Servicios Personalizados
Revista
Articulo
Indicadores
Links relacionados
-
Similares en
SciELO
Compartir
Gestión y política pública
versión impresa ISSN 1405-1079
Gest. polít. pública vol.18 no.2 Ciudad de México ene. 2009
Gestión y política pública
Corrupción y democracia: América Latina en perspectiva comparada
Corruption and Democracy: Latin America in Comparative Perspective
Mauricio Morales Quiroga*
* Es profesor-investigador del Instituto de Ciencias Sociales, Universidad Diego Portales. Ejército 333, Santiago, Chile. Tel. 02-676-81-66, Correo-e: mauricio.morales@udp.cl. Doctorado en ciencia política por la Pontificia Universidad Católica, Vicuña Mackenna 4860, Santiago, Chile. Tel. 02-354-78-15. Correo-e: mjmorale@puc.cl.
Artículo recibido el 31 de julio de 2008
Aceptado el 9 de diciembre de 2008.
Resumen
Si bien existe un amplio acuerdo entre los estudiosos de la disciplina respecto al impacto negativo de la corrupción sobre la democracia, se han encontrado significativas diferencias al combinar la percepción y la victimización por corrupción, con los apoyos y satisfacción con el régimen. De acuerdo con el estudio de LAPOP para 2006, se concluye que mientras la percepción de corrupción asociada con el desempeño de los funcionarios públicos no explica sustantivamente los apoyos a la democracia, las experiencias personales de corrupción medidas en el índice de victimización sí se presentan como un factor determinante. Por otro lado, la percepción de corrupción resulta más significativa al momento de evaluar la satisfacción con la democracia y la confianza institucional, en comparación con los índices de victimización. Es decir, si bien los ciudadanos pueden manifestarse críticos respecto al desempeño de las autoridades en términos de corrupción, esto no se traduce necesariamente en una caída en los apoyos a la democracia. De este modo, si bien el argumento de que la corrupción afecta a la democracia es correcto, esta afectación se diferencia al considerar el impacto de la percepción y la victimización sobre los niveles de legitimidad y satisfacción con el régimen en los países de América Latina.
Palabras clave: corrupción, democracia, América Latina, percepción, victimización.
Abstract
While there is broad agreement literature regarding the negative impact of corruption on democracy, there are significant differences by combining the perception and victimization by corruption, with the support and satisfaction with the regime. The study of LAPOP for 2006 concluded that while the perception of corruption associated with the performance of civil servants does not explain substantively support for democracy, personal experiences of corruption measures in the rate of victimization presents itself as a determinant factor. Moreover, the perception of corruption is more meaningful to assess satisfaction with democracy and institutional confidence compared to the rates of victimization. In other words, while citizens can speak critical of the performance of the authorities in terms of corruption, this does not necessarily translate into a fall in support for democracy. Thus, although the argument that corruption affects democracy is correct, does it differently considering the impact of perception and victimization on the levels of legitimacy and satisfaction with the regime in Latin American countries.
Keywords: corruption, democracy, Latin America, perception, victimization.
EL PROBLEMA
Existe un amplio consenso respecto al impacto negativo de la corrupción sobre el desempeño de las democracias. Tal relación ha sido estudiada desde dos enfoques metodológicos. En primer lugar figuran los trabajos que miden estas variables considerando datos nacionales en series de tiempo, elaborados principalmente por Transparency International y Freedom House (Goldsmith, 1999; Sandholtz y Koetzle, 2000; Treisman, 2000; Montinolla y Jackman, 2002; Blake y Martin, 2006, entre otros). En segundo término aparecen investigaciones que se basan en datos de encuestas de opinión para evaluar, por ejemplo, el impacto de la corrupción sobre la legitimidad y la satisfacción respecto a los regímenes democráticos (Colazingari y Rose-Ackerman, 1998; Seligson, 2002; Canache y Allison, 2005). Este trabajo combina ambos niveles de análisis, para confirmar si, en efecto, la corrupción, medida en términos de percepción y victimización, influye significativamente sobre los niveles de legitimidad y satisfacción con la democracia. Esto último, con base en los datos suministrados por LAPOP (Latin American Public Opinion Project) para 2006.
El trabajo intenta responder las siguientes preguntas: ¿qué factores políticos y económicos se relacionan de manera más estrecha con los índices de corrupción en América Latina? ¿en qué medida los índices de percepción y victimización por corrupción afectan el apoyo a la legitimidad y la satisfacción con el régimen democrático? Como se ha señalado, este artículo está basado en los dos enfoques metodológicos generales para el análisis de la corrupción, pero con especial énfasis en el estudio de las encuestas. En cierta medida, se siguen algunas recomendaciones formuladas por Lancaster y Montinola (1997 y 2001) respecto a la complementariedad entre los estudios con un amplio número de casos (países) que atienden algunas variables políticas y económicas, y otros que abordan la discusión a partir de las encuestas, las cuales incluyen, de preferencia, un número reducido de países para efectuar las comparaciones.
Lo anterior conduce al siguiente planteamiento. La variable dependiente, en la primera sección del artículo, corresponde al índice de percepción de corrupción (CPI, por sus siglas en inglés). Lo central en este punto consiste en identificar las variables económicas que en mayor medida se correlacionan con este índice, tales como el producto bruto per cápita de los países y el índice de desarrollo humano. Los problemas de endogeneidad en este tipo de investigaciones, como reconocen Heywood (1997), Treisman (2000) y, en particular, Lambsdorff (1999), nos limitan, en cierto sentido, a realizar sólo inferencias descriptivas. Como no existe seguridad respecto a la direccionalidad de la relación causal entre corrupción y otras variables económicas y políticas, entonces lo razonable es la realización de un análisis más parsimonioso, aunque dejando en claro que algunas relaciones, de acuerdo con la teoría, sí son susceptibles de un análisis inferencial más exacto. En esta misma sección, se relaciona el CPI con algunas variables de corte institucional asociadas con las características de la democracia, tales como el índice de derechos políticos elaborado por Freedom House, la competencia política en el Poder legislativo, el índice de libertad de prensa y la durabilidad de la democracia, entre otras. Así, esta primera parte muestra un mapa de variables útiles para el análisis de la corrupción.
En la segunda parte se utiliza como variable dependiente los índices de percepción y victimización por corrupción de acuerdo con los resultados de la encuesta de LAPOP para 2006, con el objetivo de encontrar algunos determinantes de tales índices de acuerdo con algunas variables de largo plazo, como sexo, edad y nivel socioeconómico, y otras de corto plazo, como las evaluaciones sobre la economía, tanto a nivel egotrópico (situación económica personal) como sociotrópico (situación económica del país) (Nannestad y Paldman, 1994)1 en conjunto con los niveles de aprobación presidencial. Luego de este breve recorrido, me enfoco en la relación entre corrupción y democracia. Esta última queda dividida en dos áreas: en primer lugar, los niveles de legitimidad o apoyo al régimen y, en segundo término, el grado de satisfacción. Tanto la legitimidad como la satisfacción con el régimen actúan, para esta parte del trabajo, como variables dependientes, mientras que los niveles de percepción y victimización por corrupción lo hacen como independientes. El objetivo será identificar las principales variaciones intrarregionales de acuerdo con el análisis de esta relación. Es importante puntualizar que la percepción de corrupción, si seguimos la pregunta que se formula en los estudios de LAPOP, mide aspectos relativos a la gran corrupción política. Es decir, actos ilícitos en cuya participación destacan altos funcionarios públicos o partidarios, y que son difundidos ampliamente por los medios de comunicación. La victimización, en tanto, se refiere más precisamente a la microcorrupción, es decir, a los actos ilícitos en que el encuestado se ha visto envuelto como actor pasivo, recibiendo presiones por parte de agentes públicos.
En síntesis, la primera parte del trabajo busca conocer las variables que, a nivel de cross-national, en mayor medida se relacionan con la corrupción. Luego de mostrar este mapa de variables, en la segunda parte me aboco a la tarea de identificar tanto los determinantes de la corrupción a nivel de encuestas como el impacto de ésta sobre los niveles de apoyo y satisfacción con el régimen democrático.
ENFOQUES EN EL ESTUDIO DE LA CORRUPCIÓN
Según Transparency International, corrupción se define como aquel acto en que se produce un abuso de la función pública para beneficios privados (véanse, además, Theobald, 1999; Rose-Ackerman, 2001; Sampford et al., 2006). Treisman (2000) la entiende como el mal uso de la función pública para obtener ganancias personales, mientras que laPalombara (1994, 1) la define como un acto realizado por servidores públicos (electos o designados) en beneficio personal o de personas cercanas a ellos, lo cual manifiesta una conducta desviada de sus funciones institucionales. Tal acto requiere una transacción, la que no necesariamente encuentra como contraparte a otro agente estatal, sino a agentes de la sociedad civil que pueden ser empresarios, sindicatos, grupos de presión o partidos políticos. Para Rose-Ackerman (2001, 11), en cambio, la corrupción es "un síntoma de que algo no ha funcionado bien en la gestión del estado [...] las instituciones diseñadas para gobernar la interrelación entre los ciudadanos y el estado se utilizan, en vez de ello, para el enriquecimiento personal y para proporcionar beneficios a los corruptos". Además, la corrupción puede volverse persistente a pesar de las reformas anticorrupción, llegando a transformarse en una norma social (Mishra, 2006).
A fin de ordenar la exposición, se describen, de manera muy breve, los distintos enfoques para el estudio de la corrupción. En primer lugar, destacan las variables económicas que son explicadas o que explican los distintos niveles de corrupción. nuevamente, es importante subrayar los problemas endógenos de la relación. Más allá de esto, la corrupción es vista como una variable que afecta directamente las tasas de crecimiento y desarrollo de los países (Nye, 1967; Mauro, 1995; Keefer y Knack, 1995; Ades y Ditella 1996; Jain, 1998; Sandholtz y Koetzle, 2000;Treisman, 2000; Haber, 2002; Collier, 2002). Es decir, la corrupción se asocia con naciones con bajos niveles de crecimiento, bajos salarios para los funcionarios públicos (Treisman, 2000; Rose-Ackerman, 2001, 99), así como con escasas tasas de inversión (Mauro, 1995); por cierto, se presenta como factor determinante en los niveles de ineficacia e injusticia en la distribución del ingreso (Rose-Ackerman, 2001, 308).
Por otro lado, existen posturas que destacan variables económicas de orden estructural que generan un incremento en los índices de corrupción. Así, el trabajo de Montinola y Jackman (2002) corrobora la mayor propensión a la corrupción de los países productores de petróleo, toda vez que se caracterizan por sus regímenes no democráticos (o escasamente democráticos), donde los mecanismos de control son casi inexistentes, lo que va de la mano de un alto poder discrecional por parte de las autoridades. Si bien la relación entre niveles de producción de petróleo y escasos índices de democracia fue reafirmada después por Boix (2003), su argumento giró principalmente en torno a los problemas de redistribución y no tanto a los factores de corrupción asociados con este tipo de regímenes.
Por último, destaca el análisis de las burocracias como otro factor determinante en los niveles de corrupción. El trabajo de Mauro (1995) ilustra en buena medida la relación entre la eficacia de las burocracias y los índices de corrupción. Cuando las burocracias retardan las decisiones, muchas veces los actores privados se ven en la necesidad de otorgar incentivos ilegales para acelerar los trámites. El trabajo de Kaufmann (1998) da a conocer las variaciones entre los países de acuerdo con el tiempo que los actores privados dedican a su relación con funcionarios estatales, lo cual se estudia en profundidad, para el caso italiano, en el trabajo de Della Porta y vannucci (1997), y por Morris (1999), para el caso de México.
El segundo enfoque es de orden cultural. En tal sentido, existirían países que, de acuerdo con sus tradiciones y costumbres, serían más propensos a la corrupción que otros (Harrison y Huntington, 2000; Treisman, 2000; Husted, 2002; Morris, 2004). Si bien este enfoque puede ser criticado por su vocación determinista, los análisis empíricos respaldan las principales hipótesis. Aquí destaco dos de ellas. La primera apunta a la tradición legalista británica de los países. El planteamiento es que aquellas naciones que fueron depositarias de esta tradición son menos permeables a la corrupción, pues son capaces de desarrollar una cultura de la legalidad. La segunda da peso a los factores religiosos; su planteamiento, desarrollado principalmente por Lipset y Salman (2000) y Treisman (2000), es que los países con población mayoritariamente protestante serían menos proclives a la corrupción, a diferencia de los países católicos, donde las relaciones de lealtad y de amistad parecen sobreponerse a parámetros más individualistas y autónomos. En definitiva, el protestantismo reduciría la corrupción por su asociación más individualista y no tan colectiva o familiar como la del catolicismo (Lipset y Salman, 2000).2 Para Rose-Ackerman (2001), la cultura importa. Lo que en un país puede definirse como soborno, en otro puede ser simplemente un regalo. Sin embargo, como la autora sostiene, la cultura es dinámica y puede cambiar: "las definiciones de la conducta aceptable pueden cambiar una vez que se informa a la gente de los costos que implica la tolerancia a pagar sobornos a políticos y a funcionarios" (Rose-Ackerman, 2001, 152).
El tercer enfoque es el más relevante para este trabajo. uno de los consensos centrales consiste en que la corrupción en general está asociada con regímenes políticos con bajos índices de libertad y apertura, severos problemas de institucionalización, bajo índice de desarrollo humano e insuficientes niveles de confianza interpersonal y hacia las instituciones (Tanzi, 1994; Johnston, 1986; Morris, 2004). respecto a los efectos de la corrupción, laPalombara (1994) destaca el impacto sobre la confianza hacia las instituciones, en conjunto con las reglas formales de la democracia; mientras Kaufmann (1998) sostiene que la corrupción genera, a la larga, un efecto negativo sobre la legitimidad de los sistemas políticos democráticos.
La corrupción presenta como caldo de cultivo escenarios de escasa alternancia en el poder, donde los actores políticos se encuentran prácticamente anquilosados en las estructuras institucionales y muestran una baja disposición para propiciar la alternancia (Treisman, 2000; Heywood, 1997). Esto es válido principalmente para sistemas con bajos o nulos índices de democracia. En el caso de América Latina destacan los innumerables casos de corrupción tanto durante los regímenes autoritarios como en las emergentes democracias de los años noventa. La aplicación de profundas reformas económicas acompañadas de amplias políticas de privatización funcionó en un esquema de escasa accountability (principalmente horizontal), lo que desencadenó un escenario propicio para la corrupción (Kaufmann y Siegelbaum, 1997). Los casos más representativos fueron los de Salinas de Gortari en México (Knight, 1996; Morris, 1999), Fernando Collor de mello en Brasil (Geddes y Ribiero Neto, 1992; Sives, 1993; De Souza, 1996), Carlos Menem en Argentina (Saba y Manzetti, 1996), Carlos Andrés Pérez en Venezuela (Little y Herrera, 1996), Alberto Fujimori en Perú (Roberts, 1995; Dammert 2001). Si bien el variopinto contexto político abarca desde un autoritarismo institucional en México hasta neopopulismos en Brasil, Argentina y Perú, caracterizados por evidentes esquemas de democracia delegativa, los autoritarismos no escapan a esta lógica. El caso del general Augusto Pinochet en Chile es ilustrativo a este respecto. Muy a principios de esta década se descubrieron las millonarias cuentas que el ex presidente tenía en el extranjero, lo que se sumaba al hallazgo de severas irregularidades durante su extenso mandato. Lo concreto es que, más allá del tipo de régimen, la corrupción tiene mayores probabilidades de surgir en escenarios con presidentes cuyo mandato está alejado de la lógica del responsable party government y que tienden a administrar de manera discrecional el poder. A esto se suman escasos niveles de oposición efectiva, bajo control social y exiguos niveles de libertad de prensa.
Lo anterior puede sintetizarse en el concepto de "competencia política". El trabajo de Montinola y Jackman (2002) sostiene que la competencia es un fuerte inhibidor de la corrupción, lo que también puede asociarse con los niveles de alternancia en el poder de los partidos. Por ejemplo, si los funcionarios (partidos) están conscientes que frente a un acto de corrupción pueden ser removidos de sus cargos en las siguientes elecciones, entonces el temor a la derrota los hará menos proclives a este tipo de conductas (Montinola y Jackman, 2002, 150). El hecho de contar con oposiciones sólidas, creíbles, competitivas y que se presenten como verdaderas alternativas de gobierno podría amedrentar al partido o coalición en el poder para ejecutar actos de corrupción. Además, y de acuerdo con otra variable adicional en este sentido, Treisman (2000) asocia los bajos niveles de corrupción con la extensión de los periodos democráticos de los países. En el caso de América Latina la hipótesis es plausible, pues los países que encabezan la lista del CPI son, precisamente, los que tienen la más larga tradición democrática: Chile, Uruguay y Costa rica. Desde una perspectiva más global, Johnston (1997) sostiene que la corrupción tiene mayor probabilidad de prevalecer en aquellos países que han llevado a cabo una reforma económica que no ha ido de la mano de una reforma política. De esta manera, cuando se produce un incremento en la apertura comercial y la élite se mantiene en posiciones hegemónicas, la inexistencia de competencia alimenta las opciones de esa élite para caer en actos de corrupción.
Otro factor que interviene en los casos de corrupción desde la perspectiva de la competencia política es el clientelismo. Existe un estrecho vínculo entre el intercambio de favores por votos (clientelismo) y los casos de corrupción. En otras palabras, los sistemas de partidos basados principalmente en redes clientelares serán más propensos a los actos de corrupción (Rehren, 1997; Máiz, 2003). Como la relación entre el cliente y el patrón es directa y sin mediación formal, las instituciones políticas comienzan a ser menos creíbles, lo que indudablemente va en detrimento de la democracia (Johnston, 1979).
Respecto a la relación específica entre democracia y corrupción, nuevamente el trabajo de Rose-Ackerman (2001, 308) permite una aproximación inicial: "la legitimidad política se halla debilitada si el gobierno permite a algunos obtener ganancias privadas desproporcionadas a expensas de otros". Es decir, la corrupción tiene un impacto decisivo en los niveles de apoyo al régimen democrático en el largo plazo (Kaufmann, 1998). Para Warren (2004) la corrupción en democracia es la corrupción de la democracia, pues genera fuertes ineficiencias en la provisión de bienes públicos, lo cual daña en forma severa la cultura de la democracia, por lo tanto, los ciudadanos pierden confianza en los responsables de tomar las decisiones y ello erosiona las bases de la reciprocidad y la cercanía hacia las instituciones.3
Los planteamientos de Warren (2004) coinciden, en cierta medida, con los hallazgos de Seligson (2002), desde el punto de vista de la opinión pública, pues justamente son los hechos percibidos de corrupción los que afectan la confianza en las instituciones democráticas. Más allá de la condición social, económica o de apoyo al gobierno de los encuestados, la percepción de corrupción termina por dañar las bases de legitimidad del régimen y, además, erosiona los niveles de confianza interpersonal. En otras palabras, la corrupción no sólo tiene efectos económicos, como se mostró en el primer enfoque, sino también presenta severos efectos en el ámbito político (véase, además, Lagos, 2003). Así, el aumento de los casos de corrupción y la consecuente percepción ciudadana afectan los apoyos hacia la democracia, en particular porque las instituciones más dañadas son los partidos políticos, lo que contribuye al distanciamiento entre ellos y la ciudadanía (Dalton, 1999; Weyland, 1998; Anderson y Tverdova, 2003; Warren, 2006). Desde las variables más coyunturales, el trabajo de Anderson y Tverdova (2003) da cuenta de los efectos de la corrupción sobre los apoyos al régimen, pero establece importantes diferencias entre quienes respaldan y quienes rechazan al partido incumbente. Estos últimos se ven menos afectados por los actos de corrupción en el momento de apoyar al gobierno.
DETERMINANTES DE LA CORRUPCIÓN EN AMERÍCA LATINA
Revisados los distintos enfoques para el estudio de la corrupción, a continuación se realiza un análisis utilizando la base de datos que periódicamente genera The Quality of Government Institute, de la universidad de Gotemburgo, que en este caso y considerando el año en que comienza a medirse la corrupción mediante el CPI, comienza en 1996. La amplia disponibilidad de información permite desarrollar un análisis más detallado respecto a las distintas variables que explican los cambios en el índice de percepción de corrupción elaborado por Transparency International. A fin de no sesgar los resultados, se compararán las distintas relaciones entre América Latina y el resto del mundo, para luego focalizar el análisis más específicamente en la región.
Esta sección presenta un conjunto de correlaciones entre el CPI y las variables políticas, económicas y sociales, a fin de establecer alguna idea respecto a los principales determinantes de la corrupción. De igual forma, al final de la sección se presentan algunos modelos de regresión lineal con efectos mixtos por país.
La gráfica 1 muestra el nivel de CPI que exhibe cada país de América Latina para 2007. Se ha invertido la escala a fin de comprender mejor las correlaciones y los modelos que luego se presentan. Así, el valor 0 indica "baja corrupción" y el 10, "alta corrupción". Como puede observarse, los extremos están representados por Chile en la parte inferior de la gráfica y por Haití en la zona alta. Existe un mayor grado de varianza en el extremo inferior, fundamentalmente por la presencia de Chile y Costa rica, que escapan en gran medida a la media continental. En la zona superior, en cambio, las diferencias son más estrechas, lo cual muestra los problemas que ha enfrentado la región para combatir la corrupción.

Más allá de conocer el dato puntual respecto al CPI, es importante, para efectos de este trabajo, colocarlo en interacción con variables provenientes de los estudios de opinión. Así, utilizando los datos de LAPOP para 2006, se correlacionan el CPI con los indicadores de percepción y victimización por corrupción. Para medir la percepción se ha utilizado la pregunta relativa a cuán corruptos creen los encuestados que son los funcionarios públicos. La gráfica incluye un índice que va de 100 (percepción de corrupción "muy generalizada") a 0 (percepción de corrupción "nada generalizada").4 mientras tanto, en el caso de la victimización se considera el porcentaje de quienes han sido víctimas de corrupción al menos una vez durante el año anterior.
La gráfica 2 muestra una relación agregada débil, en especial entre CPI y percepción de corrupción, y algo mayor entre el CPI y la victimización. Esto permite observar los disímiles comportamientos de los países en relación con indicadores de corrupción. Si bien Chile y Uruguay destacan por bajos niveles de CPI, al igual que en percepción y victimización, no sucede lo mismo, por ejemplo, con Haití o México. En ambos casos se produce un fuerte traslado en la posición que ocupan en los diagramas correspondientes a percepción y victimización. Tanto en México como en Haití, los niveles de victimización son más altos que en el resto del continente, pero presentan índices más bajos de percepción. Lo opuesto sucede en el caso de Costa rica, caracterizada por niveles de victimización cercanos a 20 por ciento, pero con un grado de percepción de corrupción en los funcionarios públicos que sobrepasa 75 por ciento. En este último caso, y debido a que en cierta medida se asemeja a Chile, el papel de los medios de comunicación y de la oposición política es central. Tal y como señala la teoría (Lancaster y Montinola, 2001), cuando existen oposiciones competitivas y razonables niveles de libertad de prensa, muchas veces los actos de corrupción reciben tal cobertura que tienen un impacto un tanto desmedido en los niveles de percepción. una respuesta complementaria radica en el disímil formato de pregunta. En el caso de la percepción lo que se captura es la gran corrupción política a nivel de estado, mientras que en la victimización se establecen situaciones concretas en que los encuestados han enfrentado situaciones de corrupción.5

Profundizando ahora en los determinantes generales de la corrupción, se presenta una matriz de correlaciones entre las variables más relevantes (cuadro 1). Además de incorporar las que tradicionalmente considera la teoría, incluí otras que se presentan como determinantes relativamente robustos de la corrupción. Así, se ingresan el producto interno bruto per cápita y el índice de desarrollo humano en el ámbito económico. En ambos casos y aquí no pretendo discutir los hallazgos previos la relación es negativa: a mayor PIB e IDH, menor CPI. En cuanto a las variables políticas y siguiendo nuevamente a Blake y Martin (2006), no incluyo el índice total de Freedom House, porque el segmento relativo a los derechos civiles ya incorporaría preguntas sobre corrupción; por lo tanto, sólo considero los derechos políticos. En este caso, la relación también es la esperada, es decir, a mayor nivel de derechos civiles, menor será el índice de corrupción, cuestión que se repite, naturalmente, para el indicador de libertad de prensa. Lo mismo sucede al analizar variables relativas a la competencia, en particular, en el ámbito legislativo. Lo importante para América Latina es que el coeficiente se muestra escasamente significativo al momento de compararlo con el resto de los países, lo que vendría a suavizar los planteamientos de Rose-Ackerman (2001) respecto al impacto de los niveles de competencia sobre los índices de corrupción.
También es importante mencionar otras variables que ha considerado la bibliografía. En este punto destaca, siguiendo a Lambsdorff (1999), el coeficiente del porcentaje de mujeres en la cámara baja como un inhibidor de la corrupción. Si bien los planteamientos teóricos al respecto no son del todo convincentes,6 en el caso de América Latina el coeficiente no es estadísticamente significativo. Lo mismo sucede al considerar el porcentaje de protestantes, aunque es importante subrayar la baja proporción (3.1 por ciento según la misma base de datos) que esta opción religiosa representa para América Latina. Más adelante, destaca la durabilidad de los regímenes democráticos. En este caso, los coeficientes son significativos tanto para los países del continente como para el resto. O sea, a mayor durabilidad de la democracia, menor será el CPI. Si bien el indicador no controla algunas de las puntualizaciones de Blake y Martin (2006) respecto a la consideración de las interrupciones autoritarias, de todas formas se presenta como un proxy adecuado para distinguir entre nuevas democracias y democracias de larga duración. Finalmente, resta destacar, por cierto, el impacto del rule of law (estado de derecho) sobre los índices de corrupción. En este caso, la variable está compuesta por la efectividad del Poder Judicial, la capacidad de la ley para forzar los acuerdos y la garantía que una sociedad muestra ante los derechos de propiedad, entre otras. Mientras más alto es el nivel del rule of law, menor será el índice de corrupción, lo que respalda las conclusiones de Herzfeld y Weiss (2003). Igual cosa sucede al considerar el reclutamiento de funcionarios públicos por normas meritocráticas, coeficiente que es más robusto para el caso de América Latina. Es decir, cuando se establecen normas claras, transparentes y profesionales para la selección de cargos, los niveles de corrupción tenderán a decaer, más aún bajo el supuesto de que los seleccionados son leales al cargo y no al partido.
A continuación se sintetizan algunos resultados en modelos de regresión lineal considerando los países de América Latina. Luego de probar varios modelos, se concluye que el óptimo corresponde a uno de efectos mixtos, también conocidos como modelos jerárquicos o de multinivel. Esto por varias razones. Primero, porque mediante estos modelos se captura el efecto de cada país sobre la regresión considerando el formato de panel en que están los datos. Segundo, porque un modelo lineal puro podría considerar cada observación como un dato independiente, ya que están agrupadas en casos (países). Tercero, si bien el CPI, al igual que las otras variables, está en serie de tiempo, colocar como primer predictor al CPI en el periodo previo (CPI t-1) agudiza los problemas de pronóstico, puesto que las observaciones, al estar tan estrechamente correlacionadas entre sí, generan que este predictor capture gran parte de la varianza, subestimando el peso de las restantes.
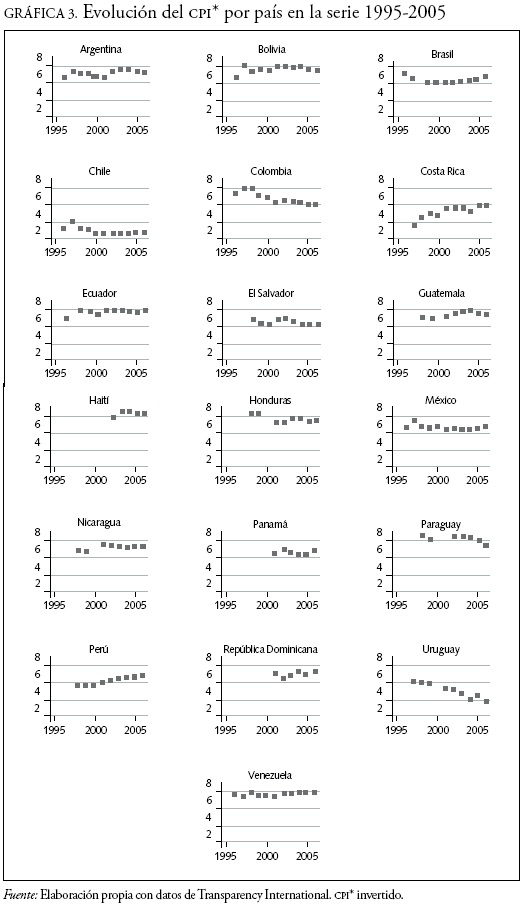
Esto último no deja de ser relevante, pues al realizar una simple correlación entre el CPI y los años para todas las observaciones, el coeficiente no es distinguible de cero. Sin embargo, cuando esta serie de tiempo es vista a través de cada caso, es posible observar su impacto significativo ya sea positivamente (es decir, más corrupción a lo largo de los años) o negativamente (menos corrupción con el paso del tiempo). En el primer bloque destacan Perú y Costa rica, con coeficientes de correlación de 0.98 y 0.86, mostrando un evidente empeoramiento en el puntaje asignado al CPI en esta serie. En el segundo bloque, en tanto, figuran Uruguay y Colombia con coeficientes de -0.97 y -0.89.
Es importante considerar que algunas series se encuentran interrumpidas por la no medición del índice en determinado año y que, además, hay países que tienen periodos más extensos que otros. La gráfica 3 muestra la evolución de cada país en el CPI de acuerdo con la serie de tiempo.

Para el diseño de los modelos, se han adicionado variables de nivel más desagregado a fin de conocer relaciones más específicas respecto a las que ya se han mencionado, tales como el IDH. Así, se incluye la variable "sistema electoral", que recibe el código 1 cuando el sistema es proporcional y 0 cuando no lo es. El argumento teórico para ingresar esta variable se sustenta en el trabajo de Persson, Tabellini y Trebbi (2003), bajo el supuesto de que los sistemas electorales caracterizados por altas magnitudes de distrito generan una relación menos cercana con el ciudadano, socavando así las posibilidades de accountability. Esto se ve reforzado en el argumento de Payne et al. (2004, 104), que añade el carácter cerrado y bloqueado de las listas respecto al deterioro del vínculo entre elector y representante.
Después de sucesivas combinaciones, los modelos muestran que las variables más robustas para dar cuenta de la corrupción corresponden al PIB per cápita y al indicador de libertad de comercio, variables reportadas por Lambsdorff (1999), y que en este caso muestran coeficientes en la misma dirección. Es decir, a mayor libertad de comercio y PIB per cápita, menor será el nivel de corrupción. Sobre el segundo punto, la bibliografía no presenta mayor discusión, pero respecto a la libertad de comercio se puede señalar algo más. Probablemente, el hecho de que esta libertad se presente como un inhibidor de la corrupción obedezca al menor contacto que los actores privados tienen con la burocracia estatal para ejercer su actividad, lo que aminora las probabilidades de corrupción. De igual forma, los altos niveles de libertad de comercio van de la mano con la suscripción de acuerdos internacionales sobre el combate a la corrupción. La tercera variable que tiene cierto impacto sobre el CPI es el tiempo. Como se mostró, esta variable actúa de manera distinta para cada caso, ya que existen algunos que mejoran su nivel de CPI y otros que empeoran. Lo cierto es que en la mayoría de los países el indicador da cuenta de un incremento en los niveles de corrupción, por lo que es razonable que en los dos primeros modelos la variable presente un coeficiente positivo pero escasamente significativo. Es importante mencionar que el modelo 4 incluye el factor tiempo con una estructura Ar (1), corroborando los resultados de algunos de los modelos previos en los que además se torna significativa la variable asociada con el grado de independencia del Poder Judicial.
Por otra parte, el tipo de sistema electoral no resulta, para estos modelos y con estos datos, estadísticamente significativo. Lo mismo sucede con el número de actores de veto; la relación esperada era positiva: a mayor número de actores de veto, los agentes se ven en la obligación de recurrir a reglas informales generalmente asociadas a la corrupción para lograr moverse desde el statu quo. Ambas variables, sistemas electorales y actores de veto, resultan ser significativas con otra combinación de modelos. En el caso de los sistemas electorales, la combinación puede realizarse con el tipo de lista y la magnitud de distrito. Si bien el modelo puede quedar restringido a este tipo de variables y siendo susceptible a problemas de colinealidad, puede ser útil para estudiar el impacto de la dimensión electoral sobre la corrupción. Igual cosa sucede con el número de actores de veto, variable que resulta ser significativa en interacción con el tipo de estado; vale decir, si es federal o unitario.
Las especificaciones anteriores tienen como objetivo mostrar que, muchas veces, los análisis e interpretaciones sobre los determinantes de la corrupción dependen del tipo y número de variables ingresadas. Así, es posible modelar con variables estrictamente económicas, políticas o culturales. Incluso, pueden insertarse las tres dimensiones, pero corriendo serios riesgos de caer en sobreestimaciones producto de la estrecha relación entre las variables independientes (Treisman, 2001). Para este artículo, el modelo incluyó ocho variables, principalmente económicas e institucionales, pero en ningún caso pretende capturar los determinantes exclusivos de la corrupción. Más bien, de lo que se trata es de mostrar las variables que en mayor medida resisten a las modificaciones en la configuración de los modelos.
CORRUPCIÓN Y DEMOCRÁCIA EN LAS ENCUESTAS
En esta sección se analiza más detalladamente la relación entre corrupción y democracia. El objetivo consiste en determinar el impacto de los niveles de percepción y victimización de corrupción sobre los apoyos al régimen democrático y su satisfacción respecto a este último. A diferencia del análisis previo, en éste se abordan específicamente los datos de encuestas de opinión, en particular de LAPOP 2006. La legitimidad (apoyo al régimen) se mide a partir de la siguiente pregunta: "Puede que la democracia tenga problemas pero es mejor que cualquier otra forma de gobierno. ¿Hasta qué punto está de acuerdo o en desacuerdo con esta frase?" (escala de 1, "muy en desacuerdo", a 7, "muy de acuerdo".) en tal sentido, se siguen los planteamientos de Linz (1988) respecto a que la legitimidad puede ser entendida como la creencia de que la democracia, a pesar de sus deficiencias, es el mejor sistema (véanse, además, Weatherford, 1992; Diamond y Lipset, 1995; Diamond, 1998). En tal sentido, la legitimidad corresponde a un apoyo difuso a la democracia bajo el supuesto de que los ciudadanos son capaces de distinguir entre el apoyo al régimen y el respaldo a la gestión del gobierno (Almond y Verba, 1963; Easton, 1975). En términos más puntuales, y siguiendo a Montero, Gunther y Torcal (1998), la legitimidad se define como una actitud positiva hacia las instituciones que la componen.
La satisfacción, en cambio, corresponde a la valoración de aspectos concretos del régimen que están más estrechamente ligados al desempeño y sus autoridades (Montero, Gunther y Torcal, 1998). En términos más puntuales, la satisfacción se asocia con las evaluaciones que realizan los encuestados de acuerdo con el trabajo que desarrolla el gobierno (Norris, 1999). Según datos de Chu et al. (2008, 84), los grados de satisfacción están más correlacionados con las evaluaciones socio y egotrópicas en comparación con los de legitimidad. Esto, a juicio de los autores, implica que las condiciones económicas sólo ejercen un impacto indirecto sobre los apoyos normativos al régimen (legitimidad), estando más asociados con los niveles de satisfacción y de aprobación a los gobiernos de turno respecto a su desempeño. Finalmente, los ciudadanos serían capaces de distinguir entre las dimensiones políticas del régimen y su desempeño económico. Por lo tanto, sería razonable esperar altas valoraciones del régimen democrático frente a escenarios económicos adversos, tal como ocurrió en la crisis de Argentina en 2001.7
Para comenzar, la gráfica 4 muestra los niveles de percepción y victimización por corrupción en los 17 países en que LAPOP formuló las preguntas correspondientes. Como se observa, la percepción no se asocia con la victimización. una correlación entre ambas arroja un coeficiente cercano a 0.

Los niveles de percepción son particularmente altos en ecuador, Nicaragua, Perú y Costa rica. no obstante, la relación con los índices de victimización no es del todo evidente. Es claro que ambas preguntas miden cuestiones distintas y, por ende, es esperable un efecto diferenciado sobre los niveles de apoyo a la democracia. Cuando los ciudadanos se muestran críticos respecto al funcionamiento de los gobiernos particularmente en términos de corrupción, es posible observar una erosión de la confianza hacia las instituciones (Seligson, 2006). Esto traerá, como correlato y de acuerdo con los estudios citados anteriormente, un efecto significativo sobre los niveles de legitimidad del régimen en el largo plazo. De acuerdo con la gráfica 5, tanto legitimidad como satisfacción son dos variables que se encuentran relacionadas. no obstante, esto no es impedimento para incluir, de manera alternada, a cada una de ellas en los modelos, pues no se generan sustantivos problemas de multicolinealidad. Así, si bien las preguntas de legitimidad y satisfacción miden cosas distintas, un incremento de la insatisfacción a lo largo del tiempo puede dañar las bases institucionales de la democracia (Lipset, 1994; McAllister, 1999).

Según Canache y Allison (2005), no es evidente que los niveles de percepción de corrupción dañen los apoyos a la democracia como forma de gobierno para el caso de América Latina. Así, los ciudadanos realizan una clara distinción entre la percepción de amplia corrupción política y los apoyos a la democracia. En caso de percibir altos niveles de corrupción, probablemente el más afectado sea el gobierno incumbente y no la democracia como conjunto de instituciones. Así, además de respaldar estos resultados, se añade otro factor. Los niveles de corrupción no sólo dañan al gobierno incumbente sino que también deprimen los índices de satisfacción con la democracia. De esta manera, en el largo plazo, y como lo evidencia la gráfica 5, la relación significativa entre satisfacción y legitimidad puede conducir a que incrementos sostenidos de los niveles de percepción terminen por afectar las bases de la democracia. En otras palabras, la percepción de corrupción daña la satisfacción con el régimen, y ésta se asocia con los niveles de legitimidad. De ahí que el impacto de corrupción sobre legitimidad no sea estrictamente directo. El problema consiste en subestimar el peso relativo de esta variable en el largo plazo. Al considerar los datos del latinobarómetro en la serie 1995-2006, el coeficiente de correlación es algo más robusto entre corrupción y satisfacción (-0.297***) que entre corrupción y legitimidad (-0.224***). De todas formas, las diferencias son mínimas.
El análisis por país permite reafirmar lo anterior, aunque los casos suministran información adicional que, en ciertas ocasiones, pueden cuestionar el planteamiento previo. El cuadro 3 reporta los coeficientes de correlación en dos columnas. La primera mide la relación entre victimización, legitimidad y satisfacción, mientras que en la segunda se establece igual relación pero incorporando percepción en lugar de victimización. Los resultados indican el significativo impacto de la victimización particularmente sobre la satisfacción con la democracia, cuestión que va en la línea de los resultados esperados y que se atiene a los antecedentes teóricos vistos. Es decir, la victimización, al ser una experiencia directa con actividades corruptas que pueden abarcar desde organismos privados hasta entidades estatales, genera principalmente un desánimo respecto al desempeño de las instituciones. Incluso, dicho desánimo no se asocia de manera directa con determinados niveles de aprobación presidencial. Corresponde, más bien, a una mala evaluación respecto al funcionamiento institucional de los países.

Con la percepción, en contraste, los resultados dan cuenta de que en ocho de los 16 países considerados los niveles de percepción tienen cierto impacto sobre la legitimidad de la democracia. Costa rica, Perú y ecuador, entre otros, exhiben incluso coeficientes positivos y significativos en esta relación. Esto bien puede explicarse por el alto porcentaje que presentan en el nivel de percepción. Es decir, encuestados que, a pesar de estimar un alto nivel de corrupción de los funcionarios públicos, de todas formas respaldan al régimen democrático en la lógica de los "apoyos difusos", los que a juicio de Easton (1975) corresponden a la identificación con valores y principios de la democracia, y de acuerdo con Norris (1999), al apoyo a los principios del régimen y a la comunidad política (identidad). En cambio, cuando se observan los coeficientes entre percepción y satisfacción, éstos son significativos en 10 de los 16 países. En este caso, los niveles de percepción dañan de manera más evidente los apoyos concretos al régimen (Easton, 1975). Tales apoyos concretos corresponden al respaldo hacia las autoridades y hacia el desempeño de las instituciones y, finalmente, quedan reflejados en los niveles de satisfacción con la democracia.
La interpretación que sugiero para entender este aparente resultado contraintuitivo en la relación percepción de corrupción y legitimidad de la democracia dicta una relación con la pregunta utilizada para esta última. La "democracia churchiliana"8 mide la afección al régimen en términos muy generales o difusos, sin entrar en los aspectos específicos que frecuentemente se utilizan para medir la legitimidad, la cual muchas veces se confunde con la confianza hacia las instituciones. Así, los encuestados, a pesar de percibir altos niveles de corrupción, prefieren la democracia a otra forma de gobierno. De este modo, considerando otra pregunta sobre apoyo a la democracia frente a alternativas autoritarias o, simplemente, la indiferencia respecto al tipo de régimen, el resultado es llamativo. Son los encuestados que perciben más corrupción quienes en mayor medida apoyan un régimen democrático. Como muestra la gráfica 6, los encuestados que perciben como "algo" o "muy" generalizada la corrupción, prefieren la democracia en alrededor de 75 por ciento, mientras que los encuestados que perciben una corrupción "poco" o "nada" generalizada lo hacen en alrededor de 68 por ciento. Las pruebas estadísticas de independencia marcan, efectivamente, la asociación entre ambas variables.

Lo anterior nos lleva a concluir lo siguiente: a pesar de que los grados de percepción de corrupción se incrementen, esto no implica necesariamente que los ciudadanos abandonen sus apoyos a la democracia. Es viable la coexistencia de altos niveles de percepción de corrupción con, también, altos niveles de respaldo al régimen. En otras palabras, la percepción de corrupción no será razón suficiente para que los encuestados prefieran otra clase de sistema político. La percepción de corrupción parece estar más relacionada con los niveles de satisfacción que, como se señaló más arriba, corresponden a evaluaciones específicas sobre el funcionamiento de las instituciones y que, en gran medida, deslindan las evaluaciones respecto al desempeño de los gobiernos.
Respecto a los niveles de victimización, éstos también se correlacionan de mejor forma con la satisfacción democrática y en menor medida con la legitimidad. Sin embargo, no es posible arribar a la conclusión de que la corrupción no erosiona las bases institucionales de la democracia. Como se señaló, si bien el grado de corrupción medido en el CPI se correlaciona de manera más robusta con la satisfacción, esto no implica que sea inocuo ante la legitimidad. Ya sabemos que los niveles de satisfacción se asocian con indicadores de legitimidad; por lo tanto, si bien la relación corrupción-legitimidad no es estrictamente directa, sí puede resultar suficientemente robusta en el largo plazo. Otro antecedente relevante en esta línea son los aportes de Seligson (2002 y 2006) respecto al impacto negativo de la percepción de corrupción sobre la confianza hacia las instituciones. Como muestra la gráfica 7, los encuestados que perciben "nada" o "poca" corrupción tienden a confiar en mayor medida en las instituciones respecto a las opciones "mucha" y "algo".9

Estos resultados muestran que, si bien a primera vista la percepción de corrupción no daña directamente los apoyos a la democracia, sí puede transformarse en un síntoma preocupante respecto a las caídas de los niveles de satisfacción y de confianza institucional. Además, es oportuno considerar que en algunos países, como por ejemplo Haití, los niveles de percepción y victimización, definitivamente, no se correlacionan. Es el país que tiene el mayor índice de victimización y, sin embargo, comparte los lugares más bajos, a nivel comparado, respecto al índice de percepción. Lo más llamativo es, por cierto, que en el ranking del CPI es el país que presenta el índice de corrupción más alto. Esto bien puede obedecer al hecho de percibir la corrupción como una cuestión cotidiana o casi adosada al sistema. no obstante, tanto la percepción como la victimización tienen efectos negativos sobre la satisfacción con la democracia, aunque cuanto mayor sea la percepción de corrupción, mayor será la legitimidad democrática. Por lo tanto, al analizar los casos de manera independiente, es posible formular hipótesis respecto a distintos mecanismos causales entre corrupción y democracia. Por otro lado, Bolivia, que presenta un considerable índice de victimización, aparece como el país con menor nivel de percepción de corrupción, y se encuentra marginalmente por debajo del promedio de apoyo a la democracia en América Latina. Sin embargo, ninguna de las variables sobre corrupción, de acuerdo con la matriz de correlaciones, tiene un impacto sobre los niveles de apoyo y satisfacción con el régimen. Es decir, el bajo apoyo a la democracia en Bolivia puede ser atribuible a otros factores y no necesariamente a los niveles de victimización o percepción de corrupción.
Respecto a la particularidad de los casos seleccionados, el cuadro 3 muestra que en algunos países, como México, Guatemala, el salvador, Nicaragua, república dominicana y Haití, los niveles de victimización afectan las dos dimensiones de la democracia. En otros, como Bolivia y Chile, la victimización no tiene un efecto significativo sobre la legitimidad y la democracia. Lo curioso es que los niveles de victimización son ostensiblemente superiores en Bolivia que en Chile, pero en ambos casos los porcentajes de percepción de corrupción son, en cierta medida, similares. Este tipo de hallazgos invita a fortalecer la perspectiva caso-orientada del método comparado en el análisis de la corrupción (Lancaster y Montinola, 2001), más aún si es posible observar coincidencias relevantes en dos o más países con características diversas. Aquí sólo muestro de manera panorámica la utilización de este método.
Antes de diseñar un modelo que dé cuenta de la capacidad explicativa tanto de la percepción como de la victimización por corrupción respecto a los niveles de legitimidad y satisfacción democráticas, es importante observar los factores que explican las dos dimensiones de corrupción. Para ello, se han construido dos modelos probit destinados a identificar los principales predictores tanto de percepción como de victimización. Tales predictores corresponden a variables de largo y corto plazo. Dentro de las primeras se incluye sexo, edad e ingreso subjetivo, mientras que en las segundas se añaden la evaluación del gobierno, la situación económica personal y el país (ego y sociotrópica), así como la victimización por delincuencia, estableciendo como control la exposición a la televisión para enterarse de las noticias.10 Algunas de estas variables han sido utilizadas en el trabajo de Canache y Allison (2005).
Los resultados que se reportan en el cuadro 4, de acuerdo con el total de países incorporados en LAPOP 2006, muestran las diferencias en los predictores de percepción y victimización. Es importante subrayar que este modelo no considera las diferencias por países y asume cada observación como independiente. Desde la lógica estadística, podría ser un modelo incorrecto, pero en este trabajo sólo lo utilizo como parámetro general para evaluar las variables más relevantes. Lo más adecuado, si se quiere implementar un modelo de este tipo de manera más específica, sería la utilización de efectos mixtos por país en un análisis de multinivel (modelos jerárquicos).

Por género, se evidencia la mayor propensión de los hombres tanto a percibir mayor corrupción como a ser victimizados en este tipo de actos. Esto, además, se apoya en un test de medias no mostrado donde los hombres presentan un promedio significativamente mayor al de las mujeres en los dos criterios. En el caso de edad, esta variable no es significativa en términos estadísticos a la hora de explicar la percepción, mientras que sí lo es para la victimización. De este modo, a mayor edad corresponde una menor probabilidad de ser victimizado por corrupción. Otro dato relevante se refiere a la asociación más robusta entre evaluación del gobierno y nivel de percepción. Según Canache y Allison (2005), los altos niveles de percepción se asocian con bajos apoyos al gobierno. El modelo, más allá de los problemas de endogeneidad que enfrenta, confirma esta hipótesis, pero también muestra que los niveles de victimización se relacionan con el desempeño gubernamental, aunque con un coeficiente algo inferior. De igual forma, la percepción económica del país se encuentra asociada con ambas dimensiones de corrupción, mientras que la personal sólo con la victimización.
A lo anterior se añade la variable "ingreso subjetivo". Si bien se puede estimar su alto grado de relación con las percepciones económicas, las combinaciones sucesivas de estas variables en distintos modelos no provoca cambios significativos de los coeficientes. Así, en la medida en que se retrocede en la escala de ingresos, menor será la probabilidad tanto de alta percepción como de victimización por corrupción. De hecho, 83.8 por ciento de quienes "les alcanza bien, pueden ahorrar" estima que la corrupción es muy o algo generalizada, porcentaje que cae a 78.8 por ciento en el grupo de quienes "no les alcanza, tienen grandes dificultades". Luego, en términos de victimización, los porcentajes son, respectivamente, de 31.9 y 22.3 por ciento para aquellos encuestados que han sido víctimas, al menos, de un acto de corrupción. Esto es razonable pensando las preguntas que se formulan para medir la victimización. Como se trata de pagar coimas, entonces los encuestados de menos ingresos tendrán menos experiencias en este tipo de instancias, pues no cuentan con los recursos para pagar los servicios solicitados.
Finalmente, resta subrayar el efecto de exposición a los medios de comunicación, en particular la televisión. El modelo exhibe los coeficientes esperados; es decir, cuanto más se exponen los encuestados a los noticieros televisivos, tanto mayor es la probabilidad de que perciban altos niveles de corrupción. La variable no se muestra significativa en el momento de predecir los niveles de victimización.
Para finalizar, se ofrecen algunos modelos de regresión lineal destinados a medir el impacto de la percepción y la victimización por corrupción sobre la legitimidad y la satisfacción con la democracia (cuadros 5 y 6). En tal sentido, se siguen algunas opciones metodológicas y estadísticas enunciadas en el trabajo de Canache y Allison (2005), que en sus modelos incluyen variables de largo plazo, como sexo, edad, clase social (que en este caso aproximo al "ingreso subjetivo" del encuestado), en conjunto con variables de corto plazo, como evaluación del gobierno y estimaciones socio y egotrópicas respecto a la situación económica (del país y personal). De igual forma, se controla según si el encuestado votó o no en la pasada elección, a fin de visualizar los efectos de la desafección sobre el régimen democrático, siguiendo la secuencia utilizada por Anderson y Tverdova (2003). Finalmente, se seleccionaron cinco países como casos de comparación, atendiendo a sus disímiles posiciones en el ranking de CPI, a sus niveles de percepción y victimización por corrupción.
La selección de casos no sólo se explica por las distintas configuraciones en términos de percepción y victimización, sino también por la evolución que han tenido respecto al CPI. Así, se seleccionan casos que han bajado sustantivamente su nivel de corrupción (Chile y Uruguay). Otro que, si bien ha bajado el nivel de corrupción, lo hace de manera lenta y exhibe cierto estancamiento (México). También selecciono dos países que paulatinamente caen en sus puntajes de CPI. Me refiero a Perú y Costa rica; la diferencia entre ambos es que el primero cae de manera más acelerada.
El modelo para América Latina arroja los resultados esperados. Si bien la percepción de corrupción aparece con un coeficiente positivo, esto se puede explicar, además de la interpretación sugerida, por el alto porcentaje de encuestados (81.4%) que considera algo o muy generalizada la corrupción de los funcionarios públicos. En cambio, con la victimización sucede lo opuesto. El coeficiente del modelo 1 es negativo y significativo. En otras palabras, y como se ha subrayado, la victimización resulta ser más dañina para la legitimidad democrática debido, principalmente, a que los ciudadanos tienen contacto directo con la corrupción a partir de las instituciones con las que permanentemente tienen contacto. Así, si bien uno de cada cuatro encuestados ha sido víctima de al menos una experiencia de corrupción, éstos tienden con mayor fuerza a no respaldar la democracia. Tal dato se complementa con algunas de las conclusiones elaboradas por Seligson (2002). Las variaciones para cada caso son relevantes. Por ejemplo, en Chile y Uruguay ninguna de las dimensiones de corrupción resulta ser significativa, mientras que para México sólo lo es la victimización. En Perú y Costa rica, en cambio, la dimensión más robusta corresponde a la percepción de corrupción. Es importante subrayar que estos casos pueden ser explicados en la lógica de que los encuestados que perciben alta corrupción son, precisamente, los que más apoyan al régimen democrático considerando tanto sus menores inclinaciones a golpes de estado como el respaldo a la democracia frente a cualquier otra opción. Este argumento, por cierto, debe contrastarse de manera más precisa en la lógica comparativa caso-orientada que este artículo plantea como futura agenda de investigación.
Respecto al resto de las variables, que no son centrales para este estudio y que más bien actúan como control siguiendo la bibliografía citada, los coeficientes tienen la dirección esperada, lo que coincide con algunas conclusiones de Canache y Allison (2005). Especial relevancia cobran los grados de aprobación presidencial, interés en la política y percepciones económicas, siendo menos robusta la participación electoral en los últimos comicios (con excepción de Costa rica), el ingreso subjetivo, la victimización por delito y la preferencia por algún partido, que sólo es significativa para Chile y Uruguay, donde se comprueba el impacto de la desafección sobre los niveles de legitimidad. La escala política, en tanto, es significativa para las dos democracias de mayor tradición en el continente junto a Uruguay. Chile y Costa rica tienen los únicos coeficientes significativos, lo particular es que el signo de ambos es opuesto: mientras en Chile el avance en la escala hacia la derecha disminuye la probabilidad de legitimar la democracia, en Costa rica ocurre lo contrario.
En cuanto a la satisfacción, se observa un significativo impacto de la percepción de corrupción. Es aquí donde este determinante asume mayor capacidad explicativa. Los ciudadanos que tienen alta percepción de corrupción, si bien no cuestionan la legitimidad del régimen, sí se muestran abiertamente insatisfechos con su funcionamiento. Esto es válido tanto para el continente en su conjunto como para los casos seleccionados, excepto Costa rica. En tal sentido, cobra importancia uno de los planteamientos previos: si bien no se evidencia una relación estrecha entre percepción de corrupción y legitimidad, sí se advierte el poder explicativo de la primera sobre la satisfacción. Como la satisfacción está directamente asociada con la legitimidad, es natural que, en el largo plazo, permanentes incrementos en la percepción de corrupción terminen por socavar las bases institucionales de la democracia.
El hecho de que la percepción influya de manera más robusta sobre la satisfacción, se liga a algunas de las sugerencias de Lagos (2003b). Así, como la satisfacción es una evaluación directa sobre el desempeño de los gobiernos, mientras que la percepción de corrupción se elabora principalmente a través de la exposición a los medios de comunicación, entonces resulta razonable esperar una relación estrecha entre ambas variables. De este modo, cuando los encuestados perciben que los funcionarios públicos son corruptos, su tendencia será castigar en los niveles de aprobación al gobierno de turno y, de paso, mostrar una insatisfacción hacia el desempeño de las instituciones que ese gobierno representa.
Las otras variables incluidas en el modelo arrojan los resultados esperados. La situación económica del país y la aprobación al gobierno se mantienen significativas en todos los modelos; mientras más pesimistas son los ciudadanos respecto al rumbo de la economía y cuanto peor evalúan al gobierno, tanto mayor es el grado de insatisfacción que tienen con la democracia. El resto de las variables exhibe un bajo impacto, exceptuando el interés por la política, que aparece con un coeficiente significativo en Costa rica y México, y en menor medida en Perú. Para los tres casos la direccionalidad es la esperada. Es decir, a mayor interés en la política, mayor satisfacción con la democracia.
CONCLUSIONES
Este trabajo se basó en los dos enfoques predominantes para el análisis de la corrupción. Por un lado, la utilización de datos a nivel de cross-national con el CPI como variable central. Por otro, el análisis de encuestas considerando los niveles de percepción y victimización por corrupción. De igual forma, si bien se optó por un estudio de orden variable-orientado en lo que a método comparado se refiere, se hace necesaria la realización de investigaciones con un "n" reducido y en complemento, por ejemplo, con el análisis booleano sobre la base de métodos de causación múltiple. Los modelos presentados al final del trabajo son fiel muestra de ello. Existe una serie de determinantes que, en conjunto con variables de corrupción, permiten explicar las variaciones en los niveles de legitimidad y satisfacción con el régimen democrático. Sin embargo, las combinaciones son tan variadas que resulta imposible analizar todas las especificidades del caso en un solo trabajo. Por lo tanto, investigaciones más profundas podrán mejorar algunas de las conclusiones a las que he llegado.
En términos de contenido, la relación entre corrupción y democracia debe analizarse con muchísima cautela. En el análisis de cross-national la evidencia no es del todo contundente. Si bien existe una relación entre el CPI y algunos indicadores de Freedom House, en particular con los derechos políticos, el coeficiente de correlación en América Latina es muchísimo más bajo que en el resto del mundo. A nivel de encuestas, en cambio, el panorama es aún más complejo. La evidencia suaviza la hipótesis de que el incremento en los niveles de percepción de corrupción se asocie con un detrimento en la legitimidad democrática. Incluso, la relación puede llegar a ser directa. Esto se explica por la mayor disposición a respaldar la democracia por parte de quienes perciben altos niveles de corrupción. En otras palabras, los ciudadanos pueden ser críticos de los gobiernos, pero esto no se traduce, de forma inmediata, en una caída de la legitimidad de la democracia. Donde sí existe una relación más fuerte es entre percepción de corrupción y satisfacción con el régimen. Esto porque la percepción, al referirse al grado de corrupción de los funcionarios públicos, afecta directamente la imagen de las instituciones y el apoyo a los gobiernos, por lo tanto el nivel de rechazo será mayor respecto a las autoridades que dirigen esas instituciones que a la democracia en sí.
En contraste, la victimización por corrupción se relaciona de manera un poco más estrecha con los niveles de legitimidad democrática. En otras palabras, es más probable que un ciudadano afectado de manera directa por la corrupción tienda a preferir otro tipo de régimen. Esto porque, al ser parte de una experiencia de corrupción, su caída en los apoyos concretos puede traducirse en disminución de los apoyos difusos al régimen. En estos casos, la corrupción ya no es vista a través de los medios sino que es experimentada en la vida cotidiana. Si bien la relación victimización-satisfacción no es generalizable para todos los países, ocurre en más de dos tercios de ellos; por ende, de acuerdo con estos datos, la victimización se convierte en la variable más sensible. Quizá la percepción, como es adquirida a través de los medios que a menudo cubren escándalos, sea atribuida a las autoridades, mientras que la victimización, al ser un contacto directo del ciudadano con esa institución, dañe las bases en que se funda la democracia. En otras palabras, la victimización es un hecho concreto que ha vivido el encuestado y que resulta irrefutable a la luz de su experiencia, mientras que la percepción corresponde a una imagen respecto al desempeño de las autoridades.
Finalmente, cabe destacar la importancia del análisis de la región en términos específicos y no como un todo. La mayoría de los estudios sobre corrupción considera a América Latina como un caso de estudio, sin entrar en la particularidad de cada país. Este trabajo, además de mostrar tal realidad, constituye un aporte a la línea que busca profundizar en los casos, a fin de alentar investigaciones puntuales o comparadas con bajo "n", y utilizando tanto series de tiempo como datos específicos para cada año o encuesta.
REFERENCIAS BIBLIOGRÁFICAS
Ades, Alberto y rafael di tella (1996), "The Causes and Consequences of Corruption", IDS Bulletin, 2, pp. 6-10. [ Links ]
Almond, Gabriel y Sidney Verba (1963), The Civic Culture: Political Attitudes and Democracy in Five Nations, Nueva Jersey, Princeton university Press. [ Links ]
Anderson, Christopher J. y Yuliya v. Tverdova (2003), "Corruption, Political Allegiances, and Attitudes toward government in Contemporary Democracies", American Journal of Political Science, 47(1), pp. 91-109. [ Links ]
Blake, Charles H. y Christopher g. Martin (2006), "the dynamics of Political Corruption: re-examining the influence of democracy", Democratization, 13(1), pp. 1-14. [ Links ]
Boix, Carles (2003), Democracy and Redistribution, Cambridge, Cambridge university Press. [ Links ]
Canache, Damarys y Michael Allison (2005), "Perceptions of Political Corruption in Latin American democracies", Latin American Politics and Society, 47(3), pp. 91-111. [ Links ]
Canache, Damarys, Jeffery J. Mondak y Mitchell A. Seligson (2001), "Meaning and measurement in Cross-national research on satisfaction with democracy", Public Opinion Quarterly, 65(4), pp. 506-528. [ Links ]
Chu, Yun-han, et al. (2008), "Public opinion and democratic legitimacy", Journal of Democracy, 19(2), pp. 74-85. [ Links ]
Colazingari, Silvia y Susan Rose-Ackerman (1998), "Corruption in a Paternalistic democracy: lessons from Italy for Latin America", Political Science Quarterly, 113(3), pp. 447-470. [ Links ]
Collier, Michael W. (2002), "Explaining Corruption: An institutional Choice Approach", Crime, Law & Social Change, 38, pp. 1-32. [ Links ]
Dalton, Russell J. (1999), "Political support in Advanced industrial democracies", en Pippa Norris (ed.), Critical Citizens: Global Support for Democratic Governance, oxford, oxford university Press. [ Links ]
Dammert, Manuel (2001), Fujimori-Montesinos: El estado mafioso, Lima, el virrey. [ Links ]
Della Porta, Donatella y Alberto vannucci (1997), "The 'Perverse effects' of Political Corruption", Political Studies, 45, pp. 516-538. [ Links ]
De Souza, José (1996), "Clientelism and Corruption in Contemporary Brazil", en Walter little y Eduardo Posada-Carbó, Political Corruption in Europe and Latin America, Nueva York, st. Martin's Press. [ Links ]
Diamond, Larry (1998), "Political Culture and democratic Consolidation", documento de trabajo 123, Madrid, instituto Juan march. [ Links ]
Diamond, Larry y Seymour M. Lipset (1995), "legitimacy", en Seymour M. Lipset (ed.), The Encyclopedia of Democracy, Londres, Routledge, vol. III. [ Links ]
Easton, David (1975), "A re-Assessment of the Concept of Political support", British Journal of Political Science, 5, octubre, pp. 435-457. [ Links ]
Geddes Barbara y Artur Ribiero Neto (1992), "Institutional sources of Corruption in Brazil," Third World Quarterly, 13, pp. 648-655. [ Links ]
Goldsmith, Arthur (1999), "Slapping the Grasping Hand: Correlates of Political Corruption emerging markets", American Journal of Economics and Sociology, 58(4), pp. 865-883. [ Links ]
Haber, Stephen (ed.) (2002), Crony Capitalism and Economic Growth in Latin America: Theory and Evidence, stanford, Hoover Press. [ Links ]
Harrison, Lawrence E. y Samuel Huntington (2000), Culture Matters: How values Shape Human Progress, Nueva York, Basic Books. [ Links ]
Herzfeld, Thomas y Christoph Weiss (2003), "Corruption and Legal (in)effectiveness: An empirical investigation", European Journal of Political Economy, 19, pp. 621-632. [ Links ]
Heywood, Paul (1997), "Political Corruption: Problems and Perspectives", Political Studies, 45(3), pp. 417-435. [ Links ]
Husted, Bryan W. (1999), "Wealth, Culture and Corruption", Journal of International Business Studies, 30, pp. 339-360. [ Links ]
---------- (2002), "Culture and International Anti-Corruption Agreements in Latin America", Journal of Business Ethics, 37, pp. 413-422. [ Links ]
Jain, Arvind . K. (1998), Economics of Corruption, Nueva York, Kluwer Academic Publishers. [ Links ]
Johnston, Michael (1979), "Patrons and Clients, Jobs and machines", American Political Science Review, 73(2), pp. 385-398. [ Links ]
---------- (1986), "the Political Consequences of Corruption: A reassessment", Comparative Politics, 18(4), pp. 459-477. [ Links ]
---------- (1997), "Public officials, Private interests, and sustainable democracy:WhenPolitics andCorruption meet", enKimberly Ann elliott (ed.), Corruption and the Global Economy, institute for international economics. [ Links ]
Kaufmann, Daniel (1998), "Corruption diagnostics: A newtechnocratic Framework for the Analysis of Corruption and its implications for the design of Action Programs", miami Anti-Corruption summit, Florida, 3 y 4 de abril. [ Links ]
Kaufmann, Daniel y Paul Siegelbaum (1997), "Privatization and Corruption in transition economies", Journal of International Affairs, 50(2), pp. 519-58 [ Links ]
Keefer, Philip y Stephen Knack (1995), "institutions and economic Performance: Cross-Country tests using Alternative institutional measures", Economics and Politics, 7, noviembre, pp. 207-227. [ Links ]
Knight, Alan (1996), "Corruption intwentieth Century mexico", enWalter little y Eduardo Posada-Carbó, Political Corruption in Europe and Latin America, Nueva York, st. Martin's Press. [ Links ]
Lagos, Marta (2003a), "Public opinion of Corruption in Latin America," Global Corruption Report 2003, Transparency International, pp. 283-284. [ Links ]
---------- (2003b), "support for and satisfaction with democracy", International Journal of Public Opinion Research, 15(4), pp. 471-488. [ Links ]
Lambsdorff, Johann (1999), "Corruption in empirical research: A review", Transparency International Working Paper. [ Links ]
Lancaster,Thomas D. y Gabriella Montinola (1997), "Toward a methodology for the Comparative study of Political Corruption", Crime, Law & Social Change, vol. 27, pp. 185-206. [ Links ]
---------- (2001), "Comparative Political Corruption: issues of operationalization and measurement", Studies in Comparative International Development, 36(3), pp. 3-28. [ Links ]
laPalombara, Joseph (1994), "structural and institutional Aspects of Corruption", Social Research, 61(2), pp. 325-351. [ Links ]
Linz, Juan (1988), "legitimacy of democracy and the socioeconomic system", en mattei dogan (ed.), Comparing Pluralist Democracies, Boulder, Westview Press. [ Links ]
Lipset, Seymour M. (1994), "The social requisites of democracy revisited", American Sociological Review, 59, febrero, pp. 1-22. [ Links ]
Lipset, Seymour M. y Gabriel Salman (2000), "Corruption, Culture, and markets", en Lawrence Harrison y Samuel Huntington, Culture Matters: How values Shape Human Progress, Nueva York, Basic Books. [ Links ]
Little, Walter y Antonio Herrera (1996), "Political Corruption inVenezuela", en Walter little y Eduardo Posada-Carbó, Political Corruption in Europe and Latin America, Nueva York, st. Martin's Press. [ Links ]
Mainwaring, Scott (2006), "State deficiencies, Party Competition, and Confidence in democratic representation in the Andes", en Scott Mainwaring, Ana María Bejarano y Eduardo Pizarro, The Crisis of Democratic Representation in the Andes, stanford, stanford university Press. [ Links ]
Máiz, Ramón (2003), "Jama, caleta y camello: la corrupción como mecanismo de autorrefuerzo del clientelismo político", Revista Mexicana de Sociología, 65(1), pp. 3-39. [ Links ]
Mauro, Paolo (1995), "Corruption and growth", Quarterly Journal of Economics, 110, pp. 681-712. [ Links ]
McAllister, Ian (1999), "the economics Performance of government", en Critical Citizens: Global Support for Democratic Government, oxford, oxford university Press, pp. 205-216. [ Links ]
Mishra, Ajit (2006), "Persistence of Corruption: some theorical Perspectives", World Development, 34(2), pp. 349-358. [ Links ]
Montero, José Ramón, Richard Gunther y Mariano Torcal (1998), "Actitudes hacia la democracia en españa: legitimidad, descontento y desafección", Revista Española de Investigaciones Sociales, 83, julio, pp. 9-49. [ Links ]
Montinola, Gabriela y Thomas Jackman (2002), "sources of Corruption: A Cross-Country study", British Journal of Political Science, 32(1), pp. 147-171. [ Links ]
Morris, Stephen D. (1999), "Corruption and the mexican Political system: Continuity and Change", ThirdWorld Quarterly, 20(3), pp. 623-643. [ Links ]
---------- (2004), "Corruption in Latin America: An empirical overview", Secolas Annals, 36, pp. 74-92. [ Links ]
Nannestad, Peter y Martin Paldman (1994), "The VP-Function: A survey of the literature on vote and Popularity Functions after 25 Years", Public Choice, 79(3-4), pp. 213-245. [ Links ]
Norris, Pippa (1999), "The growth of Critical Citizens", en Pippa Norris, Critical Citizens: Global Support for Democratic Governance, oxford, oxford university Press. [ Links ]
Nye, Joseph S. (1967), "Corruption and Political development: A Cost Benefit Analysis", The American Political Science Review, 61 (2),pp.417-427. [ Links ]
Payne, Mark et al. (2004), La política importa: Democracia y desarrollo en América Latina, México, Correo unesco. [ Links ]
Persson, Torsten, Guido Tabellini y Francesco Trebbi (2003), "Electoral rules and Corruption", Journal of the European Economic Association, 1(4), pp. 960-980. [ Links ]
Rehren, Alfredo (1997), "Corruption and local Politics in Chile", Crime, Law and Social Change, 25(4), pp. 323-334. [ Links ]
Roberts, Kenneth M. (1995), "Neoliberalism and the transformation of Populism in Latin America: the Peruvian Case", World Politics, 48, octubre, pp. 82-116. [ Links ]
Rose-Ackerman, Susan (2001), La corrupción y los gobiernos: Causas, consecuencias y reforma, Madrid, siglo XXI. [ Links ]
Saba, Roberto y Luigi Manzetti (1996), "Privatization in Argentina: the implications for Corruption", Crime Law and Social Change, 25(4), pp. 353-369. [ Links ]
Sampford, Charles et al. (eds.) (2006), measuring Corruption, Londres, Ashgate Publishing. [ Links ]
Sandholtz, Wayne y William Koetzle (2000), "Accounting for Corruption: economics structure, democracy, and trade", International Studies Quarterly, 44(1), pp. 31-50. [ Links ]
Seligson, Mitchell (2002), "The impact of Corruption on regime legitimacy: A Comparative study of Four Latin American Countries," Journal of Politics, 64(2), pp. 408-433. [ Links ]
---------- (2006), "the measurement and impact of Corruption victimization: survey evidence from Latin America", World Development, 34(2), pp. 381-404. [ Links ]
Sives, Amanda (1993), "elite Behavior and Corruption in the Consolidation of democracy in Brazil", Parliamentary Affairs, 46(4), pp. 549-563. [ Links ]
Tanzi, Vito (1994), "Corruption, government Activities, and markets," IMF working paper 94/99. [ Links ]
Theobald, Robin (1999), "so What really is the Problem about Corruption?", ThirdWorld Quarterly, 20(3), pp. 491-502. [ Links ]
Transparency International, "Corruption Perception Index", disponible en: http://www.transparency.org/policy_research/surveys_indicesCPI/2007, visitado el 10 de junio de 2008. [ Links ]
Treisman, Daniel (2000), "The Causes of Corruption: A Cross-national study", Journal of Public Economics, 76(3), pp. 399-457. [ Links ]
Warren, Mark (2004), "What does Corruption mean in democracy", American Journal of Political Science, 48(2), pp. 328-343. [ Links ]
---------- (2006), "Democracy and deceit: regulating Appearances of Corruption", American Journal of Political Science, 50(1), pp. 160-174. [ Links ]
Weatherford, M. Stephen (1992), "measuring Political legitimacy", American Political Science Review, 86(1), pp. 149-166. [ Links ]
Weyland, Kurt G. (1998), "Politics of Corruption in Latin America", Journal of Democracy, 9(2), pp. 108-121. [ Links ]
* Este trabajo recibió financiamiento del proyecto Fondecyt, número 1085243, y del proyecto Semilla número 160325032 respaldado por la universidad Diego Portales. Agradezco los comentarios de los dos árbitros anónimos de la revista. no obstante, todos los errores y omisiones son de mi exclusiva responsabilidad.
1 En las encuestas, las evaluaciones sociotrópicas respecto a la situación actual del país se miden a partir de la siguiente pregunta: ¿Cómo calificaría la situación económica del país? ¿DirÃa usted que es muy buena, buena, ni buena ni mala, mala o muy mala? Para la evaluación egotrópica, en tanto, se utiliza la siguiente pregunta: ¿Cómo calificaría en general su situación económica? ¿DirÃa usted que es muy buena, buena, ni buena ni mala, mala o muy mala? Para ambos casos, existen evaluaciones retrospectivas y prospectivas.
2 El trabajo de Husted (2002) apoya este enfoque, aunque específicamente desde la dinámica individualismo-colectivismo. Desde esta perspectiva, los países latinoamericanos se ubicarían en la segunda categoría, lo que muchas veces hace que la ley sea vista como flexible.
3 La afirmación de Warren (2004) también es válida para casos que van más allá de América Latina. Probablemente el país emblemático en este sentido sea italia (Colazingari y Rose-Ackerman, 1998).
4 Los valores intermedios son de 66 para "algo generalizada" y 33 para "poco generalizada". En tal sentido, se sigue la construcción del indicador sugerido en LAPOP, 2006.
5 La pregunta exacta para medir la percepción es: "teniendo en cuenta su experiencia o lo que ha oído mencionar, ¿la corrupción de los funcionarios públicos está...? (muy generalizada, generalizada, poco generalizada, nada generalizada). Para la victimización, en cambio, el cuestionario incluye siete preguntas relativas a experiencias de corrupción relacionadas con servicios públicos, trabajo, juzgados, colegios, municipios, policía, hospitales. Por ejemplo, si el encuestado tuvo que pagar alguna mordida a un empleado público o policía, o si tuvo que hacer lo mismo para ser atendido en un hospital o colegio. Para construir el índice total de victimización simplemente se suman todas las preguntas, a partir de un rango de 0 a 7, el cual puede también transformarse a una escala de 0 a 100.
6 Destaca, eso sí, el trabajo de Husted (1999), donde se muestra que los países con altos índices de masculinidad son más propensos a tolerar altos niveles de corrupción.
7 Para una mayor discusión sobre el concepto de satisfacción democrática, véase Canache et al. (2001).
8 El trabajo de Lagos (2003b, 471) cita el planteamiento de Churchill de la siguiente forma: "democracy is the worst system of government except for all the others". La idea, por lo tanto, consiste en la preferencia por el régimen democrático en oposición a otros y a pesar de los problemas que pudiese presentar.
9 Las diferencias de medias entre ambos grupos son estadísticamente significativas al p ≤ 0.01.
10 En este sentido, el trabajo de Mainwaring (2006, 312) respecto a la crisis de representación subraya la importancia de la exposición a los medios, toda vez que uno de sus principales focos está puesto precisamente en escándalos y corrupción. Así, cuando los ciudadanos se ven bombardeados por este tipo de historias, es comprensible que los niveles de confianza en las instituciones se reduzcan de manera significativa.













