 por ciento. En este último caso, el ranking se actualiza incluso para años anteriores en la medida que se integra nueva información proveniente de los países, lo que implica cambio de posiciones. Una característica adicional a destacar en estos cuatro estudios es que mantienen los mismos valores de sus ponderadores por factores o pilares.
Si bien las limitaciones y debilidades teóricas, conceptuales y metodológicas, así como las ambigüedades de causalidad han sido señaladas en torno a los índices de competitividad internacionales (Krugman, 1996; Lall, 2001 y OCDE, 2008), existe el consenso de que no hay un índice ideal sino “más idóneo” para el análisis de la composición de variables (Fuentes et al., 2012), siempre y cuando se establezca una congruencia entre las variables en juego y la definición fundada. Asimismo, es importante agregar que estos estudios contienen información de gran utilidad para los tomadores de decisiones en el diseño, implementación, seguimiento y evaluación de las políticas públicas. La relativa continuidad observada en los últimos cinco años de los indicadores utilizados para el cálculo de los índices internacionales de competitividad, así como su transparencia acerca de los cambios realizados dentro de los apartados metodológicos, ha permitido a las instituciones que los producen mantener su reputación y credibilidad ante los usuarios de esta información del sector público y privado (cuadro 5).
Los índices mexicanos de competitividad
En México la elaboración formal de índices de competitividad para medir el benchmarking de las entidades federativas se registra a partir de 1995, con la aparición del estudio “La competitividad de los estados mexicanos” que elabora la Escuela de Graduados en Administración Pública y Política Pública (EGAP) del Instituto Tecnológico y de Estudios Superiores de Monterrey (ITESM). Una década después, otras instituciones de educación superior y organismos privados del país empezaron a participar en este “mercado nacional de índices” con base en el empleo de distintas metodologías de medición, con diferentes acepciones para el término competitividad y con el propósito común de servir como referentes en el diseño de políticas públicas encaminadas a elevar el nivel de competitividad de las entidades federativas y el bienestar de sus habitantes. Igual que los internacionales, estos índices se caracterizan por utilizar información ex post con uno y hasta dos años de retraso.
El ITESM ha publicado ocho estudios en los últimos 18 años (1995, 1997, 1999, 2001, 2003, 2007, 2010, 2012) con distintos cambios metodológicos. Sin embargo, es a partir de 2003 cuando esta institución empieza a utilizar una metodología unificada con el fin de dar seguimiento al desempeño de las entidades federativas en relación con los mismos factores y subfactores de competitividad. En su estudio conceptualiza la competitividad como “el medio ambiente creado en una economía de mercado (ya sea una nación, región o cualquier ámbito geográfico), el cual es suficientemente atractivo para localizar y desarrollar actividades económicas exitosas, que permitan generar valor agregado y ser base de riqueza y bienestar” (cuadro 6).
Cuadro 6 Posición de las entidades federativas en el índice de Competitividad Global del ITESM

Fuente: Elaboración propia con cifras del ITESM (2010, 2012).
Otro análisis de la competitividad nacional es el que presenta anualmente la empresa consultora Aregional desde 2005 (hoy AR Información para Decidir) a través de su índice de Competitividad Sistémica de las Entidades Federativas (ICSAR). éste se compone de seis niveles que a su vez se integran por una serie de factores que agrupan un conjunto de indicadores que cuantifican diversos fenómenos determinantes. De acuerdo con AR, “la competitividad es el conjunto de atributos que un país (región, estado, municipio o ciudad) posee y que posibilita a las empresas minimizar sus costos de ubicación y operación, de tal forma que les permita colocar sus productos en los mercados nacionales, pero sobre todo internacionales, a un precio y calidad competitivos. De esta forma, la competitividad sistémica es resultado de la acción conjunta de una serie muy amplia de factores públicos, privados, sociales y personales que actúan de forma simultánea en un determinado territorio”.
La metodología propuesta por AR para la obtención de los ponderadores a nivel de indicadores, factores y niveles, se basa en la combinación de métodos econométricos y estadísticos, como la regresión lineal restringida y el análisis de componentes principales. El cálculo de las ponderaciones se realiza de manera recursiva: primero se reduce la dimensión de los indicadores de cada factor para obtener el factor correspondiente; posteriormente se reduce la dimensión de los factores para obtener cada nivel del ICSar, y una vez obtenidos los seis niveles se reduce nuevamente su dimensión para obtener el ICSar global (Aregional, 2012). En su estudio de 2012 se emplearon 158 indicadores que determinan la competitividad de las 32 entidades federativas y los cambios metodológicos que se realizan en cada edición se reflejan en la actualización de las posiciones para años anteriores como se muestra en el cuadro 7.
Cuadro 7 Posición de las entidades federativas en el índice de Competitividad Sistémica

Fuente: Elaboración propia con cifras del Aregional 2008, 2009 y 2010, 2011, 2012.
Desde 2006 el Instituto Mexicano para la Competitividad (Imco) presenta bianualmente su estudio denominado índice de Competitividad Estatal. Para el Imco, el concepto de competitividad se refiere a “la capacidad de una entidad para atraer y retener inversiones”. Sin embargo, a partir de 2009 adaptó su definición al considerar también la capacidad para atraer y retener talento. Para su estudio 2012 utiliza un total de 88 indicadores para las 32 entidades federativas. La metodología empleada es la misma que utiliza para el cálculo de su índice de Competitividad Internacional de 2009, donde los pesos calculados para los diez subíndices corresponden a una estimación a partir de 137 indicadores de las 32 entidades federativas de México para el periodo 2000-2006, así como de 48 países para el periodo 2001-2007, tomando en ambos casos como variable dependiente la relación entre la formación bruta de capital fijo entre la población económicamente activa (FBCF/PEA). Desde 2006 presenta cambios en su metodología, que incluyen eliminación, incorporación y cambios de medición en los indicadores y variables, con modificaciones de ponderación por indicador así como por subíndices (cuadro 8).
Cuadro 8 Posición de las entidades federativas en el índice de Competitividad Estatal del Imco

Fuente: Elaboración propia con cifras del Imco (2008, 2010a, 2012).
Otro índice de competitividad nacional es el que presentan El Colegio de la Frontera Norte (Colef) y la Universidad Autónoma de Baja California (UABC) cada dos años, denominado índice de Competitividad de las Entidades Federativas Mexicanas (ICEFM). Si bien este índice se realiza desde 1999 en el Departamento de Estudios Económicos del Colef, es a partir de 2010 cuando una alianza institucional le permitió tener una mayor difusión a escala nacional. El concepto de competitividad utilizado toma como referencia la definición de la Subsecretaría de Desarrollo Regional y Administrativa de Chile, que es “la capacidad que tienen los países o regiones para alcanzar niveles de crecimiento económico endógeno sustentable, estando insertos en los mercados globales” (cuadro 9).
Cuadro 9 Posición de las entidades federativas en el índice de Competitividad de las Entidades Federativas Mexicanas de Colef-UABC

Elaboración propia con cifras del estudio de Fuentes y Ledezma (2010) y de Fuentes et al. (2012).
Para cuantificar la competitividad de las entidades federativas el ICEFM utiliza siete factores que se dividen en 19 ámbitos y 79 variables. Para su cálculo estandarizan inicialmente las variables a una gradación única y común que varía entre cero y uno. Después cada subíndice, al nivel de factor, se construye a partir de la agregación ponderada del subconjunto de las variables estandarizadas. Finalmente se agregan los siete factores mediante un promedio simple para obtener el índice general. Las 79 variables se refieren a datos duros para cada una de las 32 entidades federativas, que provienen de fuentes oficiales nacionales.
Entre los índices mexicanos que miden la competitividad de las ciudades urbanas del país destacan trabajos con características más académicas, con énfasis en sus definiciones y conceptos, en las metodologías propuestas y en ofrecer algunas líneas de política pública. El estudio pionero es el presentado por el Centro de Investigación y Docencia Económicas (CIDE) en 2003, denominado índice de Competitividad de las Ciudades de México (ICCM), que consideraba inicialmente 60 zonas metropolitanas y desde entonces se presenta cada cuatro años (2003, 2007 y 2011). En 2011 el estudio se amplía a 74 ciudades de la República Mexicana y evalúa cuatro componentes (económico, institucional, sociodemográfico y urbano) integrados por 56 indicadores con periodos que comprenden de 2008 a 2011. Para el CIDE, la competitividad urbana se refiere “a la promoción de un entorno social, tecnológico, ambiental e institucional propicio para el mejor desempeño de las actividades económicas y del bienestar social”.
Cuadro 10 Posición para las primeras 20 ciudades mexicanas en el índice de Competitividad de las Ciudades de México

Fuente: Cabrero y Orihuela (2012).
En 2004 el Imco presenta su índice de Competitividad de las Zonas Urbanas (ICZU) que, al igual que la versión de las entidades federativas, mide la capacidad de una ciudad para atraer y retener inversiones y talento. La metodología empleada para calcular su índice de 2004 considera 332 municipios en 71 entes clasificados como zonas urbanas, con un total de 122 indicadores en grupos de diez factores, con la misma estructura y pesos que utiliza para los estudios estatales. Para el estudio 2012 el índice de Competitividad Urbana (ICU) cambia su medición ya que se amplía a 77 zonas urbanas que corresponden a las 56 zonas metropolitanas que contemplan el Instituto Nacional de Estadística y Geografía (INEGI) y el Consejo Nacional de Población (Conapo), ahora con 60 indicadores para los mismos diez factores.
En 2007 AR presentó el índice de Competitividad Sistémica de las Ciudades Mexicanas (ICSar Ciudades), que contempla el mismo concepto de competitividad y cálculo utilizado para las entidades federativas. El estudio considera 91 centros urbanos que corresponden a las 55 zonas metropolitanas reconocidas oficialmente a la fecha de realización, con 84 indicadores, 29 factores y seis niveles. El estudio 2010 está conformado por los seis niveles de la competitividad sistémica referidos previamente, con 31 factores y 105 indicadores para un total de 93 centros urbanos.
Cuadro 11 Posición para las primeras 20 ciudades mexicanas en el Índice de Competitividad Urbana.

Fuente: Imco (2010, 2012a).
Cuadro 12 Posición para las primeras 20 ciudades mexicanas en el índice de Competitividad Sistémica de las Ciudades Mexicanas

Fuente: Aregional, 2008 y 2010.
Metodología
En el campo de la economía, el empleo de los números índices no se limita a la medición del nivel general de precios, sino que incluye el estudio de las variaciones de fenómenos complejos.4 En general se emplean dos clases de números índices: los simples de carácter unidimensional, para realizar comparaciones de una misma variable en el tiempo o espacio geográfico, a partir de un año o periodo fijo (año base 100) que permita medir su magnitud. Por su parte, los índices complejos integran varios conceptos y permiten comparar dos o más situaciones en el tiempo o el espacio. En la construcción de los índices que miden la competitividad de los territorios, los de mayor empleo son los índices complejos ponderados. En este grupo se incluyen los índices Laspeyres, Paasche, Edgeworth y Fisher. Entre los inconvenientes de utilizar este tipo de índices están los referentes al cambio de periodo base, el cual requiere una actualización periódica, y la determinación de las ponderaciones.5 Para este último caso existen métodos para realizar el procedimiento que van desde algunos métodos según la influencia de cada variable hacia el resto y según su dependencia del resto. Entre estos métodos destacan el método participativo de ponderación (a nivel de indicadores o agrupados en subíndices o dimensiones o factores); la función de probabilidad acumulada mediante cálculos de regresión a nivel de subíndices o dimensiones o factores normalizando los coeficientes, o una combinación de componentes principales y regresión lineal restringida.
Medir en un solo índice la capacidad que hace competitivo a un territorio, entendiéndo dicha capacidad como la atribución de esos espacios geográficos para generar riqueza (productividad) y prosperidad a partir de los recursos y marcos sociales e institucionales que se pueden observar en un sistema de indicadores, es una labor importante si tiene tres atributos: que sea congruente con el concepto y el enfoque adoptado; que tenga como utilidad principal servir de referente para el diseño, implementación, seguimiento y evaluación de las políticas públicas, y que sirva de fuente de información para los inversionistas y tomadores de decisión.
Después de revisar los índices mexicanos de competitividad y conocer sus diferencias desde el punto de vista cuantitativo y cualitativo, es posible deducir su utilidad como referentes para el diseño de políticas públicas y como guía para el mejoramiento del desempeño económico de las entidades federativas a partir de las variables con que se construyen. Para evaluar el nivel de utilidad se plantean dos propuestas. La primera consiste en verificar la correspondencia de las posiciones relativas de las entidades federativas en los índices nacionales de competitividad con relación a las variables que miden su desempeño económico, utilizando para ello un modelo bivariado simple, así como estimando la ecuación de convergencia ampliada para el caso de economías que presentan diferencias estructurales de ingreso y productividad. Si ésta presenta una relación positiva con el índice de competitividad, indicaría que es un buen estimador de los determinantes de la productividad. Este criterio parte de la metodología estadística empleada por el Foro Económico Mundial para verificar la validez de su índice Global de Competitividad como “estimador sólido del nivel de productividad” (WEF, 2014).6 Ambas especificaciones se estimarán mediante mínimos cuadrados ordinarios. El argumento para llevar a cabo el ejercicio empírico es que si bien cada índice se construye a partir de definiciones que definen el concepto de competitividad, todos los estudios coinciden en que la mejora de los indicadores que lo integran en los territorios deberá reflejarse en una mejora de su posición relativa frente a otros competidores, observándose en el desempeño de la eficiencia productiva, en los ingresos de los habitantes, en la actividad económica y en mayores niveles de bienestar. La segunda propuesta consiste en realizar un análisis comparativo identificando características y cambios observados en las ediciones 2010 y 2012 del Imco, Colef-UABC e ITESM, así como en las 2011 y 2012 para Aregional a nivel de indicadores como de factores.
Para llevar a cabo el ejercicio empírico, se consideran los cuatro estudios nacionales de competitividad de 2012: Aregional, Colef, Imco e ITESM. Los tres primeros índices presentan sus valores globales dentro de una escala de 0 a 100, con excepción del índice del ITESM que va de 0 a 1, por lo que el índice se homologa al multiplicarlo por 100. Para la variable del desempeño económico y como proxy de la variación del nivel de productividad, siguiendo la metodología del WEF, se utiliza el producto interno bruto real per cápita de las entidades federativas en tres series: para el modelo bivariado se emplea la serie del año 2012 en escala logarítmica para analizar su correspondencia con cada uno de los índices de competitividad; para la estimación de la ecuación de convergencia ampliada, la segunda y tercera series se presentan también en logaritmos, donde la tasa de crecimiento anual promedio, de 2003 a 2012, del ingreso per cápita es la variable dependiente y la serie del ingreso inicial para el año 2003 representa la variable independiente. Para calcular el ingreso per cápita real por entidad federativa de 2003 a 2012, se consideran los valores del PIB estatal en pesos de 2008 tal como los presenta el INEGI y se dividen entre el número de habitantes de cada estado estimados por el Conapo.
Resultados. ¿cuál es el mejor índice de competitividad mexicano a considerar?
Resultados de las estimaciones
Antes del ejercicio econométrico, se analiza la correspondencia entre las posiciones relativas de los ingresos per cápita y los índices nacionales de competitividad por entidad federativa. El cuadro 13 presenta un comparativo entre los cuatro índices de competitividad nacional con el ingreso por habitante y por personas ocupadas en valores absolutos y en tasa de crecimiento. De acuerdo con la información, y considerando una diferencia de ±2 posiciones en dichas correspondencias, se observa que el número de correspondencias en el ingreso por habitante es mayor que en el de las personas ocupadas. Así, en el PIB per cápita de 2012, el índice de Aregional es el que presenta el mayor número de correspondencias, con 17 entidades federativas, seguido con 14 en los tres índices. Con relación a la tasa de crecimiento anual promedio del PIB per cápita 2003-2012, Aregional es el que presenta el mayor número de entidades, con 18 correspondencias, seguido del Imco con 17, ITESM con 13 y el Colef con 10.
Cuadro 13 Análisis de las posiciones de las 32 entidades federativas para los cuatros índices de competitividad nacional de 2012

Fuente: Elaboración propia.
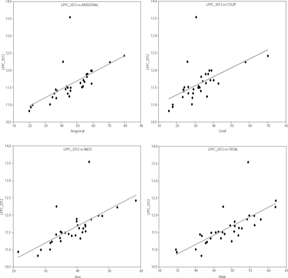
En el primer ejercicio con el modelo bivariado, con el que se busca estimar los porcentajes de variación del ingreso per cápita explicado por los índices de competitividad a través del coeficiente de determinación (R²), los resultados arrojan una aparente correlación entre el PIB per cápita y los índices nacionales, donde si bien los coeficientes resultan ser estadísticamente significativos y cumplen con los supuestos del modelo clásico de regresión lineal por mínimos cuadrados ordinarios, sus R² son bajos (véase el anexo 1). En este sentido, el índice del ITESM presenta el mayor valor de este coeficiente con 0.506361, seguido del Imco con 0.474701, Aregional con 0.391818 y el de UABC-Colef con 0.293870 (gráfica 1).

Fuente: Estimaciones propias a partir de INEGI (2008), Conapo (2015), ITESM (2012), Imco (2012), Fuentes et al. (2012) y Aregional (2012).
Gráfica 1 Relación del índice de competitividad y el PIB per cápita real de las entidades federativas
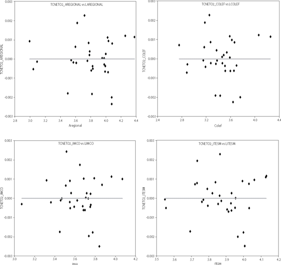
Para determinar la relación entre la tasa crecimiento neto de la productividad y los índices nacionales de competitividad, se estimó la ecuación [2] para cada uno de ellos. Los signos para los coeficientes fueron los esperados, mas no así la significancia estadística para cada una de las a1. Las pruebas de heterocedasticidad no muestran problemas (véase anexo 2), si bien se detecta cierto grado de multicolinealidad entre los regresores. Los residuales de la estimación de los cuatro índices en la gráfica 2, muestran que al no existir relación positiva entre la tasa de crecimiento de la productividad y los índices nacionales, estos índices no pueden considerarse como proxy del nivel de productividad de las entidades federativas.

Fuente: Estimaciones propias a partir de INEGI (2008), Conapo (2015), ITESM (2012), Imco (2012), Fuentes et al. (2012) y Aregional (2012).
Gráfica 2 Relación entre los índices nacionales de competitividad y el crecimiento (efecto neto de convergencia)
Resultado de las comparaciones
Debido a que los anexos metodológicos de tres instituciones, con excepción del Imco, no incluyen los valores de los pesos por factor asignados en sus índices, el cuadro 14 presenta una aproximación a partir de calcular el coeficiente de correlación entre los índices de competitividad como variable dependiente y los factores como variables independientes. De esta forma, el Imco asigna mayores pesos a sectores económicos con potencial, sectores precursores de clase mundial y sistema de derecho confiable y objetivo; el ITESM los asigna principalmente a eficiencia de negocios, infraestructura y desempeño económico; Colef-UABC a los factores empresas; innovación, ciencia y tecnología y recurso humano; y Aregional a nivel empresario, nivel valores sociales, nivel empresa y nivel nacional. En el supuesto de que la medición de estos índices se mantuviera para las siguientes ediciones, los estados planificarían y focalizarían sus instrumentos y acciones públicas, además de las recomendaciones que emiten los estudios, en aquellos factores e indicadores donde más peso tienen, con el propósito de mantener o elevar su nivel de competitividad en el mediano y largo plazo.
Cuadro 14 Factores y pesos de los cuatro índices de competitividad nacional

Fuente: Elaboración propia. *Los valores representan los coeficientes de correlación (R²) estimados entre los índices de competitividad (como variable dependientes) contras los factores o pilares. Los valores entre paréntesis representan las normalizaciones de los R² y representan las ponderaciones de cada uno de ellos, cuyas sumas dan valor de 1. **Las ponderaciones del Imco se obtuvieron de dos formas. En la primera columna están los valores normalizados del Imco 2009. La segunda se obtuvo calculando el coeficiente de correlación entre el ice (como variable dependiente) respecto a sus diez factores del estudio 2012. Los resultados del R² y posteriormente normalizados, identificados entre paréntesis, no distan mucho respecto al de 2009, considerando que a las de 2012 se suman también las ponderaciones por indicador que integran dichos factores. Este mismo ejercicio se realizó para los demás índices de competitividad 2012.
En los cuatro estudios se pueden encontrar cambios a nivel de indicadores en cada edición, por lo que las precisiones que se realizan a las variables para generar los índices obedecen a que las variables dejan de actualizarse por parte de las fuentes oficiales (Imco, 2012 e ITESM, 2012); a la necesidad de contar con una base de datos más manejable, fácil de interpretar y con datos estrechamente correlacionados al interior de cada uno de los factores a los que pertenecen (Aregional, 2012), y a la eliminación de variables que perdieran poder explicativo, depurando las fuentes de información por aquellas que actualizan de manera más oportuna los datos o que cuentan con metodologías más robustas (Imco, 2012).
En este sentido, si bien estadísticamente es válido buscar indicadores más apropiados que mejoren la calidad y el poder explicativo de los índices de competitividad con relación a su marco conceptual, desde el punto de vista de la planeación económica en el sector público, se debe tomar en cuenta que cambiar radicalmente las variables y las ponderaciones de los factores que lo integran en cada edición, llevaría a los gobiernos a desfasar su planeación respecto a los índices e indicadores que se toman como referencia para mejorar la competitividad de sus territorios. Por otro lado, sólo el estudio del Imco 2012 expone entre sus anexos metodológicos un análisis de la prueba de validez estadística para su índice, utilizando la formación bruta de capital por persona ocupada como su variable dependiente.
El cuadro 15 ilustra los recientes cambios de variables e indicadores para los cuatro índices analizados, encontrando que la mayor depuración la ha realizado el Imco, al mantener sólo 59.2 por ciento de sus indicadores en su edición de 2012 respecto a la de 2010, así como la empresa privada Aregional, al depurar 59 de 215 indicadores que presentó en 2011, manteniendo 72.6 por ciento en 2012. Por su parte, los del ITESM y Colef-UABC permanecen en 88.9 por ciento y 80.3 por ciento, respectivamente. Tanto Imco como Aregional realizan reestimaciones en sus índices respecto a los presentados en sus estudios anteriores cuando cambian sus indicadores, como se ilustra en los cuadros 7 y 8.7 Es importante considerar que como todo índice compuesto es altamente sensible a cambios de variables, eso produce sesgos en sus resultados, en el análisis y en las conclusiones que realizan los tomadores de decisiones.
Hallazgos y conclusiones
Partiendo de que todos los estudios de competitividad tienen como propósito servir de instrumentos de referencia para el establecimiento de estrategias y propuestas que promuevan de manera participativa la competitividad de los territorios, el mejor índice de competitividad no será aquel que presente la mayor correlación entre las variables en juego, sino aquel o aquellos que además de mantener su estructura metodológica, mantengan una estabilidad en el número de indicadores que integran los índices en el tiempo y en congruencia con su marco conceptual. Esto otorga certidumbre y continuidad para el seguimiento de las acciones públicas que emprenden los gobiernos regionales con el fin de elevar sus niveles de competitividad en el mediano y largo plazo, lo cual permite destacar cinco hallazgos:
Al igual que en los índices internacionales de competitividad, las distintas instituciones que miden la competitividad de las entidades federativas mexicanas han realizado cambios en su medición, con la justificación de falta de actualización o cambios de metodología en los indicadores provenientes de las fuentes oficiales. Estas limitantes, si bien conducen a la búsqueda o sustitución de indicadores y variables que permitan sustentar estadísticamente que sus índices presentan una alta correlación y significancia estadística con las variables y factores en juego, pierden el enfoque y sentido de la definición de competitividad inicialmente establecida. A manera de ejemplo, el estudio 2010 del Imco para entidades federativas consideraba 120 indicadores acordes con su de finición de competitividad y para 2012 presentó 88. Asimismo, en su estudio de competitividad por ciudades de 2010 presenta un ranking considerando 111 indicadores para 84 ciudades y en 2012 disminuyó a 60 para 77 ciudades. De esta forma, queda claro que con distintos conjuntos de indicadores se miden diferentes cosas.
Los datos duros representan un excelente insumo para ser considerados en los esquemas de planeación y presupuestación del gasto público basado en resultados que hoy predomina en México, así como en programas, proyectos y políticas públicas para seguimiento y evaluación de objetivos y resultados. Sin embargo, cuando éstos llegan a descontinuarse por cambios como los mencionados, rompen con la alineación de los objetivos y metas en planes y programas del sector público respecto a los índices de competitividad que se toman como referencia.
Además de ser altamente sensibles a cambios de variables, los índices de competitividad también lo son en las ponderaciones a nivel de factores. La experiencia internacional muestra que los cambios de indicadores en los rankings de competitividad son tanto inherentes a la disponibilidad de información de las fuentes oficiales, como a la evolución de la economía mundial. Sin embargo, dichos cambios requieren ser graduales y no repentinos, manteniendo su calidad tanto en aspectos cuantitativos como conceptuales. Las modificaciones de manera abrupta inducen a los usuarios a analizar y emitir conclusiones parciales y confusas al comparar avances y retrocesos en los temas relativos al quehacer público dentro de sus territorios.
Para la medición de la competitividad de los territorios es importante que los índices se construyan a partir de dos consideraciones: la primera es la que determinan aquellos factores que miden la plataforma competitiva y contribuyen en el mediano y largo plazo al crecimiento económico y prosperidad de sus habitantes y, la segunda, que estos factores permitan conocer la evolución de la competitividad de los territorios en el tiempo, para que los hacedores de políticas públicas puedan hacer seguimiento o modificaciones a partir de los indicadores y factores de los índices de competitividad relacionados con la productividad.
Los resultados de los ejercicios empíricos para el modelo [1] muestran que si bien los índices de competitividad del ITESM e Imco revelan que alrededor de 50 por ciento de las variaciones del ingreso real per cápita de los estados pueden ser explicados por sus índices, ninguno de ellos, como tampoco los de Aregional y Colef-UABC, pueden considerarse como proxy del nivel de productividad de las economías estatales, como se corrobora en los resultados de la ecuación [2]. Asimismo, en cuanto al cambio de variables entre las ediciones 2010 y 2012, el del ITESM es el que muestra mayor estabilidad (89% de permanencia) y por ende mayor correspondencia con las posiciones relativas de las entidades federativas. Las mayores debilidades detectadas se encuentran por el lado de las ponderaciones asignadas a los factores, pues aunque en los anexos metodológicos de los cuatro índices no se mencionan explícitamente, en cada edición va cambiando el valor de los ponderadores. Estos cambios abruptos obedecerían a que lo que resultaba apropiado o de suma influencia en un periodo puede dejar de serlo en otro, afectando su confiabilidad.
La competitividad es un tema que preocupa tanto a las agencias de gobiernos y organismos multilaterales como a los sectores empresariales y académicos de todo el mundo. Es evidente que existe una gran demanda por análisis y recomendaciones para generar propuestas con estrategias coherentes e integrales que permitan cambios estructurales que lleven a los territorios al siguiente nivel de desarrollo.
Los ejercicio empíricos y la revisión de las metodologías para la construcción y cálculo de los índices de competitividad generan resultados que dejan como reflexión la necesidad de que las instituciones nacionales que los producen enfoquen mejor sus metodologías de medición y análisis en torno a los factores que limitan y potencian los niveles de productividad de las economías estatales y del país en general y que sirvan como guías para el seguimiento de las políticas públicas que se establezcan.8 El Plan Nacional de Desarrollo 2013-2018, en la estrategia transversal “Democratizar la productividad” y en el Eje IV “México próspero”, establecen líneas de acción para instrumentar una política nacional de fomento económico para la competitividad, la productividad y el desarrollo industrial, así como para eliminar las trabas que limitan el potencial productivo del país, que en los últimos treinta años ha mermado (OCDE, 2015; PND, 2013-2018; Loría, 2009).
Los organismos e instituciones nacionales que producen los índices deberán al menos atender tres consideraciones de utilidad para los usuarios: primero, que exista claridad y continuidad en la definición de lo que miden los índices de competitividad en congruencia con las “variables estratégicas” en juego (Annoni y Kozovska, 2010); segundo, que los cambios metodológicos no sean abruptos entre una y otra edición, siguiendo lo observado en los índices de competitividad internacional analizados, para que coadyuven al seguimiento y transparencia de las políticas públicas que se implementen en los territorios, y tercero, que estos índices midan más aspectos estructurales que coyunturales de la competitividad. Adicio nalmente y partiendo de que los estudios de competitividad presentan distintos cortes de tiempo en sus indicadores, resulta oportuno que las instituciones señalen con mayor énfasis en sus boletines y en los medios de comunicación, qué periodo están evaluando cuando salen a la luz pública.
El mejor índice y estudio para medir la competitividad será aquel que permita identificar los factores que inhiben el nivel de productividad de las economías estatales, que permita impulsar su desempeño económico, realizar la planeación económica, hacer el seguimiento de sus variables en el mediano y largo plazo, y facilitar los trabajos de coordinación eficaz entre los sectores para atender las áreas estratégicas y generar acciones que eleven y mejoren los niveles de competitividad en sus territorios. En la medida en que los índices nacionales de competitividad señalen y describan de manera exhaustiva, clara y transparente, desde los anexos metodológicos, los cambios que se producen en la medición de la competitividad de los territorios, mayor será su utilidad como apoyo en el diseño y seguimiento de políticas públicas y por lo tanto mayor la certidumbre y confiabilidad para los hacedores de política pública y los tomadores de decisiones.










nueva página del texto (beta)






