Servicios Personalizados
Revista
Articulo
Indicadores
-
Citado por SciELO -
Accesos
Links relacionados
-
Similares en
SciELO
Compartir
Revista latinoamericana de química
versión impresa ISSN 0370-5943
Rev. latinoam. quím vol.40 no.3 Naucalpan de Juárez dic. 2012
X-Ray diffraction and NMR studies of two chromenes from the reoots of Ageratina arsenei
Mario A. Gómez-Hurtadoa, Judit A. Aviña-Verduzcoa, J. Betzabe González-Camposa, Yliana López-Castroa, Gabriela Rodríguez-Garcíaa, Carlos M. Cerda-García-Rojasb, Rosa E. del Ríoa,*
a Instituto de Investigaciones Químico-Biológicas, Universidad Michoacana de San Nicolás de Hidalgo, Edificio B-1, Ciudad Universitaria, Morelia, Michoacán, 58030 México.
b Departamento de Química y Programa de Posgrado en Farmacología, Centro de Investigación y de Estudios Avanzados del Instituto Politécnico Nacional, Apartado 14-740, México, D. F., 07000 México. *Corresponding autor: Tel.: +52 443 326 5790, fax: +52 443 326 5788. E-mail: ndelrio@umich.mx (R. E. del Río).
Received September 2012.
Accepted December 2012.
ABSTRACT
Eupatoriochromene (1) and ripariochromene B (2), isolated in good yields from the roots of Ageratina arsenei, were studied by X-ray diffraction analysis showing that, in the solid state, there is a distortion from planarity of the bicyclic system due to crystal packing besides several classical and non-classical hydrogen bond interactions. DFT B3LYP/DGDZVP calculations of eupatoriochromene (1) allowed comparison of the DFT bond distances with those obtained from the X-ray analysis, while GIAO calculations of the NMR shielding tensors were used to evaluate the chemical shift differences with respect to the experimental values measured in CDCl3.
Keywords: Ageratina arsenei, eupatoriochromene, ripariochromene B, X-ray diffraction, non-classical hydrogen bond interactions, NMR, DFT calculations, GIAO method.
RESUMEN
El eupatoriocromeno (1 ) y el ripariocromeno B (2), aislados en buen rendimiento de las raíces de Ageratina arsenei, se estudiaron por difracción de rayos X observándose que en el estado sólido existe una distorsión de la planaridad del sistema bicíclico debida al empaquetamiento cristalino, además de varias interacciones por puentes de hidrógeno clásicos y no clásicos. Los cálculos TFD B3LYP/DGDZVP del eupatoriocromeno (1 ) permitieron la comparación de las distancias de enlace teóricas con las obtenidas del análisis de rayos X, mientras que los cálculos de RMN de los tensores de protección anisotrópica obtenidos con el método GIAO se utilizaron para evaluar las diferencias en los desplazamientos químicos teóricos con respecto a los valores experimentales medidos en CDCl3.
INTRODUCTION
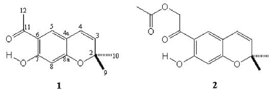
The genus Ageratina was revisited and restructured during the seventies of the last century. About 200 species were reclassified, in particular those which were critically considered with differences from the broad genus Eupatorium (King et al. 1978). Nowadays, new species are included within the genus Ageratina, such as A. iltisii B.L. Turner, collected from Manatlán mountains in Jalisco, Mexico, A. microcephala, discovered in Oaxaca, Mexico, and A. reserva, found in Chiapas, Mexico (Turner 2012). Ageratina arsenei has also been described as a Mexican species that is mainly distributed in the central part of the country, including Mexico City, and the states of Mexico and Morelos (Rzedowski et al. 2005). This species was initially collected from the State of Michoacán in 1911 and identified as Eupatorium arsenei (Robinson 1934) to be later considered as A. arsenei (Rzedowski et al. 2005). The aerial parts of this species have been studied from the chemical point of view to yield a series of methoxylated chromenes as (+)-encecanescin, agerasanin and the 6-[2-(2-hydroxy-4-methyl-5- isopropylphenyl)-ethyl]-7-methoxy-2,2-dimethylchromene (Fang et al. 1988). Other authors reported the isolation of desmethoxyencecalin, 2,2-dimethyl-6- acetyl-2H-chromene and 2,2-dimethyl-6-acetyl-7-hydroxy-8-methoxy-2H-chromene (Hernández et al. 1995). This paper describes the isolation, X-ray diffraction studies, and NMR spectroscopy of two biogenetically related chromenes, eupatoriochromene (1) and ripariochromene B (2), from the roots of A. arsenei.

MATERIAL AND METHODS
Melting points were measured on a Fisher-Johns apparatus and are uncorrected. 1H and 13C NMR spectra, as well as COSY and HETCOR spectra, were determined on a Varian Mercury Plus-400 spectrometer. DEPT and HMBC experiments were obtained on a Varian Mercury 300 spectrometer. Chemical shifts are referenced to the CHCl3 residual solvent signal (δ 7.27) or to the central 13C triplet signal of CDCl3 (δ 77.0). IR spectra were measured on a Perkin Elmer 16F PC FT-IR spectrophotometer using CCl4 solutions. UV spectra were obtained with a Perkin-Elmer Lambda 12 spectrophotometer using MeOH solutions. Mass spectra were obtained at 70 eV with a Hewlett Packard 5989-B mass spectrometer. The products were separated by column chromatography over silica gel (70-230 mesh) or neutral alumina (Alcoa Chemicals®) eluting with mixtures of hexane-EtOAc.
Plant material
Specimens of Ageratina arsenei were collected at 19° 39.939' N, 101° 00.300' W near km 220 of the Mexico-Morelia federal road No. 15 in the state of Michoacán, Mexico, during October 2005. A voucher specimen is deposited at the Herbarium of Instituto de Ecología, A. C., in Pátzcuaro, Michoacán, Mexico (voucher number 188470) where Professor Jerzy Rzedowski kindly identified the plant material.
Extraction and isolation
Air-dried powdered roots of A. arsenei (1.0 kg) were extracted with hexane under reflux for 4 h. Evaporation of the extract afforded a yellow solid (10.4 g) and a portion (2.0 g) was column chromatographed over alumina (3.0 g) on top of silica gel (40.0 g) eluting with mixtures of hexane-EtOAc of increasing polarity. Eupatoriochromene (1) was obtained as yellow crystals (1.3 g) from the fractions eluted with hexane-EtOAc 19:1, while ripariochromene B (2) was isolated as colorless crystals (0.5 g) from fractions eluted with hexane-EtOAc 3:2. Both compounds were recrystallized from acetone-hexane.
Eupatoriochromene (1). Yellow needles: mp 74-75 °C; EIMS m/z (rel. int.) 218 [M]+ (20), 203 (100), 185 (20); IR vmax (CCl4): 2981, 2936, 1639 cm-1; UV λmax (log ε): 234 (4.39), 257 nm (4.67); 1H and 13C NMR see Table 1.
Ripariochromene B (2). Colorless needles: mp 144-145 °C; EIMS m/z (rel. int.) 276 [M]+ (18), 261 (40), 219 (15), 201 (100); IR vmax (CCl4): 2986, 2939, 1760, 1650 cm-1; UV λmax (log ε): 233 (4.53), 256 nm (4.76); 1H and 13C NMR see Table 1.
Crystal structure determination
Crystals of 1 and 2 were obtained from acetone-hexane by slow evaporation of the solvent at room temperature. The X-ray measurements were performed on an Enraf-Nonius CAD4 or Bruker Smart 6000 CCD diffractometers (see Table 2). The structures were solved by direct methods using the SHELXL-97 program (Sheldrick 1997) included in the WinGX v1.70.01 software package. For the structural refinement, the non-hydrogen atoms were treated anisotropically and the hydrogen atoms, included in the structure factor calculations, were refined isotropically. Crystallographic data have been deposited with the Cambridge Crystallographic Data Centre. Copies of the data can be obtained free of charge on application to the Director, CCDC, 12 Union Road, Cambridge CB2 1EZ, UK (fax: +44-(0)1223-336033 or e-mail: deposit@ccdc.cam.ac.uk).

Molecular modeling
The molecular model for structure 1 was built in the Spartan'04 program (Wave-function, Irvine, CA, USA) with the MMFF94 force-field calculations, exploring all rotameric species for the hydroxyl and acetyl groups to obtain the minimum energy conformer. The structure was optimized using the density functional theory with the B3LYP functional and DGDZVP basis set. The resulting structure was used to calculate the thermochemical parameters at 298 K and 1 atm. Also, magnetic shielding tensors were calculated with the gauge-including atomic orbital (GIAO) method (Jameson 1996) at the same level of theory in the presence of CHCl3 perturbation using the Polarizable Continuum Model as implemented in the Gaussian 03W program (Gaussian Inc., Wallingford, CT, USA). The NMR shielding tensors were converted to chemical shifts (δ) by considering the isotropic values of the TMS shielding tensors, which were calculated at the same level of theory.
RESULTS AND DISCUSSION
Eupatoriochromene (1 ) was isolated as yellow needles in very good yields from the roots of Ageratina arsenei (65% of the extract and 0.68% with respect to plant material). This substance shows insecticidal activity against Culexpipiens (Klocke et al. 1985) and Tenebrio molitor larvae (Carrizo et al. 1998) and has plant growth regulatory activity (Merrill, 1989). Its mass spectrum showed [M]+ at m/z 218 consistent with the molecular formula C13H14O3. The 1H and 13C NMR spectra, listed in Table 1, were identical to those reported (Steinbeck et al. 1997). Ripariochromene B (2) was isolated as colorless needles also in good yields (25% of the extract and 0.26% with respect to the root). The mass spectrum showed [M]+ at m/z 276 consistent with molecular formula C15H16O5. Both compounds provided good quality crystals for X-ray diffraction analysis when recrystallized from acetonehexane. The X-ray study confirmed the chemical structures of 1 and 2 as shown in Figures 1 and 2, respectively. In both cases, the compounds crystallized in the triclinic system, space group P1(bar) as indicated in Table 2. The unit cell of eupatriochromene ( 1 ) contained two asymmetric units with two distinct molecules per unit. The two crystallographically different molecules, labeled as 1 and 1(A), showed small differences in intramolecular interactions and in short intermolecular contacts (Steiner 2003) as listed in Table 3. For compound 1, the most significant interactions were the classical hydrogen bonds O7-H7 ···O11 and O7(A)-H7(A)···O11(A) with bond distances of 1.709 and 1.752 Å , respectively, and the non-classical hydrogen bonds (see Table 3) as the C8(A)-H8(A)···O1 as well as the C9(A)-H9(A)···O7 interactions with bond distances of 2.687 Å and 2.659 Å, respectively. Other non-classical interactions are listed in Table 3 and the differences in bond lengths between molecules 1 and 1A can be observed in Table 4.

Several classical and non-classical hydrogen bond interactions were also observed in the X-ray structure of ripariochromene B (2). The classical O7-H7···O11 hydrogen bond was 1.759 Å , while both non-classical interactions C14-H14···O7(A) and C14(A)-H14(A)···O7 showed bond distances of 2.647 Å. These contacts are probably influencing the conformation of the acetyloxyacetyl moiety that displayed a dihedral angle of 78.0° between the planes formed by O12-C12-C11 and O12-C13-C14. Other non-classical bond interactions can be seen in Table 3, while Table 4 shows the crystallographic bond lengths for ripariochromene B (2). Significant distortion from planarity of the chromene bicyclic system was observed for compounds 1 and 2, particularly in the pyran ring. These deviations are quantitatively described by the torsion angles listed in Table 5, being similar to those reported for the analogous compound 6-acetyl-5-hydroxy-2,2-dimethyl-2H-chromene (Rodríguez-López et al., 2006).
Eupatoriochromene (1) was employed as a model compound to compare the DFT calculated parameters with the C-C and C-O X-ray bond lengths and also with the experimental NMR chemical shifts. A molecular model of eupatoriochromene (1) was constructed using the X-ray diffraction coordinates of 1 and 1A as the starting point for the molecular mechanics calculations that were performed with the MMFF94 force-field. In both cases, the same minimum energy conformer was found for 1 within the energy range of 0-4 kcal/mol. This structure was geometry optimized using DFT calculations with the B3LYP functional and DGDZVP basis set, showing that the chromene bicyclic system becomes planar in the absence of intermolecular interactions (Figure 1). The 13C NMR chemical shifts for eupatoriochromene (1) were calculated from the magnetic shielding tensors obtained through the GIAO method (Jameson 1996) including the solvent effect. The theoretical 13C NMR values of are contrasted in Table 1 with the experimentally measured ones. Also, Table 4 shows that X-ray bond lengths were very close to those calculated using the DFT method. The good correlation between both parameters can be visualized in Figure 3 that reflects the reliability of theoretical data, even though in these calculations, the intermolecular interactions were not considered.

For ripariochromene B (2), a literature search revealed that no 13C NMR data were available. Therefore, an NMR analysis, including 2D experiments, for the total assignment of this compound was undertaken. The 1H and 13C NMR spectral data are listed in Table 1 where it is noteworthy the presence of a typical signal for one bridged hydroxyl hydrogen at δ 12.05 interacting with a carbonyl group. An A2 proton system at δ 5.25 revealed the presence of the CH2-12 and a singlet at δ 2.23 was designated to the methyl group of the acetyl in line with previous reports (Anthonsen 1969). The 13C NMR spectrum displayed at δ 195.0 the signal for the C-11 keto group. The carbonyl ester group appeared at δ 170.4, while C-7 and C-8a attached to oxygen atoms were observed at δ 165.1 and δ 161.0 respectively. The remaining carbons for the aromatic system were detected at δ 126.0 (C-5), δ 113.9 (C-4a), δ 111.1 (C-6) and δ 104.8 (C-8). The vinylic carbons C-3 and C-4 were observed at δ 129.3 and δ 120.6 respectively, and the quaternary C-2 attached to oxygen appeared at δ 78.2. The methylene carbon C-12 at δ 64.4 was confirmed by the DEPT spectrum. The carbons signals for the methyl groups were observed at δ 28.5 for both C-9 and C-10 and at δ 20.5 for the acetyl group. The 13C NMR spectral assignment of 2 was performed by comparison with the 13C NMR data of 1 and was confirmed by the DEPT, HETCOR and HMBC spectra.
CONCLUSION
Eupatoriochromene (1) and ripariochromene B (2) can be isolated in very good yields from the roots of Ageratina arsenei where they represent ca. 90% of the total metabolite content of the hexane extract in contrast with the aerial parts extracts where there is a predominance of methoxylated derivatives. The structure of both substances were studied by X-ray diffraction analysis showing that there is a distortion from planarity of the bicyclic system due to crystal packing besides several classical and non-classical hydrogen bond interactions. DFT B3LYP/DGDZVP calculations of eupatoriochromene (1) allowed comparison of the DFT bond distances with those obtained by X-ray analysis, while GIAO calculations of the NMR shielding tensors were used to evaluate the chemical shift differences with respect to the experimental values measured in CDCl3.
ACKNOWLEDGMENTS
Financial support from CONACYT, Mexico (Grant No. 104887) is acknowledged. We are grateful to Professor Jerzy Rzedowski (Instituto de Ecología, A.C., Centro Regional del Bajío, Pátzcuaro, Michoacán, Mexico) for identifying the plant material.
REFERENCES
Anthonsen, T. (1969) New chromenes from Eupatorium species. Acta Chemica Scandinavica 23 : 3605-3607. [ Links ]
Carrizo, R., Sosa, M.E., Favier, L.S., Penna, F., Guerreiro, E., Giordano O.S., Tonn, C.E. (1998) Growth-inhibitory activities of benzofuran and chromene derivatives toward Tenebrio molitor. Journal of Natural Products 61 : 1209-1211. [ Links ]
Fang, N., Yu, S., Mabry, T.J. (1988) Chromenes from Ageratina arsenii and revised structures of two epimeric chromene dimers. Phytochemistry 27 : 1902-1905. [ Links ]
Hernández, J.D., García, M., Román, L.U. (1995) Cromenos de Eupatorium arsenei Rob. Revista de la Sociedad Química de México 39 : 306. [ Links ]
Jameson, C.J. (1996) Understanding NMR chemical shifts. Annual Review of Physical Chemistry 47 : 135-169. [ Links ]
King, M.L., Robinson H. (1978) Studies in the Eupatorieae (Asteraceae). CLXVIII. Additions to the genus Ageratina. Phytologia 38 : 323-355. [ Links ]
Klocke, J.A., Balandrin, M.F., Adams, R.P., Kingsford, E. (1985) Insecticidal chromenes from the volatile oil of Hemizonia fitchii. Journal of Chemical Ecology 11 : 701-712. [ Links ]
Merrill, G.B. (1989) Eupatoriochromene and encecalin, plant growth regulators from yellow starthistle (Centaurea solstitialis L.). Journal of Chemical Ecology 15 : 2073-2087. [ Links ]
Robinson, B.L. (1934) Holotype of Eupatorium arsenei B.L. Rob [family Asteraceae]. Contributions from the Gray Herbarium of Harvard University 104 : 10. [ Links ]
Rodríguez-López, V., Moreno-Escobar, J.A., Ávila-Torres, O., Tlahuext, H. (2006) 6-Acetyl-5-hydroxy-2,2-dimethyl-2H-chromene. Acta Crystallographica E62 : o3616-o3617. [ Links ]
Rzedowski, G.C., Rzedowski J. (2005) Flora fanerogámica del valle de México. 2a ed. Instituto de Ecología y Comisión Nacional para el Conocimiento y Uso de la Biodiversidad. Pátzcuaro, Michoacán, México. [ Links ]
Sheldrick, G.M. (1997) SHELXL-97, a computer program for the refinement of crystal structures. University of Göttingen, Göttingen, Germany. [ Links ]
Steinbeck, C., Spitzer, V., Starosta, M., von Poser, G. (1997) Identification of two chromenes from Calea serrata by semiautomatic structure elucidation. Journal of Natural Products 60 : 627-628. [ Links ]
Sreiner, T. (2003) C-H-O hydrogen bonding in crystals. Crystallography reviews 9 : 177-228. [ Links ]
Turner, B.L. (2012) Three new species of Ageratina (Asteraceae, Eupatorieae) from Mexico belonging to the A. capillipes complex. Phytologia 94 : 228-236. [ Links ]
Note
This paper is dedicated to Professor Pedro Joseph-Nathan in recognition of his 50 years of outstanding scientific trajectory.













