Servicios Personalizados
Revista
Articulo
Indicadores
-
Citado por SciELO -
Accesos
Links relacionados
-
Similares en
SciELO
Compartir
Revista de la Sociedad Química de México
versión impresa ISSN 0583-7693
Rev. Soc. Quím. Méx vol.44 no.1 Ciudad de México ene./mar. 2000
Investigación
Properties of Polyelectrolyte Solutions as Determined by the Charge of Counterions
Barbara Hribar* and Vojko Vlachy
Faculty of Chemistry and Chemical Technology, University of Ljubljana, Ljubljana 1001, Slovenia. E-mail: barbara.hribar@uni-lj.si
Recibido el 14 de diciembre de 1999.
Aceptado el 17 de febrero del 2000.
Abstract
Several experimental results published in the last decade are clearly inconsistent with the classical DLVO theory of colloid stability. These experiments are supported by theoretical studies suggesting the existence of an attractive force between equally charged macroions which is not of van der Waals origin. This paper is a part of an ongoing project applying computer simulations to understand the basic properties of highly asymmetric electrolytes. The primitive model for −12/+1, −12/+2, and −12/+3 electrolyte solutions was examined using the canonical Monte Carlo method. The results show, in agreement with previous studies, that the valency of counterions plays a crucial role in determining the structural and thermodynamic properties of polyelectrolyte solutions. In solutions with trivalent counterions the equally charged macroions form clusters that are stable against dilution and are not substantially affected by addition of a neutral component. Also, a relatively large concentration of added simple electrolyte is needed to modify the structure of the solution and to partly 'dissolve' the clusters. The strong correlations among ions in solutions with divalent or trivalent counterions are also reflected in low values of the osmotic coefficient.
Keywords: Polyelectrolytes, computer simulations, colloids, ion-ion correlations, structural properties, thermodynamics.
Resumen
Muchos resultados experimentales publicados durante la última década sobre la estabilidad de dispersiones coloidales son inconsistentes con la teoría DLVO. Sin embargo, dichos resultados están de acuerdo con la teoría que supone la presencia de una fuerza atractiva entre dos macro-iones de igual carga. Comparando con la fuerza atractiva de van der Waals, esta fuerza parece tener un origen diferente. Este trabajo forma parte de un proyecto en el cual se aplican simulaciones por computadora para entender las propiedades básicas de electrolitos con alta asimetría de carga y tamaño de iones. Un modelo primitivo para los electrolitos −12/+1, −12/+2 y −12/+3; ha sido investigado mediante el método de Monte Carlo usando un ensamble canónico. Nuestros resultados muestran que la carga de los contra-iones juega un papel importante en las propiedades estructurales y termodinámicas de las soluciones de polielectrolitos. Particularmente en el modelo con contra-iones trivalentes los macro-iones forman complejos estables independientemente de la dilusión. Además, estos complejos no se modifican notoriamente debido a la adición de un componente sin carga. Para modificar la estructura de la solución y diluir los complejos formados, es necesario tener una concentración bastante alta de un electrolito simple adicional. Fuertes correlaciones entre iones en solución con contra-iones bivalentes o trivalentes se reflejan en bajos valores del cociente osmótico.
Palabras clave: Polielectrolitos, simulaciones por computadora, coloides, correlaciones ion-ion, propiedades estructurales, termodinámica.
Dedicated to the memory of Professor Raul Cetina
Introduction
The problem of the stability of charged colloids, solutions of surfactant micelles, and globular proteins is most often considered in the framework of the Derjaguin-Landau-Verwey-Overbeek (DLVO) theory [1]. According to this approach, overlap of the electrical double-layers yields a repulsive interaction and the short-range van der Waals forces are responsible for attraction. Recent experimental observations, e.g., the occurrence of large stable voids in homogeneous suspensions (see, for example [2]), separations into two phases [3], and the salt concentration dependence of the interparticle distance in colloidal crystals [4] have raised doubts on the validity of the DLVO theory under certain conditions. Anomalous results have also been reported for colloids in confined systems [5,6]. Theoretical explanations of these experimental results were offered by Sogami and Ise [7,8], but their theory caused controversial responses among scientists [9-13]. It seems that neither the classical DLVO theory, nor the new approach developed by Sogami and coworkers [7,8], is able to explain the experimental results mentioned above.
The idea that the electrostatic interaction which arises from fluctuations in charge could give rise to attractive forces between macroions has been first advocated by Kirkwood and Shumaker [14]. Later, Oosawa suggested [15] that precipitation of rodlike polyions by addition of multivalent ions is caused by ion fluctuations. Recently, these ideas were explored by several authors [16-20]. For example, Rouzina and Bloomfield [18] proposed an electrostatic theory for DNA attraction to explain the condensation of DNA in the presence of multivalent counterions [19,20]. On the theoretical side, important evidence proving that the force between two equally charged surfaces can be attractive resulted from computer simulations [21-24], as also from more analytical calculations [25,26]. It is important to stress the qualitative agreement between the computer results [21-24] and the measurements of forces between charged mica surfaces immersed in an aqueous electrolyte solution [27,28]. However, the studies mentioned above apply to infinitely large charged surfaces or to an array of cylinders immersed in an electrolyte solution and therefore cannot provide any structural information about macroions in solution.
Recently [29], Monte Carlo results for solutions of macroions and counterions were reported. The ions were represented as charged hard spheres moving in a continuous dielectric. It was found that the properties of solutions with divalent counterions differ qualitatively from those with monovalent counterions (see also [30]). In a subsequent paper [31] we studied solutions with −12/+z asymmetry in charge, where z was either 1, 2, or 3. An important conclusion of the study was that the presence of trivalent counterions in solution causes a nonuniform distribution of macroions. In the present work the influence of the valency of counterions on the interaction between macroions was studied in a more systematic manner. In particular we present new results for −12/+z (z = 1, 2, or 3) electrolytes at three different concentrations. Both structure and relevant thermodynamic parameters are discussed. Further, the influence of the addition of a low molecular electrolyte or a neutral component to the original solution is examined. This gives an insight into how the collective effects of the species size, valency, and concentration shape the equilibrium properties of the solution.
The outline of the paper is as follows. After this introduction, we present the details of the model and the method used in the calculations. The numerical results are presented and commented on in section 3. We conclude the paper by summarizing the main results in section 4.
Model and method
In the present calculation the ions were treated as charged hard spheres and the solvent was considered as a continuum with a dielectric constant ε0ε equal to that of bulk water at T = 298 K. The interaction potential between two particles of species a and b is given by:

Here r is the distance between the two particles and ra is the radius of a particle of type a. Also, za is the valency of an ion of type a (zero if a neutral particle is considered) and e is the proton charge. The indices a and b stand for macroions (p), counterions (c), co-ions (k), and neutral particles (n), when present. The radii of ions in this calculation were rp = 1.0 nm and rc = 0.1 nm, and the corresponding valencies were zp = −12, and for counterions zc = +1, zc = +2 or zc = +3, respectively. In the case where a simple electrolyte was added to the solution, the co-ions (k) have charge zk = −1 and size rk = 0.1 nm. The radius of the neutral component (n), when present in the system, was the same as that of macroions, rn = 1.0 nm and, of course, zn = 0.
The Monte Carlo simulations were performed at constant volume and temperature, with 64 (or in some cases 128) macroions and an equivalent number of counterions, as required by the electroneutrality condition. In mixed solutions co-ions or neutral particles were also present in the system. The standard Metropolis algorithm was applied and to minimize effects due to the small number of particles included in the simulation cell, we used the Ewald summation method [32]. The osmotic pressure P was calculated via the virial equation and the osmotic coefficient is defined as usual: Φ = P / Pideal. The canonical averages were collected over 50 million Monte Carlo moves after an equilibration run of at least 5 million configurations. The method was successfully used in our previous studies [29-31].
Results and Discussion
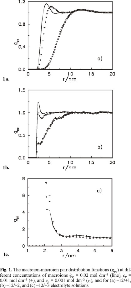
The thermodynamic and structural properties of the model electrolyte solutions were studied in the concentration range from cp = 0.0001 mol dm−3 to cp = 0.02 mol dm−3. The results apply to aqueous solutions at T = 298 K where
is 0.715 nm. As usual kB is the Boltzmann constant and the other parameters are defined in Section 2. We start this presentation with the structural information. Figure 1 shows the macroion-macroion pair distribution functions (pdf), gpp, at different macroion concentrations for (a) −12/+1, (b) −12/+2, and (c) −12/+3 electrolyte solutions. For solutions with monovalent counterions, the first peak in the function (this peak is associated with the position of the first neighbouring macro-ion) is shifted toward larger distances with decreasing concentration [29]. This is not the case for solutions with divalent counterions where the first peak does not change its position upon dilution. The peak is positioned at approximately 2.2 nm, suggesting that stable structures, formed of two macro-ions bridged by counterions, are present in the solution [29]. In the case of trivalent counterions, the macroions can actually come into contact with each other as reported in [31]. The clusters of macroions, formed in solutions with multivalent counterions, are quite stable against dilution. As seen in Figure 1c, the clusters formed in solutions with trivalent counterions are present even for dilute solutions. Our calculations indicate (these results are not shown here) that the clusters dissolve at concentrations of macroions lower then cp = 0.0001 mol dm−3.

Strong coupling between various species in solution is also reflected in the thermodynamic properties of the system. In Figure 2 we present the concentration dependence of the osmotic coefficient for −12/+1, −12/+2, and −12/+3 electrolytes. Low values of the osmotic coefficient in solutions with divalent and trivalent counterions reflect the low mobility and activity of the counterions caught in the electrostatic field of the macroions. The osmotic coefficient of these solutions is additionally reduced by strong macroion-macroion correlations.

In order to obtain better insight into the stability of these electrostatically stabilized clusters, we studied the effects of addition of an additional component (neutral particles in the first case and a low molecular electrolyte in the second case) to the solution. As generally known [33, 34] (see also [13] and the references therein), the addition of a neutral component normally causes the macroions to come closer to each other. In Figure 3 the macroion-macroion pdfs for pure 12/+3 electrolyte at cp = 0.005 mol dm−3, and the corresponding function for the mixture where neutral particles with cp = 0.005 mol dm−3 were added in the solution, are shown. It is quite clear that in the present case addition of a neutral component does not affect the structure of the solution very much. The presence of a neutral component, however, causes the osmotic coefficient Φ to rise from 0.14 (pure −12/+3 solution) to 0.32 (mixture with a neutral component). We speculate that the neutral particles distribute themselves into the voids formed in the solution as a consequence of the clustering of the macroions.

The influence of addition of a simple electrolyte to the −12/+3 electrolyte solution is, of course, of principal interest. The results presented here apply to cp = 0.003 mol dm−3. First we discuss the thermodynamic properties collected in Table 1. We can see from these data that addition of the −1/+3 electrolyte raises the osmotic coefficient and, as expected, increases the excess internal energy of the solution. Both trends can be explained by stronger electrostatic screening in the solution that leads to a weaker correlations among ions. It should be stressed that, in spite of the relatively large excess of a simple electrolyte (e.g. cs = 0.02 mol dm−3 compared to cp = 0.003 mol dm−3), the structure of the solution is still very much different from the corresponding −12/+2 (Φ = 0.33) or −12/+1 (Φ = 0.58) solutions. Even with an excess of simple electrolyte present in solution the net "attractive" force between the macroions is still quite strong. This can can be seen in Figure 4, where the macroion-macroion pdfs for pure −12/+3 electrolyte at cp = 0.003 mol dm−3, and for the same electrolyte with an added salt of concentration cs = 0.02 mol dm−3, are compared. The contact values of the macroion-macroion pdfs are larger than unity in both cases, suggesting that a fraction of the macroions remains in contact.


Concluding remarks
Long-range electrostatic forces play an important role in shaping the properties of charged colloids, surfactant micelles, proteins and other polyelectrolytes. For example, addition of a simple electrolyte to a polyelectrolyte solution may significantly affect the stability of the system. In this study the micellar solution is modelled on the McMillan-Mayer level; i.e. ionic species explicitly enter the model, whereas the solvent is treated as a continuous dielectric. The computer simulation results are presented for a model electrolyte solution where the ions differ grossly in charge and size. More concretely, we studied −12/+1, −12/+2, and −12/+3 electrolyte solutions, where −12 is the valency of the macroions and +z the valency of the counterions. The asymmetry in diameters was 1.0 nm/0.1 nm in all cases. The structural properties as reflected in the pair distribution functions and thermodynamic parameters (excess internal energy and osmotic coefficient) were calculated using the canonical Monte Carlo technique.
The results of this study show very clearly the important role of the valency of the counterion for the physicochemical properties. When monovalent counterions are present in solution, the system behaves normally the highly charged macroins are distributed at large distances from each other. Under such circumstances the classical DLVO theory [1], or the cell model in conjuction with the Poisson-Boltzmann theory [30], are certainly good approximations. In solutions with trivalent counterions the macroions form clusters, which is totally against the predictions of the DLVO theory [1]. The latter theory is, as explained elsewhere [35], based on the solution of the Poisson-Boltzmann equation for an isolated macroion, and on the superposition approximation to account for the interaction between the electrical double-layers formed around the macroions. The classical theory ignores correlations among ions within and between the double-layers: these correlations are more important for solutions with divalent and trivalent counterions.
Note again, that the model Hamiltonian, as given by Eq. (1), does not contain any short-range attractive potential between the macroions. The net attraction between the macro-particles, responsible for the formation of clusters, is therefore due to the electrostatic forces; in our opinion it arises because of the strong correlations between the multivalent counterions [29-31]. This finding is consistent with a recent simulation study of the force between the two isolated macroions in solution with mono- and divalent counterions [36]. In summary, the ion-ion correlations may play a crucial role in determining the properties of polyelectrolyte solutions. In this respect, the results presented in this and previous studies contribute toward a better understanding of the stability of polyelectrolyte solutions, which is of significant importance for many biological and technological processes.
Acknowledgements
This work was supported by the Ministry of Science and Technology of the Republic of Slovenia.
References
1. Verwey, E. J. W.; Overbeek, J. Th. G. Theory of the stability of lyophobic colloids. Elsevier, New York, 1948. [ Links ]
2. Ito, K.; Yoshida, H.; Ise, N. Science 1994, 263, 66-68. [ Links ]
3. Tata, B. V. R.; Rajalakshmi, M.; Arora, A. K. Phys. Rev. Lett. 1992, 69, 3778-3781. [ Links ]
4. Matsuoka, H.; Harada, T.; Kago, K.; Yamaoka, H. Langmuir 1996, 12, 5588-5594. [ Links ]
5. Larsen, A. E.; Grier, D. G. Nature 1997, 385, 230-233. [ Links ]
6. Murray, C. A. Nature 1997, 385, 203-204. [ Links ]
7. Sogami, I. Phys Lett. A 1983, 96, 199-203. [ Links ]
8. Sogami, I.; Ise, N. J. Chem. Phys. 1984, 81, 6320-6332. [ Links ]
9. Levine, S.; Hall, D. G. Langmuir 1992, 8, 1090-1095. [ Links ]
10. Overbeek, Th. G. Mol. Phys. 1993, 80, 685-694. [ Links ]
11. Bowen, W. R.; Sharif, A. O. Nature 1998, 393, 663-665. [ Links ]
12. Schmitz, K. S. Macroions in Solution and Colloidal Suspension. VCH, New York, 1993. [ Links ]
13. Vlachy, V. Annu. Rev. Phys. Chem. 1999, 50, 145-165. [ Links ]
14. Kirkwood, J. G.; Shumaker, J. B. Proc. Natl. Acad. Sci. 1952, 38, 863-871. [ Links ]
15. Oosawa, F. Biopolymers 1968, 6, 1633-1647. [ Links ]
16. Ray, J.; Manning, G. S. Langmuir 1994, 10, 2450-2461. [ Links ]
17. Gronbech-Jensen, N.; Mashl, R. J.; Bruinsma, R. F.; Gelbart, W. M. Phys. Rev. Lett. 1997, 78, 2477-2480. [ Links ]
18. Rouzina, I.; Bloomfield, V. A. J. Phys. Chem. 1996, 100, 9977-9989. [ Links ]
19. Bloomfield, V. A.; Ma, C.; Arscott, P. G. Role of multivalent cations in condensation of DNA, in Macro-ion Characterization. From dilute solutions to complex fluids, ed. Schmitz, K. S., ACS Series 548, Washington DC, 1994, 195-209. [ Links ]
20. Tang, J. X.; Wong, S.; Tran, P. T.; Janmey, P. A. Ber. Bunsenges. Phys. Chem. 1996, 100, 796-806. [ Links ]
21. Guldbrand, L.; Jonsson, B.; Wennerstrom, H.; Linse, P. J. Chem. Phys. 1984, 80, 2221-2228. [ Links ]
22. Valleau, J. P.; Ivkov, R.; Torrie, G. M. J. Chem. Phys. 1991, 95, 20-532. [ Links ]
23. Lyubartsev, A. P.; Nordenskiold, L. J. Phys. Chem. 1995, 99, 10373-10382. [ Links ]
24. Lyubartsev, A. P.; Tang, J. X.; Janmey, P. A.; Nordenskiold, L. Phys. Rev. Lett. 1998, 81, 5465-5468. [ Links ]
25. Lozada-Cassou, M.; Olivares, W.; Sulbaran, B. Phys. Rev. E 1996, 53, 522-530. [ Links ]
26. Lozada-Cassou, M.; Olivares, W., Sulbaran, B.; Jiang, Y. Physica A 1996, 231, 197-201. [ Links ]
27. Kekicheff, P.; Marcelja, S.; Senden, T. J.; Shubin, V. E. J. Chem. Phys. 1993, 99, 6098-6113. [ Links ]
28. Kjellander, R.; Marcelja, S.; Pashley, R. M.; Quirk, J. P. J. Chem. Phys. 1990, 92, 4399-4407. [ Links ]
29. Hribar, B.; Vlachy, V. J. Phys. Chem. B 1997, 101, 3457-3459. [ Links ]
30. Rebolj, N.; Kristl, J.; Kalyuzhnyi, Yu. V.; Vlachy, V. Langmuir 1997, 13, 3546-3651. [ Links ]
31. Hribar, B.; Vlachy, V. Biophys. J. 2000, 78, 694-698. [ Links ]
32. Allen, M. P.; Tildesley, D. J. Computer simulations of liquids. Oxford University, New York, 1989. [ Links ]
33. Vlachy, V. J. Chem. Phys. 1993, 99, 471-476. [ Links ]
34. Rescis, J.; Vlachy, V.; Bhuiyan, L. B.; Outhawaite, C. W.; Mol. Phys. 1998, 99, 471-476. [ Links ]
35. Kjellander, R. Ber. Bunsenges. Phys. Chem. 1996, 100, 894-904. [ Links ]
36. Wu, J.; Bratko, D.; Prausnitz, J. M. Proc. Natl. Acd. Sci. U.S.A. 1998, 95, 15169-15172. [ Links ]













