Al centrar la atención en axiomas particulares, tales como la independencia y la transitividad [de las preferencias], los economistas han pasado por alto un supuesto aún más fundamental que dan por cierto, pero que es casi seguramente falso, esto es, que las personas se enfrentan a sus problemas, armados con una serie de preferencias claras, completas, y que toman las decisiones de acuerdo con una estructura de preferencias dada (Loomes, 1999, p. F37).
I. Teoría “coaseana” del derecho: un brevísimo repaso
Si bien es innegable el aporte del artículo “El problema del costo social” de Ronald Coase (1960) en la fundación del Análisis Económico del Derecho (Medema, 2011, p. 12), y también son múltiples las ideas que se derivan de este, existe un consenso en que su principal aporte se concreta en lo que Stigler (1987, pp. 118-120) sintetizó y denominó posteriormente como el Teorema de Coase. Aunque existen diversas expresiones del Teorema, el célebre iuseconomista Richard Posner lo expresa en los siguientes términos:
(…) como demostrara Coase, cualesquiera que sean los valores relativos de los usos rivales, la asignación inicial de los derechos [de propiedad] no determinará cuál uso prevalece en última instancia. (…) la asignación de los derechos de propiedad no afectará el uso final de la propiedad si se permiten las transacciones y no son demasiado costosas. (Posner, 2002, pp. 96 y 98).
Para efectos explicativos, a esta expresión inicial del Teorema la denominaremos en el presente artículo el Teorema 1. Uno de los casos judiciales utilizados por el mismo Coase ilustra la funcionalidad de este primer teorema con precisión. Coase (1960, pp. 8 y ss.) cita el conocido caso de Sturges vs Bridgmarn (1879), el cual se refiere a una disputa ocurrida en Inglaterra entre un médico (Sturges) y un pastelero-confitero (Bridgman), en donde el segundo venía utilizando de tiempo atrás unas máquinas que había ubicado al fondo de su pastelería, específicamente en un lugar contiguo a la pared donde posteriormente se instaló el médico, y cuyo ruido era tan molesto que impedía a este último auscultar con tranquilidad a sus pacientes. El médico optó entonces por reclamar judicialmente al pastelero para que este cese el uso de las maquinas. El juez del caso falla a favor del médico, indicando que este “tenía el derecho de evitar que el pastelero usara las maquinas".
Dada la sentencia, Coase se cuestiona si la manera en que el juez asigna inicialmente los derechos de propiedad afecta o no el nivel agregado de producción “final” de las actividades económicas en conflicto; es decir, si es que acaso la asignación “inicial” del derecho de propiedad afecta el nivel “final” de eficiencia alcanzable (Beyer, 1992, p. 8). El propio Coase responde a esta pregunta, argumentando que –dadas las condiciones fácticas requeridas en el Teorema 1– el uso óptimo de los recursos se mantendrá constante, independientemente de la manera en que se asignen inicialmente los derechos de propiedad.
Así, supóngase que el libre uso de las máquinas por parte del pastelero (.) le genera a este un beneficio neto final de $150 mensuales y que, en ausencia de las ruidosas máquinas, la actividad económica del médico (m) le genera un beneficio neto de $300 mensuales. En esta primera hipótesis, un fallo favorable a m conlleva en principio que p no pueda encender sus máquinas y, por lo tanto, que no se generan beneficios por $150; pero, en todo caso, subsiste la actividad que maximiza la producción de la sociedad, en este caso, la actividad de m.
Supóngase una segunda hipótesis en la que los beneficios de p son mayores que los de m. En esta hipótesis, aunque el fallo sea inicialmente favorable a los intereses de m, el Teorema anticipa un acuerdo dirigido a la reasignación de derechos entre las partes. Concretamente, en este caso se predice que p comprará el derecho a m en el sentido de proponerle que le permita a aquel seguir utilizando las máquinas a cambio de una suma igual a los beneficios netos que la actividad de m generaría en ausencia de máquinas. Como se puede cotejar, tanto en la primera como en la segunda hipótesis permanece constante el uso óptimo de los recursos económicos.
Asúmase una tercera hipótesis, en la que la sentencia sea inicialmente favorable a los intereses de p Nuevamente, según el Teorema, se anticipa que la actividad de este último prevalecerá siempre que esta genere más beneficios que la actividad de m. La cuarta (y última) hipótesis se refiere a que la sentencia sea favorable a p, pero la actividad de m genere más beneficios que la de p. En este caso, –y conforme al Teorema– m necesariamente “comprará el fallo” a p.
Corolario de lo indicado es que, en ausencia de costos de transacción, e independientemente de la asignación inicial de derechos de propiedad, prevalecerá finalmente aquella asignación que genere mayores beneficios sociales (Coase, 1960, p. 10). La Tabla 1 sintetiza el corolario enunciado y, en general, la predicción derivada del Teorema 1 para las cuatro hipótesis formuladas.
Tabla 1
| Asignación inicial | Funciones convencionales de utilidad1 | ¿Negociación? ¿Reasignación? | Asignación final (óptima) |
| Regla 1. Derecho de m. de evitar que p. use máquina. | Hipótesis 1 Up(x) < Um(y) | No | Prevalece el uso de m. |
| Hipótesis 2 Up(x) > Um(y) | Si m → p | Prevalece el uso de p. | |
| Regla 2. Derecho de p. de continuar usando maquinaria | Hipótesis 3 Up(x) < Um(y) | Si p → m | Prevalece el uso de m. |
| Hipótesis 4 Up(x) > Um(y) | No | Prevalece el uso de p. |
De cara a la labor de quien asigna el derecho –juez o legislador– una peculiar y a veces inadvertida consideración normativa se deriva del Teorema 1. Si, en ausencia de costos de transacción, cualquier asignación inicial conducirá siempre a una (re)asignación óptima de los mismos, entonces stricto sensu el asignador podría despreocuparse de resolver el problema de la eficiencia al momento de decidir tal asignación. En este orden, dado que los propios iuseconomistas han reconocido los efectos distributivos que se derivan de la mera asignación inicial de un derecho de propiedad (Demsetz, 1972; Hovenkamp, 1990), entonces, se sugiere que el asignador se concentre, al momento del fallo, en tratar de satisfacer otros criterios no menos relevantes que la eficiencia, por ejemplo, establecer aquella asignación inicial que suponga una distribución más equitativa de la riqueza disponible,1 y delegar al mercado los eventuales intercambios que conduzcan a una reasignación óptima de los derechos de propiedad.
Ahora, si bien la tesis inicial y explícita de “El problema del costo social” se dirige no más que a presentar un marco teórico para afrontar el problema de las externalidades derivadas de actividades empresariales en conflicto, lo cierto es que innumerables esfuerzos académicos posteriores han expandido la aplicación del Teorema a igual cantidad de contextos jurídicos relevantes. Así, aunque a ojos de un jurista convencional el caso de Sturges vs Bridgmarn podría considerarse un caso particular del derecho de la responsabilidad (extracontractual), lo cierto es que el tratamiento coaseano de este caso permite constatar que quizá la mayoría de las decisiones que suelen tomar jueces y legisladores pueden entenderse como casos análogos en que deciden sobre la asignación de derechos (de propiedad). Ello por cuanto, (i) el concepto coaseano de “derecho de propiedad” es bastante más amplio que el concepto que tradicionalmente los juristas han otorgado al mismo derecho al identificarlo como un derecho “real” –que a su vez contrasta con la categoría del derecho “personal”–, (ii) porque tal como lo reconocen Calabresi y Melamed (1972, p. 364), la resolución del problema de la “asignación inicial” de los derechos de propiedad es un problema omnipresente en cualquier área de cualquier sistema jurídico,2 y finalmente (iii) porque tal como lo ha defendido el AED, los conflictos sobre los derechos de propiedad no se restringen al mero conflicto por la delimitación del ejercicio de los derechos (de propiedad) entre dos empresas.
En su orden, nótese que el caso de Sturges vs Bridgmarn puede replantearse como una controversia entre un pastelero, que alegaba que el alcance de su derecho de propiedad incluía la posibilidad de decidir libremente cuándo encender sus máquinas, y su vecino médico, que alegaba que su derecho de propiedad incluía el derecho a evitar que el pastelero encendiera las máquinas, es decir, el derecho a tener un ambiente libre de ruido. Esta nueva expresión del caso de Sturges vs Bridgmarn evidencia que, si bien el derecho “de propiedad” sobre un recurso (vgr. sobre una máquina) incluye la posibilidad de utilizarlo, transformarlo, transferirlo, simultáneamente incluye el derecho de evitar o restringir las acciones de otras personas, así como también incluye las restricciones del mismo propietario para realizar acuerdos respecto del recurso. Por otro lado, también evidencia que resolver el problema de la asignación inicial del derecho de propiedad consiste esencialmente en definir la matriz de posibilidades de decisión que posee una persona respecto de un recurso.
Así, el AED ha sostenido que la noción del derecho “coaseano” de propiedad puede entenderse como un “haz de derechos”, definido inicialmente por el ordenamiento, que describe el conjunto de decisiones posibles que las personas pueden tomar respecto del uso de un recurso.3 En este orden, cualquier norma jurídica dirigida a restringir o expandir el contenido de dicho “haz de derechos” se entiende como expresión de la asignación de un derecho de propiedad (Mathis, 2009, p. 52). Simultáneamente, al referirse a las posibilidades respecto de “recursos”, Coase no solo se está restringiendo a objetos físicos fácilmente monetizables (como máquinas o consultorios médicos) sino que, además, el derecho “coaseano” de propiedad se expande hacia recursos que en ocasiones los juristas suelen englobar bajo la categoría de derechos o libertades individuales.
De suerte que, bajo esta concepción coaseana, se afirma que el ordenamiento jurídico asigna el derecho de propiedad que una persona posee sobre su propio cuerpo o sus partes, cuando describe las posibilidades y las restricciones –el “haz de derechos”– respecto de cómo usarlo, esto es, si por ejemplo se permite transferir voluntariamente el uso del cuerpo a otra persona (Calabresi y Melamed, 1972, pp. 375 y ss). El ordenamiento también asigna derechos de propiedad cuando establece que la sangre humana puede ser solamente donada o si, además, establece que esta puede ser objeto de venta en un mercado (Rose-Ackerman, 1985, pp. 945-946). Una Constitución Política asigna derechos de propiedad cuando fija el alcance y las condiciones en que un ciudadano puede emitir su voto en una elección política.4
En cualquiera de estos casos, o en cualquier otro caso que pueda entenderse como una asignación de derechos de propiedad en el sentido anotado, el Teorema señala que, en ausencia de costos de transacción y siempre que dentro del “haz de derechos” que constituye el derecho de propiedad se encuentre la posibilidad de transferirlo voluntariamente, entonces, tal asignación tenderá finalmente a dirigirse y a gravitar en torno al uso que se considera económicamente más valioso.
Por supuesto, incluso los ejemplos recién expuestos también permiten inferir que los supuestos fácticos a los que se refiere el Teorema 1 son bastante restringidos. Concretamente, es particularmente excepcional encontrar en la realidad un escenario de intercambio sin costos de transacción significativos. Por ejemplo, aun si el ordenamiento permitiera que la sangre humana sea objeto de comercialización, ello no evitaría que los potenciales vendedores de sangre traten de ocultar información acerca de los posibles daños que esta pueda causar a los compradores. Así las cosas, incluso el propio Coase insistió en que, en presencia de costos de transacción, la generación de los mayores beneficios depende sensiblemente de la manera en que son asignados inicialmente los derechos. Esta idea da lugar a lo que denominamos a efectos explicativos como el Teorema 2 (de Coase), el cual pronostica lo que –desde un punto de vista descriptivo– sucede en aquellos casos en que la transferencia voluntaria del derecho de propiedad es costosa y en que –desde un punto de vista normativo– se considera como la acción adecuada al momento de definir la asignación inicial. El mismo Richard Posner expresa este Teorema 2 en los siguientes términos:
Dado que las transacciones tienen un costo en el mundo real, se promueve la eficiencia asignando el derecho legal a la parte que lo compraría (…) si estuviera asignado inicialmente a otra parte. (…) el costo de la transacción es a veces tan elevado en relación con el valor de la transacción que ésta resulta antieconómica. En tal caso, la asignación inicial de los derechos es definitiva. (Posner, 2002, p. 99)
Así, el Teorema 2 señala –en contraste con el Teorema 1– que en presencia de costos de transacción la asignación “inicial” de los derechos de propiedad sí afecta el resultado “final”. En este caso la asignación inicial tiende a ser la definitiva, incluso si esta es socialmente ineficiente. De manera que (y esto es especialmente relevante para nuestros propósitos) si una asignación inicial ineficiente perdura en el tiempo, ello ocurre porque, aun si el derecho de propiedad incluye la posibilidad de una reasignación mediante una transacción voluntaria, esta reasignación supone incurrir en costos de transacción que no logran compensarse con el excedente que dicha transferencia genera; por lo tanto, la presencia de costos de transacción es lo que explica que perduren asignaciones ineficientes de derechos de propiedad.
Ahora, como se infiere de la anterior transcripción de Posner, para garantizar un resultado socialmente eficiente en presencia de costos de transacción significativos, los iuseconomistas extraen del Teorema un criterio normativo acerca de cómo asignar los derechos de propiedad. Así, bajo la denominación de “Teorema Normativo de Coase”, se sugiere que debe preferirse aquella asignación inicial del derecho en la cual se minimicen los efectos negativos que genera la presencia de los costos de transacción (Parisi, 2005, pp. 23-24).
De lo dicho se derivan múltiples implicaciones susceptibles de generalización. Entre ellas, que la intervención del Estado o del derecho solo se justifica si es que las transacciones voluntarias en el mercado no logran por sí mismas una (re)asignación eficiente de los derechos. En este caso, y para mantener un resultado eficiente, el AED sugiere que la regulación debe estructurarse de forma tal que imite, reproduzca, el resultado final hipotético que el mercado hubiera alcanzado si las transacciones entre agentes fuesen económicamente permitidas (Coleman, 1980, p. 542). Es decir que, desde una perspectiva normativa, se sugiere que la asignación inicial de un derecho tienda a “reproducir” el resultado final que ocurriría en las condiciones fácticas (vgr. ausencia de costos de transacción) de que trata el Teorema 1. Esta perspectiva regulatoria instrumental corresponde a lo que el propio Posner denominó el enfoque del “consentimiento hipotético” o del “mercado hipotético” (Posner, 1979, p. 120); idea esta que a su vez coincide con lo que otros autores definen como la “imitación del mercado” (market mimicking).5
A efectos ilustrativos y tomando como referencia la Tabla 1, el enfoque del “mercado hipotético” implicaría que el juez asigne los derechos de propiedad a través de la regla 1 en las hipótesis 1 y 3, o que asigne los derechos con la regla 2 en la hipótesis 2 y 4, pues, en estas situaciones, la asignación inicial efectivamente imita el resultado hipotético al que el libre intercambio entre agentes hubiera alcanzado si la asignación inicial hubiese sido diferente y si los costos de transacción lo hubiesen permitido.
Lo indicado hasta ahora evidencia otra de las razones del porqué de la expansión del Teorema hacia otros contextos relevantes del derecho. Como dijimos, los iuseconomistas han señalado que los conflictos sobre derechos de propiedad no se restringen –como se presentó originalmente en “El problema del costo social”– al conflicto por la delimitación del ejercicio de los derechos (de propiedad) entre las actividades productivas, es decir, que la naturaleza empresarial de la actividad no es una condición necesaria para la aplicación del Teorema. De manera que, cuando se trata de la asignación de un derecho (de propiedad) en disputa en el que no está involucrada la actividad de una empresa, el Teorema continúa manteniendo su consistencia. Así –teniendo en mente los mismos ejemplos arriba reseñados– cuando la asignación se refiere al derecho de las personas sobre su cuerpo, su sangre o cuando se concede a cada ciudadano la posibilidad de emitir un voto en una elección pública, nótese que en ninguno de estos casos se trata de actividades productivas o empresariales, lo que sin embargo no ha sido óbice para que los iuseconomistas se abstengan de sugerir cómo debieran asignarse este tipo de derechos (de propiedad).
Empero, la implicación más elemental y problemática de expandir las fronteras de aplicación del Teorema más allá de los conflictos entre actividades productivas empresariales es que la cuestión respecto de la eficiencia ya no se refiere simplemente a definir cuál asignación de derechos maximiza la producción en términos agregados, sino que se desplaza a una cuestión mucho más compleja, cual es –tomando acá la opinión de Posner– definir qué asignación de derechos maximiza el nivel de “riqueza” disponible (wealth maximization), que como el mismo autor sostiene, es una aproximación alternativa que pretende responder a las críticas y superar la ética utilitarista cuando a partir de esta se aluden a la idea de la maximización del “bienestar” (welfare maximization) (Posner, 1979, pp. 105 y ss).
Ahora, teniendo en mente la precitada idea del “mercado hipotético”, al equipararse la cuestión en torno a la asignación eficiente como una cuestión de determinar cuál es la asignación maximizadora de la “riqueza”, surge el problema de que entonces la satisfacción de este criterio requiere, por parte del juez o legislador, conocimientos acerca de los valores relativos que cada una de las partes en conflicto le otorga al derecho, y esto en ocasiones es algo incognoscible. Respecto de este problema, el mismo Posner nuevamente defiende el enfoque iuseconómico argumentando que sin embargo en muchos casos es posible que el asignador del derecho pueda hacer conjeturas razonablemente precisas acerca de cuál asignación del derecho maximiza los niveles de riqueza, y agrega que,
[d]ado que sin embargo la determinación del valor (esto es, la disposición a pagar de las partes [willingness to pay – WTP] hecha por un juez es menos precisa que la que realiza un mercado real, la aproximación del mercado hipotético debe reservarse para casos como el de los accidentes, en el que los [altos] costos de transar en el mercado real impiden que este mismo asigne eficientemente los recursos. Por mercado real me refiero a aquel basado en el intercambio voluntario, sea o no que el dinero sea la base del intercambio (Posner, 1979, p. 120, traducción mía).
De manera que la determinación del mayor o menor valor que las personas le otorgan a cierta asignación de derechos a través de la determinación de la disposición a pagar (WTP) por ellos constituye una de las piezas fundamentales del AED, en el sentido de que constituye el criterio mayormente defendido por los iuseconomistas como parámetro para evaluar las asignaciones de derechos que permiten alcanzar resultados eficientes o –en términos de Posner– resultados maximizadores de la “riqueza” en la sociedad.6
En efecto, según el mismo Posner, existe una identidad conceptual entre un resultado que se entiende como maximizador de la riqueza en la sociedad y la mayor disposición a pagar (WTP) por la asignación del derecho:
(…) la “maximización de la riqueza” es a menudo un término mal entendido. La palabra “riqueza” en la “maximización de la riqueza” se refiere a la suma de todos los bienes y servicios, tangibles e intangibles, ponderados por dos tipos de precios: los precios de oferta (lo que la gente está dispuesta a pagar por los bienes que no poseen actualmente) [WTP] y los precios de demanda (lo que la gente demanda por vender lo que poseen) [WTA] (Posner, 1993, p. 356, traducción mía).
Con todo, basados en este –incompleto pero suficiente– panorama acerca de la teoría coaseana del derecho, el pensamiento iuseconómico de Posner y del AED en general, el objetivo del presente artículo se dirige a evidenciar que este asume la veracidad de dos premisas comportamentales: la “exogeneidad de la preferencia” y la “independencia de la referencia”, que son sin embargo particularmente objetables, lo cual conduce a un importante desafío acerca de la manera en que –desde un punto de vista positivo– el mismo AED pronostica la realidad, pero también acerca de cómo –desde un punto de vista normativo– se sugiere sea la acción de jueces o legisladores si es que estos pretenden asignar eficientemente derechos de propiedad.
A efectos de satisfacer el objetivo del artículo, este se divide en cinco partes. En la primera parte, se conceptualizan los supuestos comportamentales de la “exogeneidad de la preferencia” y de la “independencia de la referencia”, y se evidenciará por qué estos constituyen piezas subyacentes y que dotan de consistencia tanto a la teoría coaseana del derecho en específico como al AED en general. En la segunda parte, se introduce una primera objeción acerca de la fiabilidad de los supuestos comportamentales señalados; en concreto, se defiende la idea de que, contrario a lo defendido convencionalmente, factores contextuales y exógenos al individuo (vgr. lo social, las costumbres, lo jurídico, etc.) tienden a moldear las preferencias individuales. En la tercera parte, se da un paso más adelante en las objeciones a través de la síntesis de lo que se denomina el supuesto de la “dependencia de la referencia”, según el cual no es por factores contextuales sino por el punto de referencia a partir del cual se toma la decisión, concretamente, que la sola asignación –inicial– de un derecho de propiedad funciona como un punto focal que transforma predeciblemente la manera en que los individuos valoran dicho derecho. Seguidamente, en la cuarta parte, se exploran algunas implicaciones –tanto de orden positivo como normativo– que se derivan de confrontar el supuesto de la “dependencia de la referencia” con la teoría coaseana del derecho en particular y con el AED en general. En la quinta parte, se concluye y se esbozan otras posibles situaciones que pueden entenderse como manifestaciones del supuesto de la “dependencia de la referencia” y que plantean nuevos desafíos respecto de la manera en que la teoría económica se aproxima (o debiera aproximarse) al análisis del derecho.
II. Exogeneidad de la preferencia e independencia de la referencia en la toma de decisión: su función en el Análisis Económico del Derecho
La Teoría de la Acción Racional (TAR), base comportamental de la economía neoclásica, y en consecuencia también del enfoque convencional del AED, presupone que el individuo actúa en términos agregados como maximizador de su propia función de utilidad esperada, en el sentido de que, al decidir, compara los diferentes resultados “finales” a los que lo conduce cada alternativa disponible, y luego elige aquella alternativa que maximiza la utilidad final neta; ello, independientemente de su situación original.
La literatura económica suele sintetizar esta premisa comportamental con dos términos estrechamente ligados entre sí: la “exogeneidad de la preferencia” y la “independencia de la referencia”, los cuales suponen que las preferencias que se reflejan a posteriori en las funciones de utilidad individuales se toman como variables dadas (exógenas) al momento de resolver el problema de maximización de dicha función (Korobkin y Ulen, 2000, p. 1062). Dicho de otra manera, convencionalmente se asume que los gustos de las personas son variables exógenas en el sentido de que ex ante a la decisión son estables y se encuentran individualmente definidas y, por tanto, son independientes de factores como el contexto o la situación de referencia en la que se encuentra el individuo al decidir (Stigler y Becker, 1977, p. 76).
En el AED en general y en el Teorema de Coase en específico se encuentra implícita esta premisa de la toma de decisión individual que pareciera prima facie trivial. Así, se sostiene que bajo las condiciones fácticas del mencionado Teorema 1, y ante una disputa por un derecho (de propiedad) entre m y p, si el juez asigna inicialmente este derecho a m (vgr. Regla 1 en la Tabla 1) y si el resultado final observado es que m no vende el derecho a p, entonces se afirma que ello es porque “necesariamente” el beneficio que m deriva de poseer el derecho es mayor que el que beneficio que deriva de poseer el mismo derecho (Hipótesis 1 de la Tabla 1). Ceteris paribus, si el juez asigna inicialmente el derecho a p (Regla 2), entonces "necesariamente" el resultado final que se pronostica es que este será reasignado a través de una negociación de p hacia m (Hipótesis 3 de la Tabla 1).
De suerte que la consistencia del Teorema depende de asumir que las valoraciones individuales, más exactamente las preferencias de m y de p por poseer o por ceder cierto derecho de propiedad, son constantes e independientes de su asignación inicial. Es decir que la asignación “final”, sea que una de las partes mantenga o ceda el derecho, depende de cuál de ellos maximiza sus beneficios o utilidad, independientemente de quién es el asignatario inicial. En este orden, la literatura del AED ha reconocido que el Teorema 1 puede (re)expresarse indicando que, en ausencia de costos de transacción, la asignación final del derecho es independiente de la asignación inicial o del punto de referencia (Korobkin, 1998, p. 1584; Zelder, 1998, p. 85).
Ahora, pese a la aparente trivialidad de las premisas de la “exogeneidad de la preferencia” y de la “independencia de la referencia”, estas funcionan como un poderoso instrumento analítico con múltiples extensiones, ya que facilitan el pronóstico de los comportamientos de los agentes en los mercados. Por ejemplo, suele asumirse que lo máximo que una persona está dispuesta a pagar por obtener algún objeto (disposición a pagar) tiende a igualarse con lo mínimo que está dispuesta a aceptar por entregarlo (disposición a aceptar) y ello independientemente de si la persona posee o no posee actualmente ese objeto (Kahneman et al., 1990, pp. 1325-1326).
Otra extensión de los supuestos en comento se verifica en el análisis de la elección en escenarios de incertidumbre. Así, la teoría económica convencional asume que la función de utilidad individual se comporta como una función lineal cuando se pasa del dominio de las ganancias al de las pérdidas. Se asume que la actitud de los individuos respecto de los riesgos (aversión, propensión o neutralidad) es continua e independiente de: (i) el punto de referencia, es decir, el estado de cosas inicial en el que se encuentra la persona, y (ii) de que el resultado final se presente como algo favorable (la probabilidad de ganar x) o desfavorable (la probabilidad de perder x).
Conforme a los mismos supuestos, se asume entonces que una persona m puede preferir gastar un dólar en una golosina en el presente en lugar de ahorrar el mismo dólar para gastarlo en el futuro, mientras que una persona p puede preferir lo contrario; pero la preferencia individual de m por la golosina o de p por el ahorro no depende de factores exógenos y previos a la decisión, por ejemplo, si es que el dólar es parte del salario o si es que –por fortuna–encontró un dólar extraviado. Por la misma razón, entonces, el pastelero coaseano (p) de la hipótesis 2 y de la hipótesis 4 (Tabla 1) maximiza su función de utilidad si “compra” la sentencia al médico (m), pero esta decisión no puede depender de si el juez asignó inicialmente los derechos de propiedad a través de la Regla 1 o través de la Regla 2.
La misma literatura ha señalado que, al nivel de las decisiones colectivas, los supuestos de la “exogeneidad de la preferencia” y de la “independencia de la referencia” se mantienen, lo cual es particularmente relevante de cara a la manera en que el AED sugiere (en términos normativos) cómo el regulador debiera configurar las normas jurídicas o cómo el responsable de la política pública (policy maker) debiera diseñarla. Por ejemplo, es posible que un regulador infiera que cierta comunidad prefiere contar con combustibles más baratos aunque ello implique más contaminación, o que infiera que esa comunidad prefiere combustibles más caros y un aire más limpio, pero, conforme a los supuestos comportamentales en comento, la preferencia (colectiva) por uno u otro estado social no puede depender de si la situación “inicial” es que los combustibles sean actualmente baratos o caros, o de que el aire esté actualmente contaminado o limpio (Korobkin, 2003, p. 1228).
En estrecha relación con esto último, dijimos que una de las tesis fundamentales del AED es que las normas jurídicas pueden comprenderse como si fueren una matriz de incentivos que impone “precios implícitos” a la conducta individual (Kitch, 1983, p. 188; Cooter y Ulen, 2011, p. 9). Al respecto, la “exogeneidad de la preferencia” se considera una condición necesaria para que el iuseconomista pueda evaluar y formular hipótesis acerca de cómo las normas jurídicas (des)incentivan la conducta de las personas. Sobre este punto, se asume que si una persona posee una preferencia socialmente deplorable (vgr. un gusto por provocar incendios), entonces su acción puede ser efectivamente desincentivada mediante normas jurídicas que impongan mayores precios a su conducta (Stigler y Becker, 1977, p. 76). Pero trátese de esta o de cualquier otra preferencia individual, sostener que esta se considera exógena, supone al tiempo que esa preferencia no está determinada por la norma en sí misma. En caso contrario, si las preferencias fuesen endógenas en el sentido de que estén determinadas por incluso la propia norma jurídica, entonces el iuseconomista ya no podría aislar, evaluar ni formular hipótesis respecto de los efectos en la conducta que produce el precio implícito que, se supone, la norma impone.
Finalmente, pero esto no es menos importante, los supuestos comportamentales también señalan profundas implicaciones acerca de cómo la iuseconomía comprende y sugiere la asignación óptima de derechos (de propiedad). Por ejemplo, la idea del “análisis costo-beneficio”, defendida profusamente por el AED, sugiere que el regulador trate de asignar los derechos de forma que se maximice la riqueza o ganancia en términos agregados, esto es, que a pesar de que la asignación imponga costos a una o varias personas, en todo caso la magnitud de los costos debe ser menor que la magnitud de las ganancias que la misma asignación produce. Para instrumentalizar este “análisis costo-beneficio”, se suele proponer el criterio de compensación hipotética de Kaldor-Hicks para, a través de él, determinar qué reglas conducen al resultado que maximiza la riqueza disponible (Parisi, 2004, p. 267). Según este criterio, un estado de cosas A es superior a un estado de cosas B cuando en el status quo B la sumatoria de las variaciones compensatorias derivadas de un movimiento hacia A es un valor positivo (Cowen, 1993, p. 255). Por tanto, el criterio de Kaldor-Hicks exige necesariamente que el regulador compare los cambios en los niveles de riqueza, los diferentes resultados finales a los que conduce cada posible asignación de derechos, independientemente de cómo están asignados inicialmente estos mismos derechos. Concordante con el supuesto de la “independencia de la referencia”, el criterio de Kaldor-Hicks requiere que el valor que los individuos le otorgan a esta o aquella asignación debe asumirse como independiente del status quo, o de quién es el asignatario inicial del derecho (Hoffman y Spitzer, 1993, p. 63).
Con todo, pese a lo señalado en esta primera sección, el problema es que de tiempo atrás los supuestos comportamentales en comento se vienen manejando con creciente cautela, o al menos se les ha objetado su posición axiomática. A este punto se refieren precisamente las siguientes dos secciones.
III. En contra de la exogeneidad de la preferencia y de la independencia de la referencia: ¡el contexto importa!
A efectos de comprender las objeciones a la “exogeneidad de la preferencia” y a la “independencia de la referencia”, considérese inicialmente este ejemplo descrito por Amartya Sen: si una persona prefiere X sobre Y, no puede ser (según la teoría convencional) que prefiera al tiempo Y sobre X o Z. Sin embargo, hay muchos casos imaginables en los que este principio es sistemáticamente violado. Así, imagínese que X, Y y Z son porciones de pastel de diferente tamaño y que la persona tiene una preferencia por mostrarse como alguien relativamente moderado, lo que la lleva a elegir normalmente la segunda porción más grande. De manera que, si la porción Y es más grande que X, elegirá X sobre Y (X>Y), pero en presencia de Z, si esta es más grande que Y, entonces elegirá Y sobre X (Y>X). De manera que, en este caso, la presencia –en el contexto– de Z modifica la preferencia respecto de X o Y, ello aun cuando Z no sea en ningún caso la opción que prefiere la persona (Sen, 1993, p. 498 y ss).
Este ejemplo hipotético ya permite inferir ciertos problemas teóricos, si es que se insiste en generalizar la idea de que las preferencias individuales son independientes incluso del contexto; luego, que se encuentran previamente definidas y son estables al momento de la decisión. Al respecto, la pretensión central de Sen es cuestionar los axiomas de consistencia interna de la elección individual, por ejemplo, que esta elección es independiente de la presencia de opciones irrelevantes. Pero lo cierto es que, según el ejemplo, las opciones que nunca se prefieren (vgr. la existencia de una tercera porción de pastel que nunca es la elegida) –luego, que serían irrelevantes– en realidad sí afectan la elección individual; por tanto, ¡sí son relevantes!
Ahora, en el caso del derecho, sostener que factores contextuales pueden moldear las preferencias individuales es una idea que luce casi trivial para un jurista, ello pese a que –insistimos– el AED ortodoxo asuma que el contexto, la situación de referencia, es irrelevante.Como señalamos, los iuseconomistas suelen tomar las preferencias individuales (que se asumen maximizadoras) como algo dado y luego se preguntan qué normas jurídicas podrían ser las mejores –las más eficientes– para satisfacer dichas preferencias (Hoffman y Spitzer, 1993, p. 112). En aras de mantener la simplificación del análisis, el AED no tiene en cuenta que, una vez establecidas las normas, es decir, asignados los derechos (de propiedad), ello puede incidir ulteriormente en la formación de nuevas preferencias. Esto último, por supuesto, es una idea extraña, cuando no es insostenible, a los ojos de cualquier jurista.
Así las cosas, el jurista probablemente concuerde con el iuseconomista cuando este afirma que, en tanto que el derecho es una parte importante de cualquier sociedad, por lo mismo, su contenido, las normas, tienden a reproducir preferencias, decisiones, elementos culturales o prácticas comunes de la sociedad. Sin embargo, el mismo jurista le objetará al iuseconomista que este descarte la idea de que la interacción del individuo con la sociedad, la cultura –luego, con el derecho ahí inserto–, ciertamente incida, es decir, que transforme a posteriori las preferencias individuales. En este orden, podría sostenerse por ejemplo que, tanto el jurista como el iuseconomista coincidirían en la idea de que, si las personas y la sociedad en conjunto tienden a ser más tolerantes con la diversidad sexual, entonces es normal que esta tendencia provoque o se refleje en un cambio en las normas jurídicas. Empero, el mismo iuseconomista, a diferencia del jurista convencional, objetará que dicho cambio en las normas funcione como un factor que pueda generar a posteriori nuevos cambios en las preferencias individuales.
Mas allá de lo trivial que podría considerarse introducir en la discusión la idea de que –pese a lo defendido por los iuseconomistas–, las normas jurídicas sí pueden funcionar como un factor que moldea ulteriormente las preferencias de las personas, luego, que no es posible asumir que estas se traten como una variable exógena, el problema es que esta idea por sí misma resulta incompleta pues no explica ni permite anticipar la forma ni la dirección en que los factores contextuales, incluidas las normas jurídicas, afectan las preferencias individuales.
En efecto, volviendo al ejemplo de Amartya Sen, nótese que en este, el cambio en la elección individual ante la presencia “en el contexto” de una tercera opción (de pastel) que en todo caso no es la elegida, corrobora que, efectivamente, factores contextuales sí pueden afectar la decisión. Aunque este hallazgo no pareciera sorprender, hoy existe una creciente literatura que se aparta de la concepción económica convencional basada en la “exogeneidad de la preferencia” y, en su lugar, pretende introducir en el modelo el rol del “contexto” en la formación de las preferencias. Esta aproximación heterodoxa puede recogerse bajo la noción de “preferencias dependientes del contexto” (Context-dependent preferences).7
No obstante, el enfoque basado en “preferencias dependientes del contexto” tiene dificultades para explicar cómo se forman las preferencias y para determinar cómo el contexto las afecta. Para nuestros propósitos, que la persona del ejemplo de Sen prefiera actuar como alguien relativamente moderado –cuando come pastel– en realidad es una preferencia que ya estaba formada incluso antes de que se le presentaran las opciones de decisión. El cambio en el contexto (vgr. la inclusión de una tercera opción) no es lo que torna a la persona en alguien que prefiere actuar moderadamente, por tanto, esta preferencia sigue siendo exógena. Además, algo incluso más obvio es que tampoco hay ninguna razón que haga suponer que las personas se comportan comúnmente como sugiere el ejemplo de Sen. En efecto, si individualmente estamos dispuestos a pagar un dólar por una rebanada de pastel, y por ese precio el pastelero nos ofrece tres opciones de distintos tamaños, puede conjeturarse que la mayoría elegiríamos la rebanada más grande. De suerte que, lejos de poder hacer generalizaciones a partir del ejemplo de Sen, parece que este tan solo ilustra un “peculiar” resultado que le ocurre a una persona “peculiar” en un contexto “peculiar”.
Por similares razones, sostener que las normas jurídicas (entendidas como parte del contexto) pueden moldear las preferencias individuales y colectivas, no nos dice nada acerca de cómo se formaron originalmente estas preferencias ni de cómo estas se transformarán y siquiera si estas acaso lo harán a posteriori. Por ejemplo, podríamos afirmar que con el tiempo incluso las sociedades latinoamericanas han tendido a ser más tolerantes con la diversidad sexual, y es posible conjeturar que este cambio fue causado por cambios en factores contextuales, incluidos cambios en las normas jurídicas que a su vez son reflejo de cambios en las preferencias individuales y colectivas de dichas sociedades. El problema es que este argumento no es susceptible de generalización. Por ejemplo, la cultura de “incumplimiento de normas” tan arraigada también en las sociedades latinoamericanas (García, 2009, p. 15 y ss) puede explicarse como reflejo de ciertas preferencias individuales y colectivas históricas, pero ni es posible afirmar que estas preferencias motivan cambios en las normas que reflejen dicha cultura, ni tampoco es sostenible afirmar que cambios en las normas jurídicas, que entonces se insertan en este contexto, hayan tenido un efecto importante en el cambio en esta cultura de incumplimiento. Por tanto, se insiste, si bien puede afirmarse que las normas jurídicas –entendidas como uno de varios factores contextuales– sí pueden moldear las preferencias individuales, el problema es que esta idea por sí misma resulta insuficiente para anticipar o predecir el sentido en que las normas afectan dichas preferencias.
IV. En contra de la exogeneidad de la preferencia y de la independencia de la referencia: ¡la referencia sí importa!
Teniendo en mente el problema recién señalado, en la presente sección defenderemos que la forma en que las normas jurídicas transforman las preferencias individuales puede explicarse mejor no como consecuencia de ser parte del contexto, sino por cuestiones psicológicas y endógenas al individuo mismo. Así, la idea que se discute en la presente sección es que la manera en que las normas jurídicas afectan las preferencias se explica mejor como consecuencia de la forma en que los individuos endógenamente valoran la asignación de derechos que se encuentra inserta en las normas. Esta idea se deriva a su vez de los supuestos de la “dependencia de la referencia” e “endogeneidad de la preferencia”, los cuales, sin embargo, suponen un conflicto con la perspectiva económica convencional, y del cual pasamos a sintetizar lo más relevante para nuestros propósitos.
En la sección primera señalamos que como consecuencia de la “independencia de la referencia”, cuando se trata de decisiones en escenarios de incertidumbre, convencionalmente se asume que la función de utilidad individual se mantiene continua cuando se pasa del terreno de las ganancias al de las pérdidas, y que esta decisión solo depende de cuál de los resultados finales alcanzables maximiza dicha función; luego, que la valoración de cada opción es independiente de la situación inicial, el status quo en el que se encuentra el decisor. Empero, desde hace décadas atrás, se han venido acumulado abundantes pruebas empíricas que refutan esta comprensión de la conducta individual.
Por un lado, contrario a la perspectiva ortodoxa, experimentalmente se ha demostrado que en escenarios de incertidumbre la función de utilidad individual se comporta como una función no-lineal. Así, ligeros cambios en los niveles de riqueza previos e independientes de la decisión provocan cambios significativos en la manera en que los individuos deciden en situaciones de incertidumbre. Por ejemplo, cuando la situación de referencia –el status quo– señala un nivel de riqueza ligeramente más bajo y las alternativas de decisión disponibles establecen alternativas de ganancia, cada una con diferentes probabilidades, entonces, la decisión individual tiende a gravitar en torno a las alternativas que representan un resultado más seguro; pero al tiempo, cuando el status quo señala un nivel de riqueza ligeramente más alto y las alternativas se expresan en diferentes probabilidades de pérdida, entonces, las decisiones se agrupan en torno a las opciones que representan un resultado más inseguro, esto aun cuando en uno u otro caso la decisión conduzca a resultados normativamente equivalentes (Tversky y Kahneman, 1986, p. S258).
Al respecto, hoy día existe una creciente literatura que se ha concentrado en el análisis y la formalización de la no-linealidad de la función de utilidad en escenarios de incertidumbre,8 que su vez ha motivado estudios (muy recientes) sobre las implicaciones de esta idea en el derecho, especialmente en cuestiones relacionadas con el comportamiento criminal.9 Sin embargo, para nuestros propósitos nos interesa concentrar el análisis en lo relacionado con el comportamiento de la función de utilidad individual en situaciones de certidumbre.
El punto central es que, incluso en situaciones de certidumbre, tampoco es cierto que la función de utilidad sea lineal o continua; luego, no puede afirmarse que las personas se comporten de forma consistente cuando el resultado final señala una situación favorable o desfavorable. Al respecto, se sabe que las actitudes de las personas en la toma de decisión cambian sensiblemente cuando se pasa del dominio de las ganancias al dominio de las pérdidas. En concreto, se dice que –ceteris paribus– los individuos tienden a ser particularmente adversos a las pérdidas, en el sentido que endógenamente otorgan un mayor valor a las pérdidas que a las ganancias, ello aun si las magnitudes de aquellas o estas son las mismas. De hecho, la magnitud de tal disparidad en la valoración individual en los dominios de las ganancias y de las pérdidas es relativamente predecible. Así, experimentalmente se ha encontrado que el dolor –la desutilidad subjetiva– que genera la pérdida cierta de un dólar es aproximadamente el doble de la magnitud del placer –la utilidad subjetiva– de ganar con certeza el mismo dólar (Kahneman, et al., 1991, p. 199).10
Este fenómeno cognitivo en la valoración y en la toma de decisión se denomina comúnmente como “aversión a las pérdidas” y en la literatura se define “…como la disparidad entre la fuerte aversión a las pérdidas según un punto de referencia y el más débil deseo por las ganancias de una magnitud equivalente” (Camerer y Loewenstein, 2004, p. 4, traducción mía).
Ahora, entre las diferentes implicaciones de la “aversión a las pérdidas” y en lo que respecta al enfoque iuseconómico, se ha señalado que, dada una asignación inicial de un derecho (de propiedad) en general, el asignatario inicial tiende a otorgarle a este recurso o derecho una valoración subjetiva que es en promedio el doble de lo que un no-asignatario valora el mismo recurso o derecho. Es decir, se ha demostrado experimentalmente que el promedio de lo que un asignatario inicial está dispuesto a aceptar por renunciar a un derecho que posee (WTA) tiende a duplicar la media de lo que un no-asignatario está dispuesto a pagar (WTP) por adquirir ese mismo derecho (Kahneman, et al., 1991).
A su vez, a esta concreción de la “aversión a las pérdidas” suelen asociársele dos fenómenos cognitivos, a saber: (i) el denominado “efecto dotación”, el cual se define como la tendencia del individuo a “sobredimensionar” la utilidad subjetiva derivada de mantener los derechos de los que es actualmente asignatario; luego, que las personas tienden a atribuir un mayor valor a una asignación inicial o un derecho (de propiedad) que actualmente poseen, sobre lo que podrían obtener o ganar si es que renuncian o intercambian dicha asignación (Knetsch, 1989, p. 1282). Por otro lado, (ii) también se asocia el denominado “sesgo de status quo”, según el cual existe una tendencia desproporcionada de las personas a actuar pasivamente, luego, a mantener la decisión que describe el status quo (Samuelson y Zeckhauser, 1988), lo cual implica a nuestros efectos que, tanto los asignatarios iniciales como los no-asignatarios de un derecho (de propiedad), tienden a preferir no modificar su situación inicial (de referencia), solo porque esa asignación inicial representa el status quo.
Dada la abultada cantidad de pruebas –experimentales– que evidencian que el “efecto dotación” y el “sesgo de status quo”, más que fenómenos aislados, son más bien una concreción de supuestos comportamentales susceptibles de generalización para múltiples escenarios,11 ello supone varias implicaciones incluso respecto de la fundamentación del AED,12 dentro de las que destacamos las siguientes:
La más evidente, y como se anticipó desde el inicio de la sección, que las preferencias sí dependen del punto de referencia, por tanto, contrario a lo defendido por la economía convencional (sección primera, supra) no es cierto que las personas decidan comparando solamente los resultados finales a los que conduce cada posible alternativa, sino que, además, las decisiones revelan que las preferencias individuales poseen una fuerte dependencia de la situación de referencia.
Por otro lado, y en contra de la asunción implícita del AED, pero en concordancia con lo defendido en la sección segunda, supra, se corrobora que no es posible generalizar que las preferencias que se reflejan a posteriori en las funciones de utilidad individuales puedan tratarse como simples variables exógenas o como algo dado al momento de decidir, o insistir en que no hay razones para pensar que factores propios de la realidad o del contexto, entre ellas las normas jurídicas, efectivamente moldean dichas preferencias.
Sin embargo, teniendo en mente que en la misma sección anterior advertimos que a pesar de que resulte trivial –para el jurista– reconocer que las normas jurídicas, entendidas como un factor contextual, sí pueden moldear las preferencias individuales, el problema era que esta idea no permite hacer generalizaciones dirigidas a anticipar la forma ni la dirección en que las normas jurídicas afectan las preferencias individuales. En respuesta a ello, y conforme a lo defendido en esta sección, al reconocerse que las preferencias dependen del punto de referencia, incluyendo la referencia que siempre marca cualquier asignación de un derecho (de propiedad), ello permite afirmar que, independientemente de si se la entiende como un factor contextual, dicha asignación, y no más que la asignación del derecho, logra transformar las preferencias individuales en una forma que sí resulta generalizable y, por tanto, teóricamente anticipable.
Con todo, y en contra de lo implícita y comúnmente asumido por los (ius)economistas, puede decirse que: (i) no es cierto que en el análisis y en la predicción de la toma de decisión las preferencias individuales puedan asumirse como variables exógenas, por el contrario, (ii) lo cierto es que la formación de tales preferencias depende sensiblemente de factores como la configuración del punto de referencia, el status quo, entre otros, la manera como el juez o legislador asigna inicialmente los derechos (de propiedad).
La literatura considera estas dos ideas como expresiones concretas de los supuestos comportamentales de la “endogeneidad de la preferencia”13 y de la “dependencia de la referencia”.14 Como se advirtió desde la introducción, al asumirse estos dos supuestos en conjunto, ello plantea un auténtico desafío tanto a la teoría coaseana del derecho en específico como al AED en general. A este punto se refiere precisamente la sección que sigue.
V. “Las preferencias dependen del punto de referencia”: el desafío al Análisis Económico –y coaseano– del Derecho
Como recién se ha dicho, la “endogeneidad de la preferencia” y la “dependencia de la referencia” sugieren que, al resolver el problema de maximización, las personas evalúan las alternativas de decisión contemplando las magnitudes a las que conducen cada una de estas opciones pero no solo en términos de magnitudes absolutas sino además tomando como referencia un punto focal, que puede ser la situación actual (el status quo) en la que se encuentra cada individuo al momento de decidir.
Ahora, si conforme a estos dos supuestos, la simple configuración de un status quo, es decir, cualquier asignación inicial de los derechos que efectúe un legislador o juez, determina endógenamente las preferencias de asignatarios iniciales y no-asignatarios y, de ahí, llega a afectar la manera como estos y aquellos se comportan al momento de realizar intercambios en el mercado, entonces, ello supone múltiples implicaciones acerca de la manera como el Teorema de Coase describe la realidad (Camerer y Loewenstein, 2004, p. 36), pero también, de la manera como (desde un punto de vista normativo) incluso el AED sugiere la acción de legisladores, jueces y policy makers.
Al respecto, en la sección introductoria señalamos que el Teorema 1 (de Coase) pronostica que en ausencia de costos de transacción la asignación inicial de los derechos es independiente del resultado final, este último el cual se asume siempre eficiente, lo que por tanto sugiere que el juez o legislador podría despreocuparse de resolver el problema de la eficiencia al momento de asignar cualquier derecho (de propiedad). También dijimos que conforme el desarrollo que los iuseconomistas han dado al Teorema 2 se sugiere que un resultado eficiente, entendido este en términos de Posner como “maximizador de la riqueza”, se alcanza si es que se asignan inicialmente los derechos de forma tal que se “imite” el resultado final, es decir, teniendo en mente la solución que ocurriría en un “mercado hipotético” sin costos de transacción. No obstante, la introducción en el análisis de la “endogeneidad de la preferencia” y de la “dependencia de la referencia” pone en aprietos la consistencia de los teoremas y menoscaba el valor instrumental de la idea iuseconómica del “mercado hipotético”.
En su orden, respecto del Teorema 1 las implicaciones derivadas de los supuestos en comento son particularmente predecibles, pero no por ello poco problemáticas. Algunas de tales implicaciones son de orden positivo (descriptivo) y otras de orden normativo, ello tal y como se pasa a argumentar:
A. Implicaciones de orden positivo
Si los individuos evalúan las opciones de decisión no solo en términos absolutos, sino además tomando como base la trayectoria del cambio (positivo o negativo) y a partir del punto de referencia en el que cada uno se encuentra, entonces, se hace necesario modificar la expresión convencional de la función de utilidad individual a fin de incluir la “referencia” dentro de aquella.
Sobre este particular, Kőszegi y Rabin (2006) proponen un modelo de función de utilidad dependiente de la referencia en donde la utilidad individual U se expresa en una función dependiente tanto del resultado final (x) como del punto de referencia (r). Dicha función se representa como U(x|r) y se define como:
En donde v(x) representa la utilidad derivada del resultado final y t(x|r) representa la utilidad derivada del cambio respecto del punto de referencia. Si t(x|r) = 0, entonces la función de utilidad se reduce a la versión convencional U(x) = v(x), por el contrario, si v(x) = 0, entonces la función de utilidad depende completamente del punto de referencia U(r) = t(r), pero si t(x|r) > 0 y v(x) > 0, entonces U(x|r) es el resultado de la suma ponderada entre v(x) y t(x|r).
Ahora, conforme lo señalado en la sección precedente, de la “aversión a las pérdidas” se derivan dos implicaciones acerca de la manera como la “referencia” afecta la función t(x|r) y en lo referido a la asignación de derechos (de propiedad): por un lado, (i) el “efecto dotación” implica que el asignatario actual de un derecho exhibe una disposición a aceptar (WTA) por renunciar a la asignación que tiende a ser mayor a lo que él mismo estaría dispuesto a pagar (WTP) por adquirir el mismo derecho si no fuese el asignatario actual; y por otro lado, (ii) el “sesgo de status quo” indica que tanto el asignatario inicial como el no-asignatario del derecho tienden a dar una mayor valoración subjetiva a su situación de referencia, es decir, a preferir el status quo sobre un cambio de este.
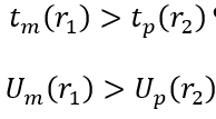
En el contexto de la teoría coaseana del derecho, y teniendo en mente la precitada ilustración del caso del médico m y el pastelero p, lo recién indicado puede (re)expresarse en la idea de que cuando m valora un derecho tomando como referencia su condición de asignatario inicial r. (que es lo que ocurre con la Regla 1 de la Tabla 1), entonces tiende a demandar una compensación por renunciar a la titularidad (WTA) que, en promedio, es mayor a la que un individuo no-asignatario p estaría dispuesto a pagar (WTP) según la valoración que este hace a partir de su condición de referencia de no-asignatario r. (bajo la Regla N° 1). Por tanto, podría decirse que –en este caso– la utilidad de m es mayor que la de p o en términos de la función de utilidad dependiente de la referencia bajo la Regla 1:
Ahora, a efectos de simplificación, si las funciones de utilidad de m y p dependen completamente de la referencia, entonces vm(x) = vp(y) luego tm(x|r1) > tp(y|r2), es decir,
Sin embargo, como consecuencia de la “dependencia de la referencia”, cuando el status quo de m es que este no es el asignatario inicial (que es lo que ocurre con la Regla 2 de la Tabla 1), es decir, si la función de utilidad de m se construye a partir de r2, entonces este tiende a dar una mayor valoración relativa a la situación inicial (status quo) y, por tanto, a mostrar una WTP que es menor a la WTA de p cuando la función de este último se construye a partir de r1, es decir
Luego, si vm(x) = vp(y), entonces es simultáneamente cierto que bajo la Regla 2 (de la Tabla 1) Um(r2) >Up(r1), lo cual se contradice con Um(r1) > Up(r2) que, como se dijo, expresa las valoraciones relativas de la asignación del mismo derecho para m y p pero bajo la Regla 1 (de la Tabla 1).
De manera que, si las funciones de utilidad de m y de p dependen “completamente” del punto de referencia, entonces en nuestro caso, m tenderá a valorar más la titularidad cuando se encuentre en r1, pero simultáneamente tenderá a valorar menos la misma titularidad cuando se encuentre en r2. Conforme la Tabla 1, esto significa que es necesario modificar las hipótesis asociadas a las funciones de utilidad en el sentido de que, por un lado, la hipótesis 1 se iguala a la hipótesis 2, y la hipótesis 3 se iguala a la hipótesis 4 siempre que vm(x) = vp(y)
Tabla 2
| Asignación inicial | Funciones de utilidad dependiente de la referencia (asumiendo que vm(x) = vp(y)) | ¿Negociación? ¿Reasignación? | Asignación final = Asignación inicial |
| Regla 1. Derecho de m de evitar que p use la maquinaria. | Hipótesis 1 = Hipótesis 2 Um(T1) > Up(r2) | No | Prevalece el uso de m. |
| Regla 2. -Derecho de p de continuar con el uso de maquinaria | Hipótesis 3 = Hipótesis 4 Um(r2) > Up(r1) | No | Prevalece el uso de p. |
Ahora, si relajamos el supuesto de que las valoraciones dependen completamente del punto de referencia, esto es, si asumimos que vm(x) ≠ vp(y) > 0, y que por tanto las funciones de utilidad de m y p son, para cada uno, el resultado de la suma ponderada v(x) y t(x|r), entonces habrá casos en los cuales se reasigne el derecho de m hacia p con la Regla 1, y también habrá casos en que ocurra una reasignación de p hacia m con la Regla 2. Sin embargo, estas reasignaciones no solo dependen de quién de los agentes maximiza su utilidad final, sino de quién de estos es el asignatario inicial.
Así las cosas, con la “endogeneidad de la preferencia” y la “dependencia de la referencia” se afectan los supuestos y las predicciones de orden positivo que se derivan del Teorema 1, así:
En lo que corresponde a los supuestos del Teorema, se infiere que, contrario a la asunción convencional, no puede asumirse que las preferencias individuales respecto de poseer o no un derecho (de propiedad) sean independientes de su asignación inicial. Por el contrario, lo cierto es que las preferencias son endógenas en el sentido de que están incluso determinadas por la asignación inicial del derecho.
En lo que respecta a las predicciones del Teorema, la “dependencia de la referencia” permite pronosticar que, a partir de su propio punto de referencia, tanto el asignatario inicial como el no-asignatario del derecho (de propiedad) tienden a dar una mayor valoración subjetiva a mantener el status quo, y, por tanto, tienden a ser renuentes a negociar entre sí, incluso si una (re)asignación conduce a un uso final más eficiente del derecho.
Al tiempo, si una asignación inicial tiende a ser la definitiva, el Teorema considera dos posibles razones: sea porque el asignatario inicial es quien da un uso final más valioso a la asignación, o sea porque a pesar de que el asignatario inicial no es quien da un uso final más valioso, una eventual reasignación supondría incurrir en costos de transacción cuya magnitud es mayor a los beneficios que la misma reasignación produce. Sin embargo, la “dependencia de la referencia” introduce una tercera posibilidad que resulta inconsistente con el Teorema, y es que la asignación inicial tiende a ser la asignación definitiva porque, tomando la situación de referencia del asignatario inicial y del no-asignatario, cada uno de estos tiende a dar un mayor valor relativo a mantener su propia situación de referencia (status quo).
B. Implicaciones de orden normativo
En lo que corresponde a las implicaciones de orden normativo respecto del Teorema 1, recuérdese que de este se desprende la idea de que, en ausencia de costos de transacción, el regulador o el juez podría despreocuparse de resolver el problema de la eficiencia al momento de asignar derechos de propiedad, y en cambio, dirigirse a satisfacer otros criterios, vgr. determinar qué asignación supone una distribución más equitativa de los recursos disponibles. Sin embargo, si las preferencias son endógenas y dependientes de la asignación inicial, luego, que la ausencia de una negociación entre los agentes no constituye una señal de que el juez o el legislador efectuó una asignación óptima de los recursos, entonces, puede afirmarse que incluso en ausencia de costos de transacción, el juez o el legislador sí deberían preocuparse por resolver el problema de la eficiencia al efectuar la asignación de los derechos de propiedad.
En estrecha relación con este punto, recuérdese que el Teorema 2 se dirige precisamente a sugerir –desde un punto de vista normativo– la manera en que puede afrontarse el problema de la eficiencia al momento de decidirse la asignación inicial de los derechos de propiedad. Sin embargo, en este contexto surgen nuevas implicaciones derivadas de incorporar en el análisis la “endogeneidad de la preferencia” y la “dependencia de la referencia”.
Como se argumentó, la teoría coaseana del derecho indica que, en un escenario de costos de transacción significativos, se garantiza un resultado eficiente si la asignación inicial se dirige a reproducir el resultado final que el mercado hipotéticamente hubiera alcanzado si las transacciones entre agentes fuesen económicamente permitidas. Como dijimos, en este caso los iuseconomistas (a partir de la propuesta de Richard Posner) sugieren acudir al enfoque de “mercado hipotético”, según el cual el juez o el legislador pueden y deben realizar una conjetura acerca de quién de las partes en conflicto exhibe una mayor WTP por poseer la asignación, y a través de ello señalar la asignación que maximice la riqueza.
Empero, a la luz de la “dependencia de la referencia” la resolución del problema de la maximización de la riqueza a partir de la idea del “mercado hipotético” se enfrenta a una paradoja expresable en la idea de que cada parte en conflicto exhibe simultáneamente una disposición a pagar (WTP) y una disposición a aceptar (WTA) respecto de la asignación del derecho, que cambia y se contradice dependiendo de su propia situación de referencia.15
En efecto, como se desprende de la Tabla 2, en el contexto de la Regla 1, podría afirmarse que m tendería a mostrar una WTA por renunciar al derecho que es mayor a la WTP de p por recibirlo. No habría entonces una negociación; una reasignación del derecho hacia p, prevalecería finalmente la asignación a favor de m. Luego, el juez podría conjeturar que, en un “mercado hipotético”, el problema de la eficiencia se resuelve asignando inicialmente el derecho a favor de p. Sin embargo, en el contexto de la Regla 2 ocurre lo contrario: la WTA de p por renunciar al derecho sería mayor a la WTP de m por recibirlo, luego, el mismo juez conjeturaría que el problema de la eficiencia se resuelve asignando inicialmente el derecho a favor de p.
En este orden, los supuestos comportamentales en comento también afectan sensiblemente el Teorema 2 y menoscaban el valor instrumental de la idea de “mercado hipotético” de diversas maneras que pasamos a delinear brevemente:
Si el juez o el legislador pretende establecer la asignación maximizadora de la riqueza a partir de una conjetura acerca de lo que sucedería en un mercado hipotético, esa conjetura conducirá eventualmente a que m valorará más la asignación inicial cuando esta se efectúa mediante la Regla 1, pero simultáneamente p tendería a valorar más la asignación inicial cuando esta se efectúa mediante la Regla 2. Por tanto, si al pretender conjeturar lo que sería una hipotética asignación eficiente, ello conduce eventualmente a dos posibles resultados que se contradicen, entonces, intentar hacer tal conjetura resulta en realidad una estrategia inútil para determinar cómo asignar derechos.
Si las funciones de utilidad de las personas son dependientes de la referencia, y asumimos que en el caso de cualquier ordenamiento jurídico ese punto de referencia puede estar dado por la manera en que se asignan inicialmente los derechos (de propiedad), entonces, lo cierto es que en ocasiones no tiene mayor sentido tratar de conjeturar ex ante a la asignación, cómo están configuradas estas funciones de utilidad, pues en el instante mismo en que se efectúa la asignación, esta modifica el contenido de la preferencia.16
Finalmente que, contrario a precitada visión “optimista” de Posner (1979, p. 120), lo cierto es que no es que la resolución del problema de maximización de la riqueza a través del enfoque del “mercado hipotético” sea prima facie una estrategia imprecisa, y que por tanto deba reservarse para casos (como los de la responsabilidad extracontractual) en que los costos de transacción impidan el funcionamiento del “mercado real”, sino que en realidad dicha estrategia a veces no conduce a ninguna parte. Dicho de otra manera, lo que estamos argumentando es que el enfoque del “mercado hipotético” sugiere una respuesta que puede llevar a sostener que cualquier asignación que establezca el derecho está prima facie justificada en clave de eficiencia independientemente de su contenido, es decir, el “mercado hipotético” conduciría a una respuesta indeterminada.
Ahora, más allá del listado (no exhaustivo) de implicaciones que se siguen de asumir que las preferencias dependen de la referencia respecto del Teorema (de Coase) y respecto de la estrategia del “mercado hipotético” (sugerida por Posner), existen ciertas implicaciones adicionales respecto de otras tesis fundamentales propias del AED que, si acaso, han recibido una atención apenas subrepticia en la literatura.
Por un lado, resulta predecible constatar la manera en que dichos supuestos afectan el enfoque del “análisis costo-beneficio” defendido profusamente por los iuseconomistas, concretamente la instrumentalización del criterio de compensación hipotética de Kaldor-Hicks para determinar asignaciones de derechos eficientes. Si, como dijimos en la sección primera, la satisfacción de dicho criterio exige que el regulador (o policy maker) compare las magnitudes del cambio en los niveles de riqueza –tanto de ganadores como de perdedores– que producen diferentes asignaciones, independientemente del status quo, o de quién es el asignatario inicial del derecho, pero al tiempo el iuseconomista es incapaz de aislar el cambio en las preferencias –concretamente, la manera en que la norma jurídica afecta endógenamente las preferencias (de ganadores y de perdedores)–, entonces se concluye que las predicciones que pueden hacerse a partir del criterio de compensación hipotética de Kaldor-Hicks resultan bastante cuestionables o cuando menos ambiguas.17
Por otro lado, y como señalamos también en la sección primera, supra, la consistencia de la denominada “teoría de los precios implícitos” (otro presupuesto fundamental del AED neoclásico), depende de que las preferencias individuales –aun cuando se consideren socialmente reprochables– sean exógenas, luego, que incluso no estén afectadas endógenamente por el contenido de las normas jurídicas. En caso contrario, y como estamos afirmando, si las preferencias son dependientes del contenido de las normas, entonces, como también lo alcanzamos a anticipar, el iuseconomista ya no contaría con una base instrumental que le permita aislar los efectos y formular hipótesis respecto de cómo el precio implícito en la norma produce cambios en la conducta de las personas.
Con todo, si se afirma que la asignación inicial de cualquier derecho (de propiedad) afecta las preferencias individuales a partir del instante mismo en que aquella ocurre, entonces resulta insostenible la idea de que el juez o legislador puedan tomar dichas preferencias como algo “exógeno” al momento de decidir dicha asignación. No existe entonces algo a lo que pueda llamarse como preferencias “dadas” o “previas” a los derechos individuales que por tanto puedan servir de base al AED para fundamentar la manera en que debieran asignarse inicialmente dichos derechos (Sunstein, 2002, p. 109). Así, sin perjuicio de aquella idea de Calabresi y Melamed (1972, p. 364) de que la resolución del problema de la “asignación inicial” es omnipresente en cualquier área de cualquier sistema jurídico, lo que se evidencia también es que quizá el AED ha estado apreciando de manera equivocada el problema de la “asignación inicial”.
En efecto, si no es posible afirmar que las preferencias individuales se encuentran “dadas” ex ante a la asignación de un derecho, sino que aquellas son transformadas ex post, luego, que son una función del status quo señalado por la misma asignación, entonces el problema inicial que enfrenta el AED ya no puede ser el de determinar cuáles normas maximizan o satisfacen de mejor manera ciertas preferencias “dadas”, sino que quizá el “verdadero” problema iuseconómico es señalar “cuáles” preferencias deberían formarse los individuos. Creemos que en lugar de constituir un síntoma adicional de crisis del enfoque iuseconómico, esto plantea un desafío al tiempo que nuevas líneas de desarrollo.
Por ejemplo, si en lugar de tratar de resolver el problema de la eficiencia, la asignación inicial del derecho (de propiedad) se dirige a tratar de satisfacer otros criterios –por ejemplo– de orden distributivo,18 entonces es previsible que tal decisión (independientemente de su contenido) pudiese moldear a posteriori las preferencias de forma tal que los destinatarios tiendan a conservar y considerar “justa” (fair) cualquier decisión coherente con la asignación inicial, ello incluso si mantener este status quo supone individualmente renunciar a la obtención de beneficios económicos netos. Sobre este particular, existen evidencias de que los individuos sí están dispuestos a mantener el status quo, la asignación inicial, porque es lo que consideran “justo”, aun si ello supone renunciar a la maximización de su propia utilidad individual.19 A modo de “reflexión final” y a fin de reabrir el debate, en la parte última de este escrito nos referiremos brevemente a este punto.
VI. Reflexión final
El presente trabajo pretendió señalar que los supuestos de la “endogeneidad de la preferencia” y la “dependencia de la referencia” plantean un desafío a la forma en que desde la economía convencional se describe la formación de las preferencias y se pronostica la toma de decisión individual. Como herederos de dicho enfoque ortodoxo, pretendimos evidenciar cómo dicho desafío es extensible a la teoría coaseana del derecho en específico y al AED neoclásico en general.
Los fenómenos cognitivos de la “aversión a las pérdidas”, el “efecto dotación” y el “sesgo de status quo” se presentan como expresiones concretas dirigidas a demostrar la consistencia de los supuestos comportamentales en comento, al menos en algunas situaciones relativamente restringidas (vgr. la toma de decisiones en ambientes de incertidumbre). Sin embargo, vale recalcar que tales fenómenos ni son las únicas expresiones –demostraciones– de dichos supuestos, ni tampoco las únicas que afectan la manera en que la teoría económica se aproxima al estudio del derecho.
Así, lo que pretendemos esbozar en estas últimas líneas del trabajo es la hipótesis de que, más allá de los fenómenos cognitivos resaltados, existen otras circunstancias en las que se verifica que las preferencias sí dependen de la referencia, y que ciertamente pueden llegar a plantear nuevos desafíos al AED.
Como se sostuvo en este escrito, el enfoque económico convencional suele aproximarse a la utilidad individual haciendo uso de modelos de funciones –de utilidad– en las que un mejor resultado final en términos absolutos determina siempre la decisión a tomar. Empero, al incluirse en el análisis el supuesto de la “dependencia de la referencia” se relativiza dicha aproximación. Sin embargo, además de que, como dijimos, la mera asignación de un derecho (de propiedad) afecta endógenamente las preferencias individuales y de que el sentido de la afectación puede ser pronosticado a partir de ideas como la del “efecto dotación” y el “sesgo de status quo”, lo cierto es que tales asignaciones no son los únicos puntos de referencia relevantes en el derecho. En este orden, por ejemplo, de tiempo atrás la literatura iuseconómica ha destacado que los acuerdos contractuales también fijan puntos de referencia que afectan endógenamente las preferencias de las partes contratantes, lo que a su vez ha permitido a la iuseconomía comprender y evaluar de mejor manera el nivel óptimo de flexibilidad o de rigidez de las normas jurídicas y de los diseños contractuales (Hart y Moore, 2008).
Ahora, dentro de todas esas expresiones que resultan consistentes con la idea de “dependencia de la referencia”, una que es particularmente relevante en el contexto del derecho, y que aún se encuentra relativamente inexplorada por la filosofía o la teoría del derecho, proviene de los más recientes desarrollos del Behavioral Economics. Idea que, en concreto, pretende explicar y anticipar cómo se forman las preferencias individuales acerca de lo que se considera “justo” o “injusto”.
A manera de ilustración –muy preliminar– de este punto, si observamos –por ejemplo– que un amigo compra en el supermercado una barra de chocolate por un dólar, uno mismo esperaría poder comprar la misma barra en el mismo supermercado por el mismo precio. Un tratamiento diferente por parte del supermercado (vgr. un precio más alto) tenderemos a juzgarlo como “injusto”, y quizá incluso renunciaríamos a comprar el chocolate, aun si el mayor precio de este se encuentra aún por debajo de nuestra WTP por el chocolate. En el mismo sentido, si nuestro compañero de trabajo recibe un salario de U$20 por hora, uno esperaría recibir un salario similar, si es que el trabajo que hacemos es el mismo, ello aun si nuestra WTA estuviese por debajo de U$20. Por las mismas razones, en el contexto de la relación entre una empresa y un consumidor, los términos contractuales que usualmente aplica aquella a sus consumidores son los que esperamos que nos apliquen también a nosotros (Jolls, et al., 1998, p. 1496).
Podemos formular otros ejemplos análogos, pero la idea final que queremos dejar esbozada –para posterior desarrollo– es que el tratamiento que recibe nuestro amigo en el mercado, nuestro compañero de trabajo, o los demás consumidores, efectivamente funciona como punto de referencia que ciertamente modifica la manera en que evaluamos lo que consideramos justo o injusto. En términos más generales –y relevantes para el derecho– lo que se dice desde la perspectiva del Behavioral Economics, es que los juicios individuales acerca de lo que consideramos “justo” o “injusto” no pueden tratarse como una cuestión abstracta. En términos más concretos, tendemos a juzgar las acciones, la manera en que somos tratados y las situaciones en general como justas o injustas, no en términos abstractos, sino conforme la coherencia entre aquellas y otras situaciones (a veces hipotéticas) de referencia.20










nueva página del texto (beta)






