Servicios Personalizados
Revista
Articulo
Indicadores
Links relacionados
-
Similares en
SciELO
Compartir
Agricultura técnica en México
versión impresa ISSN 0568-2517
Agric. Téc. Méx vol.35 no.3 México jul./sep. 2009
Artículos
Distribución espacial del pH de los suelos agrícolas de Zapopan, Jalisco, México*
pH spatial distribution in agricultural soils of Zapopan, Jalisco, Mexico
Daniel Ibarra Castillo1, José Ariel Ruiz Corral2§, Diego Raymundo González Eguiarte3, José Germán Flores Garnica2 y Gabriel Díaz Padilla4
1 Universidad de GuadalajaraCUCBADepartamento de Ciencias Ambientales. Km 15.5 carretera GuadalajaraNogales, Predio las Agujas, Nextipac, Zapopan, Jalisco. Email: diegonz@cucba.udeg.mx.
2 Campo Experimental Centro Altos de Jalisco, México, INIFAP. Km 8 carretera TepatitlanLagos de Moreno, Tepatitlan, C. P. 47600, Jalisco. Tel. 01 333 64 1 69 69 y 64 1 20 61.
3 Universidad de GuadalajaraCUCBADepartamento de Desarrollo Rural Sustentable Km 15.5 carretera GuadalajaraNogales, Predio las Agujas, Nextipac, Zapopan, Jalisco. Email: diegonz@cucba.udeg.mx.
4 Campo Experimental Cotaxtla. Sitio Experimental Teocelo, INIFAP. Km 3.5 carretera XalapaVeracruz, Colonia Ánimas, 91190, Xalapa, Veracruz, México. E mail: diaz.gabriel@inifap.gob.mx.
* Recibido: Septiembre, 2007
Aceptado: Febrero, 2009
§Autor para correspondencia:
ruiz.ariel@inifap.gob.mx
RESUMEN
El objetivo del presente estudio fue determinar la distribución espacial del pH del suelo en la región agrícola del municipio Zapopan, Jalisco, México. En 2004 se colectaron 105 muestras de suelo georeferenciadas del estrato 060 cm y se les determinó el pH. Los valores de pH se capturaron en hoja de cálculo electrónico para integrar una base de datos georeferenciada, a partir de la cual se probaron dos métodos de interpolación espacial: Kriging ordinario y Distancia Inversa Ponderada. Se determinó el cuadrado medio del error y la validación cruzada de los dos métodos y se seleccionó el Kriging Ordinario para generar una imagen raster del pH, a partir de la cual, mediante análisis espacial, se efectuaron diferentes interpretaciones sobre la distribución espacial del pH. Se utilizó el sistema de información geográfica Idrisi32. Se determinó que la totalidad de los suelos agrícolas de Zapopan son de condición ácida, aunque en diferentes niveles de intensidad. El 61.10% de la superficie agrícola le correspondió la condición de pH fuertemente ácido y al 38.90% moderadamente ácido.
Palabras clave: geoestadística, interpolación espacial, mapas temáticos, SIG, pH.
ABSTRACT
The objective of this study was to determine the spatial distribution of soil pH in agricultural lands in the Zapopan county, Jalisco, Mexico. In 2004, 105 georeferenced soil samples were taken in the county from 060cm depths cores and analyzed for pH. The determined pH values were organized in an electronic spreadsheet to integrate a georeferenced data base. Two spatial interpolation techniques were tested: Ordinary Kriging and Inverse Distance Weighting. By comparing the square mean error and a cross validation, Ordinary Kriging was selected for generating a raster image of soil pH. With this image and using Idrisi32 geographical information system it was possible to obtain different interpretations of soil pH spatial distribution. All the agricultural soils of Zapopan are acid; although, at different levels of intensity. A strong acidic condition was found in 61.10% of the area and moderate acidic condition in 38.90%.
Key words: geostatistics, GIS, pH, spatial interpolation, thematic maps.
INTRODUCCIÓN
En general, el pH óptimo de los suelos agrícolas debe variar entre 6.5 y 7.0 para obtener los mejores rendimientos y la mayor productividad (Prasad and Power, 1997). El pH de un suelo ácido se puede mejorar gradualmente mediante el manejo apropiado y con aplicacion de cal (Prasad and Power, 1997; Havlin et al., 2005). El pH del suelo influye en la disponibilidad de los nutrimentos para las plantas, es decir, este factor puede ser la causa de que se presente deficiencia, toxicidad o que los elementos no se encuentren en niveles adecuados (Benton, 2003). Por otra parte, valores extremos del pH pueden afectar la estructura del suelo (Edward, 2000).
La práctica más utilizada para corregir el pH ácido del suelo es el encalado, con el cual se logra establecer un ambiente propicio en la raíz para el desarrollo normal de los cultivos (Benton, 2003). Tomando en cuenta el efecto del pH sobre la productividad de los cultivos, es importante no solo su determinación en el suelo, sino también conocer y cuantificar las superficies afectadas por valores extremos de este factor (Brejda et al., 2000).
En el municipio de Zapopan, Jalisco los suelos agrícolas son predominantes son Regosoles (SEMADES, 2006) y se caracterizan por ser de textura arenosa, bajo contenido de materia orgánica (Ibarra et al., 2007) y pH ácido (Ruiz et al., 1997); para contrarrestar el bajo nivele de pH, es práctica común la aplicación de cal al suelo, lo que coadyuva a que la zona sea considerada como una de las más productivas del país bajo condiciones de temporal (Ruiz et al., 1997); Lo anterior, debido a la profundidad y alta capacidad de retención de humedad de los suelos y al régimen de lluvias favorable, tanto en cantidad como en distribución a lo largo del ciclo de cultivo (Ruiz et al., 2003a).
La evaluación del estado actual del recurso edáfico en una región, implica la distribución espacial de una o varias características, lo cual se realiza con base en el muestreo de campo y procedimientos de interpolación geográfica para generar imágenes y/o mapas temáticos (Flores et al., 2002; Anguiano et al., 2003). Dos de los procedimientos de interpolación geográfica de más uso son: distancia inversa ponderada (DIP) (Hartkamp et al., 1999) y el método kriging ordinario (KO) (Bruz et al. 1996). DIP es el método de interpolación más comúnmente utilizado, debido a la sencillez de los cálculos. Sin embargo, la técnica de KO ha probado su utilidad y ventaja sobre la mayoría de los métodos de interpolación para la descripción de la distribución espacial de variables geológicas y edáficas, tales como fósforo disponible, potasio intercambiable y pH (Webster y McBratney, 1987). Bruz et al. (1996), compararon la eficiencia de seis métodos de interpolación geográfica para la estimación de propiedades de suelos en puntos no muestreados y reportaron que KO fue el más consistente y confiable. Dicha consistencia se manifestó tanto en la condición de muestreo libre como estratificado por tipo de suelo. Las ventajas de KO derivan de la capacidad de este método para proveer el mejor estimador insesgado (Olea, 1991).
El método KO se basa en la teoría de variables regionalizadas desarrolladas en los años 60's por Matheron (Hemyari y Nofziger, 1987) y utiliza semivariogramas, los cuales son una medida de la correlación espacial entre observaciones hechas en varios puntos y describe la función de varianza sobre una distancia en incremento; para lo cual, se requiere formar pares de observaciones. Cuando se utiliza el semivariograma, la atención se enfoca sobre las diferencias entre las observaciones, por lo que el peso de las observaciones cambia de acuerdo con el arreglo espacial de las muestras. El método KO utiliza una combinación lineal de pesos en puntos conocidos ΣλiYi para estimar el valor en un punto desconocido, donde Yi son las variables evaluadas en los sitios de observación, λi son los pesos Kriging (De Beurs, 1988).
En comparación, el método DIP calcula valores para los sitios no muestreados con base en el promedio ponderado de los valores de sitios cercanos sí muestreados. La ponderación está dada por una función inversamente proporcional a la distancia entre el punto a ser estimado y el punto muestreado (De la Mora et al., 2004).
Para orientar debidamente los programas de rehabilitación de suelos en una región, así como para facilitar la generación y la transferencia de tecnología, se requiere de un diagnóstico cuantitativo y ágil de la situación del pH en el suelo. El objetivo del presente estudio fue determinar la distribución espacial del pH del suelo en la región agrícola de Zapopan, Jalisco.
MATERIALES Y MÉTODOS
Área de estudio
El estudio se llevó a cabo en la zona agrícola del municipio de Zapopan, Jalisco, ubicado en el Valle de Zapopan, entre las coordenadas extremas 20° 50' 54.4" y 20° 41' 24.03" de latitud norte y 103° 24' 19.83" y 103° 33' 23.17" de longitud oeste, con altitud promedio de 1 600 m (INEGI, 2001). La precipitación pluvial media anual es 979 mm, distribuidos entre los meses de mayo y octubre; el mes más lluvioso es julio con 251 mm. La temperatura media anual es de 19.7 °C; mayo, junio y julio, el trimestre más cálido (Ruiz et al., 2003a). Predominan los suelos del tipo regosol, que cubren más de 90% de la superficie agrícola (SEMADES, 2006). Los regosoles son suelos formados a partir de materiales no consolidados, de textura arenosa, se pueden encontrar en distintos climas y con diversos tipos de vegetación. Se caracterizan por no presentar estratos distintos. En general son claros, parecidos a la roca que los subyace cuando no son profundos. Muchas veces están acompañados de afloramiento de rocas o tepetate y son susceptibles a la erosión (FAO, 1985).
Geológicamente, existen rocas predominantes ígneas extrusivas ácidas: riolita porfírica, toba liparítica, pómez y obsidiana, asociadas con algunos afloramientos de basalto, que son los materiales que dan origen a los suelos; de éstos, los más recientes son los de la Sierra de La Primavera (Ibarra et al., 2007; Secretaría de Gobierno de Jalisco, 1988), la cual manifiesta un relieve, producto de una caldera de tipo explosivo de aproximadamente 11 km de diámetro, modificada por diversos domos riolíticos en la zona de fractura anular, cuyos productos piroclásticos se depositaron en la región central del municipio, dando origen a los suelos del Valle de Zapopan (Curiel et al., 1991).
Inicialmente, el área agrícola del municipio de Zapopan se delimitó tomando como fuente las imágenes vectoriales de uso del suelo correspondientes al proyecto de ordenamiento ecológico territorial del estado de Jalisco (SEMADES, 2006). Con esta fuente y mediante el uso del Sistema de Información Geográfica (SIG) Idrisis32 (Eastman, 1999), se estimó una superficie de 21 037.71 ha (de 1980 a 1990).
Sin embargo, durante el trabajo de muestreo en campo, se observó que una proporción de esta superficie ya no es de uso agrícola, por lo que se procedió a realizar un levantamiento de la superficie agrícola real mediante geoposicionamiento, utilizando un GPS Garmin XL12. Como producto de este trabajo se determinó que la superficie agrícola del municipio de Zapopan en 2004 fue de 11 871.41 ha; la diferencia entre las dos superficies obedece al desarrollo urbano en las últimas dos décadas.
Trabajo de campo y laboratorio
Para el muestreo de suelos, se partió del mapa del área agrícola del municipio de Zapopan y por medio del SIG Arc View 3.2, se estableció un diseño sistemático con base a una plataforma de proyección de cuadrícula UTM (universal transverso de mercator), con distancia cada 900 m entre sitios de muestreo georeferenciado, lo que produjo un total de 242 sitios a muestrear (Figura 1) y de los cuales sólo se colectaron 105 muestras en 2004 debido a que al revisar información cartográfica actualizada se observó que el área representada por las muestras restantes ya estaba urbanizada. De esta forma, la superficie total estudiada fue 11 871.41ha de uso agrícola. La distancia entre sitios de muestreo se determinó con los siguientes criterios: a) los suelos en la región son de pH ácido INEGI (2001), b) el material madre da origen a suelos ácidos y que estos han estado expuestos a degradación por el manejo intensivo, que involucra el uso excesivo de insumos agrícolas (Ruiz et al., 2003b), y c) un muestreo previo del pH (en 25 ha) a intervalos de 50, 100, 250 y 500 m, realizado en 2002, dentro del marco de esta misma investigación y que reflejó muy poca variabilidad del pH, aún a distancias de 500 m. El muestreo se realizó en una sola toma en el estrato de 060 cm, los sitios de muestreo se localizaron con el GPS ya descrito. Las muestras colectadas se transportaron al laboratorio de Física y Química de Suelos de la Secretaría de Agricultura, Ganadería, Desarrollo Rural, Pesca y Alimentación (SAGARPA), para la determinación del pH, que se hizo con el método potenciométrico (NOM 021, 2000). Los resultados del análisis de laboratorio se capturaron en hoja de cálculo electrónico de Windows (Microsoft Excel), para integrar la base de datos georeferenciada.
Métodos de interpolación espacial
Se utilizó la matriz de datos georreferenciados de los valores de pH para desarrollar un proceso de interpolación espacial, considerando dos métodos: Kriging ordinario (KO) y Distancia inversa ponderada (DIP). Estos dos métodos de interpolación se ejecutaron mediante el sistema geoestadístico GS+ ver. 5.1 (Gamma, 2001). La interpolación con el método KO permite convertir los datos de la variable de estudio (en este caso pH) en superficies continuas (Burrough y McDonnell, 1998); se puede calcular mediante la ecuación siguiente (De la Mora et al., 2004):

donde,
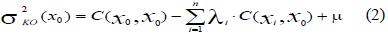
= valor estimado de KO en el sitio no muetsreado x0; λi = ponderación para el punto de muestreo i en el sitio xi; Z (xi)= valor de la variable Z (pH), para un punto de muestreo i, en el sitio xi; n= numero de puntos de muestreo. La varianza de KO se calcula con la expresión:

donde, σ2 KO (X0) = valor de KO en el sitio no muestreado x0; C(x0,x0)= covarianza del punto a estimar en el sitio x0 consigo mismo; C (x1,x0)= covarianza del punto de muestro en el sitio x1 y el punto a estimar en el sitio x0 . Los valores de pH se interpolaron con base en KO, con la finalidad de obtener superficies continuas de valores. Para esto se obtuvo el variograma de los datos que es la herramienta básica del método KO y se utiliza para modelar la correlación espacial entre observaciones (Czaplewski et al., 1994). La variación espacial definida por el variograma, se modeló para estimar los valores de pH en los sitios que no se muestrearon.
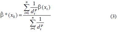
El método DIP se basa en el cálculo de un valor para sitios no muestreados, para lo cual utiliza un promedio ponderado de los valores de sitios cercanos que sí se muestrearon. La ponderación es producto de una función inversamente proporcional a la distancia entre el punto a estimar y el punto muestreado, como se expresa en la siguiente función lineal (De la Mora et al., 2004):

donde,
= valor estimado en el sitio no muestreado x0; β (xi) = valor observado en el sitio xi; d pi desde cada sitio muestreado hacia el sitio no muestreado a estimar; p= exponente de distancia (el cual es definido iterativamente hasta lograr el mínimo error medio); n= número de sitios muestreados. En este estudio se probaron tres niveles de ponderación de DIP: a) DIP simple (exponente de distancia igual a 1); DIP cuadrático (exponente de distancia igual a 2) y DIP cúbico (exponente de distancia igual a 3).
El ajuste de los métodos de interpolación se probó mediante un procedimiento de validación cruzada, el cual se ejecutó desde el sistema GS+ ver. 5.1, y consiste en la generación de residuales, que representan la diferencia entre valores observados y estimados. Estos últimos se generan removiendo el valor muestreado de un sitio en particular, después de lo cual su valor es estimado con base a los restantes sitios (Isaaks y Srivastava, 1989).
Se calculó el cuadrado medio del error (CME) de los residuales para identificar cuál de los métodos de interpolación se ajustó mejor a los datos de pH determinados en campo. En este sentido se selecciona el que presenta un menor valor de CME (De la Mora et al., 2004). El cuadrado medio del error resume estadísticos que incorporan tanto el sesgo como la dispersión de la distribución del error (CME= varianza + sesgo2), el cual se calcula de la forma siguiente (Isaaks y Srivastava, 1989):

donde, CME= cuadrado medio del error; n= número de sitios muestreados y r= residuales (diferencia entre los valores estimados y los valores observados).
Generación de la imagen raster de valores de pH
Los parámetros del modelo de interpolación de mejor ajuste se utilizaron para generar una imagen raster del pH en el módulo de análisis de superficie del SIG Idrisi32 (Eastman, 1999). A partir de la imagen raster y por medio del mismo SIG, se realizó el análisis de la variación espacial del pH en el área agrícola de Zapopan, para determinar la acidez o alcalinidad de los suelos del área de estudio con la clasificación propuesta por MorenoDahme (González et al., 1996): a) extremadamente ácido. Representa un valor de pH del suelo inferior a 4.2, condición que inhibe el desarrollo radical, por lo que la presencia de cultivos es prácticamente imposible, b) fuertemente ácido. Valor de pH del suelo entre 4.2 y 5.5, el cual permite el desarrollo radical de una gama estrecha de especies de cultivo que se desarrollan en suelos con tendencia ácida, c) moderadamente ácido. pH de 5.6 a 6.5 que representa una condición de suelo que permite el uso agrícola, considerando la implementación de una gama más o menos amplia de cultivos con preferencia de suelos de tendencia ácida, d) neutro. pH con valor de 6.6 a 7.3 que equivale a una condición del suelo que permite el desarrollo de una amplia gama de cultivos, e) moderadamente alcalino. Valores de pH que van de 7.4 a 8.3, que se traduce en suelos que permiten el desarrollo de cultivos con tendencia alcalina, y f) fuertemente alcalino. pH mayor que 8.3, lo cual restringe al cultivo de un estrecho grupo especies con preferencia evidente hacia los suelos alcalinos.
RESULTADOS Y DISCUSIÓN
pH del suelo
De acuerdo con los valores de pH del suelo obtenidos en los muestreos de campo, se apreció que en promedio el pH en el área de estudio es de 5.4, con coeficiente de variación de 0.134. Los valores más bajo y más alto fueron 4.1 y 7.1, respectivamente. Estos resultados coinciden de manera aproximada con los reportados por la Fundación Produce Jalisco en 2000 (FPJ, 2000), en los que, en promedio, se obtuvo un valor de 5.3 para 25 muestreos dentro del área de estudio, con valor mínimo de 4.4 y un valor máximo de 6.9.
Aproximadamente dos tercios de las muestras correspondieron a la condición fuertemente ácido, con valores de pH de 4.2 a 5.5, mientras que el tercio restante, se clasificó como moderadamente ácido, con valores entre 5.6 y 6.5, Cuadro 1. De las 105 muestras sólo en dos de ellas se presentó la condición extremadamente ácida, con valores menores a 4.2; en 59 muestras la condición resultante fue de fuertemente ácido, con valores entre 4.2 y 5.5; en 36 muestras se observó la condición moderadamente ácido, con valores entre 5.6 y 6.5; en seis muestras mostraron valores de 6.6 a 7.3 la condición fue neutro y a dos de las muestras correspondió la condición moderadamente alcalino, con valores entre 7.4 y 8.3. De acuerdo con estos resultados, en términos generales, los suelos de la región agrícola de Zapopan son predominantemente ácidos, lo que coincide con otros estudios efectuados en la región (INEGI, 2004).
El pH "fuertemente ácido" en los suelos de la región se explica en función de varios factores, entre ellos la roca madre que los subyace (Curiel et al 1991; Aguirre, 2001), la actividad agrícola intensiva (Ruiz et al., 1997) y la aplicación de insumos que provocan acidez (Guerrero, 1996; Edward, 1997).
Variación espacial del pH
En el proceso de análisis de la distribución espacial, al interpolar los valores de pH con los métodos KO y DIP y al validar las estimaciones generadas mediante los procedimientos de validación cruzada y comparación del valor del cuadrado medio del error (Cuadro 2), se determinó que los métodos de interpolación espacial se comportaron de manera similar. Sin embargo, se aprecia que el método KO fue ligeramente superior.
En el variograma isotrópico del método KO se observó tendencia a la variabilidad espacial del pH (Sahin y Hassan, 1998). La tendencia de los datos se ajustó a un modelo exponencial, con una continuidad espacial definida (Journel y Huijbregts, 1978), Figura 2. El rango (Ao) correspondiente en este modelo, es decir, donde los valores del semivariograma tienden a estabilizarse, se ubica en un valor de 31 100 m. Esta distancia es la máxima entre dos pares de sitios en la que existe correlación espacial entre los mismos; más allá de esta distancia no existe similitud suficiente entre los valores de los sitios para que pueda ser modelada (De la Mora et al., 2004). El parámetro "sill" (Co+C), que es el valor del semivariograma para distancias muy grandes (Issaks y Srivastava, 1989) se ubicó en 0.873. El efecto "nugget" (Co), que define una discontinuidad en el origen (Samra et al., 1989), tiene un valor de 0.436, esto es aproximadamente la mitad del valor del "sill". Este valor de Co no manifiesta ausencia de estructura en el semivariograma (Journel y Huijbregts, 1978).
Con base en el análisis anterior y debido a que el método KO es considerado como el mejor estimador lineal insesgado (Olea, 1991) se decidió utilizar este método para generar la imagen raster de los valores de pH. De esta forma, los parámetros del modelo seleccionado se implementaron en el sistema Idrisi32 (Eastman, 1999) y se generó la imagen raster de pH del área de estudio (Figura 3a). En ella se aprecia la distribución espacial de los puntos de muestreo dentro de la zona de estudio, con valores de <4.5 a 6.2. Estos valores extremos difieren ligeramente con los valores obtenidos de las muestras, debido a que ya son valores generados a partir de un modelo. Sin embargo, la información de esta imagen ratifica el diagnóstico preliminar (Cuadro 1), en el sentido de que, en términos generales, la condición de acidez en los suelos de Zapopan se ubica entre fuertemente ácido y moderadamente ácido, por lo que se concluye que la interpolación espacial con el método KO representa el nivel de acidez determinado con los valores muestrales.
La distribución espacial de la desviación estándar del pH en el área interpolada se representa en fajas concéntricas de dispersión, Figura 3b. Con base en la información obtenida las estimaciones de pH están en el rango de desviación estándar de 0.69 a 0.77. Esto implica que las estimaciones tienen una precisión alta. Se observó más alta variación en la faja concéntrica central que en las sucesivas fajas hacia el exterior de la Figura 3b, por lo que habría que recomendar que muestreos futuros se realicen en las últimas dos fajas exteriores del área establecida y sobre todo, en las áreas noreste y suroeste que corresponden a la superficie agrícola de Zapopan (Figura 3a).
En la Figura 4 se muestra la reclasificación de los valores de pH interpolados, se puede observar que los suelos "fuertemente ácidos" se distribuyen en las porciones noreste, noroeste, parte del centro, suroeste y sureste, en una superficie de 7 259.28 ha que equivale al 61.10% del área agrícola. Los suelos "moderadamente ácidos" se concentran en la parte norte, noroeste, oeste, cruzando por el centro hacia una porción de la zona suroeste en 4 612.13 ha, que equivalen a 38.90% del área agrícola.
Los mapas de las Figura 3a y 4 son fuente de información clave para planteamiento de programas de encalado de suelos Los niveles de acidez determinados en la presente investigación podrá variar en los años siguientes debido al manejo que reciban los suelos. Sin embargo, la delimitación obtenida de las dos condiciones resultantes (fuertemente y moderadamente ácido) de la acidez del suelo, difícilmente podrá cambiar en el futuro cercano.
CONCLUSIONES
Los métodos de interpolación utilizados permitieron determinar con precisión razonable la distribución espacial del pH en los suelos agrícolas de Zapopan, Jalisco.
El método Krigin Ordinario mostró ser ligeramente superior a los otros métodos en la interpolación espacial del pH del suelo. En el municipio de Zapopan, Jalisco, 61.10% de los suelos agrícolas son fuertemente ácidos y el resto moderadamente ácidos.
AGRADECIMIENTOS
A las siguientes instituciones: Instituto Nacional de Investigaciones Forestales, Agrícolas y Pecuarias (INIFAP), Fundación ProduceJalisco y Universidad de Guadalajara (U de G).
LITERATURA CITADA
Aguirre, G. A. 2001. Química de suelos ácidos templados y tropicales. 1er. edición. Editorial UNAM. Universidad Nacional Autónoma de México, Cd. Universitaria. México, D. F. 272 p. [ Links ]
Anguiano, C. J.; Alcántar, R. J. J.; Ruiz, C. J. A.; González, A. I. J.; Vizcaíno, V. I.; Regalado, R. J. R. y De la Mora, O. C. 2003. Recursos edafoclimáticos para la planeación del sector productivo en el estado de Michoacán. INIFAPCIRPACCampo Experimental Uruapan. 173 p. (Libro Técnico Núm. 1). [ Links ]
Bruz, D. J.; De Gruijter, J. J.; Barsman, B. A.; Visschers, R.; Bregt, A. K.; Brewuwsma, A. and Bouma, J. 1996. The performance of spatial interpolation methods and cloropleth maps to estimate properties at points: a soil survey case study. Environmetrics. 7(1):116. [ Links ]
Benton, J. J. Jr. 2003. Agronomic handbook. Management of crops, soils, and their fertility. CRC PRESS. Boca Raton. London. New York. Washington, D.C. USA. 450 p. [ Links ]
Brejda, J. J.; Moorman, T. B.; Smith, J. L.; Karlen, D. L.; Allan, D. L. and Dao, T. H. 2000. Distribution and variability of surface soil properties at a regional scale. Soil Sci. Soc. Am. J. 64: 974982. [ Links ]
Burrough, P. A. and McDonnell, R. 1998. Principles of geographical information systems. Claredon Press Oxford. New York. 333 p. [ Links ]
Curiel, B. A.; Rangel, R. A.; Reyna, B. O.; Ponce, R. J.; Ramírez, Q. A. e Ibarra, C. D. 1991. Ordenamiento ecológico de Zapopan. Laboratorio bosque la primavera. Universidad de GuadalajaraH. Ayuntamiento de Zapopan. Zapopan, Jalisco. 145 p. [ Links ]
Czaplewski, R. L.; Reich, R. M. and Bechtold, W. A. 1994. Spatial autocorrelation in growth of undisturbed natural pine stand across Georgia. Fort. Sci. 40:314328. [ Links ]
De Beurs, K. 1988. Evaluation of spatial interpolation techniques for climate variables (case study of Jalisco, Mexico). (NRG/GIS modeling lab). Department of Mathematics, Wageningen Agricultural University. Supervisor from CIMMYT, México: 68 p. [ Links ]
De la Mora, O. C.; Flores, G. J. G.; Ruiz, C. J. A. y García, V. J. 2004. Modelaje estocástico de la variabilidad espacial de la calidad de agua en un ecosistema lacustre. Rev. Int. Contam. Ambient. 20(3):99108. [ Links ]
Edward, J. P. 1997. Soil science management. 3rd. Edition. Delmar publishers. Albany, New York. 393 p. [ Links ]
Edward, J. P. 2000. La ciencia del suelo y su manejo. Editorial Paraninfo. Madrid, España. 405 p. [ Links ]
Eastman, J. R. 1999. Idrisi32. Guide to GIS and image processing Volume I. Clark Labs, Clark University. Worcester, MA, USA. 193 p. [ Links ]
Organización de las Naciones Unidas para la Agricultura y la Alimentación (FAO). 1985. Mapa mundial de los suelos (1:5'000,000) FAOUNESCO. Leyenda revisada. Roma. pp. 140. [ Links ]
Flores, L. H. E.; Byerly, M. K. F.; Aceves, R. J. J. y Ruiz, C. J. A. 2002. Diagnóstico del sistema de producción de agave con énfasis en problemas fitosanitarios. In: análisis agroecológico del agave tequilana Weber var. Azul con énfasis en problemas fitosanitarios en Jalisco. INIFAPCIRPACC.E. Altos de Jalisco. Tepatitlán, Jalisco., México. pp. 6395. (Publicación Especial Núm. 1). [ Links ]
Fundación Produce Jalisco (FPJ). 2000. Base de datos de muestreos de suelo en campo en las áreas agrícolas del estado de Jalisco. Archivos electrónicos. Guadalajara, Jalisco, México. [ Links ]
Gamma. 2001. Geostatistics for the Environmental Sciences (GS+) versión 5.1.1. Disco compacto. Gamma Design Software. Plainwell, MI, USA. [ Links ]
González, A. I. J.; Ruiz, C. J. A.; López, A. J. G.; Mena, H. L.; Martínez, P. R. A.; Camarena, B. J. A.; Pérez, B. M. H.; Vázquez, V. V. y Villa, H., R. 1996. Diagnóstico del potencial agroecológico para caña de azúcar en áreas de ampliación del Ingenio de Puga, en el estado de Nayarit. INIFAPCIRPAC. Tepic, Nayarit, México. 86 p. (Publicación Especial Núm. 1). [ Links ]
Guerrero, G. A. 1996. El suelo, los abonos y la fertilización de los cultivos. Ediciones MundiPrensa Grafo, S. A. Bilbao. España. 206 p. [ Links ]
Hartkamp, A. D.; De Beurs, K.; Stein, A. and White, J. W. 1999. Interpolation techniques for climate variables. NRGGIS Series 9901. CIMMYT. México, D. F. 26 p. [ Links ]
Hemyari, P. and Nofziger, D. L. 1987. Analytical solution for punctual kriging in one dimension. Soil Sci. Soc. Am. J. 51(1):268269. [ Links ]
Havlin, J. L.; Beaton, J. D.; Tisdale, S. L. and Nelson, W. L. 2005. Soil fertility and fertilizers. An introduction to nutrient management. Pearson Prentice Hall. 7th Edition. Upper Saddle River, NJ, USA. 515 p. [ Links ]
Ibarra, C. D.; Ruíz, C. J. A.; Flores, G. J. G. y González, E. D. R. 2007. Distribución espacial del contenido de materia orgánica de los suelos agrícolas de Zapopan, Jalisco. Revista Terra Latinoamericana 25(2). En Prensa. [ Links ]
Instituto Nacional de Estadística, Geografía e Informática (INEGI). 2001. Modelo digital de elevación escala 1:50,000. In: modelos digitales de elevación. Disco compacto. Aguascalientes, Aguascalientes, México. [ Links ]
Instituto Nacional de Estadística, Geografía e Informática (INEGI). 2004. Edafología, guía para la interpretación de cartografía. Aguascalientes, Aguascalientes, México. 28p. [ Links ]
Isaaks, E. H. and Srivastava, R. M. 1989. An introduction to applied geostatistics. Oxford University Press. New York. 561 p. [ Links ]
Journel, A. G. and Huijbregts, A. V. 1978. Mining geostatistics, Academic Press, New York. 300p. [ Links ]
Norma Oficial Mexicana 021 (NOM 021) 2000. SEMARNAT año 2000, que establece las especificaciones de fertilidad, salinidad y clasificación de suelos. Estudios, muestreo y análisis. Estados Unidos Mexicanos. Secretaría de Medio Ambiente, Recursos Naturales y Pesca (SEMARNAT). 85 p. [ Links ]
Olea, R. A. 1991. Geostatistical glossary and multilingual dictionary. Oxford University Press, New York. 256p. [ Links ]
Prasad, R. and Power, J. F. 1997. Soil fertility management for sustainable agriculture. Lewis Publishers. Boca Raton. New York. 356p. [ Links ]
Ruiz, C. J. A.; Flores, L. H. E.; Martínez, P. R. A.; González, E. D. R. y Nava, V. L. 1997. Determinación del potencial productivo de especies vegetales para el Distrito de Desarrollo Rural de Zapopan, Jalisco. INIFAPCIRPACC. E. Centro de Jalisco. Tlajomulco de Zúñiga., Jalisco, México. 60 p. (Folleto Técnico Núm. 5). [ Links ]
Ruiz, C. J. A.; González, A. I. J.; Anguiano, C. J.; Vizcaíno, V. I.; Ibarra, C. D.; Alcalá, G. J.; Espinosa, V. S. y Flores, L. H. E. 2003a. Estadísticas climatológicas básicas para el estado de Jalisco (período 19612000). INIFAPCIRPACCampo Experimental Centro de Jalisco. 1ª. Ed. Conexión Gráfica. Guadalajara, Jalisco, México. 281 p. (Libro Técnico Núm. 1). [ Links ]
Ruiz, C. J. A.; González, A. I. J.; Regalado, R. J. R.; Anguiano, C. J.; Vizcaíno, V. I. y González, E. D. R. 2003b. Recursos edafoclimáticos para la planeación del sector productivo en el estado de Jalisco. INIFAPCIRPAC. Guadalajara, Jalisco, México. 172 p. (Libro Técnico Núm. 2). [ Links ]
Secretaría de Gobierno del Estado de Jalisco (SGJ). 1988. Los Municipios de Jalisco. Secretaría de Gobierno del estado de Jalisco, Centro estatal de estudios municipales de Jalisco. Colección: Enciclopedia de los municipios de México. México, D. F. 189 p. [ Links ]
Sahin, A. and Hassan, H. M. 1998. Enhancement of permeability variograms using outcrop data. The Arabian J. Sci. and Eng. 23(1):137144. [ Links ]
Samra, J. S.; Gill, H. S. and Bhatia, V. K. 1989. Spatial stochastic modeling of growth and forest resource evaluation. For. Sci. 35:663676. [ Links ]
Secretaría de Medio Ambiente para el Desarrollo Sustentable (SEMADES). 2006. Ordenamiento ecológico territorial del estado de Jalisco. Última modificación, 27 de julio de 2006. Disponible en: http://www.semades.jalisco.gob.mx/06/ordenamiento.htm. (consultada el 28 de noviembre de 2006). [ Links ]
Webster, R. and McBratney, A.B. 1987. Mapping soil fertility at broom's barn by simple Kriging. J. Sci. Food Afric. 38:97115. [ Links ]













