Servicios Personalizados
Revista
Articulo
Indicadores
-
Citado por SciELO -
Accesos
Links relacionados
-
Similares en
SciELO
Compartir
Revista Chapingo. Serie horticultura
versión On-line ISSN 2007-4034versión impresa ISSN 1027-152X
Rev. Chapingo Ser.Hortic vol.16 no.1 Chapingo ene./abr. 2010
Heterosis intervarietal en jitomate de crecimiento indeterminado tipo saladete
Intervarietal heterosis in indeterminate saladette tomato
V. Mendoza-de Jesús; J. Sahagún-Castellanos*; J. E. Rodríguez-Pérez; J. P. Legaria-Solano; A. Peña-Lomelí; M. Pérez-Grajales
1 Instituto de Horticultura. Departamento de Fitotecnia, Universidad Autónoma Chapingo.km 38.5 Carretera México-Texcoco. Chapingo, Estado de México. MÉXICO. C. P. 56230. (*Autor responsable. Correo-e: jsahagun@correo.chapingo.mx)
Recibido: 14 de septiembre, 2007
Aceptado: 24 de agosto, 2008
Resumen
El proceso de producción de jitomate (Lycopersicon esculentum Mill.) de mayor calidad y rendimiento suele tener un elevado precio debido en buena medida al alto costo de la semilla.
Para evaluar una posible vía de solución a este problema, se realizó un experimento bajo invernadero e hidroponia en el que se estudió el potencial genotécnico de nueve híbridos de jitomate saladete indeterminado de larga vida de anaquel para la formación de variedades aceptables por el productor, cuya semilla sea de bajo costo.
Estos híbridos y sus cruzas directas y recíprocas se evaluaron en un diseño de bloques completos al azar con cuatro repeticiones. Se encontró significancia (P≤0.01) en los cuadrados medios de aptitud combinatoria general (ACG) y específica (ACE) en todos los casos, excepto en vida de anaquel (VA) y altura de planta (AP).
Por el contrario, en ningún caso se observó significancia (P≤0.05) en efectos maternos y efectos recíprocos. Sin embargo, se detectaron seis cruzas que igualaron la VA (P≤0.05) de sus progenitores y los superaron en rendimiento total de fruto (RT), con efectos de heterosis con respecto al mejor progenitor (Hmp) y al progenitor medio (H p ) que fluctuaron entre 9 y 11 y entre 7 y 16 kg·parcela-1 de ocho plantas, respectivamente (P≤0.01 o P≤0.05). Es importante señalar que cada una de estas cruzas involucran al menos a una de las cinco variedades comerciales cuyo RT no fue superado estadísticamente (P≤0.05) por el de ninguna otra. Esta heterosis en RT se relacionó con las Hmp y H de los números total de frutos y de frutos por racimo que también fueron significativos (P≤0.01 o P≤0.05). Además, un híbrido que mostró el mayor efecto de ACG y la mayor media de RT, podría ser usado en un programa de mejoramiento genético diseñado para explotar la acción génica aditiva en forma exitosa.
Palabras clave: componentes del rendimiento, aptitud combinatoria general, aptitud combinatoria específica, Lycopersicon esculentum Mill.
Abstract
Producing high-quality and high-yielding tomatoes (Lycopersicon esculentum Mill.) in Mexico is expensive, largely due to the high cost of seed. To contribute to solving this problem, an experiment was carried out under greenhouse and hydroponics conditions to assess the potential of saladette tomato hybrids of indeterminate growth and long shelf-life for the development of varieties with low-cost seed. Nine saladette hybrids and their 72 direct crosses were evaluated according to Griffing's design I. The 81 entries were assessed in a randomized complete block design with four replications. Results showed significance (P≤0.01) of the mean squares for general (GCA) and specific combining ability (SCA) effects for all measured variables except for shelf life (SL) and plant height, but significance (P≤0.05) was not found for maternal and reciprocal effects in any case. However, six crosses that involved at least one of the top five hybrids for fruit yield equaled the SL of their parents (P≤0.05) and showed heterotic effects with respect to the best and mean parent that ranged from 9 to 11 and 7 to 17 kg of fruit per experimental unit of eight plants, respectively (P≤0.01 or P≤0.05). This information suggests that these crosses should be cheap and economically successful for the producer. The fruit yield heterotic effects were related to those for total fruit number and number of fruits per cluster which were also significant (P≤0.01 or P≤0.05). In addition, one hybrid, which showed the largest effect of GCA and mean for fruit yield, can be used in a breeding program designed to exploit the additive gene action.
Key words: yield components, general combining ability, specific combining ability, Lycopersicon esculentum Mill.
INTRODUCCIÓN
El jitomate (Lycopersicon esculentum Mill.) es una de las hortalizas de mayor importancia a nivel mundial y su producción ha sido incrementada, particularmente en invernadero, con jitomate de crecimiento indeterminado, en relación a lo cosechado en campo (DeGiglio, 2003).
De las variedades para invernadero, se prefiere las de crecimiento indeterminado porque tienen un periodo de producción más largo, aunque en sistemas intensivos en donde se maneja de uno a tres racimos por planta, también se pueden obtener buenos resultados (Pérez y Castro, 1999; Tigchelaar, 1986).
Un sistema de producción de jitomate en invernadero requiere una fuerte inversión. Uno de los insumos de mayor costo es la semilla híbrida, por ser obtenida mediante la cruza manual entre dos líneas altamente homocigóticas. De sembrarse la semilla cosechada del híbrido comercial por segregar en F2, el rendimiento se puede reducir entre 20 y 30 %. Sin embargo, en la medida en que se identifiquen híbridos de cruza doble con características de rendimiento, calidad de fruto y resistencia a enfermedades similares a las de los híbridos de cruza simple, que son los que se comercializan, se generaría una posibilidad técnica de disminuir los costos de producción de semilla para la obtención de jitomate bajo invernadero.
La identificación de estas cruzas dobles se puede facilitar si los materiales empleados son genéticamente divergentes.
La última meta en el mejoramiento genético, es la formación de cultivares mejorados para uno o más caracteres. En este proceso, un factor de gran importancia es la selección de progenitores que posean los atributos deseables, incluida la capacidad de transmitirlos a su progenie.
En este contexto, la selección del complejo de genes a partir del cual se inicie un programa es crucial en el logro de los objetivos planteados.
Una manera de generar información relativa al desempeño del cruzamiento de progenitores, es mediante los dialélicos (Griffing, 1956). La progenie de las cruzas ofrece información sobre los progenitores, cuyo análisis conduce a la estimación de los efectos de aptitud combinatoria general (ACG), aptitud combinatoria específica (ACE), efectos maternos (EM) y efectos recíprocos (ER), según el método de Griffing empleado. Bajo la consideración de que estos efectos son de naturaleza aleatoria, la teoría del modelo mixto (Robinson, 1991; Lynch y Walsh, 1998) debe producir las estimaciones (o mejor dicho, las predicciones) correspondientes a la naturaleza de estos efectos (Mastache y Martínez, 2003; Montesinos et al., 2006). Esta información permite la interpretación, en términos de parámetros genéticos, del valor genotécnico de los progenitores estudiados. Además, la estimación de las varianzas de los efectos de ACG y ACE, que a su vez facultan la estimación de las varianzas aditiva y de dominancia (Martínez, 1988), es un auxiliar en la definición de la estrategia que mejor explote el potencial genético del material sujeto a mejoramiento.
Las cruzas dialélicas se usan también para el estudio de la heterosis. Gardner y Eberhart (1966) y Gardner (1967) propusieron un modelo que considera los efectos de cada progenitor y los efectos de la heterosis por separado. A su vez, clasificaron los efectos de la heterosis en tres tipos: a) la heterosis media (diferencia entre el promedio de las cruzas y el de sus progenitores); b) la heterosis varietal (heterosis promedio con que contribuye un progenitor en las cruzas en que participa), y c) la heterosis específica de cada combinación particular de progenitores.
El objetivo de esta investigación fue estimar o, en el argot del modelo mixto, predecir, los efectos de aptitud combinatoria, los maternos y los recíprocos, además de los diferentes tipos de heterosis asociados a las cruzas entre nueve híbridos comerciales de cruza simple de jitomate tipo saladete de crecimiento indeterminado que provienen de ocho compañías semilleras.
Así mismo, se pretende investigar su potencial como materia prima para el desarrollo de nuevas variedades de menor costo para el productor.
Debido a la diversidad de orígenes de los materiales, se asume que es posible identificar cruzas dobles con buen desempeño per se y con potencial para un programa exitoso de selección.
MATERIALES YMÉTODOS
Formación del dialélico
Se usaron nueve híbridos de cruza simple comerciales de jitomate saladete de crecimiento indeterminado con larga vida de anaquel (Cuadro 1). Los cruzamientos se hicieron con base en el diseño I de Griffing. Cuando los frutos producto de la cruza alcanzaron la madurez comercial, se extrajo su semilla en forma manual; ésta se fermentó junto con la pulpa durante tres días. Posteriormente se lavó con agua para limpiar el mucílago y secar a temperatura ambiente.

Evaluación del material genético
La evaluación de los 81 materiales (cruzas y sus progenitores) se realizó de abril a diciembre de 2005 en un invernadero semiautomatizado en el Campo Agrícola Experimental de la Universidad Autónoma Chapingo. El jitomate se condujo a ocho racimos (Pérez y Castro, 1999). La unidad experimental consistió de ocho plantas y el diseño experimental fue bloques completos al azar con cuatro repeticiones.
Variables de respuesta
Las variables evaluadas fueron las siguientes:
1) Vida de anaquel. Se colocaron en cajas frutos en estado de madurez comercial a temperatura ambiente. Se contabilizó el número de días transcurridos para que al menos 50 % de dichos frutos perdieran la consistencia turgente y consecuentemente su valor comercial.
2) Altura de planta. Se midió desde la base del tallo hasta tres hojas arriba del octavo racimo.
3) Número de frutos por parcela producidos durante todo el ciclo.
4) Peso promedio de fruto [peso total entre el número de frutos].
5) Rendimiento total. Se determinó como la suma de los rendimientos registrados durante el periodo de producción.
Análisis del dialélico
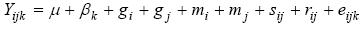
Se hizo un análisis de varianza para determinar la significancia de los efectos de aptitud combinatoria general (ACG), aptitud combinatoria específica (ACE), efectos maternos (EM) y efectos recíprocos (ER), de acuerdo con un modelo mixto correspondiente al diseño I de Griffing (1956). El modelo fue:

Donde: Yijk = Variable respuesta de la cruza entre los progenitores i-ésimo y j-ésimo en la repetición k-ésima; μ es un efecto general común a todas las observaciones, y βk, gi, mi, sij y rij, son los efectos de: k-ésimo bloque, ACG del iésimo progenitor, materno del i-ésimo progenitor, ACE de la cruza entre los progenitores i-ésimo y j-ésimo (sij = sji), y recíproco de la cruza entre los progenitores i-ésimo y j-ésimo (rij = rji), respectivamente, y eijk es el error asociado a Yijk Excepto μ, todos estos efectos fueron considerados aleatorios.
Cuando fue necesario, se realizaron transformaciones de datos para satisfacer los supuestos del análisis, pero sólo cuando éstos consiguieron su objetivo se hizo el análisis de varianza con datos transformados; sin embargo, aún en estos casos, las medias, heterosis, etc. se expresaron en las unidades originales. Los análisis de varianza y estimación de efectos se hicieron con los algoritmos computacionales desarrollados por Mastache y Martínez (2003) y Montesinos et al. (2006).
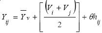
Heterosis
Para el estudio de la heterosis se usó el modelo de Gardner y Eberhart (1966) y Gardner (1967), que considera que

Donde: Yij = Media de un progenitor cuando i = j y de una cruza cuando i ≠ j;
= Media de todos los progenitores;
Vi = Efecto del i-ésimo progenitor 
Coeficiente, θ = 0 si i = j y θ = 1 si i ≠ j; y hij = Efecto de heterosis de la cruza entre los progenitores i y j.
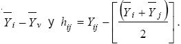
Además, si
son la media de los progenitores i y j, respectivamente,
es la media de todos los progenitores, el efecto del i-ésimo progenitor (Vi) es: Vi =

Ahora bien: si
es la heterosis media, hi y hj son las heterosis de los progenitores i y j, respectivamente; sij es la heterosis específica entre los progenitores i y j;
es la media de todas las cruzas evaluadas y
es la media de todos los progenitores, entonces

Se efectuaron contrastes entre las medias de los progenitores y entre cada una de las cruzas versus el mejor progenitor y versus el progenitor promedio para determinar la significancia estadística de la heterosis en cada caso.
RESULTADOS YDISCUSIÓN
Análisis dialélico
Excepto para vida de anaquel, el cuadrado medio de cruzas siempre fue estadísticamente significativo (P≤0.01) (Cuadro 2). Además, se encontró efectos significativos (P≤0.01) de aptitud combinatoria general (ACG) en todos los caracteres estudiados. Lo anterior implica que para la acción génica aditiva hubo variabilidad entre los genotipos de los progenitores y sugiere la posibilidad de hacer selección entre progenitores para integrarlos en un programa de mejoramiento genético exitoso por selección. Esto es particularmente importante para vida de anaquel y altura de planta debido a que en estas variables no se detectó significancia (P≤0.05) para aptitud combinatoria específica (acción génica no aditiva) en el análisis de varianza (Cuadro 2).
No se encontró significancia (P≤0.05) para los efectos maternos (EM) y recíprocos (ER) en ninguna variable. Lapushner y Frankel (1981) tampoco la encontraron en altura de planta, número de flores, firmeza y peso de fruto. Situación similar a la encontrada en tomate de cáscara (Physalis ixocarpa Brot.) en número y rendimiento de frutos por planta, y peso promedio de fruto (Peña et al., 1998). Esta ausencia de significancia pudo ser reflejo de homogeneidad de efectos de genes extracelulares de los progenitores, o bien de la inexistencia de tales genes en el citoplasma, y sugiere que el uso de sólo las cruzas directas puede producir información suficiente para hacer las estimaciones de ACG y ACE.
Medias y ACG de progenitores
No se detectaron diferencias significativas (P≤0.05) entre los valores de vida de anaquel de los progenitores (Cuadro 3).
Esto parece reflejar el alto requerimiento del mercado, particularmente el de exportación, respecto a la conservación del fruto con valor comercial. La variedad 'Barbarian', sólo superó estadísticamente (P≤0.05) a 'Loreto', 'Charanda' y 'Llanero'. En número de frutos por parcela (NF) y por racimo (NFR), los de 'Don Raúl' fueron mayores estadísticamente que los de 'Marcia', 'Llanero', 'Sahel', '7705' y 'Reconquista'. Estos resultados en NF y NFR deben reflejarse en una correlación positiva alta. Con respecto a peso promedio de fruto (PPF), 'Sahel' y 'Marcia' sólo superaron estadísticamente a los de 'Reconquista' y 'Llanero' (P≤0.05). En términos generales, se observa unan relación negativa entre el peso y número de frutos, lo que sugiere que con un número menor de frutos la asignación de fotoasimilados a éstos fue mayor y viceversa. Para el rendimiento total, el progenitor 'Don Raúl' superó significativamente a 'Loreto', 'Reconquista', '7705' y 'Llanero' (P≤0.05).
Respecto a ACG (Cuadro 4), no hubo diferencias significativas en vida de anaquel (VA). El progenitor que tuvo el mayor efecto (P≤0.05) en número de frutos (NF) fue 'Don Raúl' (37.6 frutos). Respecto a NFR, los efectos de ACG para número de frutos por racimo (NFR) tuvieron un comportamiento relativo similar a los de NF. Con respecto a peso promedio de fruto (PPF), sí se observó un cambio en el comportamiento relativo de los efectos de los híbridos en relación al observado en NF y NFR. Por ejemplo, los mayores efectos (P≤0.05) de ACG en PPF los mostraron 'Marcia' (3.9 g) y 'Shael' (4.5 g). El mayor efecto de ACG para rendimiento total correspondió a 'Don Raúl' (4.0 kg) y a 'Barbarian' (1.56 kg). Haber encontrado significancia (P≤0.05) entre efectos de ACG puede deberse a que los genotipos incluidos en el estudio tienen origen diferente y por tal razón se espera que posean divergencia genética, tal como se ha observado en otras especies (Moll et al., 1965; Falconer y Mackay, 2006).
Sin embargo, para rendimiento total las variedades cuyas medias y efectos de ACG son los extremos ('Don Raúl' y 'Llanero' y '7705') son de la misma casa comercial. Respecto a esta variable (rendimiento total), dos de los mejores híbridos para derivar líneas son 'Barbarian' y 'Don Raúl', ya que además de poseer las medias más altas (Cuadro 3), sus efectos de ACG son los mayores también (Cuadro 4).
Aptitud combinatoria específica
Los valores más altos de ACE para vida de anaquel correspondieron a las cruzas 'Loreto' x 'Barbarian' (1x4) y 'Barbarian' x 'Llanero' (4x7) (Cuadro 5). En AP las cruzas '7705' x 'Marcia' (3x8) y 'Barbarian' x 'Sahel' (4x5) mostraron los valores de ACE más bajos. En lo que se refiere a NF, los valores más altos en ACE los produjeron las cruzas 'Reconquista' x 'Llanero' (2x7) y '7705' x 'Llanero' (3x7). En NFR la mayor ACE la mostraron las cruzas 3x5 y 3x7 que tienen en común al progenitor '7705'. En cuanto a PPF, la mayor ACE fue en las cruzas 'Reconquista' x 'Charanda' (2x6) y 'Llanero' x 'Don Raúl' (7x9). Y finalmente, en rendimiento total (RT) la mayor ACE correspondió, como en NFR, a las cruzas 3x5 y 3x7, lo que pone en manifiesto la relación que hay entre NFR y RT.
Para una mejor valoración de los resultados de la heterosis de cada cruza (Cuadro 6) deben considerarse las características intrínsecas de las formas utilizadas para su medición. En particular, la heterosis respecto al progenitor medio (H) no proporciona información relativa a la superioridad o inferioridad de la cruza en relación a cada uno de los progenitores que en este estudio es particularmente importante.
La heterosis con respecto al mejor progenitor (Hmp), en cambio, proporciona claramente esta información. Finalmente, por su definición, la heterosis específica (HE) de una cruza, es el residuo después de que a su heterosis se le resta la heterosis promedio (de todas la cruzas) y el promedio de las heterosis medias de ambos progenitores. Así, la magnitud de la HE de una cruza se relaciona inversamente con el promedio de las heterosis medias de los progenitores, de manera que para el propósito específico de este estudio, su utilidad es poca. Por estas consideraciones, en el siguiente análisis se hará énfasis en la heterosis respecto al mejor progenitor.
Respecto a rendimiento total de fruto (RT), de las 20 cruzas formadas entre los cinco híbridos del grupo estadísticamente superior en esta variable (P≤0.05, Cuadro 4), sobresalen 'Marcia' x 'Sahel' (8x5) y 'Sahel' x 'Marcia' (5x8) por sus valores de H de 7 y 11 kg por parcela de 8 plantas, respectivamente (Cuadro 6). De este grupo de 20 cruzas sólo 'Sahel' x 'Marcia' produjo un valor heterótico (11 kg·parcela-1) con respecto al mejor progenitor (Hmp) estadísticamente significativo (P≤0.01). Sin embargo, de las 52 cruzas restantes cinco produjeron valores de Hmpsignificativos (P≤0.05) y cuatro de ellas involucraron un progenitor del grupo de cinco híbridos de mayor RT ('Barbarian', 'Shael', 'Charanda', 'Marcia' y 'Don Raúl'). Entre estas cuatro están 'Shael' x '7705' (5x3) y su cruza recíproca, con valores de Hmp en rendimiento total de fruto de 11 y 10 kg, respectivamente; resultados consistentes con la ausencia de efectos recíprocos y maternos significativos que detectó el análisis de varianza (Cuadro 2). Las otras dos cruzas fueron 'Reconquista' x 'Shael' (2x5) y 'Marcia' x 'Reconquista' (8x2) cuyos respectivos valores de Hmp también fueron 11 y 10 kg. Los cinco valores de Hmp significativos de estas cinco cruzas también reflejan los altos efectos de aptitud combinatoria específica para rendimiento observados en el Cuadro 5 en cruzas como 'Shael' x '7705' (5x3) y '7705' x 'Llanero' (3x7). Análogamente, Kurian et al. (2001) encontraron dos híbridos que rindieron más que sus líneas progenitoras.
Por lo que al rendimiento total (RT) concierne, los resultados de su heterosis sugieren que las cinco cruzas cuyos efectos de Hmp fluctuaron entre 9 y 11 kg de fruto (P≤0.05 y P≤0.01) pueden sembrarse comercialmente en forma exitosa. Cada una tiene un rendimiento de fruto por planta estimado que supera en al menos en 1 kg por planta al de su mejor progenitor, que a su vez no fue superado estadísticamente por el rendimiento de ningún otro de los híbridos estudiados (P≤0.05, Cuadro 3). Es también notable que ninguno de los valores heteróticos de los tres tipos de heterosis para vida de anaquel de estas cinco cruzas fue significativo (P≤0.05) lo que implica que éstas, como sus progenitores son de larga vida de anaquel (Cuadro 6), lo que fortalece la idea de su alto potencial para su explotación por el horticultor.
Por el lado opuesto, en el Cuadro 6 también se puede observar que de las 72 cruzas estudiadas, sólo '7705' x 'Barbarian' (3x4) y 'Llanero' x 'Loreto' (7x1), tienen una media de rendimiento de fruto significativamente (P≤0.05) inferior que la de su respectivo mejor progenitor. De las restantes cruzas, sólo 'Reconquista' x 'Don Raúl' (2x9) y '7705' x 'Reconquista' (3x9) redujeron significativamente (Pd"0.05) su vida de anaquel. Esto implica que por lo que a rendimiento de fruto o vida de anaquel se refiere, de las 72 sólo cuatro cruzas se desempeñaron más pobremente (P≤0.05) que sus respectivos progenitores. Notablemente, la única cruza cuya Hmp en vida de anaquel fue positiva (4 días) y significativa (P≤0.05) fue '7705' x 'Barbarian' (3x4), una de las dos cuya Hmp en rendimiento de fruto fue negativa y significativa (P≤0.05); lo que resulta explicable por las también estadísticamente significativas (P≤0.01) caídas de su número de frutos (NF) y número de frutos por racimo (NFR), con valores de Hmp de -105 y -2 frutos respectivamente, y un efecto de ACE para RT negativo (Cuadro 5).
Con relación al NF, al NFR y al PPF, en términos generales, se observa (Cuadro 6) una relación positiva de sus valores de Hmp y de H con los del rendimiento de fruto (RT). Esto es particularmente cierto en las ya mencionadas cinco cruzas que tienen una Hmp en RT mayor que cero y significativa (P≤0.05 o ≤"0.01), que resulta explicable por la naturaleza de las variables, como ya se había evidenciado en la cruza '7705' x 'Barbarian' (3x4). De estas cinco cruzas, 'Shael' x 'Marcia' tiene una H mp significativa (11 kg) en rendimiento total de fruto; no se observó significancia (P≤0.05) de su Hmp en NF y NFR, pero sí de su H (Cuadro 6). Por otra parte, el alto y significativo (P≤0.05) valor de Hmp en rendimiento de fruto de la cruza '7705' x 'Shael' (10 kg) parece relacionado en buena medida con el peso promedio de fruto (PPF) cuyo valor de Hmp fue también alto y significativo (P≤0.05). El valor de Hmp de PPF de la cruza 'Don Raúl' x 'Llanero' (17 g) también fue significativo (P≤0.01), como también lo fueron sus H y HE (P≤0.05 y P≤0.01, respectivamente), no así su Hmp. Esto coincide con lo obtenido por Maluf et al. (1982), quienes en un experimento dialélico con seis variedades de jitomate, detectaron heterosis específica en producción de fruto.
En altura de planta (AP), 10 de las 72 cruzas entre los nueve híbridos mostraron valores de Hmp estadísticamente significativos (P≤0.05 y P≤0.01) que fluctuaron entre -26 y 39 cm. Las reducciones en altura de planta son, en términos generales, aceptables, toda vez que permiten mayor facilidad de su manejo. Sin embargo, estas reducciones en tamaño de planta no ocurrieron en las cruzas que tuvieron heterosis con respecto al mejor progenitor significativa (P≤0.05) en rendimiento de fruto.
CONCLUSIONES
La estimación de aptitud combinatoria general, aptitud combinatoria específica y heterosis para seis variables generó información sobre el potencial de los nueve progenitores estudiados y de sus cruzas para el mejoramiento genético de jitomate. Respecto a las cruzas, destacaron seis porque además de mostrar larga vida de anaquel superaron a sus progenitores en rendimiento de fruto y, lo que es más interesante, en cada cruza participó al menos uno del grupo de cinco progenitores estadísticamente superiores en rendimiento de fruto. La heterosis con respecto al mejor progenitor de estas cruzas fue significativa y fluctuó entre 9 y 11 kg·parcela-1 de ocho plantas; entre éstas se encuentra 'Shael' x 'Marcia', 'Shael' x '7705' y '7705' x 'Shael'. La información aquí adquirida sugiere que hay potencial para el uso exitoso de este tipo de cruzas porque además de ser de alta vida de anaquel y alto rendimiento, el costo de semilla debe ser accesible. Por otra parte, 'Don Raúl' fue un progenitor que no fue superado en ACG y media de rendimiento total, que puede ser utilizado en un programa de mejoramiento que explote sus efectos aditivos para esta variable.
LITERATURA CITADA
DEGIGLIO, M. A. 2003. Growth of the fresh greenhouse tomato market in the USA. Acta Horticulturae 611: 91-92. [ Links ]
FALCONER, D. S.; MACKAY, T. F. C. 2006. Introducción a la Genética Cuantitativa. Editorial Acribia. Zaragoza, España. 469 p. [ Links ]
GARDNER, C. O. 1967. Simplified methods for estimating constants and computing sums of squares for a diallel cross analysis. Fitotecnia Latinoamericana 4(2): 1-12. [ Links ]
GARDNER, C. O.; EBERHART, S. A. 1966. Analysis and interpretation of the variety cross diallel and related populations. Biometrics 22: 439-452. [ Links ]
GRIFFING, B. 1956. Concepts of general and specific combining ability in relation to diallel crossing systems. Australian Journal of Biolological Sciences 9: 463-493. [ Links ]
KURIAN, A.; METER, K. V.; RAJAN, S. 2001. Heterosis for yield components and fruit characters in tomato. Journal of Tropical Agriculture 39: 5-8. [ Links ]
LAPUSHNER, D.; FRANKEL, R. 1981. Parent-offspring relations for quantitative traits in a 10 x 10 diallel cross of fresh market tomatoes. Proc. Meet. Eucarpia Tomato Working Group. Avignon, France. May 18-21. 37-43 pp. [ Links ]
LYNCH, M; WALSH, B. 1998. Genetic and Analysis of Quantitative Traits. Sinauer Associates. Sunderland, Massachusetts. [ Links ]
MALUF, W. R.; MIRANDA, J. E. C.; CAMPOS, J. P. 1982. Genetic analysis of a diallel cross in tomato cultivars. I. Yield related characters. Pesquisa Agropecuaria Brasileira 17(4): 633 641. [ Links ]
MARTÍNEZ G., A. 1988. Diseños y Análisis de Experimentos de Cruzas Dialélicas. Centro de Estadística y Cálculo. Colegio de Postgraduados. Montecillo, México. 252 p. [ Links ]
MASTACHE L., A.; MARTÍNEZ G., A. 2003. Un algoritmo para el análisis, estimación y predicción en experimentos dialélicos balanceados. Revista Fitotecnia Mexicana 26(3): 191-200. [ Links ]
MOLL, R. H.; LONQUIST, J. H.; VÉLEZ-FORTUÑO, J.; JOHNSON, E. C. 1965. The relationship of heterosis and genetic divergence in maize. Genetics 53: 139-144. [ Links ]
MONTESINOS L., O. A.; MARTÍNEZ G., A.; MASTACHE L., A. A.; RENDÓN S., L. 2005. Mejor predictor lineal e insesgado para aptitud combinatoria específica de los diseños dos y cuatro de Griffing. Rev. Fittotec. Méx. 28(4): 369-376. [ Links ]
PEÑA L., A.; MOLINA G., J. D.; CERVANTES S., T.; MÁRQUEZ S., F.; SAHAGÚN C., J. ORTIZ C., J; 1998. Heterosis intervarietal en tomate de cáscara (Physalis ixocarpa Brot.). Revista Chapingo Serie Horticultura 4(1): 31-37. [ Links ]
PÉREZ G., M.; CASTRO B., R. 1999. Guía para la producción intensiva de jitomate en invernadero. Universidad Autónoma Chapingo. Departamento de Fitotecnia. Programa de investigación y servicio en olericultura. Boletín 3. 58 p. [ Links ]
ROBINSON, G. K. 1991. That BLUP is a good thing: the estimation of random effects. Statistical Science (6): 15-91. [ Links ]
TIGCHELAAR, E. C. 1986. Tomato Breeding. In: Breeding Vegetable Crops. M. J. Bassett (Ed.). Avi Publishing Company. Wesport, Connecticut. 584 p. [ Links ]













