SciELO - Scientific Electronic Library Online

 
vol.26 número1Diques toleíticos del Carbonífero en la unidad Salada, Complejo Acatlán, sur de México: un registro de extensión en el margen occidental de PangeaEvolución mesozoica y cenozoica del sur de México, y sus conexiones con el bloque Chortís índice de autoresíndice de materiabúsqueda de artículos
Home Pagelista alfabética de revistas  

Servicios Personalizados

Revista

Articulo

Indicadores

Links relacionados

  • No hay artículos similaresSimilares en SciELO

Compartir


Revista mexicana de ciencias geológicas

versión On-line ISSN 2007-2902versión impresa ISSN 1026-8774

Rev. mex. cienc. geol vol.26 no.1 Ciudad de México abr. 2009

 

Presencia, distribución, hidrogeoquímica y origen de arsénico, fluoruro y otros elementos traza disueltos en agua subterránea, a escala de cuenca hidrológica tributaria de Lerma–Chapala, México

 

Occurrence, distribution, hydrochemistry and origin of arsenic, fluoride and other trace elements dissolved in groundwater at basin scale in central Mexico

 

M. Adrián Ortega–Guerrero*

 

Centro de Geociencias, Universidad Nacional Autónoma de México, Campus Juriquilla, Blvd. Juriquilla 3001, 76230 Querétaro, Qro., México. *maog@servidor.unam.mx

 

Manuscrito recibido: Mayo 26, 2008
Manuscrito corregido recibido: Octubre 13, 2008
Manuscrito aceptado: Octubre 20, 2008

 

RESUMEN

La presencia, distribución y origen de arsénico inorgánico total (iAs), fluoruro (F) y otros elementos traza disueltos en agua subterránea (Se, Sb, V, Cr, Mo, Re, Pb, Cu, Cd, Co y Zn), en los 7000 km2 que cubren la cuenca de la Independencia (CI), tributaria de la cuenca Lerma–Chapala, se estudian a través de técnicas hidrogeológicas, hidrogeoquímicas e isotópicas. Análisis de muestras provenientes de 246 pozos, de un acuífero granular y otro fracturado subyacente, indican la presencia de altas concentraciones de iAs (0.025–0.12 mg/L) y F (1.5–16 mg/L) en la porción noreste de la cuenca, en un área aproximada de 500 km2. Treinta y tres muestras de esta región, donde se ubica un importante cono de abatimiento piezométrico regional, indican que el origen e hidrogeoquímica del iAs y del F se encuentran asociados a altas concentraciones de HCO3 y Na + producto de la disolución de feldespato sódico, principalmente, y de otros minerales constituyentes de las riolitas e ignimbritas que forman el acuífero fracturado, con largos periodos de residencia del agua subterránea hasta de 35,000 años. La disolución de minerales de arsénico es un proceso secundario de concentración de iAs, mientras que el enriquecimiento en F se encuentra asociado a la disolución de fluorita, a altas concentración de Li + , Cl , Cs, Br y a agua termal. No se encontraron correlaciones de iAs y F con otros metaloides pesados o con elementos formadores de óxidos, ni con otros elementos traza en solución. Los isótopos estables, en 125 muestras, indican un origen meteórico local del agua subterránea, alturas variables de recarga y que durante ésta no ocurrieron procesos de evaporación, incluyendo aquélla cuya edad representa miles de años de residencia. Tampoco existen evidencias de que la cuenca haya sido cerrada. De no establecerse criterios y políticas adecuadas de manejo del acuífero en la CI, es de esperarse que las áreas impactadas por la presencia de altas concentraciones de iAs y F y otros elementos se incrementen con el tiempo, con efectos progresivamente mayores tanto a la salud de la población como al ambiente.

Palabras clave: agua subterránea, arsénico, fluoruro, acuífero, cuenca de la Independencia, cuenca Lerma–Chapala, Guanajuato, México.

 

ABSTRACT

The occurrence, distribution and origin of total inorganic arsenic (iAs), fluoride (F) and other trace elements (Se, Sb, V, Cr, Mo, Re, Pb, Cu, Cd, Co y Zn) in the Independencia basin (IB) are investigated through hydrogeologic, hydrochemical and isotopic techniques. This basin, with an area of 7000 km 2 , is tributary to the continental Lerma–Chapala basin of central Mexico. Analyses of groundwater samples from 246 wells, in both granular and fractured aquifers, indicate high iAs (0.025–0.120 mg/L) and F (1.5–16 mg/L) concentrations in the northeastern part of the basin, in an area of about 500 km 2 . Thirty three water samples from this area, where a regional drawdown cone has developed, indicate that the origin and hydrochemistry of iAs and F are associated to high concentrations of HCO3 and Na + , mainly derived from the dissolution of sodium feldspar and other minerals present in the rhyolite–ignimbrite rocks that form the fractured aquifer, with long groundwater residence times up to 35,000 years. Dissolution of arsenic minerals is a secondary processes for iAs enrichment in groundwater, whereas F enrichment is related to dissolution of fluorite, high concentrations of Li + , Cl, Cs, Br , and thermal water. The abundance of iAs and F does not correlate with that of heavy metalloids or oxide–forming elements, neither with other trace elements in solution. Stable isotopes, in 125 samples, indicated a meteoric origin of the groundwater, variable altitude of the recharge, and that water was unaffected by evaporation during recharge, including those with ages in the range of thousands of years of residence time in the aquifer. Besides, there are no evidence that the basin was closed throughout its geologic evolution. If criteria and policies for groundwater management are not established for the IB, the size of the areas impacted by high concentrations of iAs and F may increase with time, which would affect the health of the inhabitants and the environmental and economic sustainability of the basin.

Key words: groundwater, arsenic, fluoride, aquifer, Independence basin, Lerma–Chapala basin, Guanajuato, Mexico.

 

INTRODUCCIÓN

La contaminación por arsénico total inorgánico (iAs) y fluoruro (F) disueltos en agua subterránea destinada a consumo humano, es un problema epidémico en el mundo (Amini et al., 2008). Países como Argentina, Canadá, Chile, China, Estados Unidos, Hungría, India, Italia, México, Pakistán y Vietnam, entre otros, han reportado la severidad de la ingestión de agua con iAs y F (Smedley y Kinniburg, 2002; Edmunds y Smedley, 2005). La Organización Mundial de la Salud (WHO, por sus siglas en inglés) y la Agencia de Protección al Ambiente de Estados Unidos (U.S. EPA, por sus siglas en inglés) recomiendan una concentración máxima para el arsénico en agua potable de 0.01 mg/L; en el caso de México se ha establecido un límite máximo de 0.025 mg/L (NOM, 2000). Mientras que, para el caso del F, el límite máximo recomendado por la WHO, y adoptado por la normatividad mexicana, es de 1.5 mg/L, aunque el organismo internacional está considerando reducir aún más este límite, por sus efectos nocivos a la salud (WHO, 2004).

La exposición crónica a concentraciones de iAs en agua significativamente mayores a 0.05 mg/L, resulta en serios problemas de salud epidérmicos, cardiovasculares, renales, hematológicos y respiratorios (Smedley y Kinniburg, 2002). Mientras que en el caso del fluoruro, el consumo en concentraciones significativamente mayores a 1.5 mg/L, causa problemas de fluorosis dental y esquelética, desarrollando una mayor susceptibilidad a enfermedades renales y cáncer (WHO, 2004), así como afectación al desarrollo del cerebro humano, reduciendo, entre otros efectos, el coeficiente intelectual (IQ) de niños en edad escolar (Wang et al., 2007).

En el caso particular de México, existe el caso crónico endémico de hidroarsenosis e hidrofluorosis en la cuenca cerrada de la Región Lagunera, en los estados de Coahuila y Durango (Chávez et al., 1964; Cebrián et al., 1983; Del Razo et al., 1993). En contraste, en cuencas abiertas, el problema de presencia regional de iAs aparece en las últimas dos a tres décadas, principalmente en acuíferos granulares de zonas áridas y semiáridas de México, como son la ciudad de Durango (Ortiz et al., 1998) y la ciudad de San Luis Potosí (Sarabia, 1989; Medellín–Milán et al., 1993; Grimaldo et al., 1995; Díaz–Barriga et al., 1997). La Comisión Nacional del Agua (Soto et al., 2004) reconoce problemas locales de iAs en diferentes acuíferos granulares del centro y noroeste de México.

Cabe mencionar que existen numerosos problemas de contaminación de metales y metaloides asociados a la actividad minera y de yacimientos hidrotermales en México que no son objeto del presente análisis.

A pesar de la incidencia de estos elementos en la salud y de su influencia en al menos nueve estados del noroeste, centro y sur de México, se han realizado pocas investigaciones de carácter hidrogeológico en cuencas y acuíferos regionales que permitan evaluar los controles físicos y químicos de iAs y F, y otros elementos nocivos a la salud, en el agua subterránea. El caso más estudiado es quizás el de la hidrogeoquímica del F en las inmediaciones de la ciudad de San Luis Potosí (Cardona–Benavides, 1990; Carrillo–Rivera y Armienta, 1989; Carrillo–Rivera et al., 1996); estos estudios, aunque no consideran la cuenca en su conjunto, aportan valiosos elementos del comportamiento local.

El presente trabajo forma parte de una serie de proyectos de colaboración entre el Centro de Geociencias de la UNAM y los Consejos para el Desarrollo Regional del Norte y Noreste de Guanajuato, realizados entre 1998 y 2001, con el fin de conocer la situación integral del agua subterránea en una cuenca hidrológica de 7,000 km2, tributaria de la cuenca continental de Lerma–Chapala, denominada cuenca Alta del Río La Laja o cuenca de la Independencia. Los resultados fueron reportados por el responsable científico (Ortega–Guerrero, 2001) en informes respectivos. En este artículo se analiza la presencia, distribución, origen, movilidad de iAs y F, así como los controles geoquímicos en el agua subterránea, y sus posibles condiciones endorreicas durante su evolución, utilizando para ello técnicas de hidrogeología, hidrogeoquímica e isotopía. La cuenca se ubica en la porción NE del estado de Guanajuato y 100 km al sur de San Luis Potosí (Figura 1). Adicionalmente, este estudio tiene la finalidad de orientar a profesionales de la salud en la ubicación de comunidades en riesgo, a los planeadores del desarrollo regional, ordenamiento territorial y a las autoridades del agua implicadas en el manejo de la cuenca y a los organismos operadores.

Resultados preliminares de esta investigación fueron reportados por Ortega–Guerrero et al. (2002), quienes elaboraron un modelo conceptual hidrogeoquímico que explicara los incrementos de sodio, la relación de adsorción de sodio (RAS), la alcalinidad y pH en el agua subterránea aplicada a riego agrícola; y en un resumen sobre la presencia de arsénico en el agua subterránea de la CI (Ortega–Guerrero, 2003b).

 

DESCRIPCIÓN DEL ÁREA DE ESTUDIO

Hidrología superficial

El área de estudio corresponde a la cuenca Alta del Río La Laja (Palacios–Vélez y López–López, 2004) también conocida como cuenca de la Independencia (CI) (Ortega–Guerrero et al., 2002). Desde el punto de vista hidrológico se trata de una cuenca exorreica donde el Río La Laja representa el cause principal y cuya única salida es controlada por la Presa de Allende, ubicada junto a San Miguel de Allende (Figura 1). El Río La Laja jugaba un papel muy importante en el sistema de flujo del agua subterránea, ya que este río era alimentado por el acuífero, característica que le daba un carácter de flujo permanente, hecho que todavía se podía confirmar hasta principios de la década de 1970. A medida que el acuífero fue explotado en exceso, los niveles del agua subterránea descendieron por debajo del nivel del río, dando lugar a escurrimientos perennes durante la época de lluvia (Ortega–Guerrero, 2001).

A pesar de las evidencias morfológicas y de hidrología superficial que señalan a esta cuenca como exorreica, la Comisión Nacional del Agua maneja la porción oriental de la CI como cerrada o endorreica (CNA, 2000), aspecto que será analizado a través de la composición química e isotópica del agua subterránea.

Geología

En la CI existen diversos tipos de rocas y sedimentos asociados a una compleja evolución geológica, ya que la CI se ubica en las proximidades de tres provincias geológicas: la Sierra Madre Occidental, el Eje Neovolcánico Transmexicano y la placa Norteamericana.

Las unidades litológicas que afloran en esta cuenca (Figura 2a) pueden ser divididas en dos grandes paquetes: complejo basal y cubierta cenozoica (Nieto–Samaniego et al., 1996; Pérez–Venzor et al., 1996). El complejo basal está compuesto por rocas vulcanosedimentarias con edades del Cretácico Inferior, que han sido relacionadas al Terreno Guerrero, y por una secuencia de arcos insulares (Chiodi et al., 1988; Ortiz–Hernández et al., 1991; Lapierre et al., 1992; Elías–Herrera y Ortega–Gutiérrez, 1998). La cubierta cenozoica se puede dividir a su vez en dos grupos bien documentados: rocas volcánicas de composición dominantemente riolítica, y sedimentos con edades del Eoceno al Mioceno temprano, asociados a la evolución de la Sierra Madre Occidental (SMOc), y por otro lado las rocas volcánicas intermedias a máficas y sedimentos con edades del Mioceno tardío al Plioceno tardío (Aranda–Gómez et al., 1989; Pasquaré, et al., 1991; Nieto–Samaniego, 1992; Ferrari et al., 1994; Hasenaka et al., 1994; Nieto–Samaniego et al., 1996; Pérez–Venzor et al., 1996; Aranda–Gómez y McDowell, 1998; Cerca, 1998; Kowallis et al., 1998). La actividad volcánica alterna con periodos de intensa erosión y sedimentación que rellena fosas tectónicas, conformando el actual acuífero granular en su parte media. La Figura 2a muestra la distribución de las diferentes rocas y sedimentos.

Las rocas del Mesozoico se encuentran afectadas por deformaciones compresivas que se expresan en pliegues, cabalgaduras y metamorfismo de bajo grado. Durante el Cenozoico, las estructuras principales son fallas y fracturas, producto de la extensión, las cuales cortan unidades estratigráficas que permiten distinguir varios eventos de fallamiento ocurridos desde el Paleoceno–Eoceno hasta el Plioceno, y posiblemente hasta el Pleistoceno (Labarthe–Hernández et al., 1982; Aranda–Gómez et al., 1989; Nieto–Samaniego, 1990; Nieto–Samaniego et al., 1996).

Hidrogeología

Desde el punto de vista hidrogeológico existen dos acuíferos principales (Figura 2b), uno de tipo fracturado en rocas volcánicas de composición riolítica e ignimbrítica, principalmente, y otro de tipo granular constituido por depósitos lacustres y vulcanoclásticos. El acuífero fracturado aflora principalmente en las montañas que delimitan la cuenca y en conjuntos volcánicos terciarios que se extienden hacia su interior. El acuífero granular cubre al acuífero fracturado en el interior de la cuenca, con espesores medios de 50 a 100 metros y, sólo en cuatro zonas asociadas a fosas tectónicas, alcanza espesores de 300 a 400 metros (Figura 2b). Aproximadamente el 80% de los pozos se ubica en el acuífero granular y el 20% en el acuífero fracturado (Ortega–Guerrero, 2001). Ambos acuíferos se explotan en la cuenca de manera individual o mixta, indicando que existe continuidad hidráulica entre ellos.

La Figura 2b muestra un sección hidrogeológica esquemática de la posición de ambos acuíferos y un esquema hipotético del flujo de agua subterráneo en una cuenca unitaria en condiciones naturales, basado en Tóth (1999) y Carrillo–Rivera et al. (2002). De acuerdo con el concepto de cuenca unitaria existen las zonas de recarga ubicadas en las sierras principales y en porciones del acuífero granular, mientras que las zonas de descarga principal corresponden a las proximidades del Río La Laja, donde existen suelos ricos en sílice y remanentes de grandes extensiones de freatofitas y manantiales. Se definen también sistemas de flujo local, intermedio y regional; los locales con tiempos de residencia de meses a unos cuantos años, los intermedios de cientos de años y los regionales de miles de años. Cada sistema presenta condiciones químicas y de temperatura distintivas, dependiendo de su interacción con las rocas del subsuelo. La situación inicial de flujo considerada en la Figura 2b se encuentra modificada por la evolución e intensidad del bombeo.

Historia de la extracción del agua subterránea y evolución de los niveles piezométricos

A principios de la década de 1950 se inicia la perforación de los primeros pozos en el acuífero granular, incrementándose con el tiempo, de manera prácticamente exponencial, el número de pozos. Diferentes aspectos de la evolución de la explotación del agua subterránea en la CI se pueden observar en la Figura 3. La Figura 3a ilustra la evolución del número de hectáreas de riesgo con agua subterránea en esta cuenca, estimado por medio del análisis de imágenes de satélite, para los años 1976, 1986, 1992, 2000 y 2002; éstas se incrementaron de 9,970 ha en 1976 hasta 40,668 ha en 2002, de una manera exponencial (R2= 0.97) (Palacios–Vélez y López–López, 2004). La misma Figura muestra la extrapolación de los datos al año 2008, donde se tendrían cerca de 56,000 hectáreas de riego, indicando un evidente incremento en el número de pozos en la cuenca y en los volúmenes de extracción, adicionales a los de uso doméstico e industrial.

De acuerdo con las tendencias mostradas entre 1950 y 2000, se tiene un incremento exponencial en el número total de pozos (R2= 0.97), incluyendo pozos de uso potable, doméstico e industrial (Ortega–Guerrero, 2001), por lo que es de esperarse que su número en el año 2008 sea del orden de más de 3,000 (Figura 3b). La Figura 3c muestra la evolución de los volúmenes extraídos en la cuenca, que hasta el año 2000 eran del orden de más de 750 millones de m3 y, de acuerdo con las tendencias históricas, en la actualidad serían del orden de 1,000 millones de m3. Existen en la cuenca tres decretos de veda, declarados en 1958, 1964 y 1976, los cuales, de acuerdo con lo anterior, no se cumplieron. Las tendencias en la explotación del agua subterránea siguen en aumento y están lejos de controlarse.

El equilibrio entre recarga y descarga, que define una disponibilidad segura del acuífero del orden de 290 millones de m3/año (Ortega–Guerrero, 2001), se rompió aparentemente a finales de la década de 1960; a partir de entonces se empezó a minar el almacenamiento del acuífero, con lo que aumentó progresivamente la profundidad de los niveles piezométricos que se ubicaban entre 50 y 130 metros (Figura 4a) en 1998. No se cuenta con datos más recientes de la profundidad del nivel piezométrico en la CI, sin embargo, información de agricultores de la zona en 2008, indican que los niveles son de más de 200 m en la porción NE de la cuenca.

Los primeros pozos en la CI mostraban niveles piezométricos cercanos a 5–10 m de profundidad en la década de 1950. El ritmo de descenso del nivel piezométrico se ha incrementado con el tiempo, y en 1996 se reportaron descensos anuales del orden 2 a 7 m en la porción NE de la CI (CNA, 2000), ritmo que seguramente continúa a 2008.

Las configuraciones piezométricas consideran ambos acuíferos, ya que se encuentran comunicados entre sí y no difieren en más de un orden de magnitud en su conductividad hidráulica (Ortega–Guerrero, 2001). En el interior de la cuenca se han generado varias depresiones piezométricas debido a la concentración del bombeo (Figuras 4a y 4b). La depresión piezométrica más importante por su extensión, de un total de cuatro, se ubica en la porción centro–noreste de la cuenca (Figuras 4a y 4b); dos se ubican en las proximidades de Dolores Hidalgo y otra al norte de San Miguel de Allende, donde el agua de la presa recarga el acuífero. De acuerdo con las tendencias del incremento de la superficie de riego y de la extracción del agua subterránea descritas anteriormente, es de esperarse que los niveles piezométricos sigan profundizándose en el futuro.

 

MÉTODOS Y MATERIALES

Muestras de agua subterránea

Las muestras de agua para análisis isotópicos y químicos se colectaron en pozos que tenían al menos cuatro horas de operación y cuya profundidad total varió entre 200 y 400 metros. Se colectaron un total de 246 muestras para análisis químicos, 125 muestras para isótopos estables (18O y 2H), 50 muestras para determinación de Tritio (3H) enriquecido (TE) y seis muestras para determinación de 13C/14C. La muestras fueron colectadas en tres periodos, el primero en 1999 para la porción oriental de la cuenca, y el segundo en 2000, en su porción centro y poniente, donde se colectaron muestras para análisis de elementos químicos, isótopos estables y TE; las muestras de 13C/14C fueron colectadas en 2001, después de contar con una interpretación preliminar de los resultados químicos e isotópicos, con el fin de conocer la edad del agua en las zonas de mayores anomalías químicas.

Durante la toma de muestras se midió la temperatura, pH, alcalinidad y conductividad eléctrica en campo, previa calibración de los equipos de medición. Todas las muestras para análisis químicos se filtraron a través de filtros de 0.45 micrómetros. Las muestras fueron separadas en cuatro grupos. Una fue acidificada con HNO3 hasta un pH < 2 para la determinación de cationes, mientras que el segundo grupo se mantuvo sin acidificar para análisis de aniones. El tercer grupo fue usado para la determinación de isótopos estables y TE. Las muestras para isótopos de 13C/14C fueron colectadas posteriormente a los resultados químicos.

Análisis químicos e isotópicos

Los análisis químicos inorgánicos, para los dos periodos de muestreo (1999 y 2000) se realizaron en el Laboratorio Activation Laboratories Ltd. de Canadá, con certificación internacional. Las muestras se analizaron con las técnicas de plasma acoplado inductivamente con espectrometría de masas (ICP–MS) y cromatografía de iones (IC). Se analizaron los siguientes elementos: cloruro, sulfato, bicarbonato, calcio, sodio, potasio, magnesio, arsénico total, fluoruro, litio, hierro total, cromo total, manganeso, bario, cobre, niquel, cinc, aluminio, cadmio, rubidio, plomo, cesio, estroncio, yodo, bromuro y sílice.

Los análisis de isótopos estables (18O y 2H) se llevaron a cabo en el Laboratorio de Espectrometría de Masas del Instituto de Geología de la UNAM. Este laboratorio esta acreditado por SINALP #312.39.452.94 folio 2396.

Los análisis de isótopos radioactivos (3H enriquecido y 13C/14C) se realizaron en el Laboratorio de Isótopos Ambientales de la Universidad de Waterloo, Canadá, en el año 2001. Para los isótopos de carbono se convierte el carbono inorgánico disuelto en el agua subterránea en benceno; los pulsos de luz que indican decaimiento radioactivo se miden con un contador de centelleo líquido.

Modelación geoquímica

La distribución de especies acuosas y el estado de saturación de la fase acuosa con respecto a fases minerales especificadas y a reacciones geoquímicas, basado en el modelo acuoso de pares de iones o asociación de iones, se establecieron por medio del modelo hidrogeoquímico PHREEQEC, una versión mejorada de PHREEQE (pH–redox–equilibrium–equations) (Parkhurst et al., 1980).

 

RESULTADOS

Geoquímica

La Figura 5 muestra la ubicación de los 246 pozos donde se obtuvo muestra de agua en el interior de la cuenca. El análisis del presente trabajo se enfoca principalmente a la geoquímica del iAs total y del F disueltos en el agua subterránea, por lo que en un primer momento se presenta la distribución de sus concentraciones en el interior de la cuenca, y en un segundo momento, se presenta sus relaciones con otros iones y las propiedades físicas del agua subterránea.

La temperatura del agua subterránea en el interior de la CI varía entre 14 y 47 °C, con un promedio de 27 °C (n=246). Las temperaturas dominantes en el agua subterránea son de entre 25 y 30 °C. Los valores de pH varían entre 5 y 10, con un valor promedio 7.33 (n=246). La conductividad eléctrica del agua subterránea, varía en general entre 100 y 1400 µS/cm, con un valor promedio de 500 µS/cm. La conductividad eléctrica es controlada por la concentración de los iones de HCO3 (R2= 0.88) y Na+ (R2= 0.82) como se observa en la Tabla 1. Este par iónico es el que presenta, también las mejores correlaciones entre sí (R2= 0.81). La influencia de la temperatura y el pH en la composición química del agua subterránea se analiza a través de la matriz de los coeficientes de correlación.

Las concentraciones de iAs varían entre 0.008 y 0.120 mg/L con un promedio de 0.012 mg/L (n=246), con la distribución que se muestra en la Figura 6a. Las concentraciones más altas de iAs total se presentan en la porción noreste de la CI entre San Luis de la Paz y San Diego de la Unión, donde alcanzan concentraciones entre 0.020 y 0.120 mg/L, impactando un área de más de 300 km2. Existen otras dos zonas con concentraciones superiores a 0.025 mg/L, una de ellas ubicada entre San Felipe y Dolores Hidalgo, y la otra, ubicada al suroeste de Dolores Hidalgo, donde alcanza concentraciones ligeramente superiores a 0.03 mg/L (Figura 6a). De acuerdo con el esquema normativo nacional, más de 300 km2 del área del acuífero no cumplían con el límite máximo permisible (LMP) hasta el año 2000; 500 km2 no cumplen con el LMP vigente y cerca de 4,000 km2 no cumplirían con el LMP que sugiere el WHO (2004). Lo que involucra un riesgo potencial a la salud de decenas de comunidades al presente, y quizás cientos de comunidades si se adopta el LMP de WHO.

Las concentraciones de F varían entre 0 y 16 mg/L con un promedio de 1.2 mg/L (n=246). En la Figura 6b se muestra que la mayor concentración de este ión (2.0 a 16 mg/L) se ubica prácticamente en la misma zona donde se midieron las concentraciones más altas de iAs, aunque ligeramente desplazada hacia el noreste. Existen otras tres zonas donde las concentraciones de fluoruro exceden los 2.0 mg/L, una es en las proximidades de San José Iturbide, otra en las proximidades de San Miguel de Allende y la última entre Dolores Hidalgo y San Felipe (Figura 6b).

Se seleccionaron 33 muestras de agua subterránea en la zona noreste de la CI donde se presentan las mayores concentraciones de iAs y F y sus alrededores, con el fin de analizar su origen e hidrogeoquímica. La Figura 7 muestra el diagrama de Piper para las 33 muestras, donde se aprecia que el anión dominante en el agua subterránea es el HCO3, mientras que los cationes dominantes son el Na+ y el Ca2+. La Figura 8 muestra las familias químicas del agua a través de los diagramas de Stiff para los 33 pozos, sobrepuestos a las líneas de igual concentración de iAs mayores a 0.02 mg/L. Es notorio que las familias de agua HCO3 – Na+, y con mayor concentración de ambos iones, dominan en regiones donde las concentraciones de iAs son mayores a 0.04 mg/L. Esta relación se evalúa a continuación en las matrices de correlación entre estos iones.

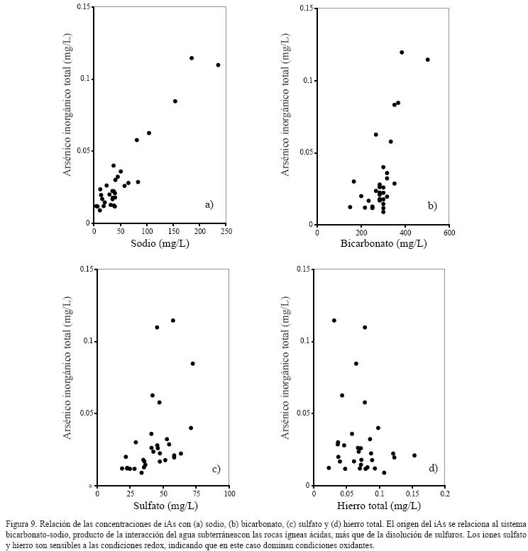
La Tabla 1 muestra el coeficiente de correlación de las concentraciones de iAs y F con los parámetros físicos, iones mayores, elementos traza e isótopos ambientales. El iAs muestra correlaciones positivas superiores al 70% con el HCO3 (R2= 0.736) y con el Na+ (R2= 0.788), mientras que existen correlaciones superiores al 50%, positiva con el pH (R2= 0.536) y negativa con el Ca2+ (R2= –0.582). Esto indica que el iAs está asociado al sistema HCO3–Na+ (Figura 9a y 9b), vinculado a la disolución de feldespatos, más que al sistema SO42– – Fe (Figura 9c y 9d), vinculado a la disolución de sulfuros de hierro (pirita y arsenopirita), como también lo muestra la correlación ligeramente positiva con SO42– (R2= 0.301) y negativa con el Fe (R2= –0.263) (Tabla 1). El iAs presenta correlaciones superiores al 50%, negativa con el Ba (R2= –0.69) y Rb (R2= –0.64), y positiva con el Ni (R2= 0.68) (Tabla 1).

En el caso del F, su concentración se incrementa en presencia de Cs (R2= 0.94), Li+ (R2= 0.899), Cl (R2= 0.825), Br (R2= 0.63) y con agua termal (R2= 0.627). En contraste, presenta correlaciones negativas en presencia de los cationes K+ (R2= –0.668), Ca2+ (R2= –0.526) y Mg2+ (R2= –0.648) y el ión Ba (R2= –0.64). Estos resultados muestran su relación con agua subterránea , termal, de mayor tiempo de residencia y su control por intercambio iónico.

La correlación entre las concentraciones de iAs y F son muy bajas (R2= 0.174), indicando cierta independencia geoquímica, a pesar de que se presentan en altas concentraciones en regiones próximas de la CI.

No se encontraron correlaciones superiores al 50% entre las concentraciones de iAs con otros metaloides pesados y elementos formadores de óxidos como selenio, antimonio, vanadio, cromo, uranio y renio; ni con otros elementos traza en solución, como plomo, cobre, cadmio, cobalto y zinc. Los iones sensibles a las condiciones de oxidación–reducción como SO42– , Mn, Fe e iAs indican que en el acuífero dominan condiciones de oxidación.

Modelación geoquímica

La distribución de especies acuosas y su estado de saturación en la fase acuosa con respecto a fases minerales relacionadas con el iAs, el F y algunos minerales de interés se presentan en la Tabla 2. La base de datos termodinámicos utilizada fue wateq4f, del modelo PHREEQC. Se seleccionaron los minerales asociados con el iAs y el F; en el caso del iAs se consideraron pirita, arsenolita, As2O5, arsénico nativo, orpimente, realgar, claudetita, Mn3(AsO4)2 ·8H2O, Ni3(AsO4)2 ·8H2O, Pb3(AsO4)2 ·8H2O, escorodita y arsenopirita. Para el caso del F se consideraron la fluorita, feldespatos y micas.

El agua subterránea de las 33 muestras de la región donde se observan altos valores de iAs y F se encuentra sobresaturada en todos los casos con respecto a los minerales biotita y cuarzo; mientras que varía entre cercana a saturación y sobresaturada con respecto a albita, fluorita, caolinita y calcita. Las concentraciones de F presentan una correlación positiva con la fluorita de R2= 0.695 y negativa con la biotita de R2= –0.249. El índice de saturación (IS) de la fluorita correlaciona también con el contenido de Li+ (R2= 0.717). En el caso de los diferentes minerales de iAs, todos ellos se encuentran extremadamente subsaturados, por lo que la disolución de sulfatos y óxidos relacionados no explican la abundancia de iAs en el agua subterránea de la zona, al igual que lo indica su baja correlación con SO42– (R2= 0.301) y Fe (R2= –0.263).

Como resultado de la reacción de disolución del feldespato sódico (Stumm y Morgan, 1981) se incorporan en solución Na+, OH y ácido silícico (2H4SiO4) (Reacción 1), o Na+, HCO3 y ácido silícico (2H4SiO4) (Reacción 2), contribuyendo en los incrementos de alcalinidad y pH de la solución y a la formación de caolín [½Al2Si2O5(OH)4 (s)].

Isótopos estables del agua subterránea

La Figura 10 muestra la relación de la delta de deuterio (δ2H) contra la delta de oxígeno–18 (δ18O). En esta gráfica se aprecia que las concentraciones de δ18O varían entre –12.57 (‰) y –7.92 (‰) y las de δ2H entre –92.23 (‰) y –57.21 (‰). Las concentraciones de δ18O y δ2H se agrupan, en general, a lo largo de la Línea Meteórica Mundial definida por Craig (1961), cuya ecuación es δ2H = 8δ18O + 10. El valor promedio de δ18O es de –9.99 (‰) y el de δ2H es de –73.19 (‰). Estos resultados indican que (a) el agua subterránea en la CI es de origen meteórico, es decir por aportación de la infiltración de agua de lluvia, incluyendo al agua termal; (b) durante el proceso de infiltración o recarga el agua no fue afectada por evaporación; (c ) no existen evidencias de que la cuenca haya sido cerrada; y (d) el agua de precipitación puede tener orígenes diferentes (influencia del Golfo de México y del Pacífico) o que las condiciones isotópicas de la recarga han variado considerablemente con el tiempo en los últimos cientos o posiblemente miles de años.

En general, los valores más empobrecidos (más negativos) de Oxígeno–18 y Deuterio corresponden a las zonas montañosas; mientras que los valores más enriquecidos (menos negativos) se ubican en las zonas con menor elevación, hacia la porción central de la cuenca.

Las concentraciones de ambos isótopos muestran que la cuenca siempre ha sido una cuenca abierta, pues no existen evidencias de enriquecimiento asociado a procesos de evaporación que son indicadores de cuencas cerradas (Kharaka y Carothers, 1986) .

En la Figura 10 también se presentan las muestras ubicadas en la porción NE de la CI, donde existen las mayores concentraciones de iAs, F, las cuales se ubican prácticamente sobre la Línea Meteórica Mundial.

Isótopos radioactivos del agua subterránea

El 3H enriquecido fue detectado en pozos cercanos a las zonas de recarga de San José Iturbide y Dr. Mora, indicando que el agua subterránea con edad menor a los 60 años se restringe a esta porción de la cuenca y que en el resto de la misma su edad es mayor.

Los puntos de muestreo de 13C/14C se ubican a lo largo de una línea que va desde las proximidades de la zona de recarga del acuífero, en su porción norte, hacia la zona de descarga, ubicada en su porción sur entre Dolores Hidalgo y San Miguel Allende (Figura 5). Las edades no corregidas varían entre 10,000 años en la parte sur hasta 35,000 años en la parte norte. Esta última se ubica en la zona donde se encuentran las concentraciones más altas de iAs y F.

 

DISCUSIÓN E IMPLICACIONES

Origen del fluoruro y arsénico

De acuerdo con las relaciones del F con otros iones e índices de saturación con respecto a diferentes minerales, su origen se asocia a la disolución de fluorita, principalmente. La fluorita (CaF2) es el mineral principal de flúor y se le encuentra en yacimientos hidrotermales tanto en la cuenca de estudio como en sus inmediaciones. Su presencia ha sido reportada en el denominado "cinturón de fluorita" que corre a través de los estados de Coahuila, Zacatecas, San Luis Potosí, Guanajuato y Querétaro. Una de las minas de fluorita más grande del mundo, "Las Cuevas", se ubica en el estado de San Luis Potosí, aproximadamente 80 km al NE de la CI.

Adicionalmente, el F también se encuentra en minerales primarios de rocas ígneas (Edmunds y Smedley, 2005). De acuerdo con Orozco–Esquivel et al. (2002), las rocas riolíticas que se encuentran en la cuenca de estudio,fueron emplazadas en forma de domos que se presentan a lo largo de fracturas y fallas tipo graben que siguen patrones ortogonales en la región, pertenecen al Oligoceno (32–27 Ma), y se han identificado en una secuencia inferior y otra superior; esta última, la más joven, es rica en potasio y sílice y contiene localmente topacio, cuya estructura es rica en el elemento flúor. El topacio ((Al2 SiO4 (F,OH)2), presente en estas rocas riolíticas, representa otra posible fuente de F , aunque se trata de un mineral menos soluble que la fluorita. La disolución de otros minerales, como la biotita, es también factible ya que este mineral, que se presenta saturado en el agua subterránea, puede contener F en su estructura.

En cuanto al iAs, éste forma parte de la estructura química de más de doscientos minerales, principalmente asociados a yacimientos minerales ricos en sulfuros, aunque también se encuentra presente en menor proporción en otros minerales formadores de rocas. Se ha encontrado que las rocas riolíticas–ignimbríticas, además del F, también contienen cantidades importantes arsénico en estructuras minerales, que pueden ser incorporadas en solución durante su contacto con el agua subterránea, en condiciones de oxidación (Robertson, 1989; Smedley y Kinniburg, 2002; Bundschuh et al., 2004; Vivona et al., 2007).

En la zona de estudio, las correlaciones positivas de iAs con HCO3 y Na+ en particular y la saturación del agua con respecto a varios minerales presentes en el acuífero en rocas volcánicas, indican que su origen se relaciona con la interacción agua–roca. Esta relación también corresponde con tendencias reportadas en otros sitios en el mundo, como El Chaco y La Pampa, Argentina (Smedley y Kinniburg, 2002; Bundschuh et al., 2004) y en la Provincia de Sierras y cuencas de Arizona, Estados Unidos (Robertson, 1989), donde existen acuíferos volcánicos de composición mineralógica similares. Robertson (1989) encontró que aún a profundidades de 600 metros existía la presencia de oxígeno disuelto, y con edades del agua superiores a 10,000 años.

Sin embargo, también existen en la cuenca tres yacimientos minerales importantes, de origen epitermal con venas ricas en cuarzo y calcita con mineralización de metales preciosos asociados a sulfuros de Cu, Pb y Zn: Guanajuato y Mineral de Pozos y otra, San Antón de las Minas, de menor importancia (Figura 2). El distrito minero de León–Guanajuato produce Au, Ag, Pb, Zn, Cu y W, mientras que la región Pozos–Victoria, entre los años 1880 y 1926, produjo Au, Ag, Pb, Zn y Cu (Consejo de Recursos Minerales, 1992). Estos yacimientos representan una fuente importante de arsenopirita (AsFeS), entre otros minerales ricos en arsénico.Sin embargo, todos los minerales de sulfuros y óxidos de iAs se presentan extremadamente subsaturados, adicionalmente con correlaciones muy pobres con SO42– y Fe.

Modelo conceptual de la movilización de iAs y F

Aunque la explotación del acuífero granular empezó a principios de la década de 1950, los efectos en la salud, particularmente del F que son mucho más rápidos y visibles por la pigmentación de los dientes, se manifiesta en niños cuyas edades eran hasta de 15 años en el año 2003, cuando se realizaron las primeras evaluaciones en comunidades ubicadas en la zona de altas concentraciones de iAs y F; habitantes de mayor edad no presentan evidencias visibles de haber consumido agua en concentraciones nocivas. Por lo que la explotación del agua subterránea con concentraciones tóxicas inició en algún momento en la década de 1980, cuando la profundidad al nivel piezométrico se encontraba a aproximadamente 80 metros, aunque el cono regional de abatimiento ya se definía desde la década de 1970 (Ortega–Guerrero, 2001). Además de la evidencia de fluorosis dental en niños hasta de quince años, existen observaciones de numerosos agricultores sobre la sodificación progresiva del suelo e incremento de la temperatura en los pozos en la misma zona del cono de abatimiento regional por bombeo. Ambos procesos están asociados a propiedades del acuífero volcánico (Carrillo–Rivera et al., 1996, 2002; Ortega–Guerrero et al., 2002).

En los alrededores de la ciudad de San Luis Potosí, ubicada a tan solo 100 km al norte de la cuenca de estudio, la magnitud de la explotación del acuífero granular, con T<25 °C y baja concentración de iones principales y traza, está permitiendo la migración ascendente de agua del acuífero subyacente de tipo fracturado en ignimbritas–riolitas, el cual contiene agua termal (T>30 °C) de menor densidad y rica en F, Li+ y Na+ (Carrillo–Rivera et al.,1996, 2002). Esto ha generado mezclas que sobrepasan los LMP de F para uso potable desde principios de la década de 1980 y que en el pasado dieron lugar a numerosos casos de fluorosis dental en la población (Sarabia, 1989; Medellín–Milán et al., 1993; Grimaldo et al., 1995; Díaz–Barriga et al., 1997).

De acuerdo con estas evidencias se propone el siguiente modelo conceptual que explicaría la movilización del iAs y del F+ en el área de estudio, tal como se ilustra en la Figura 11. En esta Figura se presenta la posición del contacto del acuífero granular asociado principalmente a flujos locales, a excepción de las proximidades del Río La Laja, con el acuífero volcánico fracturado asociado a flujos intermedios y regionales. En condiciones naturales se presenta la posición del nivel freático cercana a la superficie del terreno y, a cierta profundidad, la interfase con el agua termal que, de acuerdo con Carrillo–Rivera et al. (2002), se localizaría por debajo del contacto entre los dos acuíferos. A medida que se redujo la carga hidráulica en el acuífero granular por el intenso bombeo a lo largo de varias décadas, se formó progresivamente un cono regional de abatimiento, representado en la figura. Con el desarrollo del cono piezométrico, la forma y posición de la interfase evolucionaría con el tiempo formando un cono invertido de agua termal, de menor densidad, rica en iAs, F, HCO3, Na+ y Li+, que avanzaría progresivamente hacia arriba. La evolución de la interfase tendría impactos progresivos y diferentes en los pozos de la zona, dependiendo de su profundidad y posición dentro del cono regional. Para fines prácticos se considera que los efectos del bombeo individual en cada pozo son despreciables comparados con el cono regional. En el caso del pozo P1, la composición química reflejaría la del acuífero granular (HCO3 – Ca2+); en contraste, la influencia de la interfase con agua termal y rica iAs, F, HCO3, Na+ y Li+ se manifestaría en diferentes proporciones en los pozos P2 y P3, siendo mayor en este último por su profundidad y posición dentro del cono regional. Los diagramas de Stiff muestran la influencia del agua proveniente de mayor profundidad en el acuífero volcánico fracturado. De igual manera, la edad del agua subterránea sería cada vez más antigua, tal como lo indican las edades de C13/C14, que en la zona del cono de abatimiento regional son de hasta 35,000 años y que progresivamente podrían ser mayores. Este modelo conceptual es objeto de investigación por medio de análisis numéricos.

Comparada con la situación de la ciudad de San Luis Potosí, la conexión hidráulica vertical que se observa en esta porción de la CI se encuentra en un proceso transitorio, en el cuál, a medida que la magnitud del bombeo en el acuífero granular se intensifique, la influencia vertical del acuífero fracturado y la extensión del cono de abatimiento serán mayores, y por tanto la extensión de las áreas impactadas y el número de comunidades rurales afectadas. Es de esperarse también que las consecuencias en la salud humana, en el suelo, en la producción agrícola y en el ambiente, serán cada vez más severas.

 

CONCLUSIONES

La cuenca de la Independencia (CI), también conocida como cuenca Alta del Río La Laja, con un área de 7,000 km2, se ubica al noreste del estado de Guanajuato, y es tributaria de la cuenca Lerma–Chapala. En esta cuenca domina un acuífero fracturado en rocas volcánicas ácidas (ignimbritas–riolitas) que delimitan el perímetro de la cuenca, donde constituyen la zona principal de recarga. Este acuífero se extiende desde las montañas hacia su parte central, donde constituye un graben y la base de un acuífero granular que rellena dicho graben. La presencia, distribución, origen, movilidad de iAs y F, importantes por sus impactos a la salud humana y al ambiente, así como de otros elementos disueltos en el agua subterránea en la CI, se estudian por medio de análisis químicos y de isótopos estables y radioactivos en muestras de agua provenientes de pozos distribuidos en toda la cuenca; soportados por las condiciones de flujo de agua subterránea.

Existen en la actualidad (2008) más de 3,000 pozos en la cuenca de Independencia, los cuales extraen más de 1,000 millones de m3/año. Como consecuencia de la magnitud y concentración del bombeo, se han generado cuatro conos regionales de abatimiento piezométrico principales. El más importante se ubica en la porción centro–noreste de la cuenca, entre San Luis de la Paz, San Diego de la Unión y Dolores Hidalgo, donde existe un acelerado ritmo de descenso del nivel piezométrico del orden de 2 a 7 metros por año durante la décadas de 1990 y que aparentemente continua en la década de 2000. El abatimiento total en 1998 era de más de 120 metros y en 2008 es cercano a 200 metros de profundidad.

Los resultados químicos e isotópicos indican que en el interior y entorno del cono regional de abatimiento piezométrico principal es donde se detectaron las concentraciones de iAs y F+ más altas de la cuenca, en un área de influencia de aproximadamente 500 km2. Las concentraciones de ambos elementos se encuentran en valores hasta casi cinco veces por encima de los límites máximos permisibles (LMP) de la norma mexicana, para arsénico, y hasta 10 veces por encima de los LMP para fluoruro. Adicionalmente, en esta depresión piezométrica regional no se detectó la presencia de tritio enriquecido, indicador de agua joven, mientras que la técnica de 13C/14C mostró edades entre 10,000 y 35,000 años. Los isótopos estables indican que el agua subterránea en todos los casos tiene un origen meteórico y que no estuvo sujeta a procesos de evaporación. Estos isótopos no indican ningún proceso de enriquecimiento asociado a evaporación del agua en una cuenca cerrada.

En la zona donde se identificaron las mayores concentraciones de iAs y F, se seleccionaron 33 muestras de agua subterránea para realizar un análisis más detallados de la hidrogeoquímica y origen de estos dos elementos. Estas muestras indican la presencia dos familias dominantes de agua una de tipo bicarbonatado–cálcico, asociada al acuífero granular, y otra de tipo bicarbonatado–sódico, asociado al acuífero fracturado.

La matriz de correlación del iAs y F con la temperatura, pH, iones mayores y algunos elementos traza muestra correlaciones positivas de la concentración de iAs con las de Na+ (R2=0.788), HCO3 (R2=0.736), Ni (R2=0.736) y pH (R2=0.536); observándose correlaciones negativas con Ca2+ (R2= –0.582), Ba (R2= –0.69), y Rb (R2= –0.64). En cuanto al F, éste correlaciona positivamente con el Li+ (R2=0.899), Cl– (R2=0.825), Cs (R2=0.94), Br (R2=0.63) y la temperatura (R2=0.627); mientras que existen correlaciones negativas con las concentraciones de K+ (R2=–0.67), Mg2+ (–0.65) y Ca2+ (R2=–0.53). Con base en ello y en la modelación hidrogeoquímica, el origen del iAs se asocia a las reacciones de disolución de silicatos, en particular de los feldespatos y la biotita, que se encuentran saturados y sobresaturados en el agua subterránea. Los minerales de arsénico, incluyendo la pirita y la arsenopirita se presentan extremadamente subsaturados y con correlaciones muy bajas con SO42– y Fe, lo que indica que la oxidación de sulfuros es un proceso de menor importancia en la producción de iAs. El origen del F se asocia tanto a la disolución de fluorita como de silicatos, al agua termal y a un mayor tiempo de residencia.

No se encontraron correlaciones de iAs y F con otros metaloides pesados y elementos formadores de óxidos (selenio, antimonio, vanadio, cromo, uranio, renio), ni con otros elementos traza en solución (plomo, cobre, níquel, cadmio, cobalto, zinc). Los iones sensibles a condiciones redox (Sb, Sn, Cr, Bi, SO42– y Mn) indican que dominan condiciones oxidantes en ambos acuíferos.

El ascenso vertical de agua termal, más antigua, rica en iAs, F y otros iones desde el acuífero fracturado, inducido por la intensa explotación del acuífero granular, es el proceso dominante de migración de estos compuestos; este proceso se encuentra en un estado transitorio y es objeto de investigación actual. Es de esperarse también que a medida que sigan reduciéndose los espesores de agua fría en el acuífero granular, la influencia del iAs y F provenientes del acuífero fracturado sea cada vez mayor, por efecto de densidad del agua termal, y que a medida que los conos de abatimiento incrementen su radio de influencia, la extensión de las áreas impactadas será progresivamente mayor. El número de pozos afectados también se incrementaría, incluyendo pozos destinados a consumo humano y muchos más para riego agrícola, por lo que estos elementos podrían integrarse también al suelo, al aire y a los alimentos tanto para consumo humano como para ganado y sus derivados, e industriales. El escenario más crítico se presentaría en comunidades rurales donde los controles de calidad del agua de consumo humano no existen o son mínimos.

Adicionalmente, la extensión de los conos regionales de abatimiento piezométrico hacia las zonas con yacimientos minerales podría dar lugar al movimiento horizontal de diversos elementos en el futuro. Sin embargo, este proceso sería de menor magnitud que la conexión vertical con el acuífero fracturado y mucho más puntual, pero seguramente crítico para la contaminación de pozos de agua potable en pequeñas comunidades. Por tales motivos, las acciones para reducir, equilibrar e invertir los efectos ocasionados por un mal uso, manejo y administración del agua en la cuenca, en particular del agua subterránea, son urgentes.

 

AGRADECIMIENTOS

El autor desea extender su agradecimiento las siguientes personas y colaboradores: Arnulfo Montes de la Vega, Jesús Hernández y Hernández (†), Jaime Ocampo, Ramón Aguilar y Amabel Ortega. A Francisco Urrutia por el manejo del SIG. Por el apoyo en la colecta de muestras en campo a Carlos Vargas, Eloisa Domínguez, Eduardo Alanís, Jürgen Malknech e Ignacio Navarro. Los recursos para esta investigación fueron proporcionados por la Secretaría de Desarrollo Social del estado de Guanajuato a través de los Consejos para el Desarrollo Regional del Norte y Noreste (1998–2001), donde el autor actuó como responsable científico de los convenios.

 

REFERENCIAS

Alanís–Ruiz, E., 2002, Evolución geológica de la Cuenca de la Independencia y sus alrededores, estado de Guanajuato, México: Universidad Nacional Autónoma de México, Facultad de Ingeniería, Tesis de licenciatura, 96 pp.        [ Links ]

Amini, M., Abbaspour, K.C., Berg, M., Winkel, M., Hug., S.J., Hoehn, E., Johnson, A., 2008, Statistical modelling of global geogenic arsenic contamination in groundwater: Environmental Science & Technology, 42, 3669–3675.        [ Links ]

Aranda–Gómez, J.J., McDowell, F.W.,1998, Paleogene extension in the southern Basin and Range Province of Mexico: Syn–depositional tilting of the Eocene red beds and Oligocene volcanic rocks in the Guanajuato mining district: International Geology Review, 40, 116–134.        [ Links ]

Aranda–Gómez, J.J., Aranda–Gómez, J.M., Nieto–Samaniego, A.F., 1989, Consideraciones acerca de la evolución tectónica durante el Cenozoico de la Sierra de Guanajuato y la parte meridional de la Mesa Central: Revista del Instituto de Geología, Universidad Nacional Autónoma de México, 8(1), 33–56.        [ Links ]

Bundschuh, J., Farias, B., Martin, R., Storniolo, A. Bhattacharya, P., Cortes, J., Bonorino, G., Albouy, R., 2004, Groundwater arsenic in the Chaco–Pampean Plain, Argentina: case study from Robles county, Santiago del Estero Province: Applied Geochemistry, 19, 231–243.        [ Links ]

Cardona–Benavides, A., 1990, Caracterización físico–química y origen de los sólidos disueltos en el agua subterránea en el Valle de San Luis Potosí: su relación con el sistema de flujo: México, Universidad Autónoma de Nuevo León, Facultad de Ingeniería Civil, Tesis de Maestría, 97 pp.        [ Links ]

Carrillo–Rivera J.J., Armienta, M.A., 1989, Diferenciación de la contaminación inorgánica de las aguas subterráneas del valle de la ciudad de San Luis Potosí, México: Geofísica Internacional, 28(4), 763–783.        [ Links ]

Carrillo–Rivera, J.J., Cardona, A., Moss, D., 1996, Importance of the vertical component of groundwater flow: a hydrochemical approach in the valley of San Luis Potosí, México: Journal of Hydrology, 185, 23–44.        [ Links ]

Carrillo–Rivera, J.J, Cardona, A., Edmunds, W.M., 2002, Use of abstraction regime and knowledge of hydrogeological conditions to control high–fluoride concentration in abstracted groundwater: San Luis Potosí basin, México. Journal of Hydrology 261, 24–47.        [ Links ]

Cebrián, M.E., Albores, A., Aguilar, M., Blakely, E., 1983, Chronic arsenic poisoning in the north of Mexico: Human Toxicology, 2, 121–133.        [ Links ]

Cerca–Martínez, L.M., 1998, Relación estratigráfica y geocronológica entre el volcanismo de la Sierra Madre Occidental y el Cinturón Volcánico Mexicano en la parte sur de la Sierra de Guanajuato: Ensenada, México, CICESE, División de Ciencias de la Tierra. Departamento de Geología, Tesis de Maestría, 105 p.        [ Links ]

Chávez, A., Bogrand R., Ramírez, J., Pérez–Hidalgo, C., Hernández, M., Rojas A., 1964, Estudios en una comunidad con arsenicismo crónico endémico, I. Datos generales de la comunidad: Salud Pública de México, época V, 6(3), 421–433.        [ Links ]

Chiodi, M., Monod, O., Busnardo, R., Gaspard, D., Sánchez, A., Yta, M. 1988, Une discordance ante albienne datée par une faune d'ammonites at brachiopodes de type Tèthysien au Mexique Central: Geobios, 21, 125–135.        [ Links ]

Comisión Nacional del Agua, 2000, Determinación de la disponibilidad de agua en el acuífero de Laguna Seca, Estado de Guanajuato (en línea): Comisión Nacional del Agua, <http://www.conagua.gob.mx/CONAGUA07/Noticias/DR_1104.pdf>, 31 pp.        [ Links ]

Consejo de Recursos Minerales, 1992. Monografía Geológico–Minera del Estado de Guanajuato: México, Secretaría de Energía, Minas e Industria Paraestatal, Consejo de Recursos Minerales, Publicación M–6e., 136 p.        [ Links ]

Craig, H., 1961, Isotopic variations in meteoric water: Science, 133, 1702–1703.        [ Links ]

Del Razo, L.M., Arellano, M.A., Cebrián, M.E., 1993, The oxidation states of arsenic in well–water from a chronic arsenicism area of northern México. Environmental pollution, 64, 143–153.        [ Links ]

Díaz–Barriga, F., Navarro–Quezada, A., Grijalva, M.I., Grimaldo, M., Loyola–Rodríguez, J.P., Ortiz, M.D., 1997, Endemic fluorosis in México: Fluoride, 30(4), 233–239.        [ Links ]

Edmunds, M., Smedley, P., 2005, Fluoride in natural waters –occurrence, controls and health aspects, en Selinus, O., Alloway, B., Centeno, J.A., Finkleman, R.B., Fuge, R., Lindh, U., Smedley, P. (eds.), Essentials of Medical Geology: Impacts of the Natural Environment on Public Health: Amsterdam, Elsevier Academic Press, 812 pp.        [ Links ]

Elías–Herera, M., Ortega–Gutierrez, F., 1998, The Early Cretaceous Arperos oceanic basin (western Mexico). Geochemical evidence for an aseismic ridge formed near a spreading center – Comment: Tectonophysics, 292, 321–326.        [ Links ]

Ferrari, L., Garduño, V.H., Pasquarè, G., Tibaldi, A., 1994, Volcanic and tectonic evolution of central Mexico: Oligocene to present:Geofísica Internacional, 33(1), 91–105.        [ Links ]

Grimaldo, M., Borja–Aburto, V.H., Ramírez, A.L., Ponce, L., Rosas, M., Díaz–Barriga, F., 1995, Endemic fluorosis in San Luis Potosí, México: Environmental Research, 68, 25–30.        [ Links ]

Hasenaka, T., Yoshida, T., Ishikawa, K., Ramos–Salinas, A., 1994, Actividad volcánica de la región de La Ordeña, México. Petrología y Geoquímica de productos volcánicos de una etapa temprana de actividad del Cinturón Volcánico Mexicano (en japonés): Japón, Tohoku University, Laboratorio de Ciencias Nucleares, Informe de Investigación, 27(1), 27–40.        [ Links ]

Kharaka, Y.K, Carothers, W,W., 1986, Oxygen and hydrogen isotope geochemistry of deep basin brines, en Fritz, J.C.F. (ed.), Handbook of Environmental Isotope Geochemistry, 2. The Terrestrial Environment B: Ámsterdam, Elsevier, 305–353.        [ Links ]

Kowallis, B.J., Carl, C.S., Carranza–Castañeda, O., Millar, W.E. Tingey, D.G., 1998, Fission–track and single–crystal 40Ar/39Ar laser–fusion ages from volcanic ash layers in fossil–bearing Pliocene sediments in central México: Revista Mexicana de Ciencias Geológicas,15(2), 157–160.        [ Links ]

Labarthe–Hernández, G., Tristán–González, M., Aranda–Gómez. J.J., 1982, Revisión estratigráfica del Cenozoico en la parte central del estado de San Luis Potosí: México, Universidad Autónoma de San Luis Potosí, Instituto Geológico y Metalúrgico, Folleto Técnico No. 85, 208 pp.        [ Links ]

Lapierre, H., Tardy, M., Coulon, C., Ortiz–Hernández, E., Bourdier, J.–L., Martínez–Reyes, J., Freydier, C., 1992, Caractérisation, genèse et évolution géodynamique du terrain de Guerrero (Mexique Occidental): Canadian Journal of Earth Sciences, 29. 2478–2489.        [ Links ]

Medellín–Milán, P., Alfaro–de la Torre, M.C., de Lira–Santillán, A.G., Nieto–Ahumada, B., Sarabia–Mléndez, I., 1993, Fluorides in drinking water its correlation with parameters of the aquifer and effects on dental health in the City of San Luis Potosí, México, en Proceedings of Water Quality Technology Conference: American Water Works Association, 1001–1024.        [ Links ]

Nieto–Samaniego, A.F., 1990, Fallamiento y estratigrafía cenozoicos en la parte sudoriental de la Sierra de Guanajuato: Universidad Nacional Autónoma de México, Revista del Instituto de Geología, 9(2), 146–155.        [ Links ]

Nieto–Samaniego, A.F., García–Dobargones Bueno, J.E., Aguirre–Maese, A.L., 1992, Interpretación estructural de los rasgos geomorfológicos principales de la Sierra de Guanajuato: Revista del Instituto de Geología, Universidad Nacional Autónoma de México, 10(1), 1–5.        [ Links ]

Nieto–Samaniego, A.F., Macias–Romo, C., Alaníz–Álvarez, S.A., 1996, Nuevas edades isotópicas de la cubierta volcánica cenozoica de la parte meridional de la Mesa Central, México: Revista Mexicana de Ciencias Geológicas, 13(1), 117–122.        [ Links ]

Norma Oficial Mexicana (NOM), 2000, Modificación a la Norma Oficial Mexicana NOM–127–SSA1–1994, Salud ambiental. Agua para uso y consumo humano. Límites permisibles de calidad y tratamientos a que debe someterse el agua para su potabilización: México, Secretaría de Salud, publicado en el Diario Oficial de la Federación el 22 de noviembre de 2000.        [ Links ]

Orozco–Esquivel, M.T., Nieto–Samaniego, A.F., Alaniz–Alvarez, S.A., 2002, Origin of rhyolitic lavas in the Mesa Central, México, by crustal melting related to extensión: Journal of Volcanology and Geothermal Research, 118, 37–56.        [ Links ]

Ortega–Guerrero, M.A., 2001. Estudio del acuífero del Río La Laja, municipios de Dolores Hidalgo, San Miguel de Allende, y San Felipe: Universidad Nacional Autónoma de México, Instituto de Geología, Reporte Interno, mapas y texto.        [ Links ]

Ortega–Guerrero, A., 2003a. Arsenic in groundwater at the southernmost end of the Cordilleran (resumen), en Cordilleran Section– 99th Annual Meeting, Groundwater Resources Management in the Cordillera: Quality and conservation, Puerto Vallarta, Mexico: Geological Society of America, Paper No. 14–7.        [ Links ]

Ortega–Guerrero, A., 2003b, Origin and geochemical evolution of groundwater in a closed–basin clayey aquitard, Northern Mexico: Journal of Hydrology, 284, 26–44.        [ Links ]

Ortega–Guerrero, M.A., Castellanos, J.Z., Aguilar G.R., Vázquez–Alarcón, A., Alanis–R., E., Vargas–C., C., Urrutia–E., F., 2002, A conceptual model for increases of sodium, sar, alkalinity and ph at the independence aquifer in Guanajuato, Mexico: TERRA Latinoamericana, 20(2), 199–207.        [ Links ]

Ortiz, D., Castro, L., Turrubiartes, F., Milan, J., Díaz–Barriga, F., 1998, Assessment of exposure to fluoride from drinking water in Durango, México, using a geographic information system: Fluoride, 31(4), 183–187.        [ Links ]

Ortiz–Hernández, L.E., Chiodi, M., Lapierre, H., Monod, O., Calvet, P., 1991, El arco intraoceánico alóctono (Cretácico Inferior) de Guanajuato: Características petrográficas, geoquímicas, estructurales e isotópicas del complejo filoniano de las lavas basálticas asociadas; implicaciones geodinámicas: Revista del Instituto de Geología, Universidad Nacional Autónoma de México, 9(2), 126–145.        [ Links ]

Palacios–Vélez, E., López–López, C., 2004, La sobreexplotación de las cuencas hidrológicas: el caso de la cuenca del Río de La Laja, Guanajuato, en Cotler, H. (compiladora), El Manejo Integral de Cuencas en México: México, Secretaría del Medio Ambiente y Recursos Naturales, Instituto Nacional de Ecología, 117–131.        [ Links ]

Parkhurst, D.L., Thorstenson, D.C., Plummer, L.N., 1980. PHREEQE, A computer program for geochemical calculations: United States Geological Survey, Water Resources Investigations Report 80–96, 210 p.        [ Links ]

Pasquaré, G., Ferrari, L., Garduño, V.H., Tibaldi, A., Vezzoli, L., 1991, Geologic map of the central sector of the Mexican Volcanic Belt, States of Guanajuato and Michoacán, México: Geological Society of America, Map and Chart Series, MCH 072, 1 sheet, 21p.        [ Links ]

Pérez–Venzor, J.A., Aranda–Gómez, J.J., McDowell, F.W., Solorio–Munguia, J.G.,1996, Bosquejo de la evolución geológica del volcán Palo Huérfano, Guanajuato: Revista Mexicana de Ciencias Geológicas, 13, 174–183.        [ Links ]

Robertson, F.N., 1989, Arsenic in ground water under oxidizing conditions, south–west United States: Environmental Geochemical Health, 11, 171–185.        [ Links ]

Sarabia, M.F.,1989, Contenido de fluoruros en el agua de consumo y sus efectos en el tejido dental, San Luis Potosí, México: México, Universidad Autónoma de San Luis Potosí, Tesis de Maestría, 187 pp.        [ Links ]

Smedley, P.L., Kinniburg, D.G., 2002, A review of the source, behaviour and distribution of arsenic in natural waters: Applied Geochemistry, 17, 517–568.        [ Links ]

Soto, P., Lara, F. Portillo, L., Cianca, A. 2004. An overview of arsenic's groundwater occurrence in México, en XXXIII International Groundwater Congress of the International Association of Hydrogeologists (IAH), Zacatecas, México.        [ Links ]

Stumm, W., Morgan, J.J., 1981, Aquatic Chemistry: USA, John Wiley and Sons Inc., 2a edición, 780 pp.        [ Links ]

Tóth, J., 1999, Groundwater as a geologic agent: An overview of the causes, processes and manifestations: Hydrogeology Journal. 7(1), 1–14.        [ Links ]

Travi, Y., Faye, A., 1992, Fluoride in paleocene aquifers in Senegal: An example of the contamination of a confined aquifer by its roof zone, aggravated by intensive exploitation, en Simmers, I., Villaroya, F., Rebello, L.F. (eds.) Selected papers on Aquifer Overexploitation from the 23rd Congress of the IAH, Puerto de la Cruz, Tenerife, Spain April 15–19: International Association of Hydrogeologists, Selected Papers, 3, 145–154.        [ Links ]

Vivona, R., Preziosi, E., Madé, B., Giuliano, G., 2007, Occurrence of minor toxic elements in volcanic–sedimentary aquifers: a case study in central Italy: Hydrogeology Journal, 15(6), 1183–1196.        [ Links ]

Wang, S.X., Wang, Z.H., Cheng, X.T., Li, J., Sang, Z.P., Zhang, X.D., Han, L.L., Qiao, S.Y., Wu, Z.M., Wang, Z.Q., 2007, Arsenic and fluoride exposure in drinking water: children's IQ and growth in Shanyin County, Shanxi province, China: Environmental Health Perspectives 115(4):643–7.        [ Links ]

World Health Organization (WHO), 2004, Fluoride in drinking–water. Background document for development of WHO Guidelines for drinking–water quality: World Health Organization, 9 p.        [ Links ]

Creative Commons License Todo el contenido de esta revista, excepto dónde está identificado, está bajo una Licencia Creative Commons