Servicios Personalizados
Revista
Articulo
Indicadores
-
Citado por SciELO -
Accesos
Links relacionados
-
Similares en
SciELO
Compartir
Revista Chapingo. Serie horticultura
versión On-line ISSN 2007-4034versión impresa ISSN 1027-152X
Rev. Chapingo Ser.Hortic vol.17 spe 2 Chapingo ene. 2011
Cambios en tamaño y características químicas de cálices de jamaica (Hibiscus sabdariffa L.) durante su maduración
Changes in size and chemical characteristics of roselle (Hibiscus sabdariffa L.) calyces during maturation
Benjamín Ramírez-Cortés1¶; Francisco de Jesús Caro-Velarde1; María Goreti Valdivia-Reynoso1; María Hilda Ramírez-Lozano2; María Luisa Machuca-Sánchez2
1 Unidad Académica de Agricultura. Universidad Autónoma de Nayarit. Carretera Tepic-Compostela km 9, Xalisco, Nayarit, C. P. 63780. MÉXICO. Correo-e: benjaram@nayar.uan.mx (¶Autor para correspondencia).
2 Dirección de Fortalecimiento a la Investigación. Universidad Autónoma de Nayarit. Ciudad de la Cultura Amado Nervo. Tepic, Nayarit, C. P. 63190. MÉXICO.
Recibido: 15 de noviembre, 2010.
Aceptado: 22 de marzo, 2011.
Resumen
En la planta de jamaica (Hibiscus sabdariffa L.) la transición de la floración a la fructificación es gradual, lo que origina que durante la cosecha se obtengan cálices tanto maduros como inmaduros. Para determinar el tiempo óptimo de cosecha, se analizaron los cambios en tamaño (diámetro y longitud) y características químicas (materia seca, pH y contenido de antocianinas) en cálices de tres ecotipos (China, Reina y Criolla) en nueve estados de madurez (estado de floración y después cada cuatro días hasta 32 días después de la floración). El tamaño del cáliz aumentó progresivamente hasta 20 a 24 días después de la floración (estados 6 y 7, respectivamente) y posteriormente el aumento no fue significativo. El diámetro del cáliz varió de 14.34 a 30.96 mm y la longitud de 18.60 a 56.76 mm. Reina tuvo cálices de longitud mayor y China de diámetro mayor. El contenido de antocianinas varió de 205.93 a 1110.74 mg-100 g-1 de cálices secos; China presentó el contenido más alto desde la floración hasta el estado 6, en Reina aumentó gradualmente hasta el estado 7 y Criolla presentó un pico máximo en el estado 4. El contenido de antocianinas disminuyó después de 20 a 24 días de la floración. El contenido de materia seca descendió conforme los cálices maduraron y el pH presentó ligeras fluctuaciones con valores de 2.11 a 2.81. Estos resultados sugirieron que los cálices alcanzaron su madurez para cosecha a 24 días después de la floración.
Palabras clave: Cálices, materia seca, antocianinas, maduración, jamaica.
Abstract
In the roselle plant (Hibiscus sabdariffa L.), the transition from flowering to fruiting is gradual, resulting in both mature and immature calyces during harvest. To determine optimal harvest time, changes in size (diameter and length) and chemical characteristics (dry matter, pH and anthocyanin content) of calyces of three ecotypes (China, Reina and Criolla) in nine stages of maturity (flowering stage and then every four days until 32 days after flowering) were analyzed. Calyx size increased progressively until 20 to 24 days after flowering (stages 6 and 7, respectively), but the increase in subsequent stages was not significant. Calyx diameters ranged from 14.34 to 30.96 mm and length from 18.60 to 56.76 mm. The Reina ecotype had larger calyces and China the greatest diameter. Anthocyanin content ranged from 205.93 to 1110.74 mg.100 g-1 of dried calyces; China had the highest content from flowering until stage 6, whereas in Reina it increased gradually until stage 7 and in Criolla it peaked in stage 4. Anthocyanin content decreased after 20 to 24 days of flowering. Dry matter content decreased as the calyces matured, falling from 17.86 % to 10.43 % throughout the maturation stages, while pH showed slight fluctuations with values from 2.11 to 2.81. These results suggest that calyces reach harvest maturity 20-24 days after flowering.
Key words: Calyces, dry matter, anthocyanins, maturity, roselle.
INTRODUCCIÓN
La jamaica (Hibiscus sabdariffa L.), conocida en otros países como "roselle", "sorrel" o "karkadé", es un arbusto anual perteneciente a la familia Malvaceae, que se cultiva en regiones tropicales y subtropicales para obtener fibra, pulpa para papel o cálices, hojas y semillas comestibles. Esta especie probablemente se introdujo al hemisferio oeste por esclavos africanos en el siglo XVII (Vaidya, 2000), y en México se cultiva desde la época colonial, donde los cálices secos se comercializan generalmente para utilizarlos en la elaboración de bebidas refrescantes o en infusiones. A nivel industrial los extractos de sus cálices tienen usos potenciales como colorantes y saborizantes de alimentos, cosméticos y productos farmacéuticos. Con los cálices también se pueden obtener jaleas, mermeladas y harina para galletas (Galicia et al., 2008). Recientemente, sus extractos se han comercializado como suplementos naturales debido a sus potenciales beneficios para la salud. La medicina tradicional los recomienda para enfermedades del riñón y vías urinarias, pero también son usados como bactericidas, antimicóticos, hipocolesterolémicos, antiespasmódicos, diuréticos, uricosúricos, laxativos, antihipertensivos, antiinflamatorios, antimutagénicos e inmunomoduladores (Maganha et al., 2010).
Entre las principales características que demanda el mercado de los cálices se encuentran: integridad, pureza física, inocuidad, color rojo oscuro, aroma floral característico, sabor ácido y astringente, humedad máxima de 12 % y materia seca mínimo de 88 % (Anónimo, 2007). El contenido de ácidos orgánicos le confiere el sabor ácido a las bebidas de jamaica, y el color rojo intenso se debe al contenido de antocianinas (Anónimo, 2000).
La jamaica es una planta anual, con período vegetativo de cuatro a cinco meses; la inducción floral ocurre cuando los días tienden a ser más cortos (Arbex et al., 2004). Las flores son axilares y solitarias, abren un solo día y después de un corto tiempo la corola se marchita y cae quedando sólo los cálices adheridos al fruto, que es una cápsula donde se encuentran las semillas. Durante la fructificación, los cálices se alargan, se tornan carnosos y al final del ciclo vegetativo son cosechados y deshidratados generalmente al sol (Hidalgo et al., 2009). En la jamaica, al igual que en otras especies del género Hibiscus, la transición de la floración a la fructificación es gradual, porque la antesis de las flores jóvenes continúa después de que las flores viejas ya han formado las cápsulas (Acosta, 1999). Generalmente los agricultores cosechan la jamaica hasta el final del ciclo, lo que origina que se obtengan cálices tanto maduros como inmaduros (Duke, 2003; Morton, 1974).
Diversos trabajos han reportado caracterizaciones agronómicas, donde incluyen información relacionada con el rendimiento de cálices secos por hectárea (Arbex et al., 2004; Ibrahim y Hussein, 2006; Bhajantri et al., 2007; Ruelas et al., 2008), caracterizaciones morfológicas (Hidalgo, et al., 2009) y composición proximal de los cálices (Adanlawo et al., 2006). Sin embargo, existen enormes vacíos de información sobre la evolución de los cálices durante su fructificación. Sólo un trabajo realizado por Christian y Jackson (2010) reporta los cambios en el contenido de compuestos fenólicos totales, antocianinas monoméricas y actividad antioxidante durante su maduración en tres variedades de jamaica. Es necesario generar información relativa a la evolución, durante la maduración, de otras características de interés para las prácticas agrícolas y comerciales, que permitan estimar cuándo los cálices han alcanzado su madurez para ser cosechados. La variedad y el estado de madurez de los cálices de jamaica al momento de la cosecha podrían ser de particular interés para la industria de alimentos, así como de diferentes prácticas agrícolas que podrían afectar los niveles de principios activos benéficos para la salud que se obtienen mediante el consumo de cálices de jamaica con diferentes estados de madurez. En este estudio se analizaron los cambios en el tamaño y características químicas de los cálices de tres ecotipos de jamaica durante su maduración, para determinar el tiempo óptimo de cosecha.
MATERIALES Y MÉTODOS
Material biológico
Se utilizaron cálices de tres ecotipos de jamaica, que se conocen en el estado de Nayarit con los nombres comunes de China, Reina y Criolla. El cultivo se estableció en el mes de julio del año 2009, en una parcela experimental de la Unidad Académica de Agricultura, dependiente de la Universidad Autónoma de Nayarit, ubicada en el municipio de Xalisco, Nayarit (21° 26' 00" LN, 104° 53' 30" LW, 900 m). Cada ecotipo se estableció en ocho surcos de 6.0 m de longitud y separación entre surcos de 1.0 m; cada parcela estuvo formada por 96 plantas, con una separación de 0.5 m y las muestras se tomaron de 27 plantas seleccionadas al azar en los surcos centrales. Durante la etapa de floración se etiquetaron botones en estado de pre-floración, un día antes de la apertura de la flor, que se localizaron en el tallo en el estrato medio y superior de la planta y para cada estado de madurez se cosechó un cáliz por planta. Los tres ecotipos presentaron algunas características que son contrastantes entre ellas (Figura 1), como el ciclo vegetativo, pigmentación por antocianinas y rendimiento de cálices secos por hectárea (Caro et al., 2010).
Preparación de las muestras
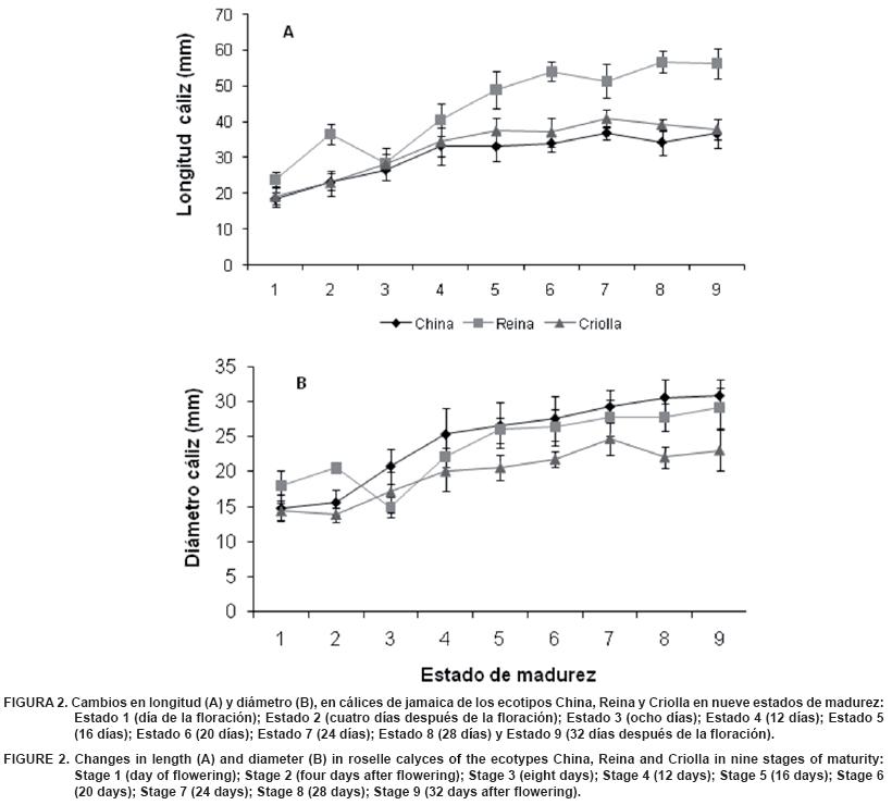
Los cálices se obtuvieron en nueve estados de madurez: Estado 1 (cálices del día de la floración); Estado 2 (cuatro días después de la floración); Estado 3 (ocho días después de la floración); Estado 4 (12 días después de la floración); Estado 5 (16 días después de la floración); Estado 6 (20 días después de la floración); Estado 7 (24 días después de la floración); Estado 8 (28 días después de la floración) y Estado 9 (32 días después de la floración). A los cálices recién cosechados se les midió la longitud y el diámetro y se les determinó el contenido de materia seca. Seis cálices de cada ecotipo y estado de madurez se colocaron en un horno de secado a 50 °C durante 24 h. Con los cálices secos se obtuvo un extracto acuoso al que se le determinó el contenido de antocianinas monoméricas totales y el pH.
Tamaño
En los cálices recolectados de cada ecotipo y estado de madurez, se midieron el diámetro y la longitud con un vernier digital marca Mitutoyo con escala de 130 mm y sensibilidad de 0.01 mm. La longitud se consideró desde la base del epicáliz hasta la punta de los sépalos (Figura 1), y el diámetro se midió en forma transversal a la altura donde terminan las brácteas del epicáliz.
Materia seca
La determinación de materia seca de los cálices se realizó de acuerdo al método gravimétrico por secado y pesado descrito por Ruiz (2001). Se utilizaron dos gramos de muestra que se colocaron en un horno de secado, marca Lumistell, modelo HTP-42 a 60 °C hasta obtener un peso constante. Se registrò el peso inicial y el peso final de la muestra y los resultados se reportaron en porcentaje.
Contenido total de antocianinas monoméricas y pH
El contenido total de antocianinas monoméricas se determinò por espectrofotometría de acuerdo al protocolo descrito por Giusti y Wrolstad (2001), que utiliza el método diferencial de pH. Los cálices secos se pasaron a través de un molino de cuchillas con malla número 60. Para la extracción acuosa se colocó un gramo de muestra de los cálices secos molidos en 99 ml de agua destilada por tres horas con agitaciòn continua y posteriormente se filtrò en papel Whatman número 5. A esta solución se le determinó el pH con un potenciómetro marca Corning modelo 350. Para el análisis del contenido total de antocianinas monoméricas, se midió la absorbancia a longitudes de onda de 510 y 700 nm en un espectrofotómetro UV-VIS marca Jenway modelo 6405. El contenido del pigmento se calculó como cianidina-3-glucósido (peso molecular de 449.2 gmol-1 y coeficiente de extinción molar
= 26,900 L·mol-1c·m-1) y se obtuvo como antocianinas monoméricas totales (mg·L-1). A partir de este dato, el cálculo para el contenido de antocianinas incluyó 1.0 g de muestra seca en 100 mL de la mezcla de extracción y se expresó como mg·100 g-1 de cálices secos.
Análisis estadístico
Los tratamientos se obtuvieron mediante un arreglo factorial 3x9, donde el factor A correspondió a los ecotipos y el factor B a los muestreos de los cálices en las diferentes etapas de madurez. El diseño experimental fue completamente al azar con tres repeticiones. A los datos se les realizó un análisis de varianza y la prueba de comparaciones múltiples por el método de Tukey (P<0.05) con el paquete estadístico Statgraphic, Versión 4.0.
RESULTADOS Y DISCUSIÓN
Los cálices de jamaica durante su desarrollo sufrieron cambios en su tamaño y características químicas con efectos altamente significativos (P<0.01) tanto por ecotipo como por estado de madurez (Cuadro 1). El carácter que más varió entre los tres ecotipos fue el contenido de antocianinas (CV=15.0), en tanto que el pH (CV=0.16) presentó la menor variación. Estos datos reflejaron que la variabilidad existente entre los tres ecotipos (Figura 1) también se manifestó en la variación en el tamaño y la concentración de sus componentes químicos en el desarrollo de los cálices durante su maduración.
Tamaño
La longitud y el diámetro de los cálices de los tres ecotipos de jamaica a diferentes estados de madurez se muestran en la Figura 2. La longitud varió de 18.60 a 56.76 mm y el diámetro de 14.34 a 30.96 mm. El análisis de varianza para longitud y diámetro de los cálices (Cuadro 1) mostró que existen efectos altamente significativos por ecotipo, estado de madurez y la interacción entre ambos (P<0.01, R2=0.94). El ecotipo Reina presentó los cálices de mayor tamaño, con una longitud media de 44.15 mm y diámetro intermedio (23.59 mm) en comparación con los otros dos ecotipos; China presentó cálices con mayor diámetro (24.58 mm) y menor longitud (30.85 mm), en tanto que el ecotipo Criolla presentó los cálices más pequeños con menor diámetro (19.76 mm) y longitud intermedia (32.96 mm) en comparación con los otros dos ecotipos. Respecto a la evolución de estos caracteres en los diferentes estados de madurez, se observó un aumento significativo (Cuadro 2) en la longitud de los cálices hasta 20 días después de la floración (estado 6), excepto en el estado 3 para el ecotipo Reina y en el diámetro hasta 24 días después de la floración (estado 7), a partir del cual el crecimiento del cáliz respecto a estos dos caracteres no presentó diferencias significativas (Tukey, P<0.05) en los estados de madurez subsecuentes. El desarrollo de los cálices siguió un comportamiento similar al de los frutos y vegetales que muestran una curva sigmoide simple (Cruz et al., 2007), con un crecimiento gradual en los primeros días de desarrollo para posteriormente mantenerse casi constante. La disminución en la velocidad de crecimiento de los cálices entre los días 20 y 24 después de la floración se podría considerar como un indicador cronológico para el corte, ya que se considera que al reducirse el crecimiento se abre paso a otros procesos fisiológicos que conducen a la senescencia y al deterioro por factores bióticos y abióticos.
A este respecto, Arbex et al. (2004) señalan que muchos de los cálices que se cosechan hasta el final del ciclo se pasan del punto de cosecha y se tornan senescentes, lo que favorece el crecimiento de hongos, con pérdidas en la calidad de los cálices desde 20 hasta un 40 %, por lo que recomiendan que la cosecha se realice conforme los cálices maduren.
Características químicas de la materia seca.
El contenido de materia seca en los cálices de los tres ecotipos de jamaica varió desde 17.86 a 10.46 % (Figura 3). El análisis de varianza mostró efectos altamente significativos por ecotipo, estado de madurez y la interacción entre ambos factores (P<0.01, R2=0.90), con un coeficiente de variación de 7.17 (Cuadro 1), lo que indicó que este parámetro fue muy variable entre las muestras que se analizaron (Figura 3), debido quizás a los constantes cambios en la distribución de materia seca entre los diferentes órganos durante el desarrollo de una planta. La comparación múltiple de medias indicó que el contenido de materia seca fue significativamente mayor (Tukey, P<0.05) para el ecotipo Criolla con un valor medio de 13.26 %. El contenido medio de materia seca en los cálices fue mayor el día de la floración (estado 1) que al final de su desarrollo con diferencias significativas sólo para los estados 1 y 2 (Cuadro 2). En el ecotipo Reina se observó un descenso gradual en el contenido de materia seca desde el estado 1 hasta el 9 (15.23 y 10.42 %, respectivamente), con ligeras fluctuaciones sin diferencias significativas a partir del estado 2; para China se registró el valor más bajo de materia seca (10.11 %) en el estado 7 con un aumento no significativo al final del desarrollo de los cálices, mientras que en Criolla se observó un descenso rápido en el contenido de materia seca del estado 1 al estado 3 (17.83 a 11.49 %, respectivamente) y después presentó marcadas fluctuaciones en los estados de madurez subsecuentes.
El descenso en el contenido de materia seca después del día de floración y la variabilidad que se observó durante el desarrollo de los cálices, se debió quizás a que durante la antesis existió una demanda de nutrientes y fotoasimilados que originó una acumulación de materia seca, y durante la post-antesis el desarrollo de los cálices compitió con la distribución de estos fotoasimilados que se dirigieron hacia la formación de flores nuevas y el llenado de semillas. Como lo señalan Peil y Galvez (2005), los asimilados que se producen por la fotosíntesis en los órganos fuente (principalmente las hojas) se pueden almacenar o distribuir vía floema entre los diferentes órganos de demanda en una planta. La distribución de materia seca se relaciona estrechamente con este sistema fuente-demanda y puede cambiar durante el desarrollo de un cultivo; en la etapa reproductiva, los botones florales, las flores, los frutos y las semillas tienen prioridad por los fotoasimilados (Arevalo et al., 2007). También se debe considerar que la potencia de estos órganos de demanda y consecuentemente su tamaño dependen, entre otros factores, de la ubicación de éstos respecto a la fuente y su posición en la planta; así, como en frutos y hortalizas que se dan en racimos, las flores distales se someten a una doble competencia por los fotoasimilados dentro y entre inflorescencias, lo que genera un crecimiento diferenciado entre frutos. La distribución de materia seca se puede controlar si se modifica la potencia de estos sumideros con prácticas como el raleo de frutos que, al reducir el número de los mismos, canalizan los fotoasimilados a los frutos restantes, que aumentan de peso y tamaño (Peil y Galvez, 2005), la eliminación selectiva de espiguillas de la inflorescencia de sorgo para aumentar el llenado y rendimiento de semillas (Valadez et al., 2006) o el desbotonamiento en clavel con el fin de obtener flores de mejor calidad (Arévalo et al., 2007).
Sin embargo, en el cultivo de jamaica se desconoce el impacto que estas prácticas puedan tener sobre el tamaño, rendimiento y la calidad de los cálices. Durante la cosecha, que se realiza al final del ciclo de la planta, se ha observado que los cálices de tamaño mayor se localizan en el tallo y al inicio de las ramas principales y que éstos provienen de las flores precoces, en comparación con los de tamaño menor que provienen de flores tardías. De igual manera, los cálices que provienen de las flores precoces presentan mayor deterioro que aquellos de flores tardías. Ello conlleva a la necesidad de realizar estudios posteriores para analizar las relaciones entre la distribución de materia seca con el rendimiento y la calidad de los cálices, que permitan estimar índices fisiotécnicos que sustenten una cosecha continua de los cálices de jamaica.
Contenido total de antocianinas monoméricas y pH
El pH del extracto de los cálices en los tres ecotipos de jamaica presentó ligeras fluctuaciones durante los estados de madurez que se analizaron, con valores entre 2.11 a 2.81 (Figura 3). Valores similares de pH en extractos de cálices de jamaica nacional e importada fueron obtenidos por Galicia et al. (2008). Los resultados del ANOVA para esta variable (Cuadro 1) mostraron que existen efectos significativos por ecotipo, estado de madurez y la interacción entre los dos factores (P<0.01, R2=0.99) debido principalmente a las diferencias entre los ecotipos. Los cálices de Criolla son más ácidos, con un valor medio de pH de 2.47, comparado con los otros dos ecotipos. Se observó que el pH de los extractos varió de modo constante durante el desarrollo de los cálices de los tres ecotipos, y sólo coincidieron en que presentaron un descenso apreciable y estadísticamente significativo (Tukey, P<0.05) 24 días después de la floración (estado 7) para China de 2.55 a 2.11 y para Criolla de 2.60 a 2.38 (Cuadro 2). En el ecotipo Reina el pH desciende de 2.62 a 2.44, 20 días después de la floración (estado 6). Sin embargo, estos resultados se deben considerar en función de que el pH es un valor que expresa, en una escala logarítmica, la presencia de ácidos orgánicos en su forma iónica, por lo que diferencias pequeñas se relacionan directamente con los cambios en la concentración de los ácidos orgánicos principales reportados en jamaica como son el ácido cítrico, ácido málico, ácido tartárico y ácido hibisco y que todos ellos participan activamente en el metabolismo primario (Ali et al., 2005), lo que origina que su concentración cambie constantemente.
De todas las variables evaluadas, el contenido de antocianinas fue el parámetro con mayor variación con valores desde 205.93 hasta 1110.74 mg-100 g-1 de cálices secos (Figura 3). El análisis de varianza de los datos del contenido de antocianinas mostró que hubo efectos altamente significativos (Cuadro 1) por ecotipo, estado de madurez y la interacción entre ambos factores (P<0.01, R2=0.97). Esto significa que la producción de antocianinas durante la maduración de los cálices se expresó de manera diferencial en los tres ecotipos que se evaluaron. La comparación múltiple de medias (Tukey, P<0.05) indicó que los cálices de China presentaron el mayor contenido de antocianinas con un valor medio de 1006.05 mg·100g-1, los de Reina tuvieron un valor intermedio (488.10 mg·100g-1) y los de Criolla el valor medio menor (299.90 mg·100g-1). Durante el desarrollo de los cálices, el contenido de este pigmento en el ecotipo China se mantuvo alto desde el estado 1 hasta el estado 6 sin diferencias significativas entre ellos (Cuadro 2) posteriormentehubo un decenso descender, mientras que en Reina se produjo un aumento gradual de este pigmento desde el estado 1 hasta el estado 7, excepto en el estado 3, que posteriormente también descendió sin diferencias significativas en los estadíos subsecuentes. En el ecotipo Criolla se observó mayor variabilidad en la producción de este pigmento en relación con los otros dos ecotipos, presentó un pico máximo en el estado 4, descendió en el estado 6 y posteriormente presentó un ligero aumento sin diferencias significativas en los últimos estadíos de desarrollo de los cálices.
Diferencias en el contenido de antocianinas entre variedades y estado de madurez fueron reportadas por Christian y Jackson (2010) en plantas que se cultivan en el Caribe, donde señalan que en los cálices rojo oscuro el contenido de antocianinas disminuye desde la floración hasta siete días después de la floración y después se incrementa nuevamente, lo cual difiere de lo obtenido en este estudio. En estudios realizados con plantas de jamaica cultivadas en Egipto, Reifa et al. (2005) también coinciden en señalar que el contenido de antocianinas de los cálices se incrementa de acuerdo a la edad de la flor, alcanzando su pico máximo a los 60 días y posteriormente empieza a descender ligeramente cuando las semillas están ya maduras. Las diferencias observadas en estos estudios evidencian que la producción de antocianinas en los cálices de jamaica se ve influida, entre otros factores, por las variedades que se utilizan y las localidades donde se cultivan. Como lo señalan Jaakola et al. (2002), las rutas de biosíntesis de antocianinas están altamente reguladas a nivel de genes, pero también responden a diferentes señales del desarrollo y ambientales. En arándano (Vaccinium myrtillus) la expresión de los genes es alta durante la floración y la etapa de maduración de los frutos, y desciende durante la senescencia de los mismos.
En el cultivo de jamaica la producción de antocianinas también fue evidente durante la floración y se manifestó en diferentes órganos de la planta como el tallo, las hojas, los frutos y las flores de donde provienen los cálices. En éstos, se observó que la producción de este pigmento continuó en los estadíos iniciales de su desarrollo y disminuyó entre 20 a 24 días después de la floración, por lo que se consideró que este tiempo puede ser el óptimo para la cosecha de los cálices de jamaica.
Con el objetivo de determinar si existió alguna asociación entre el tamaño y las características químicas de los cálices, se calcularon los coeficientes de correlación de Pearson. Los resultados mostraron que sólo la longitud del cáliz y el contenido de antocianinas presentaron una correlación altamente significativa (r=0.87, P=0.0001), por lo que se consideró que la medición de la longitud de los cálices podría utilizarse como un indicador de cosecha práctico para los cálices de jamaica.
CONCLUSIONES
El ecotipo Reina tuvo cálices de longitud mayor, y China los de diámetro mayor. El crecimiento de los cálices, tanto en diámetro como en longitud, presentó un patrón de tipo simple sigmoidal, con un aumento progresivo significativo hasta 20 a 24 días después de la floración (estado de madurez 6 y 7, respectivamente), después del cual el aumento de tamaño del cáliz ya no fue significativo. La producción de antocianinas durante la maduración de los cálices se expresó de manera diferencial en los tres ecotipos; China presentó el contenido más alto de este pigmento desde la floración (estado 1) hasta el estado 6, en Reina aumentó gradualmente hasta el estado 7 y Criolla presentó un pico máximo en el estado 4. El contenido de antocianinas disminuyó después de 20 a 24 días de la floración. El contenido de materia seca descendió conforme progresó la maduración de los cálices y el pH presentó ligeras fluctuaciones. Con base en estas observaciones, se estimó que de 20 a 24 días después de la apertura de la flor los cálices han alcanzado su madurez, y este tiempo puede ser el óptimo para su cosecha.
LITERATURA CITADA
ANÓNIMO. 2000. Producción ecológica de hibisco. In: Agricultura orgánica en el Trópico y Subtrópico. Guía de 18 cultivos. Fundamentos de la Agricultura Orgánica. Asociación Naturland. Gräfelfing, Germany. pp. 234-243. [ Links ]
ANÓNIMO. 2007. Estudio de Inteligencia de Mercados: México. Flor de Jamaica (Hibiscus sabdariffa L.). Centro de Promoción de Exportaciones (NICAEXPORT). Managua, Nicaragua. 26 p. [ Links ]
ACOSTA, A. G. 1999. Aspectos generales del kenaf (Hibiscus cannabinus L.), en Cuba. Temas de Ciencia y Tecnología 7: 3-31. [ Links ]
ADANLAWO, I. G; AJIBADE, V. A. 2006. Nutritive value of the two varieties of roselle (Hibiscus sabdariffa) calyces soaked with wood ash. Pakistan Journal of Nutrition 5(6): 555-557. [ Links ]
ALI, B. H.; WABEL, N. A.; BLUNDEN, G. 2005. Phytochemical, pharmacological and toxicological aspects of Hibiscus sabdariffa L.; A Review. Phytotherapy Research 19: 369-375. [ Links ]
ARÉVALO, G. A.; IBARRA, D. A.; FLOREZ, V. J. 2007. Desbotone en diferentes estadios de desarrollo del botón floral en clavel estándar (Dianthus caryophyllus L.) var. Nelson. Agronomía Colombiana 25(1): 73-82. [ Links ]
ARBEX, C. N. E.; PEREIRA, P. J. E. B.; GRAÇAS, C. M.; RAMALHO, M. A.; BERTOLUCCI, S. K. V.; GUIMARÃES, S. F.; DELÚ, F. N. 2004. Planting time for maximization of yield of vinegar plant calyx (Hibiscus sabdariffa L.). Cienc. Agrotec., Lavras 38(3): 542--551. [ Links ]
BHAJANTRI, C. M.; MUMMIGATTI, U. V.; DODDAMANI, M. B. 2007. Correlation studies in mesta genotypes. Karnataka Journal Agricultural Sciences 20(2): 368-369. [ Links ]
CARO-VELARDE, F. J.; FLORES-BERRIOS, E. P.; MACHUCA-SÁNCHEZ, M. L. 2010. El Cultivo de Jamaica (Hibiscus sabdariffa L.) en Nayarit. Universidad Autónoma de Nayarit. Tepic, México. 103 p. [ Links ]
CHRISTIAN, K. R.; JACKSON, J. C. 2010. Changes in total phenolic and monomeric anthocyanin composition and antioxidant activity of three varieties of sorrel (Hibiscus sabdariffa L.) during maturity. Journal of Food Composition and Analysis 22: 663-667. [ Links ]
CRUZ-CASTILLO, J. G.; DEL ÁNGEL-CORONEL, O. A.; DE LA CRUZ-MEDINA, J.; JOAQUÍN-MARTÍNEZ, M. C. 2007. Características morfológicas y bioquímicas de frutos de chinene (Persea schiedeana Nees). Revista Chapingo Serie Horticultura 13(2): 141-147. [ Links ]
DUKE, J. A.; JOBOGENSHUTZ-GODWIN, M.; DUCELLIER, J.; DUKE, P. A. 2003. Handbook of Medicinal Spices. CRC Press LLC. New York, USA. 348 p. [ Links ]
GALICIA-FLORES, L. A.; SALINAS-MORENO, Y; ESPINOZA-GARCÍA, B. M.; SÁNCHEZ-FERIA, C. 2008. Caracterización fisicoquímica y actividad antioxidante de extractos de jamaica (Hibiscus sabdariffa L.) nacional e importada. Revista Chapingo Serie Horticultura 14(2): 121-129. [ Links ]
GIUSTI, M.; WROLSTAD, R. E. 2001. Characterization and Measurement of anthocyanins by UV-Vis-espectroscopy, unit F1.2.1-13. In: Current Protocols in Food Analytical Chemistry. WROLSTAD, R.E. (ed.). John Wiley & Sons, Inc. New York, NY. [ Links ]
HIDALGO-VILLATORO, S. G.; CIFUENTE-REYES, W. A. L.; RUANO-SOLÍS, H.; CANO-CASTILLO, L. E. 2009. Caracterización de trece genotipos de rosa de jamaica Hibiscus sabdariffa L. en Guatemala. Agronomía Mesoamericana 20(1): 101-109. [ Links ]
IBRAHIM, M. M.; HUSSEIN, R.M. 2006. Variability, heritability and genetic advance in some genotypes of roselle (Hibiscus sabdariffa L.). World Journal of Agricultural Sciences 2(3): 340-345. [ Links ]
JAAKOLA, L.; MAATTA, K.; PIRTTILA, A. M.; TORRONEN, R.; KARENLAMPI, S.; HOHTOLA, A. 2002. Expresion of genes involved in anthocyanin biosynthesis in relation to anthocyanin, proanthocyanidin, and flavonol levels during bilberry fruit development. Plant Physiology 130: 729-734 [ Links ]
MAGANHA, G. E.; DA COSTA, H. R.; MOREIRA, R. R.; PEGAS, H. J. A.; LIA DE PAULA, R. A. L; SAFFI, J. 2010. Pharmacological evidences for the extracts and secondary metabolites from plants of the genus Hibiscus. Food Chemistry 118: 1-10. [ Links ]
MORTON, J. 1974. Renewed interest in Roselle (Hibiscus sabdariffa L.), the long forgotten "Florida Cranberry". Proceedings of the Florida State Horticultural Society 87, 415-425. [ Links ]
PEIL, R. M.; GALVEZ, J. L. 2005. Reparto de materia seca como factor determinante de la producción de las hortalizas de fruto cultivadas en invernadero. R. Bras. Agrociência 11(1):5-11. [ Links ]
REIFA, A. H.; HEMMAT, K. I. K.; HALA, M. S. B.; MERVAT, S. S. 2005. Increasing the active constituents of sepals of roselle (Hibiscus sabdariffa L.) plant by applying gibberellic acid and benzyladenine. Journal of Applied Sciences Research 1(2):137-146 [ Links ]
RUELAS-HERNÁNDEZ, P. G.; CARO-VELARDE, F. J.; GONZÁLEZ-PÉREZ, R.; VALDIVIA-BERNAL, R. 2008. Aptitud combinatoria y heterosis en un cruzamiento dialélico en jamaica (Hibiscus sabdariffa L.). Revista Chapingo Serie Horticultura 14(3): 325-330. [ Links ]
RUIZ, R. P. 2001. Gravimetric Determination of Water by Drying and Wfeighing, unit A1.1.1-6. In: Current Protocols in Food Analytical Chemistry. RUIZ, R.P. (ed.). John Wiley & Sons, Inc. New York, NY. [ Links ]
VALADEZ-GUTIÉRREZ, J.; MENDOZA-ONOFRE, L. E.; VAQUERA-HUERTA, H.; CÓRDOVA-TÉLLEZ, L.; MENDOZA-CASTILLO, M. C.; GARCÍA-DE LOS SANTOS, G. 2006. Raleo de flores, rendimiento de semilla y distribución de materia seca post-antesis en sorgo. Agrociencia 40(3): 303-314. [ Links ]
VAIDYA, K. R. 2000. Natural cross-pollination in roselle Hibiscus sabdariffa L. (Malvaceae). Genetic and Molecular Biology 23 (3): 667-669. [ Links ]













