Servicios Personalizados
Revista
Articulo
Indicadores
-
Citado por SciELO -
Accesos
Links relacionados
-
Similares en
SciELO
Compartir
Agricultura técnica en México
versión impresa ISSN 0568-2517
Agric. Téc. Méx vol.35 no.1 México ene./mar. 2009
Nota de investigación
Psiloideos y cicadélidos en el cultivo de la papa en el Bajío, Guanajuato, México*
Psylloids and leafhoppers on the potato crop in el Bajio, Guanajuato, Mexico
Antonio Marín Jarillo1
, Rafael Bujanos Muñiz1 y Felipe Delgadillo Sánchez1
1Entomología, Campo Experimental Bajío, INIFAP, km 6.5 carretera CelayaSan Miguel de Allende, Celaya, Guanajuato C. P. 38010 Celaya, Guanajuato. México. Tel. 01 461 6115323.
Autor para correspondencia:
antma22@yahoo.com.mx , bujanos@alestra.net.mx y delgadillo.felipe@inifap.gob.mx.
* Recibido: Enero, 2007
Aceptado: Febrero, 2009
RESUMEN
El objetivo de este estudio fue identificar los psiloideos y chicharritas presentes en una localidad de la región productora de papa del estado de Guanajuato, México. La investigación se realizó durante dos ciclos agrícolas del cultivo en 2003, se utilizaron charolas amarillas (trampas) con agua. Los géneros y especies de psílidos colectados fueron: Bactericera cockerelli (Sulcer.), Paracarsidara gigantea (Crawford), Paratrioza maculipenis (Crawford), Heteropsilla texana (Crawford), y Rhinopsylla prob antennata (Crawford). Los géneros y especies de chicharritas colectadas fueron: Carneocephala sp., Empoasca kraemeri Ross & Moore, E. mexara Ross & Moore y E. solana DeLong, Elymana sp., Oncopsis sp. , Phera centrolineata (Signoret), Scaphytopius sp., Agallia barretti Ball, Paraphlepsius sp., Agalliopsis sp., Aceratagallia sp. y Draeculacephala minerva Ball.
Palabras clave: chicharritas, papa, psiloideos.
ABSTRACT
The aim of this study was to identify the psylloids and leafhoppers present at one locality in the potato production region of the state of Guanajuato, Mexico. The work was carried out during two crop cycles in 2003, using yellow traps with water. The genera and species of psylloids collected were: Bactericera cockerelli (Sulcer.), Paracarsidara gigantea (Crawford), Paratrioza maculipenis Crawford, Heteropsilla texana Crawford, and Rhinopsylla prob antennata (Crawford). The genera and species of leafhoppers collected were: Carneocephala sp., Empoasca kraemeri Ross & Moore, E. mexara Ross & Moore and E. solana DeLong., Elymana sp., Oncopsis sp.,Phera centrolineata (Signoret), Scaphytopius sp., Agallia barretti Ball, Paraphlepsius sp., Agalliopsis sp., Aceratagallia sp. and Draeculacephala minerva Ball.
Key words: leafhoppers, potato, psylloids.
En México el pulgón saltador del tomate/papa Bactericera (=Paratrioza) cockerelli (Sulc.) transmite el fitoplasma causante del "permanente del tomate" (Garzón et al., 2005) y con base en los avances reportados por el mismo autor, se infiere que el síntoma "punta morada" de la papa es causado por un fitoplasma, el cual es transmitido por B. cockerelli (Garzón, 2002). En los de Estados Unidos de América, México y Centro América fue detectado un defecto en las papas al momento de freírlas al que se le conoce como "zebra chips" (ZC) cuyos síntomas foliares se asemejan a los de la enfermedad conocida como "punta morada de la papa" o "enfermedad del amarillamiento por psílidos". A la fecha, el agente(s) causal(s) y el vector(s) de ZC son desconocidos; sin embargo, una inspección de los insectos asociados al cultivo de papa en el estado de Texas, EUA y en los estados productores de México indicaron que el psílido de la papa Bactericera cockerelli (Sulc.), fue el insecto más común y abundante en todos los campos afectados con los síntomas de "zebra chips" por lo que se concluyó que existe una fuerte asociación entre el pulgón saltador de la papa (B. cockerelli) y la enfermedad "zebra chips" (Munyaneza et al., 2007 y Munyaneza y Crosslin, 2008).
Poblaciones de formas adultas e inmaduras (huevecillos y ninfas) de esta plaga son abundantes en cultivos de papa, jitomate, tomate de cáscara y chile, además de otras solanáceas silvestres, no así las poblaciones de chicharritas, las cuales son bajas y sólo se encuentran sus formas adultas ya que debido a la constante aplicación de plaguicidas y a los hábitos de vida de estos insectos, la colonización en los cultivos antes mencionados es casi imposible, principalmente en el cultivo de la papa.
Las chicharritas son insectos comunes en diversos cultivos de importancia económica en México, varias de sus especies causan daños económicos a cultivos como frijol, maíz, betabel, jitomate, remolacha, alfalfa, aguacate, melón, tabaco, vid, algodón, henequén y arroz entre otros. Su daño directo (alimentación) es mínimo comparado con la transmisión de agentes patógenos causantes de diversas enfermedades como el virus del enrollamiento de la punta, amarillamiento del aster, punta morada y el agente virescente (BLTVA) transmitido por la chicharrita del betabel (Munyaneza, 2003). Al igual que los insectos antes mencionados, las poblaciones de formas adultas e inmaduras (huevecillos y ninfas) del pulgón saltador del tomate/papa Bactericera (=Paratrioza) cockerelli (Sulc.) son abundantes en los cultivos de papa, jitomate, tomate de cáscara y chile, además de otras solanáceas silvestres.
Los psílidos y chicharritas tienen un papel importante en la transmisión de agentes fitopatógenos y en México pocos son los trabajos sobre taxonomía, biología, comportamiento, distribución, etc. de estos grupos de importancia económica, por lo cual se estableció como objetivo del presente trabajo el conocer las especies de estos insectos que están reportadas sobre el cultivo de papa en una localidad de León, Guanajuato, México, en 2003.
Se tomó como base la encuesta realizada por la Comisión Nacional para el Conocimiento y Uso de la Biodiversidad (CONABIO), 1995, en la que se enlistan las instituciones nacionales que cuentan con colecciones entomológicas, en búsqueda de los registros de ejemplares de la familia Cicadellidae y la superfamilia Psylloidea o especialistas en la identificación de estos grupos.
En campo, los especímenes utilizados para la realización del presente estudio fueron colectados en charolas amarillas (trampas) con agua con una pizca de jabón, colocadas fuera y dentro del cultivo de papa siempre a una altura en la cual sobrepasaran el follaje de estas plantas durante dos ciclos agrícolas de 2003, en "La Escondida" localizado en el municipio de León, Guanajuato a 1 785 m y coordenadas 21° 01' 41.8'' longitud oeste y 101° 43.6' 51 '' latitud norte, la localidad antes mencionada fue referenciada geográficamente con un GPS de 12 canales XL marca GARMIN.
El material colectado se almacenó en frascos que contenían solución de alcohol al 70% y en el laboratorio de entomología del Campo Experimental Bajío, se realizó la separación de las chicharritas y psílidos, así como la aclaración de genitales masculinos útiles en la identificación de las especies de estos grupos; y con ayuda de claves dicotómicas de diversos autores (Osborn, 1928; Medler, 1942; DeLong, 1948; Nielson, 1968 y Sterling, 1982) se realizó la identificación de subfamilias, géneros y especies de la familia Cicadellidae y para la identificación de ejemplares de Psylloidea se utilizaron claves de Crawford 1910a, Crawford 1910b, Crawford 1911a, Crawford 1911b, Crawford 1911c; Crawford 1914; Caldwell y Martorell, 1952 y Brown y Hodkinson, 1988. Las observaciones fueron realizadas con un microscopio estereoscópico marca ZEISS Stemi 2000C. Los ejemplares referidos en esta investigación se encuentran depositados en la colección nacional de insectos del Instituto Nacional de Investigaciones Forestales, Agrícolas y Pecuarias (INIFAP), localizada en el Campo Experimental Bajío (Celaya, Guanajuato).
En la consulta realizada se encontraron 21 colecciones de insectos de diversas instituciones nacionales, de estas sólo dos cuentan con ejemplares de la familia Cicadellidae; la colección del Colegio de Postgraduados, Campus Tabasco y la colección nacional de insectos (CNI) del INIFAP; la primera cuenta con 530 ejemplares sin identificar y la segunda con 1 514 ejemplares identificados y montados en seco que representan a 88 géneros y 205 especies así como con 5 823 especímenes almacenados en alcohol al 70% representados por 27 géneros y 44 especies las cuales fueron identificadas en el Departamento de Agricultura de los Estados Unidos (USDA) por el Dr. J. P. Kramer de 1977 a 1987. En cuanto a colecciones de psiloideos sólo la CNI del INIFAP cuenta con ejemplares de la superfamilia Psylloidea, la cual contempla 1 624 ejemplares que representan a 10 géneros y 12 especies.
En campo durante el ciclo agrícola iniciado en febrero de 2003, el número máximo de chicharritas adultas colectadas fue de 11 y 9 ejemplares en plantas arvenses y en el cultivo de papa respectivamente, ambos en el mes de marzo.
En el segundo ciclo iniciado en septiembre 2003, el número máximo de chicharritas colectados en cultivo de papa fue de 20 especímenes atrapados en los primeros días de la segunda quincena de noviembre; en plantas arvenses el número fue de 24 ejemplares colectados a finales de diciembre y principios de enero 2004; esto debido a que en esa fecha el follaje del cultivo había sido cortado y las poblaciones de chicharritas se refugiaron en las plantas arvenses.
En los dos ciclos agrícolas en que se llevó a cabo esta investigación se identificaron 11 géneros de chicharritas (Cuadro 1). Los géneros Carneocephala, Empoasca, Oncopsis, Phera, y Agallia, fueron colectados durante los dos ciclos agrícolas tanto en cultivo de papa como en plantas arvenses. Los géneros Paraphlepsius, Aceratagallia y Draeculacephala sólo se encontraron en plantas arvenses. La importancia de la presencia de estos géneros radica en que algunas especies de los mismos pueden ser transmisoras de diversas enfermedades de tipo viral y representan una amenaza permanente en el cultivo de papa.
En el monitoreo de psiloideos iniciado en febrero, se detectaron las especies Bactericera cockerelli (Sulcer), Paracarsidara gigantea Crawford y otras especies de psiloideos. El número máximo de adultos de la primer especie (15) se obtuvo en las trampas colocadas dentro del cultivo de papa no obstante al uso intensivo de plaguicidas y un sólo ejemplar se capturó en plantas arvenses; en estas, la especie P. gigantea se presentó de manera constante pero en poblaciones muy bajas lo que sucedió de igual manera en el cultivo de papa (Figura 1). Tanto en el cultivo de papa como en arvenses se presentaron otras especies de psílidos las cuales se encuentran en proceso de identificación.
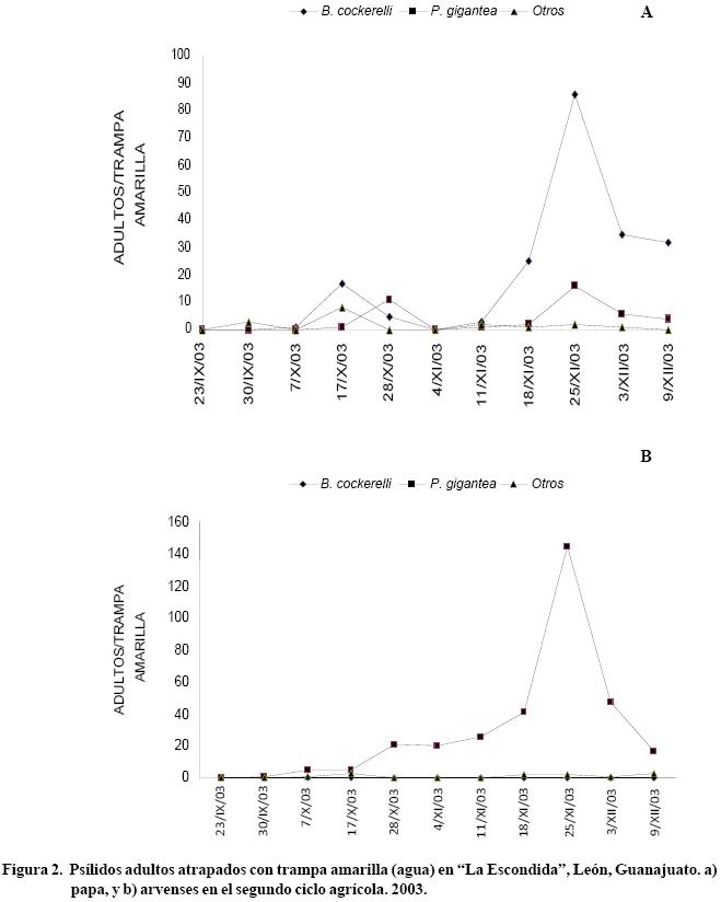
En el segundo ciclo agrícola iniciado en septiembre las poblaciones de B. cockerelli y P. gigantea tanto en el cultivo de papa como en las plantas arvenses que lo rodea se incrementaron al término de la etapa fenológica del cultivo y las poblaciones de otros psílidos fueron muy bajas (Figura 2). En los psílidos atrapados en "La Escondida" se observó que las poblaciones de B. cockerelli y P. gigantea fueron más abundantes en el ciclo otoñoinvierno.
Las especies de psílidos colectadas dentro y fuera del cultivo de la papa durante los dos ciclos agrícolas se presentan en el Cuadro 2. B. cockerelli estuvo presente en los dos ciclos agrícolas del cultivo de papa y en las plantas arvenses que lo rodea sólo se atrapó un ejemplar de P. gigantea en los meses de febrero a mayo. Las otras especies de psiloidea presentes en las trampas amarillas fueron Paratrioza maculipenis Crawford, Heteropsilla texana Crawford y Rhinopsylla prob. antennata (Crawford) la primera es muy parecida a B. cockerelli y sólo se presentó en los meses de febrero a mayo; esta especie desarrolla su ciclo de vida (huevecillo, ninfas y adultos) sobre la jarilla amarilla (Senecio salignusDC.) la cual es su hospedera, esta es una planta arvense de hábito ruderal que crece en terrenos abandonados (Terrone et al., 2004); esta planta se localiza fácilmente a orillas de carreteras y terracerías así como en los alrededores de diversos cultivos en la región de El Bajío. La especie Heteropsila texana sólo fue colectada en trampas colocadas dentro del cultivo de papa lo que no ocurrió con Rhinopsylla prob. antennata la cual sólo se presentó en plantas arvenses. R. prob. antennata pertenece a un grupo monofilético junto con Bactericera Puton y Paratrioza Crawford las cuales tienen cápsulas genitales, antenas y venación muy similares a tal grado que pudieran llegar a ser sinónimos (Brown & Hodkinson, 1988). A esta lista de especies se deben agregar otras 10 especies de Psylloidea las cuales están en proceso de identificación.
CONCLUSIONES
Se identificaron cinco especies de psiloideos y 13 especies de chicharritas asociados a papa cultivada y arvenses aledañas en La Escondida, León, Guanajuato, México.
LITERATURA CITADA
Brown, R. G. and Hodkinson, I. D. 1988. Taxonomy and ecology of the jumping plantlice of Panama. Entomonograph Vol. 9. Ed. L. Lyneborg. E. J. Brill/Scandinavian Science Press Ltd. New York. 304 p. [ Links ]
Comisión Nacional para el Conocimiento y Uso de la Biodiversidad (CONABIO). 1995. Colecciones científicas. Información de las colecciones mexicanas. (Disponible en línea en http://www.conabio.gob.mx). [ Links ]
Caldwell, J. S. and Martorell, L. F. 1952. A brief review of the psyllidae of Puerto Rico. Ann. Ent. Soc. Amer. 44:603613. [ Links ]
Crawford, D. L. 1910a. American Psyllidae I (Triozinae). Pomona College Journal of Entomology. 2:228237. [ Links ]
Crawford, D. L. 1910b. American Psyllidae II (Triozinae). Pomona College Journal of Entomology. 2:347362. [ Links ]
Crawford, D. L. 1911a. American Psyllidae III (Triozinae). Pomona College Journal of Entomology. 3:422453. [ Links ]
Crawford, D. L. 1911b. American Psyllidae IV. Pomona College Journal of Entomology. 3:480503. [ Links ]
Crawford, D. L. 1911c. American Psyllidae V. Pomona College Journal of Entomology. 3:628632. [ Links ]
Crawford, D. L. 1914. A monograph of the jumping plantlice or psyllidae of the new worldBulletin of the United States National Museum. 85:1186. [ Links ]
DeLong, D. M. 1948. The leafhoppers, or Cicadellidae, of Illinois (EurymelinaeBalcluthinae). Bull. Illinois Nat. History Survey 24: 2:97376. [ Links ]
GarzónTiznado, J. A. 2002. Asociación de Paratrioza cockerelli Sulc. con enfermedades en papa (Solanum tuberosum) y Tomate (Lycopersicon lycopersicum Mil. Ex Fawnl) en México. In: Avilés, G. M. A., Gálvez R. J. B. y Garzón T. J. A. (Eds). Memoria del Taller sobre Paratrioza cockerelli Sulc. Culiacán, Sin., México. Primera Edición. [ Links ]
GarzónTiznado, J. A.; GarzónCeballos, J. A.; VelardeFelix, S.; MarínJarillo, A. y Cárdenas Valenzuela, O. G. 2005. Ensayos de transmisión del fitoplasma asociado al "Permanente del Tomate" por el psílido Bactericera cockerelli Sulc. en México. In: Morales M. A.; Mendoza, E. A., Ibarra, G. M. P. y Stanford, C. S. (Eds). Entomología Mexicana 4:672675. [ Links ]
Medler, J. T. 1942. The leafhoppers of Minnesota Homoptera:Cicadellidae. Agric. Exp. Station. University of Minnesota. 196 p. [ Links ]
Munyaneza, J. E.; Crosslin, J. and Upton, J. E. 2007. Association of Bactericera cockerelli (Homoptera: Psyllidae) with 'zebra chip', a new potato disease in southwestern United States and Mexico. J. Econ. Entomol. 100(3):656663. [ Links ]
Munyaneza, J. E. 2003. Leafhopper identification and biology. Pacific Northwest Vegetable Association Proceedings. 8991. [ Links ]
Munyaneza, J. E. and Crosslin, J. 2008. Zebra chip, a new potato disease in North and Central America, is associated with the potato psyllid. pp. 124127. In: Chiru, S.; Olteanu, G.; Aldea, C. and Badarau, C. (eds.), "potato for a changing world". Transilvania University of Brasov Publishing House, Brasov, Romania. [ Links ]
Nielson,M.W.1968.Theleafhoppervectorsofphytopathogenic viruses (Homoptera: Cicadellidae) taxonomy, biology and virus transmission. Bull. Tech. No. 1382 Agric. Res. Serv., U.S. Dep. Agric. Washington. 386 p. [ Links ]
Osborn, H. 1928. The leafhoppers of Ohio. Vol. III: No. 4. Bulletin No. 14. 374 p. [ Links ]
Sterling, P. S. 1982. A taxonomic study of the leafhopper genus Empoasca (Homoptera: Cicadellidae) in eastern Peru. Tech. Bull. 272. North Carolina Agric. Res. Serv. 194 p. [ Links ]
Terrones, R. T. del R. L.; González, S. C. y Ríos, R. S. A. 2004. Arbustivas nativas de uso múltiple en Guanajuato. Instituto Nacional de Investigaciones Forestales, Agrícolas y Pecuarias, Campo Experimental Bajío, Celaya, Guanajuato, México 216 p. (Libro Técnico Núm. 2). [ Links ]












