INTRODUCCIÓN
México se encuentra dividido en 37 regiones hidrológicas que a su vez se agrupan en 13 regiones hidrológico-administrativas. Las aguas del estado de Quintana Roo se ubican en la región hidrológica-administrativa llamada “Península de Yucatán” y dentro de la región hidrológica 33 llamada “Yucatán Este” (CONAGUA, 2010). El Río Hondo, la frontera natural entre México y Belice, se encuentra dentro de la subcuenca transfronteriza Río Hondo (RH33-Ad), que forma parte de la cuenca bahía de Chetumal y otras (RH33-Ac) (INEGI, 2013a). La cuenca del Río Hondo cuenta con una superficie de 13465 km2, de los cuales el 57 % corresponde a México, 22 % a Belice y el 21 % restante a Guatemala (CCPY y CONAGUA, 2012). En las riberas de México y Belice se desarrollan actividades agrícolas, con el cultivo de grandes extensiones de caña de azúcar (Saccharum officinarum). En la ribera mexicana se encuentra el ingenio azucarero San Rafael de Pucté fundado en 1972. El ingenio recibe la producción de caña de azúcar cultivada por ejidatarios y pequeños propietarios en una superficie de 34,848 ha (SIAP, 2014). El área de cultivo requiere el uso de grandes cantidades de agroquímicos, lo cual constituye una fuente potencial de contaminación para los suelos, aguas superficiales y el manto freático de la cuenca, debido a su transporte a través de canales agrícolas secundarios. Los canales fueron construidos con el fin de evitar la inundación de las parcelas de cultivo, los cuales se conectan con un canal principal que descarga sus aguas en el Río Hondo. El río, que a su vez desemboca al sur de la bahía de Chetumal, podría arrastrar los residuos de la zona cañera poniendo en riesgo la fauna acuática y la salud humana.
En la agricultura, el suelo se modifica física y químicamente para satisfacer la demanda de nutrientes que los diversos cultivos necesitan para desarrollarse. También, el suelo es el principal receptor de los residuos agroquímicos (plaguicidas, fertilizantes, metales pesados, etc.), así como el conductor de éstos al manto acuífero. Los residuos de los agroquímicos representan un riesgo, en particular, para las aguas subterráneas debido a que los suelos de la zona se desarrollan sobre un acuífero kárstico maduro con amplias fisuras, fracturas y cuevas (Sánchez-Sánchez et al., 2015). Las características del acuífero se reflejan en una alta conductividad hidráulica, haciéndolos altamente vulnerables a la contaminación (Herrera, 2011). Un acuífero kárstico se divide en cuatro zonas: zona de absorción o recarga (epikarst), zona de circulación vadosa (no saturada o de saturación vertical), zona de fluctuación o epifreática y zona freática o saturada (Aguilar-Duarte et al., 2013). En este estudio la zona de interés es la de absorción o recarga la cual incluye al suelo y al relieve.
Los metales pesados (MP) son todos aquellos elementos metálicos y metaloides que causan un impacto ambiental debido a su toxicidad (Doménech y Peral, 2006). Como elementos traza, algunos MP como el cobre (Cu), selenio (Se), zinc (Zn) son esenciales para mantener un correcto metabolismo en los seres vivos y, en particular, para el cuerpo humano. Sin embargo, en concentraciones relativamente altas pueden causar intoxicación y los síntomas específicos dependerán del elemento. Los MP no esenciales como cadmio (Cd), plomo (Pb), mercurio (Hg) y metaloides como el arsénico (As) son altamente tóxicos para los humanos, plantas o vida silvestre (Prieto-Méndez et al., 2009). En el suelo los MP están distribuidos en las fases sólidas (arcillas y minerales) y líquidas (agua intersticial) y se pueden encontrar en diferentes fracciones o especies, tales como la fracción intercambiable, unida a carbonatos, unida a óxidos de Fe y Mn o reducible, unida a materia orgánica u oxidable y residual (Tessier et al., 1979; McLean y Bledsoe, 1992). Su especiación en cada fase depende de diferentes factores como la unión con complejos orgánicos e inorgánicos, reacciones de reducción-oxidación, hidrólisis, adsorción, intercambio de iones y fenómenos de disolución, precipitación o quelación (Kennou et al., 2015). Cada interacción química les confiere diferente comportamiento físico y químico, modificando así su movilidad, disponibilidad biológica y toxicidad. Al mismo tiempo, estos factores pueden ser afectados por las propiedades fisicoquímicas del suelo como la variación en el pH (siendo éste el más importante en la disposición de los MP), el contenido de materia orgánica (MO), la capacidad de intercambio catiónico (CIC) y la textura (FAR y PPIC, 1988; De Matos et al., 2001; Dube et al., 2001; Violante et al., 2010; Sherene, 2010; Kennou et al., 2015). Cuando los MP están disueltos en agua, la conductividad hidráulica resultante de la humedad y la porosidad del suelo, pueden influir directamente en la movilidad.
El monitoreo de los niveles de MP en suelos agrícolas, en especial los desarrollados sobre acuíferos kársticos, es importante para evaluar y conservar la calidad de los mismos, así como de las aguas superficiales y subterráneas, y de esta manera prevenir problemas de salud en humanos y en la vida silvestre. La falta de información sobre la presencia, distribución y movilidad de los MP vertidos en la zona cañera del sur de Quintana Roo, dificulta la toma de decisiones para atender los problemas de contaminación por metales pesados detectados en la subcuenca Río Hondo. Es por ello que este estudio tiene como objetivos evaluar la concentración de Hg, Cd, Cu y Fe en suelos y sedimentos del drenaje principal de la zona cañera, así como determinar su distribución y relación con los parámetros fisicoquímicos del suelo.
Antecedentes
Fernández-Pérez y Leal-Bautista (2013), evaluaron la concentración de plaguicidas en suelos de la zona cañera a cuatro profundidades, así como en lixiviados y agua subterránea (pozos). En el suelo registraron la presencia de plaguicidas organoclorados, organofosforados y piretroides con mayor incidencia a una profundidad de 0 a 45 cm. En los lixiviados detectaron organofosforados y piretroides, indicando que estos compuestos eran arrastrados por el agua hacia el manto acuífero. Los resultados obtenidos en agua subterránea corroboraron la lixiviación de los agroquímicos, ya que se detectaron los diferentes grupos de compuestos. Sánchez-Pool (2007) en un estudio sobre MP (Cd, Cu, Fe, Pb y Zn) en agua, sedimento y macro-algas para la bahía de Chetumal, reportó que las concentraciones de Fe y Pb, especialmente en agua, fueron mayores en la temporada de lluvias y concluyó que las fuentes principales son las zonas urbanas y/o recreativas, así como el aporte proveniente de las zonas de cultivo de las riberas del Río Hondo. Para este sistema también se realizó un estudio de MP en tejido óseo de la especie Trichechus manatus donde se reportaron concentraciones de Cd, Cr, Cu, Pb, Ni, Zn y As (Romero-Calderón et al., 2016). Recientemente Buenfil-Rojas et al. (2015) detectaron niveles de Cd, Hg y metalotioneínas en tejidos (crestas) y plasma sanguíneo del cocodrilo de pantano (Crocodylus moreletii) que habita en el Río Hondo, sugiriendo que una de las principales fuentes de exposición a estos contaminantes podrían ser los productos químicos utilizados en las actividades agrícolas que se realizan en las riberas de México y Belice.
METODOLOGÍA
Área de estudio
El área de estudio se ubica en la zona de abastecimiento del ingenio San Rafael de Pucté, localizado en el sur de Quintana Roo (Figura 1), a 6 km al oeste del poblado Álvaro Obregón (18°14´37.77” N) y 88°40´03.89” W) y a 9 km del poblado Pucté (18°14´07.77” N y 88°40´06.75” W).
Muestreo
El muestreo se realizó en febrero de 2016, que corresponde a la temporada de secas. El área de estudio se dividió en tres zonas (A, B y C) tomando como criterio la ubicación geográfica del canal principal de desagüe de la zona cañera y la altitud (Figura 1) (Tablas 1 y 2). La zona A se localiza en el sur y es la parte más alta (inicio del canal), con promedio de altitud de 55 m; la zona B corresponde a la parte media y de altitud homogénea, con 30 m en promedio y la zona C en el norte, con altitudes intermedias (final del canal), en promedio de 35.92 m. Se seleccionaron 18 sitios de muestreo para suelos agrícolas y 10 sitios en el canal principal de desagüe para sedimentos. Para obtener muestras de suelo los sitios se distribuyeron en ambos lados del canal. Tres sitios con dirección noroeste y tres al sureste, con una distancia de 1.5 km aproximadamente entre cada punto, ubicados en suelos de tipo gleysol (n = 9) y vertisol (n = 9) (Tabla 1) que son los más representativos de la zona bajo estudio (Figura 1). Las muestras de sedimento fueron tomadas en sitios cercanos a los puentes distribuidos a lo largo del canal (Figura 1).
Tabla 1 Concentración de metales pesados y parámetros fisicoquímicos en suelos.
| Sitio | Coordenadas | Altitud (m) |
Suelo | Hg (µg∙kg1) |
Cd (mg∙kg1) |
Cu (mg∙kg1) |
Fe (mg∙kg1) |
pH | MO (%) |
CIC (cmol∙kg-1) |
|
|---|---|---|---|---|---|---|---|---|---|---|---|
| Latitud N | Longitud W | ||||||||||
| A1 | 18°11’56.5” | 88°45’51.1” | 60.00 | Vertisol | ND | 0.24 | 11.39 | 19,391.73 | 7.55 | 0.73 | 44.7 |
| A2 | 18°12’12.9” | 88°46’24.2” | 49.07 | Gleysol | ND | 0.2 | 12.16 | 15,397.43 | 5.87 | 0.52 | 44.5 |
| A3 | 18°12’24.1” | 88°46’47.0” | 45.00 | Gleysol | ND | 0.16 | 6.03 | 16,996.61 | 6.27 | 0.83 | 44.9 |
| A4 | 18°12’48.9” | 88°47’15.7” | 54.95 | Vertisol | 10.01 | ND | 6.2 | 13,573.23 | 7.04 | 0.67 | 44.8 |
| A5 | 18°13’17.9” | 88°47’34.0” | 57.80 | Vertisol | ND | 0.05 | 5.76 | 10,346.97 | 8.09 | 0.78 | 44.4 |
| A6 | 18°13’33.6” | 88°48’02.2” | 75.00 | Vertisol | ND | 0.12 | 7.7 | 16,363.72 | 7.91 | 0.94 | 44.6 |
| B1 | 18°16’56.5” | 88°43’46.0” | 30.00 | Vertisol | 160 | 0.64 | 12.06 | 53,624.1 | 6.57 | 0.81 | 45.0 |
| B2 | 18°16’37.4” | 88°44’22.3” | 30.00 | Gleysol | 3.80 | 1 | 14.66 | 51,712.4 | 5.87 | 0.74 | 44.8 |
| B3 | 18°16’59.4” | 88°44’43.9” | 30.00 | Gleysol | 33.26 | 0.97 | 14.88 | 42,028.74 | 5.91 | 0.89 | 43.2 |
| B4 | 18°17’11.3” | 88°45’21.9” | 30.00 | Gleysol | 53.13 | 0.69 | 4.2 | 14,690.29 | 5.56 | 0.78 | 44.9 |
| B5 | 18°17’35.2” | 88°45’45.6” | 30.00 | Gleysol | 13.00 | 0.81 | 0.9 | 8,786.5 | 5.23 | 0.69 | 44.7 |
| B6 | 18°17’57.8” | 88°46’24.0” | 30.00 | Gleysol | 18.81 | 0.93 | 5.8 | 13,363.95 | 5.64 | 0.77 | 44.4 |
| C1 | 18°19’15.8” | 88°40’33.9” | 40.74 | Gleysol | 9.62 | 0.56 | 23.84 | 45,029.31 | 6.5 | 0.96 | 43.6 |
| C2 | 18°19’44.8” | 88°41’18.2” | 44.06 | Vertisol | 40.34 | 0.91 | 15.17 | 9,022.92 | 6.41 | 0.72 | 44.5 |
| C3 | 18°20’09.5” | 88°41’29.7” | 30.00 | Vertisol | 29.09 | 0.57 | 17.56 | 30,045.42 | 7.72 | 1.05 | 44.5 |
| C4 | 18°20’29.2” | 88°41’36.2” | 37.35 | Vertisol | 35.17 | 0.65 | 10.31 | 19,573.84 | 7.61 | 0.82 | 44.7 |
| C5 | 18°20’55.4” | 88°42’01.4” | 39.33 | Vertisol | 16.32 | 0.69 | 9.57 | 35,101.57 | 5.83 | 0.83 | 44.6 |
| C6 | 18°21’06.9” | 88°42’36.7” | 30.00 | Gleysol | 9.48 | 0.67 | 12.06 | 40,965.77 | 6.07 | 0.89 | 43.6 |
ND = No detectado.
Tabla 2 Concentración de metales pesados y parámetros fisicoquímicos en sedimentos.
| Sitio | Coordenadas | Altitud (km) |
Distancia (m) |
Hg (µg∙kg1) |
Cd (mg∙kg1) |
Cu (mg∙kg1) |
Fe (mg∙kg1) |
pH | MO (%) |
|
|---|---|---|---|---|---|---|---|---|---|---|
| Latitud N | Longitud W | |||||||||
| D1 | 18°12’23.9” | 88°46’50.2” | 45.00 | 0 | 127.26 | 0.52 | 19.82 | 23,131.99 | 8.11 | 0.59 |
| D2 | 18°12’53.0” | 88°46’34.9” | 45.00 | 1.08 | 99.75 | 0.56 | 5.79 | 16,115.52 | 8.08 | 0.45 |
| D3 | 18°13’36.7” | 88°46’12.3” | 45.00 | 2.56 | 78.85 | 0.6 | 4.91 | 16,573.30 | 8.08 | 0.49 |
| D4 | 18°14’08.8” | 88°45’57.4” | 37.51 | 3.62 | 39.50 | 0.64 | 2.77 | 11,064.19 | 7.57 | 0.48 |
| D5 | 18°14’43.5” | 88°45’49.4” | 30.00 | 4.80 | 87.19 | 0.73 | 11.43 | 46,261.53 | 8.00 | 0.49 |
| D6 | 18°16’08.8” | 88°45’31.4” | 30.00 | 7.50 | 60.05 | 0.75 | 13.78 | 27,181.49 | 7.61 | 0.62 |
| D7 | 18°17’29.3” | 88°44’47.7” | 30.00 | 10.36 | 62.75 | 0.59 | 8.12 | 14,498.53 | 7.76 | 0.66 |
| D8 | 18°18’38.4” | 88°43’44.4” | 30.00 | 13.24 | 50.71 | 0.31 | 6.48 | 13,625.95 | 7.85 | 0.57 |
| D9 | 18°19’57.3” | 88°42’24.4” | 25.83 | 16.71 | 27.72 | 0.37 | 2.05 | 14,803.00 | 8.05 | 0.51 |
| D10 | 18°20’20.9” | 88°41’27.2” | 30.00 | 18.68 | 5.96 | 0.3 | 4.81 | 16,271.3 | 7.89 | 0.56 |
Cada muestra de suelo se colectó por triplicado con una barrena de acero inoxidable en suelos superficiales (0-0.2 m de profundidad) dentro de un área de aproximadamente 100 m2 en parcelas cultivadas con caña de azúcar. Los sedimentos superficiales se colectaron por triplicado (una muestra en cada orilla y una en el centro del canal) con una pala de plástico rígido. Las muestras de cada sustrato se colocaron en bolsas de plástico para su transporte y almacenamiento en refrigerador a una temperatura de 4 °C. Los triplicados de muestras fueron mezclados para sus respectivos análisis.
Acondicionamiento de muestras
Todo el material usado en los análisis fue lavado con ácido nítrico (HNO3) grado absorción atómica al 10 %. El agua usada para diluciones y preparación de reactivos fue de tipo I (desionizada).
Las muestras de suelo fueron secadas a 60°C en una estufa durante 72 h. Las muestras de sedimento se secaron en una liofilizadora (marca LABCONCO®). Una vez secas, se molieron y pasaron por un tamiz número 35 (marca Fisher Scientific Company) para obtener un tamaño de partícula de 500 µm.
Determinación de parámetros fisicoquímicos
El pH se determinó con el método AS-02 “Determinación del pH del suelo medido en solución acuosa” con potenciómetro (marca OAKTON, modelo pH 510 series) y la capacidad de intercambio catiónico (CIC) en suelos con el método AS-13 “Determinación de CIC en suelos ácidos y calcáreos con tiourea de plata”, ambos incluidos en la NOM-021-SEMARNAT-2000 (SEMARNAT, 2002). El contenido de materia orgánica (MO) se determinó por pérdida de peso al incinerar con una adaptación del método de Storer (1984), que consistió en eliminar contenido de carbonatos al agregar solución de ácido clorhídrico 1 N hasta que no se observó efervescencia .
Determinación de metales pesados
Como parte del control de calidad se procesaron triplicados de material de referencia certificado (MRC) de sedimentos de agua dulce (Sediment 3 marca FLUKA Analytical), de los cuales se obtuvieron los siguientes porcentajes de recuperación: Hg = 104.13 %, Cd = 89.28 %, Cu = 70.12 % y Fe = 99.176 %. También se procesaron blancos de pro-cedimiento, los cuales tuvieron valores cercanos a cero.
Los MP totales fueron extraídos en horno de microondas (marca CEM, modelo Mars 6) (Mangum, 2009). La determinación de los elementos se realizó por espectrofotometría de absorción atómica con un espectrofotómetro marca GBC modelo AVANTA PM. La lectura de Cd, Cu y Fe se realizó por aspiración directa con quemador de flama aire-acetileno con límites de detección para Cd y Cu de 0.045 y 0.201 mg∙l-1, respectivamente. El Hg se leyó con accesorio generador de hidruros (modelo GBC HG-3000) con límite de detección de 0.462 µg∙l-1. Previo a las lecturas de Hg la curva de calibración, muestras, blancos y MRC se sometieron a un tratamiento de oxidación con permanganato de potasio (KMnO4) al 5 %.
Análisis estadísticos
Todos los análisis estadísticos que a continuación se describen se realizaron con el programa R versión 3.1.3 (Murdock, 2014). En el caso de los sitios donde no se detectaron los elementos, el valor fue sustituido por el equivalente a la mitad del límite de detección del método para el elemento correspondiente (Rainwater et al., 2007).
Inicialmente fueron calculados los parámetros estadísticos básicos (promedio, mínimo, máximo, desviación estándar (DE) y coeficientes de variación (CV) de las variables de respuesta y covariables consideradas. Se calculó la correlación de Pearson para cada matriz, y se realizó el análisis de componentes principales (ACP) y de dendrogramas (AC) con el fin de encontrar los factores que se pudieran asociar con la presencia de los MP en estudio. En el ACP se agregó la variable altitud (en m), la cual se obtuvo del Modelo Digital de Elevación (MDE) de México (INEGI, 2013b).
Mediante análisis visual de histogramas y pruebas Shapiro se determinó que los datos para Hg y Fe (p < 0.005) no siguieron la distribución normal, por lo que se procedió a realizar pruebas no paramétricas. Para contrastar las concentraciones de Cd y Cu en las zonas A, B y C se aplicó la prueba de análisis de varianza (ANOVA) así como la prueba no paramétrica Kruskal-Wallis para el Hg y el Fe (Moore, 2005). Se aplicaron Pruebas t de Student para contrastar las concentraciones de Cd y Cu por tipo de suelo y posteriormente por sustrato, mientras que para el Hg y el Fe se aplicó la prueba no paramétrica Man-Whitney (Moore, 2005).
Las distancias entre cada sitio dentro del canal reportadas en la Tabla 2 se obtuvieron con la herramienta “Regla” de ArcMAp. Se generaron mapas para mostrar patrones de distribución de cada elemento, representando la magnitud de concentración con círculos. Las direcciones de flujo de agua presentadas en los mapas fueron generadas con la herramienta “Dirección de Flujo” a partir del MDE, usando el programa ArcMAp v.10.2 (ArcGIS).
RESULTADOS Y DISCUSIÓN
Parámetros fisicoquímicos
Los resultados de los parámetros fisicoquímicos determinados para suelos se presentan en la Tabla 1 y los parámetros estadísticos básicos en la Tabla 3. El contenido de MO tuvo en promedio 0.80 ± 0.12 % con rango de 0.52 - 1.05 %, un coeficiente de variación (CV) de 15.14 %, lo que indica que en general los suelos de la zona de estudio tienen bajo contenido de MO. Por otra parte, presentan un pH moderadamente ácido a medianamente alcalino, de acuerdo a la clasificación establecida por SEMARNAT (2002), con un valor promedio de 6.53 ± 0.89, un rango de 5.23 - 8.09 y un CV de 13.72 %. La CIC en promedio fue de 44.46 ± 0.49 Cmol∙kg-1 con rango de 43.20 - 45.00 Cmol∙kg-1 y un CV de 1.11 %. Esto indica que los suelos analizados tienen una CIC muy alta de acuerdo a los valores establecidos por SEMARNAT (2002), que puede reflejarse en una alta retención de iones con carga positiva, entre ellos los MP.
Tabla 3 Parámetros estadísticos básicos de metales pesados y parámetros fisicoquímicos en suelos.
| Parámetro | Número de observaciones | Promedio | Mínimo | Máximo | DE | % CV |
|---|---|---|---|---|---|---|
| Hg (µg∙kg-1) | 18 | 24.07 | 3.80 | 160.00 | 37.49 | 155.84 |
| Cd (mg∙kg-1) | 18 | 0.55 | 0.05 | 1.00 | 0.33 | 60.51 |
| Cu (mg∙kg-1) | 18 | 10.56 | 0.90 | 23.84 | 5.52 | 52.22 |
| Fe (mg∙kg-1) | 18 | 25,334.13 | 8,786.50 | 53,624.10 | 15,341.79 | 60.55 |
| MO (%) | 18 | 0.80 | 0.52 | 1.05 | 0.12 | 15.14 |
| pH | 18 | 6.53 | 5.23 | 8.09 | 0.89 | 13.72 |
| CIC (Cmol∙kg-1) | 18 | 44.46 | 43.20 | 45.00 | 0.49 | 1.11 |
DE = Desviación Estándar; CV = Coeficiente de variación.
Los resultados de las variables fisicoquímicas para los sedimentos se presentan en la Tabla 2 y los estadísticos básicos en la Tabla 4. El contenido de MO en general fue bajo (SEMARNAT, 2002) con un promedio de 0.54 ± 0.07 %, un rango de 0.45 - 0.66 % y un CV de 12.63 %; el pH fue generalmente alcalino (SEMARNAT, 2002) con un promedio de 7.9 ± 0.20, un rango de 7.57 - 8.11 y CV de 2.52 %.
Tabla 4 Parámetros estadísticos básicos de metales pesados y parámetros fisicoquímicos en sedimentos.
| Parámetro | Número de observaciones | Promedio | Mínimo | Máximo | DE | % CV |
|---|---|---|---|---|---|---|
| Hg (µg∙kg-1) | 18 | 63.98 | 5.96 | 127.26 | 35.77 | 55.90 |
| Cd ( mg∙kg-1) | 18 | 0.54 | 0.30 | 0.75 | 0.16 | 30.18 |
| Cu ( mg∙kg-1) | 18 | 8.00 | 2.05 | 19.82 | 5.52 | 69.08 |
| Fe (mg∙kg-1) | 18 | 19,952.68 | 11,064.19 | 46,261.53 | 10,379.02 | 52.02 |
| MO (%) | 18 | 0.54 | 0.45 | 0.66 | 0.07 | 12.63 |
| pH | 18 | 7.90 | 7.57 | 8.11 | 0.20 | 2.52 |
DE = Desviación Estándar; CV = Coeficiente de variación.
Concentraciones de MP en suelos y sedimentos
Con el fin de unificar unidades para realizar comparaciones, los datos de Hg se convirtieron en mg∙kg-1, mientras que en las tablas, gráficos y figuras referidas, las concentraciones se presentan en el orden de µg∙kg-1. En la Tabla 1 se presentan las concentraciones de MP detectadas en suelo; en orden descendente fueron Fe > Cu > Cd > Hg con valores promedio de 25,334.13 ± 15,341.79 mg∙kg-1, 10.56 ± 5.52 mg∙kg-1, 0.55 ± 0.33 mg∙kg-1 y 0.02 ± 0.03 mg∙kg-1, respectivamente. Los rangos para los mismos elementos fueron: 8,786.50- 53,624.10 mg∙kg-1, 0.90 - 23.84 mg∙kg-1, 0.05 -1.00 mg∙kg-1 y 0.03- 0.16 mg∙kg-1, respectivamente. Los valores de CV fueron 60.55 %, 52.22 %, 60.51 % y 155.84 %, respectivamente (Tabla 3), siendo el Fe el elemento más abundante, mientras que el Hg es el de menor concentración. Las concentraciones promedio de Cd, Cu y Fe (646.89 mg∙kg-1, 10.64 mg∙kg-1 y 23,004.83 mg∙kg-1, respectivamente) en suelos de tipo vertisol (Tabla 5) resultaron mayores a las encontradas por De la Cruz-Pons et al. (2012) en suelos cultivados con caña de azúcar en Tabasco.
Tabla 5 Concentraciones promedio de metales pesados y parámetros fisico-químicos por tipo de suelo.
| Parámetro | Gleysol | Vertisol |
|---|---|---|
| Hg (µg∙kg-1) | 15.72 ± 17.40 | 32.41 ± 50.2715 |
| Cd (mg∙kg-1) | 0.67 ± 0.31 | 0.43 ± 0.33 |
| Cu (mg∙kg-1) | 10.50 ± 7.01 | 10.64 ± 3.94 |
| Fe (mg∙kg-1) | 27,663.44 ± 16,795.06 | 23,004.83 ± 14,348.53 |
| CIC (Cmol∙kg-1) | 44.29 ± 0.65 | 44.63 ± 0.17 |
| MO (%) | 0.78 ± 0.13 | 0.82 ± 0.12 |
| pH | 5.88 ± 0.38 | 7.19 ± 0.77 |
| n | 9 | 9 |
Las concentraciones de MP en sedimento se muestran en la Tabla 2. Las concentraciones en orden descendente fueron Fe > Cu > Cd > Hg con valores promedio de 19,952.68 ± 10,379.02 mg∙kg-1, 8.00 ± 5.52 mg∙kg-1, 0.54 ± 0.16 mg∙kg-1 y 0.06 ± 0.03 mg∙kg-1, respectivamente. Los rangos fueron 11,064.19 - 46,261.19 mg∙kg-1, 2.05 - 19.82 mg∙kg-1, 0.30 - 0.75 mg∙kg-1 y 0.005 - 0.12 mg∙kg-1, respectivamente. Las proporciones en el CV fueron de 52.02 %, 69.08 %, 30.18 % y 55.90 %, respectivamente (Tabla 4). Al igual que en los suelos, el elemento más abundante es el Fe, mientras que el Hg fue el de menor concentración.
Ungureanu et al. (2016) sugirieron que los CV de las concentraciones de MP que dominan en la naturaleza son relativamente bajos, mientras que los CV de las concentraciones de los elementos afectados por actividades antropogénicas son bastante altos. En este estudio los CV de los MP fueron de 52.22 % de Cu hasta 155.84 % de Hg. Por lo tanto, de acuerdo con estos autores, podemos inferir que las concentraciones de MP detectadas en los suelos han sido influenciadas por fuentes de origen antropogénico.
De acuerdo con Segura-Muñoz et al., (2005), los MP en suelos provienen de diferentes fuentes, que van desde su origen natural (dependiendo del área geográfica) hasta las antropogénicas (asociadas principalmente a actividades como la agricultura, minería, procesos industriales, etc.) y de diferentes vías, como el desgaste del material parental, el vertido de aguas residuales sin tratamiento, la aplicación de biosólidos como abono, el uso de fertilizantes inorgánicos y plaguicidas, el depósito atmosférico, etc. (Wang et al., 2015). Los asentamientos humanos cercanos al área de estudio no cuentan con un relleno sanitario, por lo tanto, los residuos domiciliarios son depositados en áreas alejadas de los centros de población, pero cercanas a las zonas de cultivo. En estas áreas de depósito gran parte de los residuos son incinerados, representando así una fuente potencial de contaminación por MP vía depósito atmosférico; por otro lado, los gases de las chimeneas del ingenio azucarero también representan una fuente de contaminación. Otra fuente importante de estos elementos es el uso de agroquímicos. En el cultivo de caña de azúcar se ha utilizado por años la fertilización a base de mezclas de nitrógeno (N), potasio (K) y fósforo (P) sin considerar los requerimientos de la variedad de la planta o el tipo de suelo (Salgado-García et al., 2000; Palma-López et al., 2002). En particular, en la zona cañera de Quintana Roo la cantidad de fertilizantes vertidos de 1979 a 2016 asciende a un total aproximado de 86,200 kg/ha. Las fórmulas a base de N, K y P son las más usadas con un valor aproximado de 79,150 kg/ha; el sulfato de amonio y urea son los de menor uso, con un valor aproximado de 2,250 y 4,800 kg/ha, respectivamente (Iuit-Jiménez, 2017). La aplicación, en ocasiones excesiva, de agroquímicos ha ocasionado el incremento de las concentraciones de MP en el suelo, ya que contienen trazas de estos elementos. Esto fue comprobado por Gimeno-García et al. (1995) al analizar diversos agroquímicos y determinar que los fertilizantes a base de fosfato contenían los niveles más altos de Cd, Co, Cu y Zn. Además Gimeno-García et al. (1995) encontraron que entre los plaguicidas que estudiaron, los herbicidas Saturn-G y Ordram contenían las concentraciones más altas de Fe, Mn, Zn, Pb y Ni. Wen-Huang y Yun-Jin (2008) hicieron un estudio sobre el estado de los MP en suelos agrícolas de la provincia de Huabei, China, afectada por diferentes patrones de uso de suelo; concluyeron que el uso excesivo de fertilizantes a base de fósforo puede conducir a la acumulación de Cd, Cu, Zn y otros MP a largo plazo. Atafar et al. (2010) obtuvieron resultados similares en un estudio sobre el efecto de fertilizantes en suelos de la provincia de Kermanshash, Irán, en el cual reportaron que los fertilizantes compuestos y triple super-fosfato contenían la mayor concentración de Cd; para el Pb y As la concentración máxima se encontró en un fertilizante a base de sulfato de zinc, reportando que las concentraciones de Cd, Pb y As aumentaron en los suelos después de la aplicación de estos fertilizantes. Cheraghi et al. (2012) coincidieron en que los fertilizantes a base de fosfato son fuente importante de MP ya que la materia prima de estos productos se obtiene de depósitos de fosforita que, en general, contienen altas concentraciones de Cu, Cd, Ni, Zn, Co, Pb y Mn. En el mismo sentido, es importante mencionar que algunos productos comerciales recomendados para el cultivo de caña reportan en su ficha técnica que contienen los siguientes MP: Al, Cd, Cu, Fe, Mg, Mn, Ni, Pb, Zn y As (Palau-Bioquim, s.f.; Bioterra Internacional, s.f.; VELSIMEX, 2009; BEB, 2015; CICOPLAFEST, SESA, SAGARPA, SEMARNAT, 2004; El Vergel de Occidente S.A. de C.V., s.f.). En ninguna de las fichas técnicas consultadas se reportan concentraciones de Hg; sin embargo, se conoce que los fungicidas usados para controlar las enfermedades de la caña de azúcar son elaborados a base de compuestos orgánicos de Hg (Yadav et al., 2010).
Las concentraciones altas de Fe en este estudio, se deben a que se realizó en un área donde el suelo predominante es el tipo gleysol, que se caracteriza por contener segregados de compuestos de este elemento, generalmente en los primeros 50 cm (FAO, 2014). Sin embargo, estas concentraciones también han sido influenciadas por la actividad agrícola, ya que al labrar los suelos, la estructura de éstos es modificada, propiciando la redistribución de Fe y otros componentes del suelo por medio de la erosión provocada por la escorrentía en la época de lluvias (FAO, 2017).
Relación entre MP y parámetros fisicoquímicos
Con el objetivo de identificar las variables que describan la distribución de los MP en el área de estudio, se realizaron correlaciones de Pearson entre los MP y los parámetros fisicoquímicos de cada matriz (Tablas 6 y 7). Se ha reportado que en el suelo la CIC y la MO juegan un papel importante en la retención de los MP y el pH en la disposición de éstos, y por ello, concentraciones altas de MP se relacionan con estos parámetros (De Matos et al., 2001; Dube et al., 2001; Clemente et al., 2008; Violante et al., 2010; Kennou et al., 2015; Chandrasekaran y Ravisankar, 2015). En cultivos de caña de azúcar se recomiendan productos como Algaenzims® y Amikrone® para mejorar las propiedades físicas, químicas y biológicas del suelo y ayudar en la retención de los nutrientes. Sin embargo, estos agroquímicos no son selectivos y también influyen en los MP (Palau-Bioquim, s.f.; BEB, 2015). En este estudio no se obtuvieron relaciones significativas entre las concentraciones de MP y los parámetros fisicoquímicos, con excepción de una correlación negativa entre el Cd y pH (r = -0.6, p < 0.01) y positiva entre el Cu y Fe (r = 0.63, p < 0.01) en suelos (Tabla 6). Estas relaciones indican que en el área de estudio, el Cd se está reteniendo más en suelos ácidos y que las concentraciones de Cu, posiblemente, están siendo retenidas por los óxidos e hidróxidos de Fe del suelo (Acevedo-Sandoval, et.al., 2004), compuestos conocidos por asociarse con la retención de MP (Tessier et al., 1979). En sedimentos (Tabla 7) se obtuvo una relación positiva entre las concentraciones de Hg y Cu (r = 0.69, p < 0.05); esta relación indica que estos elementos están siguiendo un patrón de distribución similar en los sedimentos superficiales del canal.
Tabla 6 Correlaciones entre metales pesados y parámetros fisicoquímicos en suelos.
| Parámetro | Hg | Cd | Cu | Fe | pH | MO | CIC |
|---|---|---|---|---|---|---|---|
| Hg | 1 | ||||||
| Cd | 0.30 | 1 | |||||
| Cu | 0.08 | 0.23 | 1 | ||||
| Fe | 0.39 | 0.39 | 0.63 | 1 | |||
| pH | -0.08 | -0.60 | 0.14 | -0.15 | 1 | ||
| MO | 0.09 | 0.13 | 0.41 | 0.42 | 0.34 | 1 | |
| CIC | 0.21 | -0.26 | -0.51 | -0.35 | 0.11 | -0.38 | 1 |
Distribución de MP en suelos y sedimentos
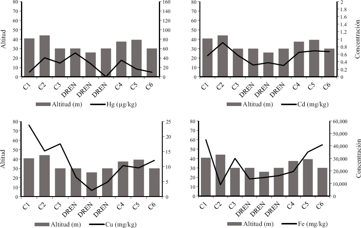
Para identificar los patrones de distribución de los MP se consideró la orografía; las altitudes de cada sitio de muestreo se obtuvieron del mapa elaborado con el MDE. Se analizaron las concentraciones de cada elemento por zona; los análisis estadísticos realizados a escala del área de estudio arrojaron que únicamente el Cd presenta diferencias significativas entre las zonas (p < 0.05). Pero si se observa el mapa de la distribución de cada elemento (Figura 2) y las gráficas de altitud vs. concentración de MP encontramos que aparentemente en la zona A (Figura 3) la concentración más alta de cada elemento se encuentra en el canal. En la zona B (Figura 4) se observa que las concentraciones más elevadas se hayan en el noreste de ésta, con excepción de los valores para Cd que se perciben con una distribución más homogénea en toda la zona. Además, esta zona aparenta contener las mayores concentraciones de Hg, Cd, Cu y Fe. Esto se debe a que esta zona presenta las altitudes más bajas (30 m), lo cual ocasiona que el flujo de agua sea más lento, propiciando el depósito de las partículas de suelos y los residuos de agroquímicos (que contienen MP) y a su vez su acumulación. En la zona C (Figura 5) se observan valores similares de concentración en ambos lados del canal y los valores más bajos dentro del mismo. Este patrón se aprecia para todos los elementos. Si se observan únicamente los valores de concentración de cada metal encontrado en los sedimentos del canal (Figura 6), se aprecia que el Hg sigue un patrón de dispersión a lo largo de éste, mientras que el Cu, Cd y Fe se acumulan en la parte media del cauce (zona B) donde la altitud es homogénea (30 m).

Figura 2 Mapas de distribución de metales pesados. a) distribución de mercurio; b) distribución de cadmio. El Datum es WGS 1984.
Las concentraciones de Hg y Fe se distribuyen de manera uniforme en ambos tipos de suelo, gleysol y vertisol (p > 0.05), mientras que las concentraciones de Cd y Cu resultaron ser mayores (p < 0.05) en los suelos de tipo gleysol. A pesar de que las correlaciones de Pearson arrojaron alta correlación entre Cu y Fe, al comparar por tipo de suelo, estos elementos no se asocian.
Al contrastar las concentraciones de cada MP con la matriz ambiental, se aprecia que las concentraciones más altas de Hg se encuentran en los sedimentos (p < 0.05); el Cd y el Cu quedan retenidos en los suelos (p < 0.05) y el Fe se distribuye de manera homogénea en ambas matrices (p > 0.05).
En el ACP se agregó la variable altitud para ambas matrices (Figura 7), la cual aparentemente no se asocia con las concentraciones de MP; esto coincide con los resultados obtenidos por las correlaciones de Pearson. Sin embargo, en los grupos generados por el AC, los parámetros fisicoquímicos muestran cierta relación con los MP (Figura 8). En suelos, el Grupo 1 incluye los sitios con concentraciones más bajas de MP, los valores más altos de CIC, valores intermedios de pH y los porcentajes de MO. El Grupo 2 incluye las concentraciones intermedias de los MP, los valores más altos de pH y MO e intermedios de CIC. En el Grupo 3 se encuentran los sitios con concentraciones más altas de MP, valores más bajos de pH y CIC, así como los valores intermedios de MO. El tipo de suelo también es un factor representativo de los grupos: los suelos de tipo vertisol representan a los grupos con las menores concentraciones de MP (Grupos 1 y 2), y los suelos de tipo gleysol al Grupo 3, el cual corresponde a los sitios con mayor concentración de MP. Ambos tipos de suelo son influenciados por el agua. Los de tipo gleysol son suelos que se saturan con agua freática durante largos periodos, lo cual les proporciona una baja conductividad hidráulica. Los suelos de tipo vertisol cuentan con una estructura pesada y predominio de minerales de arcillas expandibles, lo cual resulta en grietas profundas en la temporada de sequía. Este tipo de suelo cuenta con infiltración más rápida en comparación con los de tipo gleysol (FAO, 2014). En ambos tipos de suelo existe arrastre de partículas: en los de tipo gleysol, el transporte es superficial debido a que estos suelos se saturan, mientras que en los de tipo vertisol el movimiento es a través del perfil del suelo; estas características explicarían la retención de los MP en la superficie de los suelos de tipo gleysol.

Figura 7 Gráficas de análisis de componentes principales de las muestras en sedimentos (izquierda) y suelos (derecha).
Los sitios localizados dentro del canal (sedimentos) también fueron categorizados en tres grupos (Figura 9). El Grupo 1 se caracteriza por tener las concentraciones más altas de Cd y Fe, concentraciones intermedias de Hg y Cu, los valores más altos de pH y los porcentajes más bajos de MO. Por otro lado, el Grupo 2 incluye los sitios con concentraciones más altas de Hg y Cu, concentraciones intermedias de Cd y Fe, los valores más bajos de pH y los porcentajes más altos de MO. Por último, en el Grupo 3 se encuentran los sitios con las concentraciones más bajas de los MP y valores intermedios de pH y MO. El AC ratifica los resultados del comportamiento de los MP en los sedimentos del canal: el Grupo 1 tiene las concentraciones más altas del Fe y Cd y concentraciones intermedias de Hg y Cu; también el Grupo 1 tiene los sitios con menor altitud y distancias intermedias respecto al inicio del canal. El Grupo 2 incluye las concentraciones más altas de Hg y Cu, así como concentraciones intermedias del Cd y Fe; además, tiene los sitios de mayor altitud y más cercanos al inicio del canal. Por último, el Grupo 3 muestra las concentraciones más bajas de todos los MP; este grupo tiene los sitios más alejados del inicio del canal, con altitudes intermedias.
Durante la época de lluvias se ha observado que en la zona cañera aumenta considerablemente el caudal. A causa de esto se considera que, en general, el factor que determinaría la distribución de los MP en el área de estudio es el arrastre de partículas del suelo causado por la escorrentía dirigida hacia las zonas de menor altitud, correspondientes al canal principal de desagüe (la dirección de flujo se puede observar en la Figura 2). La mayor parte del área de estudio corresponde a suelos de tipo gleysol, caracterizados por una baja permeabilidad que causa su saturación en la época de lluvias. Esto propicia el transporte superficial de los MP contenidos en los suelos hacia el dren principal, para posteriormente dispersarse a lo largo del mismo. De esta manera, los MP ingresan al Río Hondo y posteriormente a la bahía de Chetumal. Esto puede relacionarse con el aumento en la turbidez del Río Hondo en la época de lluvias descrito por Álvarez-Legorreta en 2007.
CONCLUSIONES
Las concentraciones detectadas de Hg, Cd, Cu parecen provenir de fuentes antropogénicas, mientras que el Fe posiblemente se encuentra de manera natural; sin embargo, la distribución de este elemento podría estar siendo afectada por la actividad agrícola. De acuerdo a los análisis estadísticos realizados, no se encontró una asociación entre las concentraciones de los MP y los parámetros fisicoquímicos. El factor determinante en la distribución de los MP es el arrastre de partículas de suelo que los contienen, lo cual ocurre por la escorrentía. De acuerdo al AC, las partículas de suelo con mayor contenido de MP provienen de los suelos de tipo gleysol. Dentro del canal de desagüe, los MP se dispersan de las partes más altas a las más bajas. Adicionalmente, se concluye que el patrón de distribución de los MP comprueba que la actividad agrícola de la zona cañera es una fuente potencial de Hg, Cd, Cu y Fe para las aguas superficiales de la cuenca (Río Hondo y bahía de Chetumal) y posiblemente para las aguas subterráneas. Debe tomarse en cuenta que el estudio muestra el patrón de distribución de MP en el tiempo en el que se tomaron las muestras, durante la temporada de secas. Los MP son una fuente potencial para la cuenca, debido a que se observa que las concentraciones de éstos aumentan en los sedimentos del canal principal de desagüe. Además, dentro del canal se observa que las concentraciones de MP se dispersan a través de éste. Esto puede observarse con detalle en las Figuras 3, 4, 5 y 6. También se indica que la zona cañera es una fuente potencial de MP para las aguas subterráneas, debido a que los suelos de esta área son de escaso espesor y se desarrollan sobre un acuífero kárstico, que se caracterizan por una conductividad hidráulica alta, lo cual podría permitir el transporte inmediato de estos contaminantes.
Es necesario realizar un monitoreo de la dispersión de los MP a través del tiempo, así como estudiar el comportamiento de éstos en el perfil del suelo y en un mayor número de sitios, con el objetivo de obtener información más detallada sobre el comportamiento de los MP en el área de estudio. Se recomienda el uso de fertilizantes considerando los requerimientos de la variedad de la caña de azúcar, así como de las características del tipo de suelo, con el fin de disminuir el uso excesivo de agroquímicos. También se recomienda plantar dentro del canal especies que acumulen biológica y eficientemente los MP, convirtiéndolo en un humedal artificial, para evitar el ingreso de estos elementos a las aguas superficiales de la cuenca. Para tener mayor tiempo de interacción entre agua y planta dentro del canal, se recomienda la construcción de una pequeña presa que regule el flujo de agua en época de estiaje.










nueva página del texto (beta)









