Servicios Personalizados
Revista
Articulo
Indicadores
-
Citado por SciELO -
Accesos
Links relacionados
-
Similares en
SciELO
Compartir
Revista de la Sociedad Química de México
versión impresa ISSN 0583-7693
Rev. Soc. Quím. Méx vol.47 no.2 Ciudad de México abr./jun. 2003
Investigación
Preparation of 11-Hydroxylated 11,13-Dihydrosesquiterpene Lactones
Howard G. Pentes,1 Francisco A. Macias2 and Nikolaus H. Fischer*1,a
1 Department of Chemistry, Louisiana State University, Baton Rouge, Louisiana 70803, USA. a Present address: Department of Pharmacognosy, School of Pharmacy, University of Mississippi, University, MS 38677, USA. Tel: (662) 915-7026; Fax: (662)-915-6975. E-mail: nfischer@olemiss.edu
2 Departamento de Química Orgánica, Facultad de Ciencias, Universidad de Cádiz, Apdo. 40,11080 Puerto Real, Cádiz, Spain.
Recibido el 4 de febrero del 2003.
Aceptado el 24 de abril del 2003.
Dedicated to Professor Alfonso Romo de Vivar.
Abstract
Hydroxylations of the α-position of lactonic carbonyl groups of four different skeletal types (germacranolides, eudesmanolides, guaianolides, and elemanolides) of 11,13-dihydrosesquiterpene lactones were achieved by LDA-mediated generation of the corresponding lactone enolates and trapping with gaseous oxygen or with a chiral oxidizing agent, (camphorylsulfonyl)oxaziridine. The oxidations with oxygen were non-stereospecific and generated both, the 11 α- and 11β-hydroxylactones in combined yields ranging from 13-47 % along with norsesquiterpene ketones which are most likely formed by decomposition of the hydroperoxide anion intermediates. Hydroxylation of the germacranolide-type 11,13-dihydroparthenolide with either (+)- or (−)-(camphorylsulfonyl)oxaziridine gave exclusively the 11β-hydroxylactone (66-72 %) with no detection of the norsesquiterpene ketone.
Keywords: Sesquiterpene lactones, hydroxylation, LDA, enolates, oxidations, norsesquiterpene ketones, germacranolides, eudesmanolides, guaranolides, elemanolides.
Resumen
Se llevaron a cabo hidroxilaciones de las posiciones α- del grupo carbonilo lactónico en cuatro esqueletos diferentes de 11,13-dihidro- derivados de lactonas sesquiterpénicas (germacranólidas, eudesmanólidas, guayanólidas y elemanólidas), mediante la generación del enolato con LDA y su atrapamiento con oxígeno gaseoso o con un agente oxidante quiral, (canforilsulfonil)aziridina. Las oxidaciones con oxígeno no fueron estereo-específicas y generaron las hidroxilactonas 11α- y 11β- en rendimientos combinados que fluctúan entre 13 al 47 %, junto con cetonas norsesquiterpénicas, que se forman probablemente por la descomposición de los aniones hidroperóxidos intermediarios. La hidroxilación de la germacranólida 11,13-dihidropartenólida, con (+)- o (−)- (canforilsulfonil)-aziridina produjo la 11β-hidroxilactona exclusivamente (66-72 %), sin detectarse la cetona norsesquiterpénica.
Palabras clave: Lactonas sesquiterpénicas, hidroxilaciones, LDA, enolatos, oxidaciones, cetonas norsesquiterpénicas, germacranólidas, eudesmanólidas, guayanólidas, elemanólidas.
Introduction
7-Hydroxyl-bearing sesquiterpene lactones are uncommon in nature [1]. However, they show very interesting biological activities. For example, 7α-hydroxydehydrocostus lactone (21a) exhibits molluscicidal activity against Biomphalaria glabrata snails [2], that are hosts in the life cycle of the blood fluke which is responsible for human Schistosomiasis (bilharzia), a disease which affects more than 200 million people in Africa, Asia, and South America [3]. In contrast, dehydrocostus lactone (21b) is not active against Biomphalaria [1]. 7α-Hydroxydehydrocostus lactone (21a) has been shown to inhibit the in vitro activity of mammalian phosphofructokinase (PFK), and exhibits a twenty-fold higher in vitro inhibitory activity towards PFK than dehydrocostus lactone (21b) [4]. While there is no direct correlation of molluscicidal activity and PFK inhibition by sesquiterpene lactones, it is interesting to note that the most potent molluscicidal sesquiterpene lactone is also the most active PFK inhibitor [4]. Most biological activities of sesquiterpene lactones seem to depend on the presence of the α-methylene-γ-lactone moiety which is a receptor of biological nucleophiles such as essential thiol groups present in a number of enzymes and proteins [5, 6]. While the presence of the α-methylene-γ-lactone moiety certainly enhances the inhibition of PFK, Vargas et al. [4] showed that a hydroxyl group located in proximity to the lactone functionality of sesquiterpene lactones also enhances inhibition of PFK. The hydroxyl group of 7-hydroxysesquiterpene lactones is possibly enhancing PFK inhibition by hydrogen bonding to the active site of the enzyme. With the assumption that 11-hydroxysesquiterpene lactones might show biological activities similar to their 7-hydroxy analogs, the synthesis of a series of 11-hydroxylated sesquiterpene lactones as synthetic models for the study PFK inhibition was desired.
In this paper, we describe the preparation of 11-hydroxysesquiterpene lactones from the corresponding 11,13-dihydrosesquiterpene lactones by reaction of the lactone enolates with oxygen (Scheme 1) [7]. Transformations of four skeletal types of 11, 13-dihydrosesquiterpene lactones (germacrolides, eudesmanolides, guaianolides, and elemanolides) were carried out.

Results and discussion
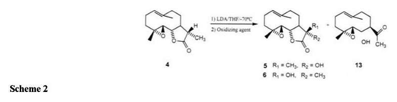
Dihydroparthenolide (4) was oxidized as outlined in Scheme 2. The enolate of 4 was generated at −70 °C in THF by deprotonation with LDA under argon atmosphere. Subsequently oxygen, dried over P2O5, was bubbled through the solution for about 20 minutes. The reaction was quenched by the addition of 3-4 mL of distilled water. The solution was then carefully neutralized with 5 % HCl and extracted with diethyl ether. Sesquiterpene lactones 1, 10, 15, 21, and 24 were reacted under similar conditions. The products were separated using silica gel column chromatography, preparative thin-layer chromatography, or reversed-phase HPLC.
The 11-hydroxylactones were analyzed by application of IR, 1H and 13C NMR, and MS methods. The IR spectra of the derivatives clearly showed a broad absorption signal near 3400 cm−1 due to the lactonic 11-hydroxyl group. The 1H NMR data also indicated hydroxylation at C-11 by collapse to a methyl singlet of the dihydrolactone C-11-methyl doublets (C-13). The 1H NMR data was also used to distinguish between the 11α- and 11β-hydroxy-derivatives. Due to the through-space deshielding effect of the C-11β hydroxyl group, the chemical shift of the lactonic signal (H-6β) for all 11β-hydroxy-derivatives had shifted downfield by approximately 0.3-0.5ppm, when compared to the corresponding non-hydroxylated starting compounds. In contrast, the chemical shifts of the H-6β signals for all 11α-hydroxyderivatives remained about the same as those of the corresponding dihydroprecursors (Table 1). The total yield of the 11-hydroxylactones in these reactions ranged from 13-47 % with no apparent trends in stereoselectivity (Table 2).

Norsesquiterpene ketones 13, 14, 20, and 28 were obtained as minor products of the reactions of 4, 10, 15, and 24, respectively, and in some cases they represented the only product. The IR spectra of these compounds showed absorptions near 3400 cm−1 due to the C-6 hydroxyl group and another at about 1710 cm−1 due to the C-11-ketone carbonyl stretch absorption. The 1H NMR data also showed methyl singlets near 2.10-2.20 ppm, indicative of a methyl ketone. The 13C NMR spectra of these compounds indicated the presence of only 14-carbons. Based on the above data, structures 13, 14, 20, and 28 were proposed. Table 3a and Table 3b summarizes the 13C NMR assignments of compounds 1-16, 20, and 21.
A possible mechanism for the formation of the nor-sesquiterpene ketones may involve the decarboxylation of a hydroperoxide anion intermediate (Scheme 1). Hydroperoxides have been reported as the major products in reactions of ester enolates with t-BuOK instead of LDA [9]. The existence of lactonic hydroperoxide intermediates was supported by the isolation of 18 and 27 from their respective product mixtures. The hydroperoxide intermediates (Scheme 1, A) are then reduced to the alcohols, probably by the conjugate acid, diisopropylamine, generated from LDA during formation of the enolate [10]. 1,2-Dioxetane formation could arise following hydrolysis of the hydroperoxide anion (Scheme 1, B). 1,2-dioxetanes have been observed to decompose cleanly to carbonyl compounds which would generate the decomposition products isolated [11].
The respective 1,10-epoxyderivatives 8, 9, 10 and 12 were obtained by stereo- and regiospecific epoxidations of the 1,10-double bond of the 11-hydroxy-derivatives 2, 3, 4, and 6 with m-chloroperbenzoic acid (m-CPBA) in the presence of sodium acetate as a buffer to prevent further cyclizations [12].

Oxidation of the enolate anion of dihydroparthenolide (4) with (−)-(camphorylsulfonyl)oxaziridine provided 11β-hydroxydihydroparthenolide (6) in 66 % yield. Neither the 11α-hydroxydihydroparthenolide (5) nor the norsesquiterpene ketone (13) were detected (Table 2). The same results were observed for the oxidation of the enolate anion of 4 with (+)-(camphorylsulfonyl)oxaziridine, except that the yield of 11β-hydroxy-11,13-dihydroparthenolide (6) was slightly higher (72 %). When compared to the enolate oxidation with oxygen, the (camphorylsulfonyl)oxaziridine oxidizing agents are clearly superior due the higher yields and the regio- and stereospecificity of the reactions.

Apparently, the frozen solute conformation of the 12,6-trans-lactone 4, favors a β-attack by the (camphorylsulfonyl)oxaziridine oxidizing agents from the β-face of the enolate intermediate. This is in analogy to protonations that follow NaBH4 reductions in methanol of the α-methylene-γ-lactone group in similar sesquiterpene lactones such as parthenolide (4a) and costunolide (1a). Enolate oxidations with (camphorylsulfonyl)oxaziridines may not be stereospecific with conformationally more flexible sesquiterpene lactones such as 12,8-lactonized or 12,6-cis-lactonized germacranolides.
Conclusions
In summary, four skeletal types of 11,13-dihydrosesquiterpene-γ-lactones (germacrolides, eudesmanolides, guaianolides, and elemanolides) were transformed into 11-hydroxylactone analogs by LDA-mediated generation of the corresponding lactone enolates followed by trapping with gaseous oxygen or chiral oxidizing agent, (camphorylsulfonyl) oxaziridines. The oxidations with oxygen were non-specific, resulting in low to moderate yields (13-47 %) of mixtures of 11α- and 11β-hydroxylactone derivatives plus norsesquiterpene ketones formed as degradation products of the hydroperoxide intermediates. Improved yields (66-72 %) and stereoselectivity were observed for enolate oxidations of 11,13-dihydrosesquiterpene lactones with the respective (+)- and (−)-(2S,8aR)-(camphorylsulfonyl)oxaziridine [8], providing the 11β-hydroxylactones exclusively.
Experimental section
1H and 13C NMR spectra were recorded on a Bruker-AC200 spectrometer in CDCl3 using SiMe4 as an internal standard. Mass spectra were obtained on a HP5985 spectrometer. IR spectra were recorded either on a Perkin-Elmer 257 or 1760x spectrometer as a film on NaCl plates.
(−)-(2S,8aR)-(Camphorylsulfonyl)oxaziridine and (+)-(2R,8aS)-(camphorylsulfonyl) oxaziridine (Aldrich) were used without further purification. Reagent grade THF was freshly distilled over Li metal before use to remove any traces of water. A 1.5 M solution of LDA in cyclohexane (Aldrich) was used without further purification.
Chromatographic separations were made on silica gel (60-200 mesh, J.T.Baker Chemical Co.). HPLC separations were carried out on a Milton-Roy HPLC using RSIL-C18-10 µ semipreparative column (Alltech/Applied Science).
Dihydroparthenolide (4) was isolated from the dichloromethane (DCM) extract of the aerial parts of Ambrosia artimisiifolia [13,14]. Costunolide and dehydrocostus lactone (1a and 21b) were isolated by vacuum liquid chromatography [15] from Costus Resinoid (Pierre Chauvet, S.A.). The exocyclic methylene groups of costunolide and dehydrocostus lactone were reduced with NaBH4 in methanol at 0 °C [16] to give 1 and 21 respectively. α-Cyclodihydrocostunolide (15) was prepared via acidic transannular cyclization of 1 [16]. Saussurea lactone (24) was prepared by thermolysis of 1 [17]. Spectroscopic and physical data for compounds 1, 4, 15, 21 and 24 are consistent with those previously reported in the literature.
11α-Hydroxydihydrocostunolide (2) and 11β-Hydroxydihydrocostunolide (3). Compound 1 (325 mg, 1.39 mmol), dissolved in 5 mL of dry THF, was added slowly over 15 min by syringe to a stirred solution of 1.2 mL of LDA in 5 mL of THF under argon at −70 °C. After an additional 15 min., dry oxygen was bubbled through the solution for 20 min at 0 °C. The reaction was then quenched with 5 mL of water. The solution was neutralized with 5 % aq. HCl and extracted with diethyl ether. The ether solution was dried over anhydrous Na2SO4, filtered, and the solvent evaporated. Column chromatography on silica gel using DCM / acetone (95:5) yielded 21 mg (15 %) of 2 and 31 mg (22 %) of 3. Lactone 2 was isolated as a colorless powder: IR 3434, 1773, 1668 cm−1; 1H NMR: δ 4.80 (m, 1H, C1-H); 4.60 (dd, 1H, C6-H); 1.69 (s, 3H, C15-CH3); 1.40 (s, 3H, C14-CH3); 1.33 (s, 3H, C13-CH3); MS m/z (relative intensity) 250 (M+) (1.2), 232 (M-18+) (0.4), 222 (M-28+) (2.6), 207 (M-43+) (2.3). Compound 3 was isolated as a colorless powder: IR 3435, 1754 cm−1; 1H NMR: δ 4.94 (dd, 1H, C6-H); 4.80 (m, 1H, C1-H); 4.60 (d, 1H, C5-H, J = 10 Hz); 1.77 (s, 3H, C15-CH3); 1.45 (s, 3H ,C13- or C14-CH3); 1.42 (s, 3H, C13- or C14-CH3); MS m/z (relative intensity) 250 (M+) (0.7), 222 (M-28+) (2.8), 207 (M-43+) (0.7).
11 α-Hydroxydihydroparthenolide (5), 11 β-Hydroxydihydroparthenolide (6), and Ketone (13). Compound 4 (372 mg) was reacted with LDA and oxygen as described above. Column chromatography on silica gel with hexane / EtOAc (1:1) yielded 8 8mg (29%) of 5, 55 mg (18%) of 6, and 45 mg (16%) of 13.
Compound 5 was isolated as a white powder: IR 3412, 1784 cm−1; 1H NMR: δ 5.18 (dd, 1H, C1-H, J= 10 Hz); 3.79 (dd, 1H, C6-H, J = 9 Hz); 2.76 (d, 1H, C5-H, J = 9 Hz); 1.70 (s, 3H, C14-CH3); 1.31 (s, 6H, C13- and C15-CH3); MS m/z (relative intensity) 266 (M+) (0.02), 223 (M-43+) (0.07), 207 (M-59+) (0.08), 43 (C2H3O+) (100).
Lactone 6 was obtained as a white powder: IR 3443, 1753 cm−1; 1H NMR: δ 5.15 (dd, 1H,C1-H, J = 2, 9 Hz); 4.12 (dd, 1H, C6-H, J = 9 Hz); 2.66 (d, 1H, C5-H, J = 9 Hz); 1.69 (s, 3H, C14-CH3); 1.39 (s, 3H, C13-CH3); 1.28 (s, 3H, C15-CH3); MS m/z (relative intensity) 266 (M+) (0.03), 231 (M-35+) (0.04), 223 (M-43+) (0.02), 207 (M-59+) (0.14).
Compound 13 was isolated as a colorless gum: IR 3438, 1761 cm−1; 1H NMR: δ 5.14 (dd, 1H, C1-H, J = 4, 7 Hz); 3.56 (dd, 1H, C6-H, J = 9 Hz); 2.75 (d, 1H, C5-H); 2.19 (s, 3H, C13-CH3); 1.65 (s, 3H, C14-CH3); 1.27 (s, 3H, C15-CH3); MS m/z (relative intensity) 238 (M+) (0.1), 223 (M-15+) (0.2), 220 (M-18+) (0.7), 195 (M-43+) (0.4), 177 (M-61+) (6.1).
1,10-Epoxydihydrocostunolide (7). Compound 1 (200 mg) was dissolved in 10 mL of DCM and stirred at room temp. Sodium acetate (200 mg) was added to the solution to buffer the epoxidation and prevent possible acid-catalyzed transannular cyclization [12]. m-CPBA (220 mg) was added to the suspension. After stirring at room temp. for 1 h, the solution was filtered and washed with 5 % Na2CO3 (2 × 50 mL) and H2O (3 × 50 mL). The DCM solution was dried over anhydrous Na2SO4, filtered, and the solvent evaporated yielding 181 mg (85 %) of 7: IR 1771, 1672 cm−1; 1H NMR: δ 5.12 (d, 1H, C5-H, J = 10 Hz); 4.54 (dd, 1H, C6-H, J = 10 Hz); 2.61 (dd, 1H, C1-H, J = 2, 11 Hz); 1.75 (s, 3H, C15-CH3); 1.14 (d, 3H, C13-CH3, J=7 Hz); 1.06 (s, 3H, C14-CH3); MS m/z (relative intensity) 250 (M+) (0.9), 235 (M-15+) (0.3), 232 (M-18+) (0.3), 207 (M-43+) (0.6), 193 (M-57+) (1.8). 16: IR 3449, 1770 cm−1; 1H NMR: δ 5.37 (s, br, 1H, C3-H); 3.92 (dd, 1H, C6-H, J = 11 Hz); 2.75 (s, br, OH); 1.76 (s, 3H, C15-CH3); 1.36 (s, 3H, C13-CH3); 0.90 (s, 3H, C14-CH3); MS m/z (relative intensity) 250 (M+) (1.3), 207 (M-43+) (0.4), 191 (M-59+) (0.7). 17: IR 3458, 1761 cm−1; 1H NMR: δ 5.38 (s, br, 1H,C3-H); 4.36 (dd, 1H, C6-H, J = 5 Hz); 1.82 (s, 3H, C15-CH3); 1.45 (s, 3H, C13-CH3); 0.92 (s, 3H, C14-CH3); MS m/z (relative intensity) 250 (M+) (2.0), 207 (M-43+) (1.2). 18: IR 3414, 1778 cm−1; 1H NMR: δ 8.73 (s, 1H, OOH); 5.39
1,10-epoxy-11α-hydroxydihydrocostunolide (8). Compound 2 (7 mg) was epoxidized as described above yielding 4 mg (54 %) of 8: IR 3418, 1775, 1671 cm−1; 1H NMR: δ 5.20 (d, 1H, C5-H, J = 10 Hz); 4.60 (dd, 1H, C6-H, J=10 Hz); 2.68 (dd, 1H, C1-H); 1.83 (s, 3H, C15-CH3); 1.33 (s, 3H, C13-CH3); 1.12 (s, 3H, C14-CH3); MS m/z (relative intensity) 266 (M+) (0.3), 221 (M-45+) (0.1), 210 (M-56+) (0.1), 189 (M-77+) (0.7).
1,10-epoxy-11β-hydroxydihydrocostunolide (9). Compound 3 (9 mg) was epoxidized as described above yielding 7 mg of 9: IR 3443, 1773, 1674 cm−1; 1H NMR: δ 5.15 (d, 1H, C5-H, J = 10 Hz); 4.97 (dd, 1H, C6-H, J = 10 Hz); 2.66 (dd, 1H, C1-H, J = 2, 11 Hz); 1.80 (s, 3H, C15-CH3); 1.43 (s, 3H ,C13-CH3); 1.14 (s, 3H, C14-CH3). MS m/z (relative intensity) 266 (M+) (0.1), 244 (M-22+) (0.1), 222 (M-44+) (0.2), 207 (M-59+) (0.2), 189 (M-77+) (0.3).
1,10-epoxydihydroparthenolide (10). Compound 4 (150 mg) was epoxidized as described above yielding 151 mg (95 %) of 10. Spectroscopic and physical data for the title compound are consistent with those reported in the literature [18].
1,10-epoxy-11α-hydroxydihydroparthenolide (11). Compound 5 (31 mg) was epoxidized as described above yielding 4 mg (10 %) of 11: IR 3422, 1782 cm−1; 1H NMR: δ 3.86 (dd, 1H, C6-H, J = 10 Hz); 2.87 (d, 1H, C5-H, J = 10 Hz); 2.80 (dd, 1H, C1-H); 1.40 (s, 3H, C13-CH3); 1.33 (s, 6H, C14- and C15-CH3); MS m/z (relative intensity) 282 (M+) (0.03), 257 (M-25+) (0.6), 219 (M-63+) (0.3), 211 (M-71+) (0.5), 197 (M-85+) (0.9).
1,10-epoxy-11β-hydroxydihydroparthenolide (12). Compound 6 (25 mg) was epoxidized as described above yielding 25 mg (95 %) of 12: IR 3391,1781 cm−1; 1H NMR: δ 4.20 (dd, 1H, C6-H, J = 9 Hz); 2.81 (d, 1H, C1-H); 2.80 (d, 1H, C5-H, J = 9 Hz); 1.46 (s, 3H, C13-,C14-, or C15-CH3); 1.43 (s, 3H, C13-, C14-, or C15-CH3); 1.36 (s, 3H, C13-,C14-, or C15-CH3); MS m/z (relative intensity) 282 (M+) (0.1), 210 (M-72+) (0.1), 195 (M-87+) (0.1).
Ketone 14. Compound 10 (114 mg) was reacted with LDA and O2 as described before yielding 40 mg of ketone 14: IR 3449, 1711 cm−1; 1H NMR: δ 3.65 (dd, 1H, C6-H, J = 9 Hz); 2.86 (d, 1H, C5-H); 2.24 (s, 3H, C13-CH3); 1.38 (s, 3H, C14- or C15-CH3); 1.30 (s, 3H, C14- or C15-CH3); MS m/z (relative intensity) 193 (M-61+) (0.1), 179 (M-75+) (1.4), 161 (M-93+) (1.2).
11α-Hydroxy-α-cyclodihydrocostunolide (16), 11β-Hydroxy-α-cyclodihydrocostunolide (17), 11α-Hydroperoxy-α-cyclodihydrocostunolide (18), 7,11-Dehydro-α-cyclodihydrocostunolide (19), and Ketone 20. Compound 15 (102 mg) was reacted with LDA and O2 as described before yielding 16 mg (15 %) of 16, 10 mg (9 %) of 17, 14 mg (14 %) of 20, 1 mg of 18, and 1 mg of 19. Compounds 17, 18, and 19 were isolated by HPLC following column chromatography.
16: IR 3449, 1770 cm−1; 1H NMR: δ 5.37 (s, br, 1H, C3-H); 3.92 (dd, 1H, C6-H, J = 11 Hz); 2.75 (s, br, OH); 1.76 (s, 3H, C15-CH3); 1.36 (s, 3H, C13-CH3); 0.90 (s, 3H, C14-CH3); MS m/z (relative intensity) 250 (M+) (1.3), 207 (M-43+) (0.4), 191 (M-59+) (0.7).
17: IR 3458, 1761 cm−1; 1H NMR: δ 5.38 (s, br, 1H, C3-H); 4.36 (dd, 1H, C6-H, J = 5 Hz); 1.82 (s, 3H, C15-CH3); 1.45 (s, 3H, C13-CH3); 0.92 (s, 3H, C14-CH3); MS m/z (relative intensity) 250 (M+) (2.0), 207 (M-43+) (1.2).
18: IR 3414, 1778 cm−1; 1H NMR: δ 8.73 (s, br, 1H,C3-H); 3.96 (dd, 1H, C6-H, J = 10 Hz); 1.80 (s, 3H, C15-CH3); 1.37 (s, 3H, C13-CH3); 0.91 (s, 3H ,C14-CH3); MS m/z (relative intensity) 266 (M+) (0.04), 223 (M-43+) (0.5), 220 (M-46+) (0.2), 216 (M-50+) (0.3).
19: IR 1752, 1682 cm−1; 1H NMR: δ 5.43 (s, br, 1H, C3-H); 4.67 (d, 1H, C6-H, J = 11 Hz); 1.89 (s, 3H, C15-CH3); 1.83 (s, 3H, C13-CH3); 0.99 (s, 3H, C14-CH3); MS m/z (relative intensity) 232 (M+) (2.7), 217 (M-15+) (7.3), 207 (M-25+) (7.4).
20: IR 3449, 1700 cm−1; 1H NMR: δ 5.35 (s, br, 1H, C3-H); 4.02 (ddd, 1H, C6-H, J = 5, 11 Hz); 2.21 (s, 3H, C13-CH3); 1.83 (s, 3H, C15-CH3); 0.81 (s, 3H, C14-CH3); MS m/z (relative intensity) 222 (M+) (0.6), 123 (M-99+) (12.7), 121 (M-101+) (17.1).
11α-Hydroxydihydrodehydrocostuslactone (22) and 11β-Hydroxydihydrodehydrocostuslactone (23). Compound 21 (235 mg) was reacted with LDA and O2 as described before yielding 30 mg (12 %) of 22 and 42 mg (17 %) of 23.
22: IR 3467, 1770, 1638 cm−1; 1H NMR: δ 5.16 (s, 1H, C15-H); 5.05 (s, 1H, C15-H); 4.87 (s, 1H, C14-H); 4.77 (s, 3H, C14-H); 3.87 (dd, 1H, C6-H, J = 9 Hz); 1.30 (s, 3H, C13-CH3); MS m/z (relative intensity) 248 (M+) (1.7), 220 (M-28+) (1.5), 202 (M-46+) (0.3), 192 (M-56+) (0.2).
23: IR 3423, 1761, 1630 cm−1; 1H NMR: δ 5.20 (s, 1H, C15-H); 5.05 (s, 1H, C15-H); 4.88 (s, 1H, C14-H); 4.80 (s, 1H, C14-H); 4.20 (dd, 1H, C6-H, J = 9 Hz); 1.43 (s, 3H, C13-CH3); MS m/z (relative intensity) 248 (M+) (11.0), 204 (M-44+) (2.5), 191 (M-57+) (2.3), 189 (M-59+) (2.3).
11α-Hydroxysaussurea lactone (25), 11β-Hydroxysaussurea lactone (26), 11α-Hydroperoxysaussurea lactone (27), and Ketone 28. Compound 24 (93 mg) was reacted with LDA and O2 as described before yielding 4 mg (5 %) of 25, 6 mg (8 %) of 26, 9 mg (13 %) of 28, and less than 1 mg of 27. 25: IR 3440, 1778, 1638 cm−1; 1H NMR: δ 5.79 (dd, 1H, C1-H, J = 11, 17 Hz); 5.04 (m, 4H, C2-Ha,b, C3-Ha,b); 4.14 (dd, 1H, C6-H, J = 11 Hz); 2.27 (d, 1H, C5-H, J = 9 Hz); 1.79 (s, 3H, C15-CH3); 1.38 (s, 3H, C13-CH3); 1.08 (s, 3H, C14-CH3); MS m/z (relative intensity) 250 (M+) (0.2), 223 (M-28+) (1.7), 207 (M-43+) (1.3), 189 (M-61+) (1.0).
26: IR 3449, 1752, 1638 cm−1; 1H NMR: δ 5.80 (dd, 1H, C1-H, J = 11, 17 Hz); 5.00 (m, 4H, C2-Ha,b, C3-Ha,b); 4.60 (dd, 1H, C6-H, J = 10, 11Hz); 2.20 (d, 1H, C5-H, J = 12 Hz); 1.79 (s, 3H, C15-CH3); 1.46 (s, 3H, C13-CH3); 1.10 (s, 3H, C14-CH3); MS m/z (relative intensity) 250 (M+) (0.3), 204 (M-46+) (0.4), 121 (M-129+) (3.2).
27: IR 3353, 1770, 1638 cm−1; 1H NMR: 8.68 (s, 1H, OOH); 5.80 (dd, 1H, C1-H, J = 11, 17 Hz); 5.00 (m, 4H, C2-Ha,b, C3-Ha,b); 4.17 (dd, 1H, C6-H, J = 11 Hz); 2.32 (d, 1H, C5-H, J = 11 Hz); 1.78 (s, 3H, C15-CH3); 1.39 (s, 3H, C13-CH3); 1.08 (s, 3H, C14-CH3); MS m/z (relative intensity) 266 (M+) (0.5), 216 (M-50+) (0.5), 166 M-100+) (0.9).
28: IR 3466, 1708, 1638 cm−1; 1H NMR: δ 5.76 (dd, 1H, C1-H, J = 11, 17 Hz); 4.90 (m, 4H, C2-Ha,b, C3-Ha,b); 4.10 (dd, 1H, C6-H, J = 11 Hz); 2.25 (s, 3H, C13-CH3); 1.78 (s, 3H, C15-CH3); 1.04 (s, 3H, C14-CH3); MS m/z (relative intensity) 222 (M+) (2.0), 204 (M-18+) (1.5), 189 (M-33+) (1.0), 161 (M-61+) (3.6).
Oxidation of the enolate anion of dihydroparthenolide (4) with (−)-(2S,8aR)-(camphorylsulfonyl)oxaziridine. Dihydroparthenolide (4) (200 mg, 0.8 mmol) dissolved in 5 mL of dry THF was added slowly over 15 min by syringe to a stirred solution of 0.7 mL (1.04 mmol) of LDA in 5 mL of THF under argon at −70 °C. After stirring the solution for an additional 15 min, a THF solution of (−)-(2S,8aR)-(camphorylsulfonyl)oxaziridine (30, 370 mg, 1.6 mmol) was added to the reaction flask by syringe over a 5 min period at −70 °C. After 5 more min, the reaction was quenched with the addition of 5 mL of a saturated aqueous NH4Cl solution. The reaction mixture was extracted with diethyl ether (6 × 10 mL). The ether solution was dried over anhydrous Na2SO4, filtered, and the solvent was evaporated.
Attempted precipitation of the unreacted oxaziridine and its reduced form, the imine, at −78 °C in diethyl ether only removed 60-70 % of these reagents. Repeated precipitations did not further purify the product. Dry column (silica gel) chromatography [19] was used to separate the product mixture eluting with DCM/acetone (9:1). The oxaziridine and the imine eluted in the very early fractions. Dihydroparthenolide (4) (58 mg) was recovered and 100 mg (66 %) of 11β-hydroxydihydroparthenolide (6) was isolated. The 1H NMR data of compound 6 was identical with the data for the product isolated from the reaction of oxygen with the enolate anion of dihydroparthenolide (4). The norsesquiterpene ketone 13 and 11α-hydroxydihydroparthenolide (5) were not detected.
Oxidation of enolate anion of dihydroparthenolide (4) with (+)-(2R,8aS)-(camphorylsulfonyl)oxaziridine. Dihydroparthenolide (4) (200 mg) was oxidized as described above with (+)-(2R,8aS)-(camphorylsulfonyl)oxaziridine 29. The product mixture was separated by dry column (silica gel) chromatography [19] eluting with DCM/acetone (9:1). Dihydroparthenolide (4) (56 mg) was recovered and 110 mg (72 %) of 11β-hydroxydihydroparthenolide (6) was isolated as the only product.
References
1. Fronczek, F.R.; Vargas, D.; Fischer, N.H.; Hostettmann, K. J. Nat. Prod. 1984, 47, 1036-1039. [ Links ]
2. Vargas, D.; Fronczek, F.R.; Fischer, N.H.; Hostettmann, K. J. Nat. Prod. 1986, 49, 133-138. [ Links ]
3. Hostettmann, K.; Marston, A. "Plants Used in African Traditional Medicines." in Folk Medicine. The Art and the Science, editor R.P. Steiner, 1986, ACS, Wash., D.C. pp. 111-124. [ Links ]
4. Vargas, D.; Younathan, E.S.; Fischer, N.H. Rev. Soc. Quím. Méx. 2001, 45, 159-162. [ Links ]
5. Picman, A.K. Biochem. System. Ecol. 1986, 14, 255-281. [ Links ]
6. Rodriguez, E.; Towers, G.H.N.; Mitchell, J.C. Phytochemistry 1976, 15, 1573-1580. [ Links ]
7. Collado, I.G.; Macías, F.A.; Massanet, G.M.; Molinillo, J.M.G.; R.-Luis, F. J. Org. Chem. 1987, 52, 3323-3326. [ Links ]
8. Davis, F.A.; Hague, M.J.; Ulatowski, T.G.; Towson, J.C. J. Org. Chem. 1986, 51, 2402-2404. [ Links ]
9. Gersmann, H.R.; Bickel, A.F. J. Chem. Soc. (B) 1971, 11, 2230-2237. [ Links ]
10. Biloski, A.; Ganem, B. Synthesis 1983, 7, 537-538. [ Links ]
11. Bartlett, P.D.; Schaap, A.P. J. Amer. Chem. Soc. 1970, 92, 3223-3226. [ Links ]
12. Rodriguez, A.A.S.; Garcia, M.; Rabi, J. Phytochemistry 1978, 17, 953-954. [ Links ]
13. Lu, T.; Fischer, N.H. Spectroscopy Letters 1996, 29, 437-448; [ Links ] references therein.
14. Parodi, F.J.; Fronczek, F.R.; Fischer, N.H. J. Nat. Prod. 1989, 52, 554-566. [ Links ]
15. Coll, J.C.; Bowden, B.F. J. Nat. Prod. 1986, 49, 934-936. [ Links ]
16. Lee, I.-Y. "New Sesquiterpene Lactones from the Genera Calea berlandiera (Asteraceae) and the Fragmentation Reactions of 1,3-Dihydroxyeudesmanolide Derivatives." Dissertation, Louisiana State University, 1983. [ Links ]
17. Rao, A.S.; Sadgopal, A.P.; Bhattacharyya, S.C. Tetrahedron 1961, 13, 319. [ Links ]
18. Govindachari, T.R.; Joshi, B.S.; Kamat, V.N. Tetrahedron 1965, 21, 1509-1519. [ Links ]
19. Loev, B.; Goodman, M. M. Chem. and Ind. 1967, 48, 2026-2032. [ Links ]













