Servicios Personalizados
Revista
Articulo
Indicadores
-
Citado por SciELO -
Accesos
Links relacionados
-
Similares en
SciELO
Compartir
Revista de la Sociedad Química de México
versión impresa ISSN 0583-7693
Rev. Soc. Quím. Méx vol.47 no.4 Ciudad de México oct./dic. 2003
Investigación
A chemical study of the mycelium of Alternaria tagetica
Gabriela Arana-López, Marcela Gamboa-Angulo, Karlina García-Sosa, Fabiola Escalante-Erosa, Luis M. Peña-Rodríguez*
Grupo de Química Orgánica, Unidad de Biotecnología, Centro de Investigación Científica de Yucatán. Calle 43 # 130 Col. Chuburná de Hidalgo, Mérida, Yucatán, México 97200. Email: lmanuel@cicy.mx
Recibido el 9 de septiembre del 2003.
Aceptado el 2 de diciembre del 2003.
Abstract
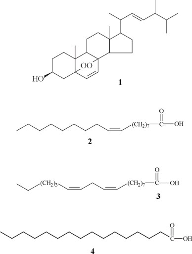
Purification of the ethyl acetate extract of the mycelium of Alternaria tagetica resulted in the isolation of two major components, identified as ergosterol endoperoxide (1) and a complex mixture of triglicerides (5a-5f). While the former was identified by comparing its spectroscopic data with those in the literature, individual triglicerides were identified after careful analysis of their FABMS data and the results obtained from the GC/MS analysis of their hydrolysis products.
Key words: Alternaria tagetica, mycelium, ergosterol endoperoxide, triglicerides, marigold, fatty acids.
Resumen
La purificación del extracto de acetato de etilo del micelio de Alternaria tagetica resultó en el aislamiento de dos componentes mayoritarios, identificados como endoperóxido de ergosterol (1) y una mezcla compleja de triglicéridos (5a-5f). La identificación se realizó mediante la comparación de sus datos espectroscópicos con los de la literatura. Los triglicéridos fueron identificados después de un análisis cuidadoso de sus datos de FABMS y los resultados obtenidos en el análisis de GC/MS de sus productos hidrolizados.
Palabras clave: Alternaria tagetica, micelio, endoperóxido de ergosterol, triglicéridos, Cempazuchitl, ácidos grasos.
It is estimated that more than 75% of plant diseases are caused by fungal infections. This causes a lower production of economically important crops and limits agricultural development [1-5]
One phytopathogen of significant economical importance is Alternaria tagetica Shome & Mustafee, recognized as the causal agent of early blight in stems, leaves and flowers of marigold (Tagetes erecta) plants. Pigments extracted from marigold flowers are widely used in the textile and food industries and it has been reported that A. tagetica infections can cause up to a 100% reduction in the yield of flower pigments [6,7,8]
Although there exist in the literature several reports on the phytotoxic metabolites of A. tagetica when grown in liquid culture [9,10], to date there is no chemotaxonomic knowledge on the mycelium of this fungus. We wish to report herein the isolation and identification of ergosterol endoperoxide (1) and a complex mixture of triglicerides (5a-5f) as the major chemical components of the mycelium of A. tagetica.
Results
Initial solvent partition of the ethyl acetate extract of the mycelium of A. tagetica using hexane and ethyl acetate, produced the corresponding low and medium-polarity fractions. Purification of the low polarity fraction yielded two major components in pure form. The spectroscopic data of the most polar component was in agreement with those reported in the literature for ergosterol endoperoxide (1) [11,12], a product known to be an artifact resulting from the spontaneous reaction between ergosterol and atmospheric oxygen [13] or through simultaneous photooxidation and enzymatic reactions [14].
The IR spectrum of the less polar and most abundant component presented characteristic ester-group absorption bands at 1739 and 1321 cm−1. The presence of an ester group in the structure of the second metabolite was further suggested by two oxygenated methylene signals at δ 4.15 and 4.30 ppm in its 1H NMR spectrum and the corresponding ester carbonyl-carbon signals at δ 173.43, 173.02 ppm in its 13C NMR spectrum. However, and even though a number of additional signals could be clearly observed in the 1H NMR spectrum (e.g. vinylic, allylic, and methyl-group protons), it was evident that there were significant differences in their integration values, thus indicating the presence of more than one product. A number of attempts were made to separate the mixture into its individual components, including extensive tlc analysis and chemical modification of the mixture, but they all proved unsuccessful. Still, the spectroscopic data strongly suggested that the second component was of a trigliceride nature.
Alkaline hydrolysis of the second component yielded the expected product of higher polarity on tlc, thus confirming the trigliceride nature of the starting material. The IR spectrum of the hydrolysis product showed the characteristic band for a carboxylic acid carbonyl group at 1707 cm−1 and the lack of absorption bands in the ester region of the spectrum. Similarly the 1H NMR spectrum of the hydrolysis product showed no signals corresponding to oxygenated methylenes or methines, while the signals corresponding to vinylic, allylic and aliphatic methylenes and methyl protons remained with chemical shift values similar to those observed in the spectrum of the original trigliceride.
A GC/MS analysis of the hydrolysis product showed the presence of two major components in a 2:1 ratio. The mass spectrum of the major component (tR= 23.07 min) presented two molecular ion peaks at m/z 280 and 282, while the minor component (tR= 20.85 min) showed a molecular ion peak at m/z 256. These data indicated that the major component of the hydrolysis product was in fact a mixture of two fatty acids, oleic (C18H34O2, 2), acid linoleic (C18H32O2, 3); while the minor component was identified as palmitic acid (C16H32O2, 4).

A FAB-MS analysis of the original trigliceride showed the presence of six protonated molecular ion peaks at m/z 829, 831, 855, 857, 881 and 883, together with four distinct protonated fragments ion peaks at m/z 281, 279, 253 and 258. The presence of the four fragment ions, combined with the results of the GC/MS analysis of the hydrolysis product, allowed for the identification of the four fatty acids (oleic, linoleic, palmitoleic and palmitic acid) present in the trigliceride. Taking into account a trigliceride structure and the molecular ion peaks observed in the FAB-MS of the second component, there are limited ways in which the four fatty acids can combine with glycerol to produce triglicerides that fit the protonated molecular ion peaks observed in the FAB-MS of the original sample. On the basis of these results the second component can be identified as a mixture of the triglicerides 5a-5f.

Discussion
The occurrence of ergosterol endoperoxide (1) in the mycelium of A. tagetica is not surprising. Fungal mycelial masses are characterized for their high sterol content, with ergosterol being the most abundant component (ca 80-90% of total sterols) [14-16]. Ergosterol is a synthetic precursor of calciferol (Vitamin D2) a metabolite present in the fruiting body of some edible fungi [16,17].
Phytopathogenic fungi are one of the main causes of economic losses in agriculture and important efforts are being made for the development of fungicides. Taking into account that the majority of the most efficient fungicides work by inhibiting sterol biosynthesis, knowing the sterol composition produced by the fungus represents an important tool for the development of new agents for pathogen control [16].
Taking into account that the trigliceride mixture was obtained in a high percentage (9.7%) from the mycelium of A. tagetica, and that 65.3% of the hydrolysis corresponds to linoleic acid, it can be affirmed that 6.5% of the total mycelial mat corresponds to linoleic acid. However, this value is low when compared to the amount of linoleic acid obtained from sunflower, sesame or saffron seeds (35 to 80%) [18,19]. Linoleic acid is a polyunsaturated essential fatty acid, necessary for the development and the normal functioning of animal and human tissue [19].
Saturated and unsaturated C10-C26 fatty acids are synthesized by fungi from carbohydrates, particularly when cultures are maintained in an aereated, sugar-rich, medium with low nitrogen content. The predominant fatty acids are C16 and C18, with palmitic acid being the main C16 acid and both oleic and linoleic acids being the most important C18´s [20,21].
It is important to mention that a significant number of extracts from fungi belonging to the Zigomicetes, Ascomicetes, Basidomicetes and Deuteromicetes, known to produce fatty acid mixtures, have shown nematicidal activity [22]. The mycelial extract of A. tagetica has shown activity when tested in the antimicrobial assay; additional evaluations in various assays are underway, the results of these tests will be published in due course.
Materials and methods
General. IR. spectra were determined using a Nicolet Prótege 460 spectrophotometer. Gas Chromatography-Mass Spectrometry (GC-MS) analyses were carried out in a Hewlett Packard 5890 gas chromatograph coupled to a 5971A mass selective detector (GC conditions: column Hp Ultra 1, flow 1mL/min; oven temp 70 °C to 290 °C; gradient 8 °C/min; injector 290 °C, detector 290°C). The 1H NMR (300MHz) and 13C NMR (75MHz) spectra were recorded in a JEOL Eclipse 300 MHz spectrometer, using CDCl3 as solvent and tetramethylsilane (TMS) as internal standard. Vacuum liquid chromatography (VLC) [23] was run using tlc-grade silica gel 60 GF254 (Merck), while flash column chromatography [24] purifications were run using silica gel (230-400 mesh, Merck).
Fungal material. Cultures of Alternaria tagetica Shome & Mustafee (ATCC 58771), grown in liquid CET medium (Casamino acid enriched with a Tagetes erecta infusion) for 28 days, at 26 °C and natural light conditions [25], were filtered and the mycelium was frozen immediately.
Extraction and isolation. The frozen mycelial mats from 37 L of culture media were lyophilized and ground to produce 407.7 g of powdered material, which was successively extracted for 24 h with ethyl acetate and methanol using a soxhlet apparatus.
The crude ethyl acetate extract (105.0 g) was suspended in a mixture of water: methanol (9:1, v/v, 10 L) and the resulting aqueous suspension was successively partitioned with hexane (three times, 2:1, v/v) and ethyl acetate (three times, 2:1, v/v) to yield the corresponding low (81.5 g) and medium polarity (10.6 g) fractions, respectively. A portion (10.2 g) of the low polarity fraction was purified by VLC using a gradient elution with mixtures of hexane and acetone, to produce 16 fractions (A-P). Successive purifications of fraction I (113.1 mg) using flash column chromatography (hexane:acetone 80:20 v/v) and preparative tlc (benzene:ethyl acetate 80:20, v/v, eluted twice), yielded a colorless oil, soluble in chloroform, that appeared as single spot on tlc (Rf 0.35, hexane: chloroform: ethyl acetate (60:20:20 v/v). The pure metabolite was identified as ergosterol endoperoxide (1) by comparing its spectroscopic data with those reported in the literature [11,12]. A second portion (70.5 g) of the low polarity fraction was percolated through silica gel (70-230 mesh, Merck) eluting with mixtures of hexane:ethyl acetate of increasing polarity to obtain 12 main fractions (A1-L1). Fraction A1 (24.8 g) was further purified by VLC (5 x 10 cm) using a gradient elution with hexane:acetone mixtures to produce 10.2 g of a colorless oil (Fraction A2), soluble in chloroform, which presented a single component on tlc (Rf 0.47 hexane: ethyl acetate, 95:5). The spectroscopic data of the purified metabolite are the following: IR (CHCl3): 2929, 2855, 1739, 1464, 1231 cm−1 . MS [m/z (%): 576 (51.85), 573 (22.00), 552 (35.19), 549 (2.00), 523 (7.41), 439 (15.74), 423 (9.26), 370 (32.11), 314.5 (47.22), 264 (49.07), 195 (17.59, M+-C25H33O3), 109 (26.85, M+-C31H47O3), 61 (100). FAB-MS [m/z (%)]: 881 (0.30), 857 (0.40), 855 (0.42), 831 (0.13), 829 (0.18), 603 (2.50), 601 (2.20), 577 (4.40), 575 (4.17), 551 (1.10), 549 (0.60), 461 (0.83), 391 (5.00), 369 (3.33), 277 (13.33), 185 (100), 149 (4.58), 93 (95.83), 75 (19.17), 57 (10.83). 1H NMR (400 MHz, CDCl3): δ 5.32 (m), 4.30 (dd, J=4.32 and 11.9 Hz), 4.15 (dd, J= 5.9 and 11.9 Hz), 2.77 (t, J= 6.0 Hz), 2.32 (m), 2.04 (m), 1.62 (s), 1.28 (s). 0.89 (m). 13C NMR (CDCl3, 400 MHz): δ173.43-173.02 (s), 130.42-128.10 (d), 62.11 (t), 34.40-34.23 (t), 32.12-29.26 (t), 27.43-27.38 (t), 25.84 (t), 25.09-25.05 (t), 22.89-22.77 (t), 14.30 (q).
Hydrolysis of A2. A mixture of A2 (483.4 mg) and 100 mL of 30% methanolic KOH was stirred until complete consumption of starting material was observed on tlc (14 h). The reaction mixture was diluted with 100 mL of water and the resulting suspension was extracted twice with 250 mL of ethyl acetate. The organic layer was washed with distilled water (100 mL), saturated solution of NaCl (500 mL) and dried over anhydrous Na2SO4. Although the crude hydrolysis product (A3, 357.4 mg) showed a single spot on tlc (Rf 0.3 hexane:acetone, 85:15, v/v), GC/MS analysis indicated the presence of at least two major products [tR 20.84 (A4) and 23.07 (A5) min]. Mass spectral data for each component are shown below:
A4. LREIMS [m/z (%)]: 256 [M]+ (35.56), 240 (7.78), 213 (15.56), 185 (12.22), 129 (38.89), 97 (14.44), 73 (82.22), 60 (100), 14 (37.78). A5. LREIMS [m/z (%)]: 280 [M]+ (13.33), 95 (35.56), 60 (100), 41 (84.44).
Acknowledgements
The authors wish to thank Prof. Peter G. Waterman, University of Strathclyde, Glasgow, Scotland, and Dr. Guillermo Delgado, Instituto de Química, UNAM México, for 1H and 13C NMR spectra. The financial support from Consejo Nacional de Ciencia y Tecnología is also gratefully acknowledged.
References
1. Sherf, A.; MacNab A. Vegetable Diseases and Their Control, 2nd, Ed. United States of America 1986, pp: 1-2. [ Links ]
2. Herrera T.; Ulloa, M. El Reino de los Hongos. En: Micología Básica y Aplicada 1ª Ed. México, 1990, pp: 375-377, 470. [ Links ]
3. Burge, M.N. Fungi in Biological Control Systems. 1st Ed., Great Britain, 1988, pp: 1-7. [ Links ]
4. Ingold, C.T. The Biology of Fungi. 4th Ed., Great Britain 1979, pp. 151-154. [ Links ]
5. Pelczar, M.J.; Reid R.D; Chan, E.C.S. Microbiology. 4th Ed., United States of America 1990, pp: 247, 251, 168. [ Links ]
6. Shome, S.K.; Mustafee, T.P. Curr. Sci 1966, 35, 370-371. [ Links ]
7. Neher, R. Monograph of the Genus Tagetes (Compositae). Ph.D. monograph. Michigan, United States of America 1989, pp: 149-250. [ Links ]
8. Cotty, P.J.; Misaghi, I.J.; Hine, R.B. Phytopathology 1983, 73, 1326-1328. [ Links ]
9. Gamboa-Angulo, M.M.; García-Sosa, K.; Alejos-Gonzalez, F.; Escalante-Erosa, F.; Delgado-Lamas, G.; Peña- Rodríguez, L.M. J. Agric. Food. Chem. 2001, 49, 1228-1232. [ Links ]
10. Gamboa-Angulo, M.M.; García-Sosa, K.; Alejos-González, F.; Escalante-Erosa, F.; Delgado-Lamas, G.; Peña-Rodríguez, L.M. J. Nat. Prod. 2001, 63, 117-1120. [ Links ]
11. Ayer, W.; Peña-Rodríguez, L. Phytochemistry 1987, 26, 1353-1355. [ Links ]
12. Lobo, A.M.; Macedo de Abreu, P.; Prabhakar, S.; Godinho, L.S.; Jones, R.; Rzepa, H.S.; Williams, D.J. Phytochemistry 1988, 27, 3569-3574. [ Links ]
13. Peña-Rodríguez, L.M. Bioactive Metabolites of Alternaria bras-sicae and Monocillin nordinii, Ph.D. Thesis, University of Alberta., Edmonton, Alberta 1985. [ Links ]
14. Turner, W.B.; Aldrige, D.C. Fungal Metabolites II. 1st Ed., Great Britain 1986, pp: 314-315; [ Links ] Debieu, D.; Gall, C.; Gredt, M.; Bach, J.; Malosse, C.; Leroux, P. Phytochemistry 1992, 31, 1223-1233. [ Links ]
15. Debieu, D.; Gall, C.; Gredt, M.; Bach, J.; Malosse, C.; Leroux, P. Phytochemistry 1992, 31, 1223-1233. [ Links ]
16. Trigos A. Rev. Latinoam. Quím. 1995, 24, 141-147. [ Links ]
17. Ikan R. Natural Products: a Laboratory Guide. 2nd Ed. United States 1991, pp:143-159. [ Links ]
18. Merck Index, 9th Ed, United States of America, 1976. [ Links ]
19. Egan, H.; Kirk, R.; Sawyer, R. Análisis Químico de Alimentos de Pearson, México 1988, pp: 1-586. [ Links ]
20. Dembitsky, V.; Shubina, E.; Kashin, A. Phytochemistry 1992, 31, 845-849. [ Links ]
21. Kahlos K. Mycological Research 1996, 100, 23-26. [ Links ]
22. McMurry, J. Química Orgánica. 3th Ed. México 1994, pp: 1055-1071. [ Links ]
23. Pelletier, W.; Chokshi, H.; Desai, H. J. Nat. Prod 1986, 49, 849-900. [ Links ]
24. Still, C.; Kahn, M.; Mitra, A. J. Org. Chem 1978, 43, 2923-2925. [ Links ]
25. Granja-Pérez, P.E. Aislamiento e Identificación de Metabolitos Producidos por Alternaria tagetica Shome & Mustaffe y Optimización de las Condiciones de Cultivo del Hongo. Tesis de Licenciatura, Facultad de Química, Universidad Autónoma de Yucatán, Mérida, Yucatán, México. 1997. [ Links ]



![Síntesis y evaluación del efecto ansiolítico de un nuevo derivado pirimido[1,6-a]pirimidínico](/img/es/prev.gif)









