Servicios Personalizados
Revista
Articulo
Indicadores
-
Citado por SciELO -
Accesos
Links relacionados
-
Similares en
SciELO
Compartir
Revista Chapingo. Serie horticultura
versión On-line ISSN 2007-4034versión impresa ISSN 1027-152X
Rev. Chapingo Ser.Hortic vol.16 no.1 Chapingo ene./abr. 2010
Manejo nutrimental en relación con la calidad de fruto y estado nutricional del melón cantaloupe
Nutritional management based on nutrient status, fruit quality, and yield relationships in cantaloupe
L. M. Tapia-Vargas1*; H. R. Rico-Ponce2; A. Larios-Guzmán1; I. Vidales-Fernández1; M. E. Pedraza-Santos3
1 Uso y manejo de agua. Instituto Nacional de Investigaciones Forestales y Agropecuarias. Av. Latinoamericana Núm. 1101, Col. Revolución, C. P. 60080. Uruapan, Mich. MÉXICO. Tel. 452-5237392. Correo-e: tapia.luismario@inifap.gob.mx (*Autor responsable)
2 Frutales tropicales. Instituto Nacional de Investigaciones Forestales, Agrícola y Pecuarios.-Apatzingán. km 17 carretera. Apatzingán-Uruapan. Antúnez, Mich. MÉXICO.
3 Facultad de Agrobiología "Presidente Juárez". Universidad Michoacana de San Nicolás de Hidalgo. Paseo Lázaro Cárdenas esq. Berlín C. P. 60170. Uruapan, Mich. MÉXICO. Tel. 452-523-6074 Correo-e: marelpesa@yahoo.com.mx
Recibido: 8 de diciembre, 2007
Aceptado: 20 de enero, 2010
Resumen
El melón con fertiriego y acolchado plástico es sometido a uso intensivo de insumos, agua y nutrientes para generar altos rendimientos y calidad de fruto. El objetivo de este estudio fue evaluar el manejo nutricional y su relación con el rendimiento y calidad de fruta y con el contenido nutricional en hoja y extracto celular de peciolo (ECP) de melón con fertiriego. Se evaluaron dos experimentos en marzo 2006 y 2007. Los tratamientos evaluados fueron siete dosis de fertilización, con cinco niveles de nitrógeno, dos de fósforo y dos de potasio, desempeñándose como testigo la dosis 180-100-200, además, con esta misma dosis, se agregaron tres tratamientos adicionales con el uso de fertilizantes foliares inorgánicos, orgánicos y promotores del crecimiento. Se evaluó la concentración de NNO3 y K+ (mg·litro-1) en el extracto celular del peciolo (ECP), la concentración de N y K total (%) en hoja y el rendimiento Bruce y nacional y contenido de azúcares. Los resultados indicaron relevancia del N, significativo en rendimiento y calidad de fruto y en concentración de N-NO3 en ECP y N total foliar (%). Hubo relación significativa en rendimiento y condición nutricional (r>0.70* P<0.05), con valores máximos de N-NO3 entre 230 y 418 mg·litro-1 y de 2.41 % para N total foliar. Es factible reducir la intensidad nutricional de N hasta 120 kg·ha-1, se pueden suprimir las aplicaciones de P2O5 y K2O y de foliares, sin afectar la calidad y rendimiento de fruto y el estado nutrimental de la hoja y de ECP de melón Cantaloupe.
Palabras clave: Cucumis melo L., fertirriego, acolchado plástico.
Abstract
Fertigated cantaloupe grown on plastic mulch is subjected to intense use of water and fertilizer for the aim of obtaining high fruit yields and quality. The objective of this study was to evaluate the effect of nutritional management on fruit yield, fruit quality and leaf nutrient content in leaves and petiole cellular extract (PCE) of cantaloupe grown with fertigation and plastic mulch. Two experiments were carried out, one in 2006 and one in 2007; both experiments were started in March. Evaluated soil-applied treatments were seven fertilizer combinations consisting in five dosages of nitrogen (N) (0, 60, 120, 180 and 240 kg·ha-1), two of phosphorus (P) (0 and 100 kg·ha-1), and two of potassium (K) (0 and 200 kg·ha-1); a treatment of 180-100-200 was used as the control. Furthermore, three treatments of leaf applications of inorganic and organic fertilizer and plant growth promoters were also evaluated. N-NO3 and K+ content in PCE, N and K content in leaves plus fruit yield, fruit quality and sugar content were determined. The results indicated that N was the main factor affecting fruit quality, fruit yield, PCE N-NO3 content, and total N concentration in leaves. A significant relationship (r>0.70, P<0.05) between fruit yield and nutritional condition was found. Maximum N-NO3 values were between 230 and 418 mg·L-1 while total foliar N was 2.41 %. We concluded that it is feasible to reduce N fertilizer up to rates of 120 kg·ha-1 while P2O5, K2O, and foliar fertilizer applications can be suppressed without affecting fruit yield, fruit quality, PCE and leaf nutritional status in cantaloupe.
Key words : Cucumis melo, muskmelon, fertigation, plastic mulch.
INTRODUCCIÓN
El cultivo del melón Cantaloupe en Michoacán tiene alto potencial de rendimiento, aunque esta actividad poco se ha fomentado debido a razones fitosanitarias y de manejo; sin embargo, el sistema de producción con acolchado plástico y fertirriego, provee un medio protector contra organismos dañinos (Arias et al., 1994; Orozco et al., 1995), mejora las condiciones ambientales del desarrollo (Pérez et al., 2004) y reduce riesgos de inocuidad alimentaria para eliminar posibles barreras a la exportación de fruta procedente de Michoacán (Hernández et al., 2006).
Por su sistema de producción, el cultivo de melón se efectúa con alta tecnología de producción en el 85 % de la superficie (Anónimo, 2007), la cual consiste en acolchado plástico, fertirrigación, uso intensivo del suelo y nutrientes y alta inversión económica. El acolchado en este cultivo, es indispensable porque impide el arribo de vectores de enfermedades (Stapleton y Summers, 2002) y mejora las condiciones fitosanitarias y de inocuidad (Hernández et al., 2006).
El manejo nutricional adecuado es indispensable en la obtención de calidad y alto rendimiento de fruto, deficiencias nutricionales son capaces de reducir en 50 % el rendimiento y en 70 % la calidad del fruto. Por el contrario, el uso de grandes cantidades de nutrientes es más frecuente. Las aplicaciones de hasta 500 kg·ha-1 de nitrógeno (N) durante el ciclo del cultivo (Pérez et al., 2004), puede tener importante daño ambiental, ya que el cultivo requiere hasta 38 °C de temperatura máxima (Ruiz et al., 1999), lo que favorece las emisiones contaminantes de N2O y NH3, gases de efecto invernadero (Mora et al., 2005). Es necesario un cambio a mejores prácticas de manejo nutricional con menor impacto ambiental (Tomer y Burkart, 2003), adicionalmente, el uso excesivo de los insumos nutricionales, activadores del metabolismo (fitohormonas, aminoles y ácidos orgánicos) y la alta intensidad en su uso, incrementan los costos de producción y favorecen la presencia de disturbios fisiológicos que pueden reducir significativamente la cosecha del fruto (Arias et al., 1994); además, se satura el suelo de elementos nutritivos como el P y el K en perjuicio de otros elementos nutritivos (Castellanos et al., 2005) y se tienen subsecuentes efectos perjudiciales en el ambiente y cuerpos de agua por lixiviados y arrastre (Armenta et al., 2001). En esta tecnología de producción Pérez y Cigales (2001) no encontraron respuesta clara a la nutrición pues aún sin adicionar N puede obtenerse más de 56 t·ha-1 de fruto, lo cual no es posible extrapolar a Michoacán porque el suelo que predomina es de tipo vertisol. El objetivo de este trabajo fue evaluar el manejo nutrimental y su relación con el rendimiento y calidad de fruta y con la concentración nutrimental en hoja y extracto celular de pecíolo (ECP) en melón Cantaloupe con acolchado plástico y fertiriego.
MATERIALES YMÉTODOS
Los experimentos se establecieron en 2006 y 2007 en el Campo Experimental "Valle de Apatzingán", Michoacán, del Instituto Nacional de Investigaciones Forestales Agrícolas y Pecuarias (INIFAP) localizado en el km 17 de la carretera Apatzingán - Nueva Italia, a 19º 09' de latitud norte y 102º 03' longitud oeste, y a una altitud de 340 m (Anónimo, 1995). El suelo es un vertisol pélico representativo de 90 % de los suelos agrícolas del Valle de Apatzingán (Mellado et al., 2005), el pH es de 8.2, conductividad eléctrica de 2.6 dS·m-1 y una CIC de 45.6 meq·100 gramos de suelo-1, N inorgánico= 17.7 mg·kg-1, P= 22.5 mg·kg-1 y K= 405 mg·kg-1. Se evaluaron diez tratamientos nutrimentales de N-P2O5-K2O (Cuadro 1), diseñados con base en la recomendación nutricional de Arias et al. (1991) para melón del Valle de Apatzingán, Mich.
El diseño experimental fue de bloques al azar con cuatro repeticiones, la unidad experimental constó de tres camas de 1.8 m x 5.0 m, se tomó como parcela útil la cama central. La siembra se realizó en húmedo al centro de la cama, con una separación entre plantas de 30 cm. Para la nutrición del cultivo, antes de acolchar, se aplicó la mitad del N, todo el P y la mitad del K, excepto en los tratamientos sin estos nutrimentos (T-1, T-6 y T-7). Después, entre los 20 a 65 días del ciclo de cultivo se aplicó el resto de N y entre los 30 a 65 días el de K, ambos aplicados en partes iguales cada semana. Los tratamientos se aislaron con válvulas compuerta de 25 mm para no permitir el paso de nutrientes, de acuerdo al tratamiento. El criterio de riego fue regar en el intervalo (0-20 cb), en la capa 0-20 cm de suelo (Tapia et al., 1995). Todos los tratamientos recibieron un total de 2,638.5 m3·ha-1. Los fertilizantes utilizados como base fueron urea, superfosfato triple de calcio y sulfato de potasio. A través del sistema de riego se aplicaron, urea y sulfato de potasio soluble. Las variables evaluadas fueron: concentración de N y K total foliar (%) de la sexta a la octava hoja del ápice hacia la base de la guía principal a los 35 y 62 días después de la siembra (dds); similarmente, se evaluó N-NO3 y K+ in situ en el ECP en la etapas de inicio de floración (29 días), inicio de fructificación (35 días) e inicio de cosecha (62 días), con ionómetros Horiba. Las muestras foliares se tomaron muestreando la hoja más reciente madura de una planta en cada parcela a las 9:00 a.m., una muestra fue para ECP (Badillo et al., 2001) y la otra se envió a laboratorio para análisis químico de N y K en ECP (mg·L-1) y N y K total foliar (%). Mediante análisis total (%). Los métodos de análisis fueron para N total método de regresión se explicaron las relaciones nutricionales y el Kjeldhal y para K por digestión triácido y flamometría. rendimiento de fruto y la calidad. También se evaluó el rendimiento de fruto en calidad primera (Bruce calibres 9-23), nacional (calibre 46-64) y comercial (Bruce + nacional), fruto de rezago o no comercial no fue evaluado, se midió la concentración de sólidos solubles del fruto, con brixómetro. Los datos se analizaron con ANOVA para evaluar el efecto de las dosis nutricionales en rendimiento y calidad de fruto; en el contenido nutricional en ECP (mg·L-1) y N y K total foliar (%). Mediante análisis de regresión se explicaron las relaciones nutricionales y el rendimiento de fruto y la calidad.
RESULTADOS YDISCUSIÓN
Los análisis de varianza mostraron efecto significativo para evaluar el efecto de las dosis nutricionales en de las dosis nutrimentales ensayadas en los dos años de rendimiento y calidad de fruto, en el contenido nutricional estudio (Cuadro 2). Los efectos del manejo nutricional se reflejaron en la concentración de N-NO3 en ECP en la etapa de floración (Fc=3.7***, P<0.004) y en inicio de cosecha (Fc= 2.3*, P<0.04). No se detectaron efectos significativos en la concentración de K+ en ECP en ninguna fase de desarrollo del cultivo en los dos años estudiados (Cuadro 2). En la etapa de floración no hubo efecto significativo en N y K+ foliar total; sin embargo, en la etapa de inicio de cosecha, la concentración de N foliar total si fue significativa (Cuadro 2). Esto puede ser debido a que al avanzar el ciclo de desarrollo, la demanda de nutrientes por el fruto puede causar reducciones en la concentración nutricional en hojas y tallos en los tratamientos con limitada disponibilidad nutricional ya que el fruto es una demanda importante de N en esta etapa (Lima et al., 2007), asimismo, estos autores no encontraron respuesta significativa a K+ en melón.
Rendimiento y calidad de fruto
Los resultados del 2006 indican que hubo efecto de las dosis nutricionales aplicadas en el rendimiento y la calidad del fruto. En los frutos de primera calidad (Bruce) y calidad comercial, se tuvieron Fc de 3.45 *** (P<0.007) y 3.16*** (P<0.009) respectivamente, mientras que en fruto calidad nacional y sólidos solubles no se tuvo efecto significativo (Fc=1.37 y Fc= 1.2, respectivamente). En el año 2007 el efecto fue en las variables relacionadas con la calidad de fruto como rendimiento de fruto Bruce (12.3 ***), fruto nacional (2.72*) y fruto comercial (10.96***), más no en concentración de sólidos solubles (1.19 n.s.).
No hubo diferencia estadística significativa en rendimiento de fruto Bruce y comercial, entre los tratamientos con aplicación de foliares con respecto al testigo que tuvo rendimientos de 50.8 y 44.3 t·ha-1 de fruto Bruce y de 57.7 y 56.4 t·ha-1 de fruto comercial en los años 2006 y 2007, respectivamente; por lo que la aplicación de estos suplementos foliares (hormonales, activadores fisiológicos, orgánicos y minerales), muy extendida en este sistema de producción, podría carecer de una base técnica. La aplicación excesiva de N, no tuvo efecto en el rendimiento y calidad pues incluso hubo una reducción de rendimiento con aplicaciones mayores de 180 kg de N como fue detectado en 2007 (Figura 1).
Aplicaciones de N y P2O5 en exceso están causando mayores entradas de nutrientes al sistema que la salida de los mismos lo cual produce volatilización y acumulación, como fue detectado por Shepard (2005), con valores por arriba de 25 % para N y de 70 % para P.
El elemento nutritivo más importante y significativo para óptima producción, fue el N (Figura 1), en los dos años de estudio se aprecia que el rendimiento de fruto en ambas calidades fue directamente proporcional a la aplicación de este nutrimento; en 2006 el rendimiento de fruto Bruce y comercial aumentó 1.8 y 1.5 veces más cuando se aplicó la dosis más alta de N con 240 kg·ha1 (T5) que cuando se suprimió el elemento (T1); sin embargo, T5 no fue diferente de T-4 (180 kg·ha-1) y T-3 (120 kg·ha-1) con menor aplicación de N en ambos casos. En 2007, el rendimiento Bruce fue más alto en T-4 y T-3 (44.3 y 43.8 t·ha-1, respectivamente), estadísticamente igual a T-5 con 42.6 t·ha-1, pero con menos dosis de N. Al igual que en este trabajo Doerge, et al. (1991), encontraron que el nitrógeno es el factor más importante en el rendimiento de melón, al compararse con otros elementos nutritivos. Su bajo costo y alta respuesta del cultivo, conduce a excesos en las aplicaciones (Soto et al., 2006). Productores de melón suelen aplicar más de 400 kg de N en este cultivo (Pérez et al., 2004), pero pueden seguir obteniendo altos rendimiento y calidad de fruto, reduciendo las dosis de nutrientes e incluso suprimiendo algunos de ellos en ciertos años como el P2O5 y K2O, como sugiere Beegle et al. (2000); por su parte, Shepard (2005), indica que a pesar de la tendencia mundial de uso excesivo de fertilizantes, estos tienen un límite en la manifestación de rendimiento y más allá de este límite hay un efecto detrimental, lo cual fue probado en este trabajo (Figura 1).
En el primer año de estudio, no se observó respuesta en el rendimiento por efecto del P; por el contrario, cuando no se aplicó este elemento (T-6), el rendimiento de fruto Bruce fue más alto pero no significativo con 60.7 t·ha-1, que el obtenido con el tratamiento con P T-4 (50.8 t·ha-1), lo cual significa que, el rendimiento fue inhibido por la aplicación de P. En el segundo año (2007), la carencia de P en T-6, no mostró reducción significativa del rendimiento Bruce respecto a T-4 pero su rendimiento Bruce fue 10 t·ha-1 menor (Figura 2), lo cual indica que en estos vertisoles pueden en un año reducir la disponibilidad de P en el suelo y mostrar el efecto hasta el segundo ciclo. Castellanos et al. (2005), encontraron que estos vertisoles tienen escasa respuesta a P cuando se manejan intensivamente. No hubo respuesta a la aplicación de K2O en ningún año de estudio (Figura 2). La ausencia de respuesta tanto a P como a K en los dos años estudiados, puede deberse a las altas cantidades de P y K+ en estos suelos con más de 20 mg·kg1 en P y de 700 mg·kg-1 en K+, además de su alta capacidad de intercambio con más de 45 cmol·kg-1 de suelo (Chávez et al., 2002). Estos resultados contrastan con lo obtenido por Morales et al. (2007), quienes encontraron respuesta a las aplicaciones con potasio, posiblemente a que es un suelo franco-arenoso diferente del vertisol arcilloso de este experimento. En los suelos vertisoles del Valle de Apatzingán, el tipo de arcilla predominante, es montmorillonita de alta capacidad de intercambio catiónico, lo cual puede limitar la respuesta de los cultivos al K+ (Ortiz y Ortiz, 1984). Asimismo, otros autores como Lima et al. (2007) tampoco detectaron respuesta a K+ ni en calidad ni en rendimiento de fruto, posiblemente también al tipo de suelo.

Relación contenido nutrimental y calidad de fruto de melón
Esta parte del trabajo muestra cómo la aplicación de diferentes niveles nutrimentales en el melón con alta tecnología de producción, puede afectar la condición nutrimental del cultivo y el contenido de elementos nutritivos en ECP y foliar. El sistema de producción con acolchado plástico, riego presurizado y nutrición por el riego, tiene alto potencial de rendimiento y efecto en la calidad; sin embargo, la parte correspondiente al manejo nutrimental es fundamental en el rendimiento y la calidad del fruto y el cuidado del medio ambiente.
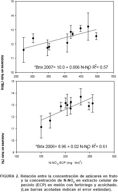
El contenido nutrimental en ECP a su vez, afectó la producción y la calidad de fruta de manera significativa. En la Figura 2, se muestra el efecto de la condición nutrimental de N-NO3 en ECP al inicio de la cosecha sobre el contenido de sólidos solubles la cual tuvo un efecto lineal positivo en los dos años estudiados, en 2006 la tasa fue de 0.02 (t=3.5**; P<0.01), mientras que en 2007 la tasa fue de 0.006* (t=3.2*; P<0.012), de incremento en el contenido de azúcar por cada unidad de N-NO3 en ECP (Figura 2). Ello indica que a mayor contenido de N-NO3 en ECP el sabor de la fruta es más azucarado de acuerdo a las ecuaciones de ajuste mostradas en la Figura 2. La correlación entre ambas variables fue significativa tanto en 2006 con r=0.78 * (P<0.05) como en 2007 r= 0.76* (P<0.05).
El rendimiento y la calidad de fruto en sus modalidades Bruce y comercial fueron afectados significativamente por el contenido de N-NO3 en ECP (Figura 3). En ambos años se tuvo un desempeño cuadrático en la respuesta del cultivo tanto en el rendimiento de exportación como en el comercial, con altos coeficientes de determinación mayores a 0.70, excepto para fruto comercial en 2007 que fue de 0.51. Respecto a la producción de fruto de exportación, los coeficientes de regresión fueron ambos significativos para 2006 con 1.75* (P<0.02) para el componente lineal y de -0.0038* (P<0.03) para el componente cuadrático. En la misma calidad pero en 2007, también fueron significativos con valores de 1.22* (P<0.011) para el componente lineal y de -0.0015* (P<0.011) para el término cuadrático. En cuanto a la producción de fruto comercial también se detectó diferencia estadística en 2006 con 1.33* (P<0.03) y -0.0028* (P<0.05), para el efecto lineal y cuadrático, respectivamente; en 2007, no hubo efecto significativo, los valores fueron 0.81 (P<0.08) y de -0.001 (P<0.10), para los mismos componentes ya descritos.

La ventaja de estos modelos matemáticos es que puede maximizarse la concentración de N-NO3 para óptimo rendimiento de fruto bruce (alta calidad) y nacional (bruce + nacional) en los dos años estudiados. Estos valores fueron para 2006 de 230.3 mg·L-1 en fruto de exportación y de 237.5 mg·L-1 para fruto comercial, mientras que para 2007 son de 409 mg·L-1 para la exportación y de 418 mg·L-1 para nacional Las diferencias en los dos años estudiados son apreciables pero consistentes entre si en ambas calidades de fruto. Este desempeño desigual entre ciclos y consistente dentro del ciclo fue reportado también por Badillo et al. (2001) en análisis similares de ECP pero en el cultivo de papa. Las concentraciones de N-NO3 en esta etapa de muestreo (inicio de fructificación), son sensiblemente menores a las reportadas por otros autores (Castellanos et al., 1998), quienes encontraron de 600 mg·L-1 como concentración óptima en ECP, esta diferencia puede ser debido entre otros factores al tipo de variedad o condiciones del ciclo de cultivo, como es referido por Badillo et al. (2001) o bien condiciones ambientales al momento del muestreo.
En las dos calidades de fruto y los dos años estudiados, se notó el claro efecto de la concentración nutrimental (N-NO3) en ECP, sobre el rendimiento y la calidad de fruto (Figura 3), es notable que a mayor concentración de N-NO3 hay incremento en el rendimiento de fruto y viceversa, hasta un valor que empieza a ser inhibitorio del rendimiento y la calidad. Esto puede interpretarse que dosis altas de N aplicadas al cultivo, pueden tener un efecto detrimental del rendimiento del fruto, lo cual los productores que aplican altas dosis de nutrientes, no logran advertir, como fue señalado por Pérez et al. (2004).
Las concentraciones de N total (%), evaluado al inicio de la fructificación, tuvieron también efecto significativo en la expresión del rendimiento de fruto tanto de exportación como en calidad nacional (Figura 4). Claramente, se observa el efecto del contenido de N foliar total, donde ambas relaciones son altamente significativas, r>0.90** (P<0.01), tanto para el rendimiento de fruto de exportación como de calidad comercial (exportación más nacional), en ambas funciones se aprecia como a medida que se incrementa el valor del contenido de N foliar total (%), también el rendimiento de fruto en ambas calidades se incrementa, hasta un valor máximo que en las dos calidades coincide de manera semejante ya que para exportación el valor que maximiza el rendimiento es 2.42 % de N foliar mientras que para calidad comercial es de 2.41 %. Estas funciones matemáticas coinciden por su forma con las encontradas para el análisis de ECP (Figura 3), incluso en la inhibición del rendimiento a mayores valores de N tanto nítrico como total.

CONCLUSIONES
La ausencia de nitrógeno o su aplicación en baja dosis (0 y 60 kg·ha-1) disminuyó el rendimiento de fruto Bruce (34 y 46.3 t·ha-1 en 2006 y 14.7 y 33.7 t·ha-1 en 2007). En ambos años el incremento de la dosis de nitrógeno aumentó el rendimiento y la calidad, hasta un valor máximo de 61 t·ha-1 con 240 kg·ha-1 de N en 2006 y de 44.3 t·ha-1 con 180 kg·ha-1 de N en 2007.
No hubo respuesta en rendimiento de fruto Bruce y comercial a las aplicaciones de fósforo y potasio. Asimismo, la aplicación de suplementos nutricionales foliares, puede suprimirse sin afectar el rendimiento significativamente.
Se determinó un efecto positivo no lineal entre la concentración N-NO3 en el extracto celular de peciolo y nitrógeno total foliar, con el rendimiento y la calidad de fruto, con coeficientes de correlación significativos R2 >0.70* (P<0.05). Se determinaron valores que maximizan el rendimiento Bruce, en función de la concentración de NNO3 en el extracto celular del peciolo en la etapa de inicio de fructificación con magnitudes de 230 mg·litro-1 en 2006 y 406 mg·litro-1 en 2007 y de contenido total foliar de nitrógeno en aproximadamente 2.4 % para 2006 y 2007.
AGRADECIMIENTOS
Se agradece el apoyo para este proyecto de investigación al Gobierno Federal por parte de la SAGARPA y el CONACYT así como la empresa Corporación Agrotecnológica Mexicana SPR.
LITERATURA CITADA
ANÓNIMO. 1995. Síntesis Geográfica de Michoacán. Instituto Nacional de Estadística, Geografía e Informática (INEGI). Aguascalientes, Ags. México. 225 p. [ Links ]
ANÓNIMO. 2007. Sistema de Información Agrícola y Pecuaria. Estadísticas por estado. Secretaría de Agricultura, Ganadería, Desarrollo Rural, Pesca y Alimentación (SAGARPA). México, D.F. 155 p. [ Links ]
ARIAS S., F.; ALCÁNTAR R., J. J.; TAPIA V., M.; VEGA P., A. 1994. Validación comercial de un manejo integrado de organismos dañinos en la producción de melón en Michoacán, Méx. Revista Mexicana de Fitopatología. 12:155-161. [ Links ]
ARMENTA B., A. D.; BACA C., G. A.; ALCÁNTAR G., G.; KOHASHI S., J.; VALENZUELA U., J. G.; MARTÍNEZ G. A. 2001. Relaciones de nitratos y potasio en fertirriego sobre la producción, calidad y absorción nutrimental de Tomate. Revista Chapingo Serie Horticultura VII (1):61-71. [ Links ]
BADILLO T., V.; CASTELLANOS R., J. Z.; SÁNCHEZ G., P.; GALVIS S., A.; ÁLVAREZ S., E.; UVALLE B., J. X.; GONZÁLEZ E., D.; ENRIQUEZ R., S. A. 2001. Niveles de referencia de nitrógeno en tejido vegetal de papa var. Alpha. Agrociencia 35: 615 623. [ Links ]
BEEGLE, D. B.; CARTON, O. T.; BAILEY, J. S. 2000.Nutrient management planning: Justification, theory, and practice. Journal of Environmental Quality 29:72-79. [ Links ]
CASTELLANOS R., J. Z.; UVALLE B., X.; AGUILAR S., A. 1998. Manual de Interpretación de Análisis de Suelos y Agua. INCAPA. Celaya, Gto. 226 p. [ Links ]
CASTELLANOS R., J. Z.; CUETO W., J.; MACIAS, J., SALINAS G., J.; TAPIA V., L. M.; CORTÉS J., M.; GONZÁLEZ, I.; MATA, H. 2005. La fertilización de los cultivos de maíz, sorgo y trigo en México. Manual Técnico 1. INIFAP. Celaya, Gto. 44 p. [ Links ]
CHÁVEZ C., X.; VEGA P., A.; TAPIA V., L. M.; MIRANDA S., M. 2002. Mango. Su Manejo y Producción en el Trópico Seco de México. Libro Técnico 1. INIFAP. Apatzingán, Mich. 105 p. [ Links ]
DOERGE, T. A.; ROTH, R. L.; GARDNER, B. R. 1991. Nitrogen Fertilizer Management in Arizona. Cooperative Extension. College of Agriculture, Publication Number 191025. The University of Arizona, USA. pp: 10-20. [ Links ]
HERNÁNDEZ M., J.; GARCÍA S., J. A.; MORA F., J. S.; GARCÍA M., R.; VALDIVIA A., R.; PORTILLO V., M. 2006. Efectos de la eliminación de aranceles sobre las exportaciones de melón (Cucumis melo l.) de México a los Estados Unidos. Agrociencia. 40: 395-407. [ Links ]
LIMA S., P. S.; PAIVA R., V. L.; MEDEIROS, J. F.; AQUINO, B. F.; SILVA, J. 2007. Yield and quality of melon fruits as a response to the application of nitrogen and potassium doses. Caatinga 20: 43-49. [ Links ]
MELLADO V., A.; SÁNCHEZ G., P.; VOLKE H., V.; TAPIA V., M. 2005. Respuesta del papayo al riego y la fertilización en un vertisol. Terra 23: 137-144. [ Links ]
MORA R., G. S.; SANDOVAL V., M.; GAVI R., F.; SÁNCHEZ G., P. 2005. Emisión de N2O con fertilización nitrogenada en fertirriego y fertilización convencional. Rev. Int. Contam. Ambient. 21: 23-29. [ Links ]
MORALES D., V.; RAMÍREZ R., R.; RIVAS J., J.; SANDOVAL V., J.; RINCÓN L., N. 2007. Correlación entre dosificación potásica, colocación, composición mineral y el rendimiento del melón (Cucumis melo L.) municipio Mara, estado Zulia, Venezuela. Revista de la Facultad de Agronomía de La Universidad del Zulia. 24: 54-63. [ Links ]
OROZCO S., M.; PÉREZ Z., O.; LÓPEZ A., O. 1995. Effect of transparent mulch on insect populations, virus diseases, soil temperature, and yield of cantaloupe in a tropical region. New Zealand Journal of Crop and Horticultural Science. 23: 199-204. [ Links ]
ORTIZ V., B.; ORTIZ S., C. 1984. Edafología. Ed. Universidad Autónoma Chapingo. 4a Edición. Chapingo, Mex. 374 p. [ Links ]
PÉREZ Z., O.; CIGALES R., M. 2001. Tensión de humedad del suelo y fertilización nitrogenada en melón Cantaloupe. Agrociencia 35:479-488. [ Links ]
PÉREZ Z., O.; CIGALES R., M.R.; OROZCO S., M.; PÉREZ C., E.G. 2004. Tensión de humedad del suelo y fertilización nitrogenada en melón Cantaloupe Parte II. Agrociencia 38:261-272. [ Links ]
RUIZ C., A.; MEDINA G., G.; ORTIZ T., C.; MARTINEZ P., R.; GONZÁLEZ A., I.J.; FLORES, H.E.; BYERLY M. K.F. 1999. Requerimientos Agroecológicos de los Cultivos. Libro Técnico 5. INIFAP. Guadalajara, Jal. 324 p. [ Links ]
SOTO O., R.; SILVERTOOTH, C. J.; GALADIMA, A.; 2006. Cantaloupe response to CN9 fertilizer. Vegetable Report AZ1419. University of Arizona. pp 25-35 [ Links ]
SHEPARD, R. 2005. Nutrient management planning: Is it the answer to better management. J. of Soil and Water Conservation 60:171-176. [ Links ]
STAPLETON, J. J.; SUMMERS, C.G. 2002. Reflective mulches for management of aphids and aphidborne virus diseases in late-season cantaloupe (Cucumis melo L. var. cantalupensis). Crop Protection 21(10):891-898. [ Links ]
TAPIA V., M.; ALCÁNTAR R., J.J.; VEGA P., A. 1995. Respuesta del melón acolchado al régimen de riego en el Valle de Apatzingán. Terra 13:174-184. [ Links ]
TOMER, M.D.; BURKART, M.R. 2003. Long-term effects of nitrogen fertilizer use on ground water nitrate in two small watersheds. J. Environ. Quality 32:2158-2171. [ Links ]













