Servicios Personalizados
Revista
Articulo
Indicadores
-
Citado por SciELO -
Accesos
Links relacionados
-
Similares en
SciELO
Compartir
Revista de la Sociedad Química de México
versión impresa ISSN 0583-7693
Rev. Soc. Quím. Méx vol.45 no.4 Ciudad de México oct./dic. 2001
Investigación
Estudio de ciertas modificaciones al índice de H. P. Schultz. Uso de hidrocarburos saturados como modelo
E. Cornwell
Departamento de Química Inorgánica y Analítica, Facultad de Ciencias Químicas y Farmacéuticas, Universidad de Chile, Casilla 233, Santiago, Chile.
Recibido el 25 de junio del 2001.
Aceptado el 13 de diciembre del 2001.
Resumen
Se proponen tres modificaciones principales a la matriz de distancia correspondiente al índice topológico de H. P. Schultz. (2-MTI). Se evaluaron las diferencias entre los índices resultantes de estas modificaciones y el índice 2-MTI. La modificación consistente en el uso de distancias reales entre los átomos de carbono de la molécula para configurar la matriz de distancia, se caracteriza como Cg.d.A°. La regresión lineal entre los logaritmos de los tiempos de retención relativos de 28 hidrocarburos saturados y el índice Cg.d.A°, presenta un mayor coeficiente de determinación y de Fisher que el índice propuesto por H. P. Schultz. Sin embargo, en este caso, estas diferencias no son significativas, este hecho valida el uso de la matriz de distancia cuyos elementos pertenecen al conjunto de los números naturales en vez de números que representan las distancias reales entre los átomos.
Palabras clave: Índice de Schultz, matriz de distancia, índice topológico, hidrocarburos saturados.
Abstract
Three main modifications to the distance matrix corresponding to H. P. Schultz topological index (2-MTI) are proposed. The differences between the modifications of these resulting indices and 2-MTI index are evaluated. The modification is based in the use of actual distances between carbon atoms of the molecule to configurate the distance matrix, which is characterized as topological index Cg.d.A°. The lineal regression between the logarithms of the relative retention times of 28 saturated hydrocarbons and Cg.d.A° , present greater determination and Fisher coefficients than that of the proposed H. P. Schultz index. Nevertheless, in this case these differences are not significant. This fact validates the original proposal of the use of the distance matrix, whose elements belong to the set of the natural numbers instead of numbers representing the real physical distances between atoms.
Keywords: Schultz index, the matrix distance, topological index, saturated hydrocarbons.
Introducción
Las propiedades de cada molécula pueden ser traducidas a un número escalar llamado índice. Si en la conceptualización de este escalar participan elementos topológicos, se está en presencia de un índice topológico.
La existencia de una relación inequívoca entre una propiedad de una molécula y la magnitud del índice topológico que se le atribuye, se denomina invariante, cuando se tiene un valor de índice topológico asociado a dos o mas moléculas, este hecho se describe como grados degenerativos propios del índice en cuestión [1].
El estudio de estas relaciones es tratada por la disciplina denominada, relación propiedad y estructura química (QSPR) Un subconjunto contenido en esta disciplina trata en forma específica de la relación entre los tiempos de retención cromatográficos y las estructuras químicas (QSRR) [2].
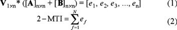
El índice topológico de H. P. Schultz [3] denominado 2-MTI, el cual es descriptivo de las estructuras moleculares solo para los hidrocarburos saturados, se define a través de tres elementos matemáticos: la matriz cuadrada de adyacencia denominada [A]n × n, la matriz cuadrada de distancia denominada [B]n × n, ambas constituidas por elementos provenientes de consideraciones topológicas descriptivas de las estructuras moleculares y el vector multiplicativo anterior denominado V1 × n, cuyos elementos son equivalentes a los elementos aii de la matriz [A]2n × n, esto último válido para el caso particular de los hidrocarburos saturados.
Los elementos aij de la matriz de adyacencia [A]n × n son iguales a 0 para indicar que los átomos de carbono i, j de la molécula no son adyacentes, en caso contrario, aij es igual a 1. Los elementos bij de la matriz de distancia [B]n × n indican distancias topológicas entre los átomos de carbono i, j de una molécula, Distancia topológica implica distancias medidas a través de los enlaces por el camino mas corto, utilizando elementos numéricos pertenecientes al subconjunto de los naturales, así, como ejemplo, la distancia entre dos átomos de carbono Ci y Cj separados por tres enlaces σ, presenta una distancia igual a 3, siendo el número de carbonos involucrados igual a 4.
El índice topológico de H. P. Schultz queda definido por un escalar denominado 2-MTI [3] su cálculo obedece a las siguientes ecuaciones (1), (2)

donde f = 1, N , significa, súmese los elementos desde e1 hasta en
Para un grupo de moléculas, la relación entre sus propiedades y los índices topológicos se expresan generalmente mediante regresiones lineales asociadas a los parámetros estadísticos que las caracterizan [4-13].
El objetivo de este trabajo es: estudiar ciertas modificaciones en la matriz cuadrada de distancia [B]n × n que define el índice topológico de H. P. Schultz (2-MTI). Estas modificaciones consisten en proponer elementos de esta matriz bij y bii distintos a los expresados en el índice topológico 2-MTI original, manteniendo las definiciones propias tanto del vector multiplicativo anterior V1 × n. como de la matriz de adyacencia cuadrada [A]n × n. Comparar la eficiencia de estos índices topológicos corregidos en base de las modificaciones anteriormente expuestas, versus el índice 2-MTI original. Estas comparaciones consisten en evaluar estadísticamente el grado de correlación entre la variable dependiente e independiente que se describen a continuación.
En forma anexa, se realizó una comparación entre el índice topológico resultante del valor propio mayor positivo [5] ([λ+(+ [B]n × n)] proveniente de la matriz resultante de la operación sobre la expresión siguiente: ([A]n × n + [B]n × n) y mi proposición, donde se reemplaza la matriz de distancia [B]n × n de la expresión anterior por la matriz de distancia [BA]n × n que se definirá a continuación.
Se proponen 3 modificaciones a la matriz cuadrada de distancia [B]n × n original de H. P. Schultz, que implican los siguientes cambios:
1. Cambio de los elementos bij de la matriz de distancia [B]n × n por los elementos (bij)−1, manteniendo bii = 0. Este cambio define la matriz cuadrada de distancia [D']n × n. Los demás elementos mantienen sus definiciones originales, esto se refiere a: (V1 × n, [A]n × n). Esto implica un índice topológico 2-MTI modificado con el elemento distinto [D']n × n y bii = 0.
2. El mismo cambio mencionado anteriormente pero con lementos bii = 1. definiendo la matriz cuadrada de distancia [D"]n × n. Esto implica un índice topológico 2-MTI modificado con elemento distinto [D"]n × n.
3. Reemplazo de la matriz de distancia [B]n × n del índice original 2-MTI por la matriz [BA]n × n cuyos elementos dij son distancias físicas reales entre los átomos de carbono i, j de la molécula, distancia medidas por el camino más corto y realizado a través de los enlaces σ.
Esta modificación origina el índice propuesto Cg.d.A°, cuyos elementos dii son igual a 0. Todos los otros elementos que definen el índice 2-MTI se mantienen en sus definiciones originales, vale decir los elementos V1 × n y [A]n × n. Los índices 2-MTI modificados fueron calculados a través de las mismas operaciones matemáticas que las aplicadas en el cálculo del 2-MTI original y fueroncomparadas con el índice de conectividad químico [14] (1χv). Se utilizó este índice topológico como elemento comparativo debido que es uno de los más eficientes [14].
Como modelo de trabajo para discriminar las diferencias entre el índice 2-MTI original y los modificados en este trabajo, se utilizaron 28 hidrocarburos saturados y se emplearon como variable dependiente los logaritmos de los tiempos de retención relativos al n-heptano (log trr). Cabe señalar que, los datos de tiempos de retención relativos bibliográficos [15] (trr) están descritos paralelamente en el Guide to Analysis of Hidrocarbons by Gas Chromatography 2° Edition Poly Sciences Corporation (1968). Se utilizó como variable dependiente en las regresiones el logaritmo del tiempo de retención relativo, debido que, expresados en esta forma, presentan relaciones de correlación lineales con los parámetros fisicoquímicos de los hidrocarburos saturados.
Las diferencias existentes entre el índice de H. P. Schultz (2-MTI original) y los propuestos (modificaciones sobre el índice 2-MTI original) se evaluaron mediante la comparación de los parámetros estadísticos inherentes a las regresiones lineales [10,13] esto implica la correlación de log trr como variable dependiente versus cada índice tratado en este trabajo excepto el índice de conectividad químico que se utilizó como referente. Del mismo modo, se estudiaron las correlaciones lineales que responden al modelo y = mx + n siendo la variable dependiente los logaritmos de retención relativos calculado versus los obtenidos a través de los datos experimentales. Estas relaciones, demuestran las bondades de las proposiciones como así mismo las diferencias con la proposición original.
Desarrollo
El cálculo del índice de conectividad químico de L. B. Kier (1χv) para cada hidrocarburo saturado se realizó según bibliografía [16-17].
Los cálculos de los índices topológicos 2-MTI modificados y Cg.d.A° se obtienen mediante las siguientes ecuaciones:


Los valores propios para cada hidrocarburo se obtuvieron según las expresiones dadas en la introducción, para tal fin se utilizó el software incorporado en la calculadora Hewlett Packard 48GX.
La obtención de los elementos bij de la matriz [DA]n × n se realizó mediante el software Hyperchem [18] previa optimización de las estructuras moleculares de los hidrocarburos saturados correspondientes mediante el método semiempírico AM1, usando el algoritmo Steep-Descent con gradiente RMS de 1 Kcal / (A° mol) hasta convergencia y luego el algoritmo Polak-Ribiere a 0.01 Kcal / (A° mol) hasta convergencia.
En la Tabla 1 se presentan para los 28 hidrocarburos saturados sus tiempos de retención relativos al n-heptano [15] los logaritmos de estos tiempos de retención y los valores calculados mediante los diversos índices topológicos bajo estudio correspondientes a los hidrocarburos saturados.
Utilizando como variable dependiente log trr, e independiente los índices topológicos señalados en la Tabla 1, se obtuvieron las regresiones lineales óptimas y sus parámetros estadísticos a través del software Origin 4.0 [19] el cual incluye un análisis ANOVA sobre la regresión, ver Tabla 2.
Los parámetros estadísticos asociados a las regresiones lineales [10-13] como son el coeficiente de correlación (r), el test de Fisher (F) propios del modelo Y = a + bx y el coeficiente de determinación (R2) propio del modelo y = a + bx + cx2, permiten un análisis comparativos del grado de asociación entre las variables dependientes e independiente en los distintos casos estudiados. De esta forma se determinó la eficiencia de cada índice topológico en estudio, en cuanto al grado de ajuste al modelo de regresión lineal propuesto.
Tendencias al valor 1 del coeficiente de determinación (R2) o valores −1 o 1 del índice de correlación (r), como altos valores de F, son consistentes con diferencias pequeñas entre la variable dependiente experimental y calculada por la ecuación de regresión respectiva.
En la Tabla 3 se señalan los estadígrafos correspondientes al índice de correlación (r) y de Fisher F correspondientes a las regresiones entre los valores de los tiempos de retención relativos calculados versus experimentales [15].

Cabe señalar que los valores calculados se obtuvieron mediante las ecuaciones de regresión anotadas en la Tabla 2 correspondiente a los índices en estudio como al 2-MTI original.
Discusión
De la Tabla 2 se deduce que los índices topológicos correspondientes a aquellos que contienen modificaciones consistentes en las permutaciones de la matriz cuadrada de distancia [B]n × n por las matrices cuadradas [D']n × n y [D"]n × n respectivamente, presentan en forma relativa a los índices topológicos de H. P. Schultz (2-MTI corregido) y el índice Cg.d.A° propuesto por el autor en este trabajo, valores menores tanto del índice de correlación (r) como del índice de Fisher (F) Esto indica que, la utilización de los elementos (bij)−1 en vez de los elementos (bij), en la matriz cuadrada de distancia [B]n × n para los casos en los cuales bii = 0 (matriz [D']n × n) o bien bii = 0 (matriz [D"]n × n), producen un decremento en la correlación de las variables dependiente e independientes, lo anterior implica las relaciones entre los log trr vs. los índices topológicos que contienen los elementos [D']n × n y [D"]n × n, respectivamente. Este decremento es relativo a la correlación en la relación log trr vs. el índice 2-MTI original.
Los índices topológicos definidos en base de los valores propios que son función de las matrices cuadradas de distancias [B]n × n o [BA]n × n respectivamente, son equivalentes y producen idénticos estadígrafos al relacionarse con la variable dependiente (log trr), presentando ambas valores de r y F bajos relativos tanto al índice 2-MTI original y el índice Cg.d.A°, pero son mayores a los caracterizados anteriormente. Estos dos análisis para este modelo (hidrocarburos saturados), induce a pensar que la opción que implica utilizar las matrices cuadradas [D']n × n y [D"]n × n es de poca utilidad.
El índice topológico propuesto Cg.d.A°, cuya matriz de distancia [BA]n × n contiene elementos bii = 0 y los elementos bij este último, significando la distancia a través de los enlaces σ por el camino mas corto entre los átomos de carbono del hidrocarburo, presenta respecto al índice de H. P. Schultz (2-MTI original) valores de índice de determinación R2 e índice de Fisher (F) mayores que el índice 2-MTI original, esto implica que la ecuación log trr en función de Cg.d.A°, presenta una mayor cohesión entre las variables, dependiente e independiente (mayor R2) y mayor poder predictivo [20], esto es, menor diferencia entre los valores calculados de trr por la ecuación de regresión y los valores de trr experimentales (mayor F) Sin embargo, esta diferencias anteriormente anotadas, no son estadísticamente significativas bajo el modelo empleado.
Tanto el índice 2-MTI original como el propuesto Cg.d.A°, responden para un R2 y un F óptimo a un mismo modelo matemático de regresión. Los factores A1, B1, b2 del modelo de regresión para el índice topológico Cg.d.A°, presentan menor error que los correspondientes al modelo 2-MTI original.
Todos los índices analizados en este trabajo presentan una menor correlación comparado con el índice de conectividad químico, este último se utilizó solo como referente. Cabe hacer notar que el índice 2-MTI original está en etapa de desarrollo.
La aceptación o exclusión del índice topológico Cg.d.A°, no solo puede depender del grado de significancia estadística respecto a su predecesor (2-MTI original) respecto al grado de correlación con la variable dependiente, en este caso el log trr para un modelo particular (hidrocarburos saturados), se hace necesario incluir en análisis futuros, otras proposiciones como modelos que contengan moléculas distintas a los hidrocarburos. Independientemente de lo anterior, se hace necesario además estudiar una nueva proposición consistente en el uso de la matriz de distancia cuadrada [BA]n × n en conjunto con el vector multiplicativo anterior modificado V1 × n Una estructura nueva exitosa para este vector se propuso en un trabajo anterior [21].
Se debe considerar además que, hemos estudiado para ambos índices topológicos anteriormente citados su parte congruente, sin hacer un estudio de la parte no congruente, es decir, aquella zona que no correlaciona con el índice topológico 2-MTI. Esta zona no congruente puede producir, toda vez que el índice topológico Cg.d.A°, participe en forma contributiva en una función de correlación multivariable, un grado de correlación significativo respecto a la variable dependiente. Un ejemplo de ello se describe y analiza en la literatura [22].
Evaluación del índice topológico de (2-MTI original):

Los términos: aii de [A]2n × n son elementos del vector V1 × n = [ 1 3 2 1 1 ].


V1 × n([A]n × n + [B]n × n) = [15 10 12 16 15] = 68.
Luego el índice topológico de H. P. Schultz (2-MTI original) es 68.
Conclusiones
1. El uso de la matriz de distancia ([BA]n × n) en el índice topológico 2-MTI, dando origen al índice topológico propuesto Cg,d,A°, produce la mayor correlación respecto a todas las otras regresiones que se señalan en la Tabla 2, exceptuando al índice 1χV, lo que indica que su incorporación en el índice 2-MTI original aumenta el grado de correlación entre las variables implicadas. Además, al tener un valor de (F) mayor, las correlaciones donde participa como variable independiente el índice propuesto Cg,d,A°, implica que esas expresiones de correlación poseen un poder predictivo mayor.
2. El uso de matrices de distancia en los índices que constituyen las variables independientes: λ+([A]n × n + [B]n × n) y λ+([A]n × n + [BA]n × n), cuyos elementos respectivamente sean distancias topológicas representadas por el campo de los naturales o distancias reales entre los átomos de carbono, producen expresiones de regresión estadísticamente equivalentes. Lo indicado anteriormente, sugiere que sería válido integrar las modificaciones estudiadas en este trabajo con la modificación ya estudiada sobre el vector anterior multiplicativo [20] del índice 2-MTI original, con el propósito de evaluar ambas contribuciones en un nuevo índice.
3. Mediante el análisis realizado en este trabajo se valida para el modelo 2-MTI original el uso de la matriz [B]n × n constituida por elementos pertenecientes a los números naturales.
Referencias
1. Randic, M.; Kleisner, A. F.; De Alba, L. M. J. Chem. Inf. Comput. Sci. 1994, 34, 277-280. [ Links ]
2. Kaliszan, R. Anal. Chem. 1992, 64, 619A-631A. [ Links ]
3. Schultz, H. P. J. Chem. Inf. Comput. Sci. 1989, 29, 227-228. [ Links ]
4. Schultz, H. P.; Schultz, E. B.; Schultz, T.P. J. Chem. Inf. Comput. Sci. 1990, 30, 27-29. [ Links ]
5. Schultz, H. P., Schultz, T.P. J. Chem. Inf. Comput. Sci. 1993, 33, 240-244. [ Links ]
6. Yang, Y.; Xu, L.; Hu, C. J. Chem. Inf. Comput. Sci. 1994, 34, 1140-1145. [ Links ]
7. Gálvez, J.; García, R.; Salabert, M.T., Soler, R. J. Chem. Inf. Comput. Sci. 1994, 34, 520-525. [ Links ]
8. Schultz, H. P.; Schultz, T. P. J. Chem. Inf. Comput. Sci. 1998, 38, 853-857. [ Links ]
9. Randic, M. J. Chem. Inf. Comput. Sci. 1997, 37, 672-687. [ Links ]
10. Morgan, E. Chemometric Experimental Designs. John Wiley and Sons, London, 1991. [ Links ]
11. Masart, D. L.; Vandeiginsten, B. G. M., Deming, S. N. N.; Michotte, Y.; Kaufman, L. Chemometrics A Textbook. Elsevier, Amsterdam, 1988. [ Links ]
12. Graham, R. C. Data Analysis for the Chemical Sciences. A Guide to Statistical Techniques. VCH Publisher, Inc. New York, 1993. [ Links ]
13. Kateman, G.; Buydens, L. Quality Control in Analytical Chemistry, Vol. 60. John Wiley and Sons, Inc., New York, 1993. [ Links ]
14. Katrizky, A. R., Gordeeva, E.V. J. Chem. Inf. Comput. Sci. 1993, 33, 835-857. [ Links ]
15. Desty, D. H.; Goldup, A.; Swanton, W. T. Gas Chromatography. Academic Press, 1962. [ Links ]
16. Sablijc, A.; Horvatic, D. J. Chem. Inf. Comput. Sci. 1993, 33, 292-295. [ Links ]
17. Mihalic, Z.; Nikolic, S.; Trinajstic, N. J. Chem. Inf. Comput. Sci. 1992, 32, 28-37. [ Links ]
18. Hyperchem, Copyright 1993, Hypercube, Inc. and Autodesk, Inc. Developed by Hypercube, Inc. [ Links ]
19. Nicrocal Origin 4.00, Copyright 1991-1995. Microcal Software, Inc. [ Links ]
20. Muranaka, K. J. Chem. Educ. 2001, 78, 1390-1393. [ Links ]
21. Randic, M. J. Chem. Inf. Comput. Sci. 1997, 37, 672-687. [ Links ]
22. Cornwell, E. Bol. Soc. Chil. Quim. 2000, 45, 645-647. [ Links ]
Nota
En la página 187 se indica en forma detallada el cálculo del índice de H. P. Schultz para el hidrocarburo 2-metilbutano.




![(±)-Bocconarborines A and B, Novel 1,3-Bis-Benzo[c]phenanthridinyl Acetone Alkaloids from Bocconia arborea](/img/es/next.gif)








