Introducción
Las selvas tropicales presentan la mayor diversidad biológica de los ecosistemas terrestres (Lewis, 2006) y son uno de los ecosistemas más amenazados por las actividades humanas, ya que enfrentan un acelerado proceso de deforestación y degradación (Achard et al., 2002; Hoekstra, Boucher, Ricketts y Roberts, 2005; Wright y Muller-Landau, 2006). Esto pone en riesgo la diversidad biológica que albergan y los servicios ecosistémicos que brindan. En estas selvas han ocurrido importantes cambios de uso de suelo por prácticas agrícolas y ganaderas, reduciendo su cobertura considerablemente (Wright y Muller-Landau, 2006; FAO, 2015). Tras el abandono de estas prácticas y mediante el proceso de sucesión ecológica, se desarrolla la vegetación secundaria, la cual puede ser transitoria y, con el paso del tiempo y dadas las condiciones adecuadas, puede dar lugar a la vegetación madura. El entendimiento de la sucesión secundaria tiene gran relevancia para la restauración ecológica (Finegan, 1984; Walli, 1999; Lindig, 2017) y brinda información clave acerca de la resiliencia, es decir, la tasa de recuperación de un ecosistema después de una perturbación (Neubert y Caswell, 1997; Angeler y Allen, 2016; Ghazoul y Chazdon, 2017). La resiliencia de las selvas tropicales es de gran relevancia para su restauración y manejo, así como para la mitigación del cambio climático, ya que las selvas secundarias tienen el potencial de capturar y almacenar grandes cantidades de CO2 atmosférico (Poorter et al., 2016), lo cual podría contribuir a contrarrestar las emisiones por deforestación, quema de combustibles fósiles y otras fuentes antropogénicas (Chazdon et al., 2016).
El estudio de la sucesión ecológica se basa principalmente en el uso de cronosecuencias, o la caracterización de rodales de diferente edad para deducir los patrones sucesionales de composición, estructura y diversidad de la vegetación. Varios de estos estudios en selvas tropicales mencionan que la estructura y la diversidad se aproximan a los valores de sitios maduros o conservados en dos o tres décadas (alta resiliencia), mientras que la composición de especies requiere de períodos más largos (menor resiliencia); aunque esto depende del atributo biológico que se esté evaluando, del tipo de vegetación y del uso previo del suelo, así como de las condiciones ambientales (Guariguata y Ostertag 2001; Molina-Colón y Lugo 2006; Chazdon et al., 2007; Lebrija-Trejos, 2009; Quesada et al., 2009).
El estudio de la sucesión ecológica en las selvas tropicales se ha enfocado principalmente en las regiones más húmedas, a pesar de que las selvas secas ocupan mayor área (Ewel, 1980; Miles et al., 2006; Murphy y Lugo, 1986) y han sido más afectadas por actividades humanas (Mooney, Bullock y Medina, 1995; Murphy y Lugo, 1995). Finegan (1996) propuso un modelo general de cuatro etapas para la sucesión secundaria de las selvas húmedas. Las hierbas, arbustos, lianas y trepadoras colonizan el sitio y dominan en la primera fase. La segunda fase es dominada por los árboles pioneros de rápido crecimiento y corta vida, que crean un dosel cerrado bajo cuya sombra desaparecen las especies que dominaron la primera etapa. Los árboles pioneros de corta vida son sustituidos por árboles pioneros de larga vida, los cuales dominan la tercera etapa. Las especies tolerantes a la sombra se establecen desde las primeras etapas y dominan progresivamente la cuarta y última fase, debido a su mayor longevidad y tolerancia a la sombra (Finegan, 1996).
Sin embargo, este modelo general de sucesión podría no ser aplicable a las selvas secas (sensuMurphy y Lugo, 1986), debido a que existen diferencias en los patrones, factores y procesos ecológicos que afectan a la sucesión secundaria en este tipo de selva (Ewel, 1980). Comparadas con las selvas húmedas, la sucesión en las selvas secas puede ser más rápida y el número de etapas menor (Ewel, 1980), porque su estructura es más simple y su diversidad es menor; asimismo, muchas de las especies de las selvas secas dispersan sus semillas por el viento (Howe y Smallwood, 1982; Quesada et al., 2009) y/o presentan una alta capacidad para rebrotar después de un disturbio (Miller y Kauffman,1998; Kammesheidt, 1999; McDonald, McLaren y Newton, 2010; Dupuy et al., 2012a), lo cual podría conferirles una alta resiliencia. Además, las selvas secas difieren de las húmedas en que el principal recurso limitante no es la luz sino la disponibilidad de agua (Murphy y Lugo, 1986). Esto afecta la capacidad de recuperación de la vegetación, la cual depende, entre otras cosas, de la altura del dosel y de la fenología foliar (hojas deciduas o perennes), atributos que han sido empleados para reconocer diferentes tipos de selvas secas (Miranda y Hernández, 1963).
En la Península de Yucatán, la selva mediana subperennifolia es el tipo de vegetación que ocupa la mayor extensión (Flores y Espejel, 1994; Durán-García, Méndez-González y Larqué-Saavedra, 2016), y abarca gran parte de Campeche y Quintana Roo, y una pequeña porción en Yucatán, con una altura del dosel de 15 m a 25 m y una precipitación media anual de 1100 mm a 1400 mm (Flores y Espejel, 1994; Durán y Olmsted, 1999; Flores, Durán y Ortiz, 2010). Durante las últimas décadas, esta vegetación ha sufrido un severo deterioro debido a la conversión a campos agrícolas y ganaderos y la extracción de productos maderables (Vester y Calmé 2003). A pesar de ello, existen relativamente pocos estudios de sucesión secundaria en este tipo de selvas (Schmook, 2005; Sánchez-Sánchez, Islebe y Valdez-Hernández, 2007; Urquiza-Haas, Dolman y Perez, 2007), las cuales presentan características intermedias entre selvas más húmedas (altas perennifolias) y selvas más secas (bajas caducifolias sensuMiranda y Hernández, 1963) (Flores y Espejel, 1994; Durán-García et al., 2016). Por lo tanto, son necesarios más estudios de este tipo para poder establecer las generalidades de la sucesión secundaria y la resiliencia de este tipo de ecosistemas, que sienten las bases para su posterior restauración y manejo sustentable.
Objetivos
El objetivo de este estudio fue analizar los patrones de recuperación de la estructura, la diversidad y la composición de especies en una selva mediana subperennifolia de Yucatán, México. Para ello, se utilizó una cronosecuencia de rodales que previamente fueron usados como potreros ganaderos. Se plantearon las siguientes preguntas de investigación: (1) ¿cuál es el patrón de recuperación de diferentes atributos de la estructura y la diversidad a lo largo de la sucesión ecológica en estas selvas?, (2) ¿existe un recambio en la dominancia de las especies durante el proceso de sucesión ecológica en estas selvas?, y (3) ¿los patrones sucesionales de estas selvas, se asemejan al patrón registrado para las selvas más húmedas, o a los de las selvas más secas?
Materiales y métodos
Área de estudio
El estudio se llevó a cabo en el area de conservación “El Zapotal” (ACEZ) (21°23’24’’-21°19’59’’ N, 87°39’09’’-87°34’16’’ O), en el municipio de Tizimín, Yucatán (Faller-Meléndez, 2007). El clima es cálido subhúmedo con lluvias en verano entre las isoyetas de 1000 mm y 1100 mm de precipitación y con una temperatura media anual de 26 °C (Instituto Nacional de Estadística y Geografía [INEGI], 2009). La topografía general consiste en una planicie costera con pequeñas ondulaciones, con una elevación de 10 m a 12 m snm y los suelos predominantes son leptosoles con roca sedimentaria (Inegi, 2009). La vegetación del ACEZ corresponde principalmente a selva mediana subperennifolia, aunque también se encuentra selva baja inundable, sabanas, tasistales y pastizales inundables (González-Iturbe y Tun-Dzul, 2004). La vegetación natural ha sido modificada por actividades humanas, principalmente por la ganadería extensiva y la extracción de madera (Faller-Meléndez, 2007). El paisaje consiste en una matriz con parches de vegetación secundaria de diferentes edades de sucesión (González-Iturbe y Tun-Dzul, 2004), donde la mayoría presenta 15 años o más de abandono; otra parte corresponde a vegetación con menos de 5 años de abandono y una menor proporción corresponde a selva madura o conservada sin evidencia de uso previo (González-Iturbe y Tun-Dzul, 2004). Los pobladores de las comunidades aledañas realizaban la práctica de roza-tumba-quema previa a la introducción de pastos exóticos, para el establecimiento de los potreros ganaderos. Estos potreros ocupaban una superficie de entre 50 ha y 100 ha, permanecieron en funcionamiento alrededor de 10 años, contenían entre 1 a 2 vacas por hectárea y el fuego era una práctica recurrente para el mantenimiento y conservación del pastizal.
Muestreo de la vegetación
Para evaluar los cambios sucesionales en la estructura, la diversidad y la composición de la vegetación se utilizó una cronosecuencia. Dentro del ACEZ, se seleccionaron 13 rodales o sitios: uno considerado como selva madura sin evidencia ni registro de uso previo y 12 con diferente edad de abandono después de un uso como potreros para ganado bovino; dos de 4 años, tres de 10 años, uno de 20 años, dos de 30 años, dos de 40 años y dos de 60 años (Fig. 1). La selección de los sitios se hizo en función de la disponibilidad de rodales de diferentes edades de abandono con condiciones similares de tipo de suelo y de uso del suelo previo (pastizales ganaderos). Se seleccionó un solo sitio de selva madura porque era el único disponible sin registro de intervención humana, según los pobladores locales. La edad de sucesión se determinó con base en la información proporcionada por dichos pobladores, quienes participaron en el establecimiento y mantenimiento de los potreros. En cada sitio se establecieron 5 transectos de 50 m × 2 m, separados entre sí 100 m a 200 m, según el tamaño del rodal. Se registraron todas las plantas leñosas con diámetro a la altura del pecho (DAP: medido a 1.3 m de altura) mayor a 1 cm. Se contó el número de individuos y, a cada uno, se le midió la altura con una pértiga telescópica, así como el DAP de cada tallo con una cinta diamétrica y los diámetros mayor y menor de la copa para estimar la cobertura de la misma. Los diámetros de la copa se midieron con cintas métricas en direcciones perpendiculares, considerando su proyección en el suelo.

Los sitios de muestreo de la vegetación están marcados en cuadros blancos y sus edades respectivas en los cuadros grises. SM = selva madura. La imagen fue proporcionada por Pronatura Península de Yucatán, donde se muestra la clasificación de la vegetación en el año 2004.
Figura 1 Ubicación geográfica del área de conservación El Zapotal en Yucatán.
La determinación taxonómica se realizó en campo cuando las características morfológicas eran suficientes; en caso contrario, se colectó material biológico para su posterior identificación en el herbario del Centro de Investigación Científica de Yucatán (CICY), usando la nomenclatura de la APG III (2009).
Análisis de datos
Se analizaron diferentes variables de la estructura, la diversidad y la composición de la vegetación. Las variables de la estructura evaluadas fueron la altura del dosel, calculada como el promedio de las alturas de 10% de los individuos más altos (Salas-Morales, 2002), el área basal (la sumatoria de las áreas de los tallos de todos los individuos de cada parcela a partir de la fórmula del área de un círculo), la cobertura total (sumatoria de las coberturas de todos los individuos de la parcela a partir de la fórmula del área de una elipse) y la densidad (número de individuos por unidad de superficie). El área basal, la cobertura y la densidad se extrapolaron a una hectárea para compararlos con estudios previos. Las variables de diversidad consideradas fueron la riqueza (número total de especies en cada parcela), la diversidad (índice de Shannon-Weiner) y la equidad (índice de Pielou) (Magurran, 2004). El índice de diversidad de Shannon-Weiner considera tanto el número total de especies, como la abundancia relativa de cada especie, mientras que el índice de equidad de Pielou indica qué tan similares son las abundancias relativas de las especies, presumiendo que, a mayor similitud, mayor es la diversidad (Magurran 2004). También se estimó la riqueza esperada utilizando el modelo de Clench, el cual permite obtener una predicción acerca de la riqueza real de especies en cada sitio, así como una estimación de cuán completo fue el esfuerzo de muestreo (Soberón y Llorente, 1993).
Los patrones sucesionales fueron analizados comparando el ajuste de cada atributo de estructura y diversidad con un conjunto de modelos no lineales (Huisman, Olff y Fresco, 1993). Estos modelos describen 5 patrones: MI corresponde a una tendencia de ajuste no significativa; MII describe una tendencia de incremento o decremento con la edad sucesional donde el máximo es igual al límite superior; MIII es igual a MII, excepto en que el máximo no alcanza el límite superior; MIV describe un incremento y decremento con la misma tasa; y MV representa un incremento y decremento a diferentes tasas. El límite superior para cada modelo (M) se estableció con los valores encontrados en el rodal maduro. El ajuste de las variables se hizo usando el método de iteración de Levenberg-Marquardt. Para determinar el modelo que mejor se ajustó a los datos observados se utilizó el criterio de información de Akaike, el cual toma en cuenta la suma de cuadrados de los residuos y el número de variables (Johnson y Omland, 2004), y se estimó el valor del coeficiente de determinación R 2 (Huisman et al., 1993).
Adicionalmente y para mostrar gráficamente la relación entre las variables de respuesta y la edad de abandono, se utilizaron regresiones no lineales en SPSS (2006), excluyendo al sitio de selva madura, puesto que se desconoce su edad sucesional, aunque dicho sitio sí fue incluido en los modelos no lineales mencionados anteriormente (Huisman et al., 1993).
Para comparar la composición de especies entre pares de sitios se utilizó el índice de similitud de Bray-Curtis (IBC). Adicionalmente, para evaluar si existe algún patrón de similitud con la edad sucesional, se realizó una regresión entre la edad sucesional de cada parcela y su similitud con el sitio de selva conservada. Para explorar los patrones sucesionales en la composición de especies se empleó una ordenación NMS (Nonmetric Multidimensional Scaling) con los valores del índice de valor de importancia relativa de cada especie (abundancia relativa + área basal relativa + frecuencia relativa) obtenidos en 50 cuadrantes de 5 m × 2 m en cada sitio. Además, para complementar la ordenación e identificar grupos ecológicos, se realizó un análisis de agrupamiento con el método de Ward, usando la distancia euclidiana y la función objetiva de Wishart (1969) expresada como porcentaje de información remanente (Legendre y Legendre, 2012). Para determinar el número de grupos se eligió un nivel de corte que garantizara un equilibrio entre la pérdida de información y la simplificación a un número interpretable desde el punto de vista ecológico.
Resultados
En total se encontraron 4918 individuos y 154 especies (6 identificadas a nivel de género), pertenecientes a 39 familias, de las cuales Fabaceae fue la más rica con 26 especies (17% del total de especies), seguida de Euphorbiaceae con 12 (8%) y de Rubiaceae con 11 (7%) (Supl. 1). Únicamente doce especies concentraron la mitad de la abundancia total, de las cuales Diospyros yucatanensis con 300 individuos (6% del total de individuos muestreados), Lonchocarpus xuul con 272 (6%), Hampea trilobata con 265 (5%) y Guettarda combsii con 248 (5%) fueron las más abundantes.
Patrones sucesionales de estructura y diversidad
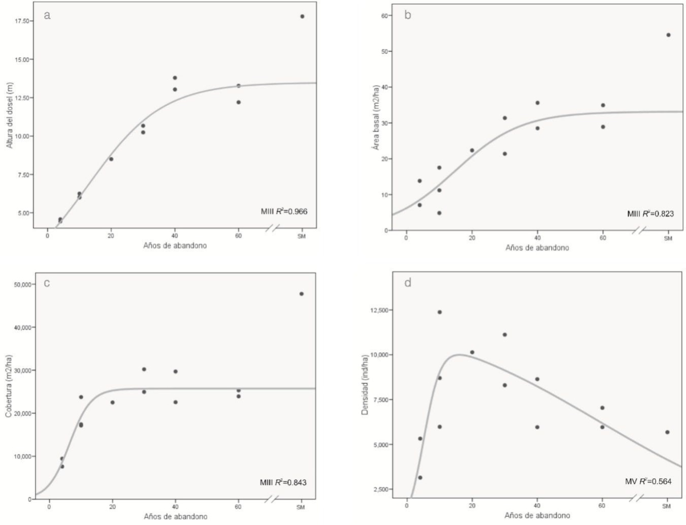
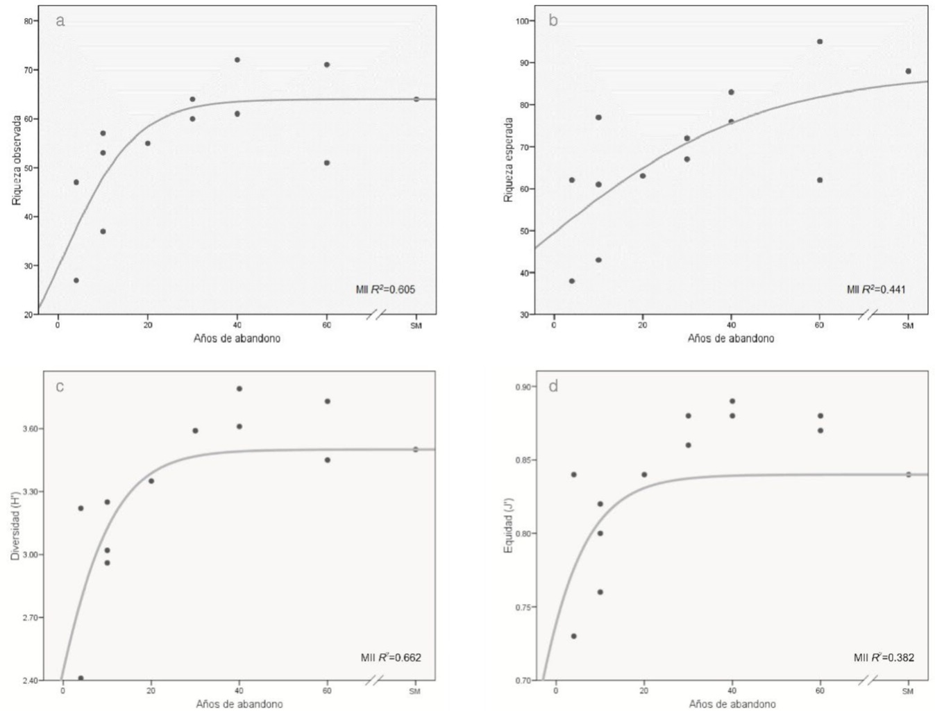
Todos los atributos estructurales, excepto la densidad de individuos, aumentaron conforme aumentó la edad del rodal. La altura del dosel, el área basal y la cobertura no alcanzaron el valor observado en la selva madura (Modelo III, R 2 = 0.966, R 2 = 0.823 y R 2 = 0.843 respectivamente, P < 0.05 en los tres casos) (Fig. 2a, 2b y 2c). La densidad fue la única variable que presentó un incremento seguido de un decremento a diferentes tasas (Modelo V, R 2 = 0.564, P < 0.05) (Fig. 2d). La riqueza observada y la esperada aumentaron con la edad sucesional y alcanzaron los valores de referencia (Modelo II) de 64 y 88 especies, respectivamente, en el sitio maduro (R 2 = 0.605 y R 2 = 0.441 respectivamente, P < 0.05; Fig. 3a y 3b). La diversidad y la equidad de especies también aumentaron con la edad y alcanzaron los valores registrados en la selva madura (Modelo II, R 2 = 0.662 y R 2 = 0.382 respectivamente, P < 0.05; Fig. 3c y 3d).

Los valores de la selva madura (SM) se muestran como referencia, pero no fueron incluidos en el ajuste de la regresión que aquí se presenta, aunque sí fueron incluidos en los modelos no lineales de Huisman et al., (1993). Todos los patrones fueron significativos (P < 0.05).
Figura 2 Patrones sucesionales de los atributos estructurales: altura del dosel (a), área basal (b), cobertura (c) y densidad (d).

Los valores de la selva madura (SM) se muestran como referencia, pero no fueron incluidos en el ajuste de la regresión que aquí se presenta, aunque sí fueron incluidos en los modelos no lineales de Huisman et al., (1993). Todos los patrones fueron significativos (P < 0.05).
Figura 3 Patrones sucesionales de los atributos de diversidad: riqueza observada (a), riqueza esperada (b), índice de diversidad (c) e índice de equidad (d).
Composición
Las comparaciones de la similitud florística (índice de Bray-Curtis) entre pares de sitios se muestran en el Suplemento 2. En términos generales, la similitud florística entre las selvas secundarias y la madura aumentó de manera no lineal con la edad de sucesión (R2 = 0. 741; P < 0.001; Fig. 4), mientras que las edades intermedias (10 años - 40 años) mostraron mayor similitud entre sí (Supl. 2; ver también las distancias entre los sitios en el espacio de ordenación, Fig. 5a).

Figura 4 Relación entre la edad de sucesión (años de abandono) de cada sitio y su similitud florística con el sitio de selva madura (índice de Bray-Curtis: IBC).

Los números representan a los sitios, con su edad de sucesión entre paréntesis. SM = selva madura. Símbolos iguales en (a) indican sitios pertenecientes a un mismo grupo, de acuerdo con (b).
Figura 5 Diagramas de ordenación NMS (a) y agrupamiento (b) de los sitios, según los índices de valor de importancia relativa de las especies.
La ordenación NMS final fue bidimensional y mostró un estrés de 5.49, con una estabilidad de 0.00008, considerada como buena (McCune y Grace, 2002). El eje 1 explicó 43.7% de la varianza y el eje 2 otro 21.6% (65.3% en total) (Fig. 5a). Los análisis de ordenación y de clasificación (Fig. 5a y 4b) arrojaron resultados similares en los que se distinguen tres grupos de sitios según su composición de especies y su edad sucesional. El primer grupo corresponde al sitio 1 de 4 años de abandono. En este grupo (sitio) Hampea trilobata, Viguiera dentata y Acacia pennatula fueron las especies dominantes. El siguiente grupo corresponde a los sitios 2 al 11, con edades sucesionales de 4 años a 60 años. Aquí las especies dominantes fueron: Coccoloba spicata, Lonchocarpus xuul, L. rugosus, Guettarda combsii, Lysiloma latisiliquum, Diospyros yucatanensis y Machaonia lindeniana. El tercer grupo estuvo formado por el sitio 12 (60 años) y el 13 (selva madura), donde las especies dominantes fueron: Manilkara zapota, Metopium brownei, Gymnanthes lucida, Pouteria reticulata y Chrysophyllum mexicanum. El segundo grupo presentó un gran número de sitios y de especies dominantes, a diferencia de los otros grupos que solo tuvieron uno o dos sitios y unas pocas especies dominantes.
Discusión
Patrones sucesionales de estructura
Como se ha documentado en numerosos estudios (Aide, Zimmerman, Pascarella, Rivera y Marcano-Vega, 2000; Kennard, 2002; Peña-Claros 2003; Lebrija-Trejos, Bongers, Pérez-García y Meave, 2008), la altura del dosel, el área basal y la cobertura aumentaron conforme aumentó la edad de sucesión (Fig. 2). Sin embargo, estos atributos, a diferencia de los de diversidad (Fig. 3), no alcanzaron los valores de la selva madura, lo cual sugiere que la estructura de esta selva que fue usada para potreros ganaderos se recupera de manera parcial o más lentamente que la diversidad; es decir, es menos resiliente. Estos resultados concuerdan con los de escenarios de cambio de uso de suelo en selvas medianas en Yucatán, los cuales sugieren que los cambios de uso del suelo a actividades agrícolas tendrían un efecto mayor en la biomasa que en la riqueza de especies (Dupuy-Rada, Hernández-Stefanoni, Hernández-Juárez, Tun-Dzul y May-Pat, 2012b). Además, el uso prolongado del suelo como pastizales ganaderos podría retrasar la recuperación de la estructura de la vegetación (Reiners, Bouwan, Parsons y Keller, 1994; Stern, Quesada y Stoner, 2002; Ferguson, Vandermeer, Morales y Griffith, 2003). En contraste, cuando el uso del suelo previo es moderado en términos del tiempo y la intensidad de uso, las características estructurales tienden a alcanzar los valores de las selvas maduras más rápidamente (Uhl, Buschbacher y Serrao, 1988; Guariguata, Chazdon, Denslow, Dupuy y Anderson, 1997; Molina-Colón y Lugo 2006). La actividad ganadera en el ACEZ podría considerarse como un uso del suelo más intenso y prolongado (Faller-Meléndez, 2007) comparado con la agricultura tradicional de roza, tumba y quema, lo cual ayudaría a explicar parcialmente por qué la estructura de las selvas secundarias no ha alcanzado los valores del sitio maduro aún después de 60 años de abandono.
Por otra parte, es importante señalar que únicamente se tuvo un rodal de referencia (el único sitio de selva madura disponible en el ACEZ), lo cual determina, en gran medida, la selección del modelo que mejor se ajusta a los datos. Sin embargo, la información que se tiene por parte de los pobladores locales indica que ese sitio nunca fue derribado para prácticas agropecuarias, ni fue sometido a extracción de madera, por lo que se lo podría considerar como un sitio de referencia válido de las selvas maduras de la zona de estudio. Dicho sitio presenta altos valores de estructura (altura, área basal y cobertura), los cuales estuvieron fuertemente influenciados por unos pocos individuos de gran tamaño de especies como Manilkara zapota, Metopium brownei y Vitex gaumeri; de hecho, este fue el único sitio en el que se registraron individuos con diámetros mayores a 30 cm (sobrepasando incluso 60 cm) y alturas mayores a 20 m (llegando a 30 m) (López-Jiménez, 2013). Para evaluar el efecto que tienen estos pocos individuos de gran tamaño en los patrones de recuperación de la estructura, se realizaron análisis exploratorios adicionales para la altura, el área basal y la cobertura excluyendo a los individuos mayores a 30 cm de diámetro en el sitio de selva madura. Se encontró que, en los tres casos, el mejor ajuste lo tenía el Modelo II (que alcanza los valores de referencia) y no el III (no alcanza dichos valores), lo cual corrobora la influencia que tienen los individuos de gran tamaño. Esto sugiere que la recuperación de los atributos estructurales no se alcanza debido a la influencia que en ellos tienen los individuos con alturas, áreas basales y coberturas muy grandes, y al tiempo requerido para alcanzar estas tallas en estas selvas estacionalmente secas donde la disponibilidad limitada de agua hace que el crecimiento ocurra única o principalmente durante la temporada de lluvias.
La densidad fue la única variable que presentó un rápido aumento hasta los 10 años, seguido de un decremento más lento con la edad, lo cual coincide con el patrón observado tanto para selvas húmedas (Aide, Zimmerman, Rosario y Marcano-Vega, 1996; Aide et al., 2000) como para selvas secas (Ruiz, Fandiño y Chazdon, 2005). Esto puede atribuirse al establecimiento de muchos individuos de tamaño pequeño al comienzo de la sucesión, cuando existe una alta disponibilidad de espacio (Rivera y Aide, 1998) y la consecuente reducción en el número de individuos a medida que éstos crecen, ya que empiezan a competir por recursos limitados (Silver, Ostertag y Lugo, 2000). Los resultados sugieren que, en el sitio de estudio, el punto de inflexión ocurre alrededor de los 10 años de abandono. Sin embargo, el patrón sucesional de densidad está influenciado por el tamaño de los individuos considerados, pudiéndose encontrar patrones distintos, como una disminución en la densidad de árboles (Denslow y Guzman, 2000; Bermúdez et al., 2007), o un aumento en la densidad de adultos, pero una diminución de la de juveniles y la total (Dupuy et al., 2012a).
Patrones sucesionales de diversidad
La riqueza, la diversidad y la equidad de especies aumentaron con la edad sucesional y alcanzaron valores similares a los de la selva madura a partir de los 20 años, aunque la riqueza esperada mostró un aumento menos marcado y el valor máximo se presentó a los 60 años de sucesión. Estos resultados sugieren que la recuperación de los atributos de diversidad en este tipo de selvas es relativamente rápida. En selvas secas en Puerto Rico con uso previo ganadero, se encontró una acumulación rápida de especies en los primeros 15 años (Aide, Zimmerman, Herrera, Rosario y Serrano, 1995), como también ha sido determinado en selvas húmedas (Aide et al., 1996, 2000; Letcher y Chazdon, 2009), así como valores de riqueza y diversidad en sitios de 40 años similares a los sitios de mayor edad sucesional (Aide et al., 1996, 2000). En selvas húmedas con un uso previo agrícola, la diversidad puede recuperarse aún más rápido: entre 10 años y 25 años (Saldarriaga, West, Tharp y Uhl, 1988; Peña-Claros, 2003).
La rápida recuperación de los atributos de diversidad en la selva mediana del ACEZ se puede deber al alto porcentaje de especies compartidas (Supl. 2), a una diversidad florística a nivel de paisaje relativamente baja (154 especies) y a la cercanía entre los sitios muestreados. Denslow y Guzman (2000) también encontraron una rápida recuperación de la diversidad en una selva húmeda en Panamá y la atribuyeron a la cercanía de la vegetación secundaria a la selva madura, la cual serviría como fuente de semillas y de dispersores, favoreciendo así el establecimiento de las plantas en las etapas tempranas de la sucesión. Estas condiciones de cercanía entre los sitios muestreados y la presencia de selvas rodeando los sitios de estudio se presentan también en el ACEZ (González-Iturbe y Tun-Dzul, 2004).
Composición
Los resultados de la similitud florística entre los sitios indican que hay una clara recuperación de la composición florística, aunque se ha estimado que el tiempo requerido para alcanzar una completa recuperación puede ser de 80 años a 100 años (Saldarriaga et al., 1988; Aide et al., 1996; Rivera y Aide, 1998; Denslow y Guzman, 2000). El alto porcentaje (40% - 50%) de especies compartidas entre los sitios de edades intermedias (10 años - 40 años) concuerda con lo hallado en selvas de Yucatán de 12 años y 26 años después del abandono de potreros ganaderos (Mizrahi, Ramos-Prado y Jiménez-Osornio, 1997; Sánchez-Sánchez et al., 2007). En cambio, otros trabajos señalan porcentajes más bajos (25% - 45%) de especies compartidas, tanto en selvas secas (González-Iturbe, Olmsted y Tun-Dzul, 2002; Molina-Colón y Lugo, 2006; Romero-Duque, Jaramillo y Pérez-Jiménez, 2007; Leirana-Alcocer, Hernández-Betancourt, Salinas-Peba y Guerrero-González, 2009), como húmedas (Guariguata et al., 1997; DeWalt, Maliakal y Denslow, 2003). A diferencia de este estudio, los sitios muestreados en esos trabajos presentaron grandes distancias entre ellos dentro de un paisaje con un alto grado de fragmentación del hábitat.
En campos abandonados, el aporte de semillas por parte de la vegetación secundaria adyacente está restringido en el espacio (Aide y Cavelier, 1994; Zimmerman, Pascarella y Aide, 2000; Cubiña y Aide, 2001; Holl, 1999; Muñiz-Castro, Williams-Linera y Rey-Benayas, 2006). En comparación con los trabajos previos mencionados, los sitios muestreados en el ACEZ se encuentran a una distancia que no excede los cuatro kilómetros entre ellos y, a su vez, están rodeados de vegetación secundaria de diferentes edades de sucesión (González-Iturbe y Tun-Dzul, 2004), lo cual podría ayudar a explicar los valores comparativamente altos de similitud hallados en este trabajo. Sin embargo, es necesario considerar otros factores como el tamaño, la forma, la composición y el arreglo espacial de los rodales (fragmentos en el paisaje), las condiciones ambientales dentro de los mismos, la inclusión o exclusión de especies herbáceas, y la diversidad regional, ya que juegan un papel determinante en cuanto a la similitud que pueda existir entre los sitios (Zimmerman, Aide, Rosario, Serrano y Herrera, 1995; Tuomisto, Ruokolainen y Yli-Halla, 2003; Arroyo-Rodríguez et al., 2017).
Cambio en la dominancia de especies
En los análisis de ordenación y agrupamiento se pudo distinguir tres grupos de sitios con especies distintivas, lo cual hace suponer que hay un cambio en la composición y en la dominancia de especies durante la sucesión. En etapas tempranas de la sucesión, caracterizadas por valores bajos de diversidad y estructura, dominan especies pioneras como Hampea trilobata, Viguiera dentata y Acacia penatula. Las etapas intermedias (10 años - 60 años), con una estructura más desarrollada y una alta diversidad, están dominadas por varias especies heliófilas como Coccoloba spicata, Lonchocarpus xuul, Guettarda combsii, Lysiloma latisiliquum, Diospyros yucatanensis, Bursera simaruba y Caesalpinia gaumeri, que corresponderían al gremio de pioneras de vida larga en el modelo de Finegan (1996) para selvas húmedas, que también se ha registrado para selvas secas en Bolivia (Kennard, 2002). Finalmente, en etapas avanzadas de la sucesión (60 años o más), caracterizadas por una estructura muy desarrollada y compleja, junto con una alta diversidad, dominan especies como Manilkara zapota, Metopium brownei, Gymnanthes lucida, Pouteria reticulata y Chrysophyllum mexicanum, consideradas como especies típicas de selvas maduras, tolerantes a la sombra y de lento crecimiento (Sánchez-Sánchez et al., 2007); así como especies generalistas como L. latisiliquum, Coccoloba diversifolia y Piscidia piscipula (Godínez-Ibarra y López-Mata, 2002). En este estudio no se registraron especies que dominan al comienzo de la sucesión, principalmente hierbas, enredaderas y arbustos, debido, en gran medida, a que no se consideraron especies herbáceas ni rodales de selva menores a 4 años.
Implicaciones para la conservación y restauración de las selvas tropicales y la mitigación del cambio climático
Los resultados de este estudio sugieren un alto potencial de las selvas secundarias del ACEZ para la conservación y restauración de la biodiversidad, dada la alta resiliencia mostrada por los parámetros de diversidad y composición considerados. En este sentido, cabe resaltar la importancia de mantener esta Área de Conservación como fuente de propágulos para la restauración de las selvas en zonas degradadas, especialmente en el municipio de Tizimín, Yucatán, así como tomar en cuenta la importancia de mantener fragmentos de selvas maduras y secundarias que puedan brindar esta misma función y que estén lo suficientemente conectados entre sí para permitir la dispersión de semillas a través del paisaje.
Por otro lado, la estructura presentó una resiliencia menor, lo cual sugiere que atributos como la biomasa epigea y el carbono almacenado en ella se recuperan más lentamente, debido en parte al tiempo requerido para que los árboles alcancen su tamaño máximo en selvas con una marcada estacionalidad en la precipitación y, por ende, en el crecimiento. Esto concuerda con lo hallado para la biomasa epigea en el neotrópico, donde las selvas secas presentan menor resiliencia que las selvas húmedas, y resalta la importancia de conservar y evitar la degradación de las selvas secas maduras como estrategia de mitigación del cambio climático (Poorter et al. 2016). Por otro lado, pese a su menor resiliencia, incluso las selvas secas secundarias tienen el potencial de capturar y almacenar grandes cantidades de CO2 atmosférico, lo cual también podría contribuir a contrarrestar las emisiones por deforestación, quema de combustibles fósiles y otras fuentes antropogénicas (Chazdon et al., 2016).
Finalmente, la resiliencia de las selvas estudiadas ante el cambio global depende del atributo considerado (e.g. área basal o biomasa versus diversidad), del/los sitio/s que se tome/n como referencia y de varios factores ambientales, bióticos y antropogénicos que pueden influir en la sucesión ecológica (Zimmerman et al., 1995; Steininger, 2000; Guariguata y Ostertag, 2001; Chazdon, 2003; Molina-Colón y Lugo, 2006; Chazdon et al., 2007; Lebrija-Trejos, 2009; Quesada et al., 2009; Arroyo-Rodríguez et al. 2017).
Conclusiones
Los resultados de este estudio sugieren una rápida recuperación de los atributos de diversidad (alta resiliencia), y una recuperación más lenta de varios atributos de estructura (menor resiliencia), si bien los patrones encontrados están fuertemente influenciados por los valores del único sitio de referencia apropiado hallado en la zona de estudio. Esto resalta la importancia de las selvas secundarias como fuente de propágulos para la conservación y restauración de la selva mediana subperennifolia, así como la necesidad de evitar la deforestación y degradación de las selvas maduras y fomentar la regeneración de las selvas secundarias, como estrategia para la mitigación del cambio climático global.
Los resultados también sugieren cambios en la composición de especies con la edad de sucesión, donde unas pocas especies pioneras de vida corta dominaron en edades tempranas (menos de 10 años), fueron sustituidas por un amplio grupo de especies heliófilas de vida más larga hasta los 60 años de abandono y, finalmente, una mezcla de especies de lento crecimiento y generalistas dominaron nuevamente en sitios de 60 años o más. Este patrón es similar al registrado para selvas húmedas del neotrópico (Finegan, 1996), lo cual sugiere que la sucesión de las selvas medianas subperennfolias estudiadas se asemeja más al patrón de selvas más húmedas que al de selvas más secas (Lebrija-Trejos et al., 2008).
Dado que la resiliencia de las selvas estudiadas depende del atributo considerado, del/los sitio/s que se tome/n como referencia y de varios factores ambientales, bióticos y antropogénicos que pueden influir en la sucesión ecológica, se requieren más estudios de la sucesión y la resiliencia de las selvas medianas subperennifolias, las cuales se encuentran amenazadas por actividades humanas y han sido poco estudiadas. Tales estudios deberían incluir, en la medida de lo posible, réplicas de las diferentes edades de sucesión consideradas, especialmente de la selva madura que se use como referencia, y deberían considerar los posibles legados de la historia de uso del suelo, así como la composición y configuración del paisaje.










nueva página del texto (beta)


