Servicios Personalizados
Revista
Articulo
Indicadores
-
Citado por SciELO -
Accesos
Links relacionados
-
Similares en
SciELO
Compartir
Revista latinoamericana de química
versión impresa ISSN 0370-5943
Rev. latinoam. quím vol.40 no.2 Naucalpan de Juárez ago. 2012
Alkaloids from the Hippeastrum genus: chemistry and biological activity
Jean Paulo de AndradeA, Natalia Belén PigniA, Laura Torras-ClaveriaA, Ying GuoA, Strahil BerkovB Ricardo Reyes-ChilpaC, Abdelaziz el AmraniD, José Angelo S. ZuanazziE, Carles CodinaA, Francesc ViladomatA, Jaume BastidaA*
a Departament de Productes Naturals, Biologia Vegetal i Edafologia. Facultat de Farmàcia, Universitat de Barcelona, Av. Diagonal 643, 08028 Barcelona, España.
b AgroBioInstitute, 8 Dragan Tzankov Blvd., Sofia, 1164, Bulgaria.
c Instituto de Química, Universidad Nacional Autónoma de México. Circuito Exterior s/n. Ciudad Universitaria, Coyoacán, 04510, México DF.
d Faculté des Sciences Aîn -Chock, Laboratoire de Synthèse, Extraction et Etude Physico-Chimique des Molécules Organiques, BP5366, Mâarif - Casablanca, Morocco.
e Faculdade de Farmácia, Universidade Federal do Rio Grande do Sul, Av. Ipiranga 2752, 90610-000, Porto Alegre, Brasil. *Corresponding author: jaumebastida@ub.edu.
Received June 2012; Accepted September 2012
Abstract
In recent years alkaloids from the genus Hippeastrum have been shown to exhibit a broad spectrum of biological activities, including antiparasitic, antiproliferative, apoptosis-induced, psychopharmacological, acetylcholinesterase-inhibitory, among others. This work presents a brief chemical and biological review of the alkaloids found in the genus Hippeastrum.
Keywords: Amaryllidaceae, "hippeastroid" clade, Hippeastrum, montanine, candimine, 11β-hydroxygalanthamine.
Resumen
En los últimos años, los alcaloides aislados del género Hippeastrum han mostrado un amplio espectro de actividades incluyendo, entre otras, la antiparasitaria, antiproliferativas, inductoras de apoptosis, psicofarmacológicas y como inhibidores de la acetilcolinesterasa. En este trabajo se presenta una breve revisión química y biológica de los alcaloides del género Hippeastrum.
Palabras clave: Amaryllidaceae, clado "hippeastroid", Hippeastrum, montanina, candimina, 11β-hidroxigalantamina.
1. Introduction
Hippeastrum is a well-known ornamental Amaryllidaceae genus from South America, particularly Brazil. The Amaryllidaceae family is one of the 20 most important alkaloid-containing plant families, comprising about 1100 perennial bulbous species classified in 85 genera. A particular characteristic of Amaryllidaceae plants is the consistent presence of a large, exclusive and still expanding group of isoquinoline alkaloids, the majority of which are not known to occur in any other plant family (Bastida et al., 2006).
Their highly particular skeleton arrangements and broad spectrum of biological activities have prompted numerous chemical and pharmacological studies of this group of alkaloids. As an example, the well-known Amaryllidaceae alkaloid galanthamine (50) is a long-acting, selective, reversible and competitive inhibitor of the acetylcholinesterase enzyme (Thomsen et al., 1998) as well as acting as an allosterically potentiating ligand in nicotinic acetylcholine receptors (Maelicke et al., 2001). Due to these attributes, galanthamine (50) is one of the most important drugs used for the clinical management of Alzheimer's disease (AD) and is also useful in poliomyelitis and other neurological diseases. It is marketed as a hydrobromide salt under the name of Razadyne® (formerly Reminyl®). As a result of these and other activities demonstrated by the other skeleton-types (da Silva et al., 2006; McNulty et al., 2007; Giordani et al., 2010a, 2011a), plants from the Amaryllidaceae family are currently seen as an important source of new and bioactive molecules.
The Amaryllidaceae are found mainly in the Southern Hemisphere, especially in South Africa and South America, which are considered to be the primary and secondary centers of diversification, respectively, of this family (Ito et al., 1999). Recent nrDNA ITS sequence studies have divided the American Amaryllidaceae species in Andean tetraploid and extra-Andean "hippeastroid" clades. In addition, a probable Brazilian origin of the Hippeastrum genus has been accepted, based on its nrDNA ITS sequences (Meerow et al., 2000). The Hippeastrum genus comprises approximately 70 species (Judd et al., 1999), 34 being found in Brazil with 22 endemics (Dutilh, 2010). Although few of them have been studied to date, compounds with remarkable biological activity have been isolated in Hippeastrum species. Presented here is a brief overview of the phytochemical and biological studies of the Hippeastrum genus up to May, 2012.
2. Geographical distribution, taxonomical aspects
The Hippeastrum genus is distributed from Mexico and the West Indies to Argentina, the majority in eastern Brazil, the Peruvian Andes and Bolivia. It basically consists of large herbs of annual leaves, mostly hysteranthous, sessile, rarely persistent, and subpetiolate. Generally, the leaves are more than 2 cm wide. The scape is hollow with 2 free bracts. The flowers (2-13) are usually large and mostly purple or red. They are funnelform, zygomorphic, declinate, usually with a short tube and paraperigonal fibriae or with a callose ridge present at the throat. The stamens are fasciculate and declinate-ascendent. The stigma is trifid or shortly 3-lobed. The seeds are dry, flattened, obliquely winged or irregularly discoid, hardly ever turgid and globose or subglobose, with a brown or black phytomelanous testa (Dahlgren et al., 1985; Meerow and Snijman, 1998).
A diploidism of 2n=22 is characteristic of the Hippeastrum genus, which is inarguably monophyletic with the exception of a single species, Hippeastrum blumenavium. This was first described as Griffinia blumenavia Koch and Bouche ex Carr and further studies are required to clarify its correct position (Meerow et al., 2000).
The beauty of their flowers has led to numerous Hippeastrum species being grown as ornamentals after hybridization (Meerow and Snijman, 1998), although in horticultural circles the use of the name "Amaryllis" for this genus persists (Meerow et al, 1997).
3. Biosynthesis and structural types of Amaryllidaceae alkaloids
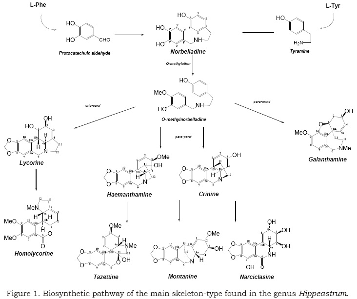
As mentioned above, the consistent presence of an exclusive group of isoquinoline alkaloids is the outstanding feature of the Amaryllidaceae plant species. Amaryllidaceae alkaloids are formed biogenetically by intramolecular oxidative coupling of the key intermediate O-methylnorbelladine, derived from the amino acids L-phenylalanine and L-tyrosine (Bastida et al., 2006). Most of them can be classified into nine skeleton-types (Figure 1), namely lycorine, crinine, haemanthamine, narciclasine, galanthamine, tazettine, homolycorine, montanine and norbelladine (Bastida et al., 2006). Ortho-para' phenol oxidative coupling of the precursor O-methylnorbelladine results in the formation of a lycorine-type skeleton, from which homolycorine-type compounds proceed. Para-para' phenol oxidative coupling leads to the formation of crinine, haemanthamine, tazettine, narciclasine and montanine structures. The galanthamine-type skeleton is the only one that originates from para-ortho' phenol oxidative coupling (Bastida et al., 2006). In the present review, the numbering system according to Ghosal et al. (1985) has been adopted for the structures (Figure 1).
Some new structural subgroups have been proposed recently (Ünver, 2007). Graciline and plicamine-type alkaloids have been found in species of Galanthus, Cyrthanthus and Narcissus (Ünver et al., 1999; Brine et al., 2002; de Andrade et al., 2012). The biogenetic pathway of gracilines possibly originates from the 6-hydroxy derivatives of haemanthamine-type alkaloids (Noyan et al., 1998), while plicamine-type alkaloids most probably proceed from the tazettine-type skeleton, considering their structural similarities. Augustamine-type alkaloids represent a very rare structure found in Crinum species (Ali et al., 1983; Machocho et al., 2004). Galanthindole (62) is another example of an unusual compound isolated from the Galanthus genus and also found in Hippeastrum genus. It has been classified as a new skeleton-type (Ünver et al., 2003), although the possibility that it is an artifact from the homolycorine series should be considered. Another uncommon alkaloid found in Hippeastrum was a simple carboline, isolated from Hippeastrum vittatum (Youssef, 2001).
A few alkaloids commonly found in other plant families have also been described in Amaryllidaceae plants, for example, the mesembrane-type alkaloids, which were isolated in Narcissus species (Bastida et al., 2006) despite being typical of the genus Sceletium (Aizoaceae). Phtalideisoquinoline-, benzyltetrahydroisoquinoline- and aporphine-type alkaloids were found in Galanthus trojanus (Kaya et al., 2004, 2011), being most commonly associated with Papaveraceae and Fumariaceae. Tyramine-type protoalkaloids, which are biosynthesized in Poaceae, Cactaceae, some algae and fungi, have also been found in Galanthus and Leucojum species (Berkov et al., 2008, 2011a, 2011b). However, it should be borne in mind that these unusual alkaloids have always been isolated together with typical Amaryllidaceae alkaloids. To date, nearly 500 alkaloids have been isolated from amaryllidaceous plants (Zhong, 2005).
4. Distribution of alkaloids in the genus Hippeastrum
Phytochemical studies of the genus Hippeastrum, as well as of other genera of the Amaryllidaceae family, started in the early 1950s. The alkaloids reported in the genus Hippeastrum are summarized in Table 1 and their respective structures are shown in Figure 2. The first phytochemical study was described with varieties of H. vittatum, which yielded the alkaloids tazettine (39) and lycorine (1) (Boit, 1954). Two years later, a new phytochemical study of the same species yielded the alkaloids haemanthamine (26), homolycorine (14), hippeastrine (15), and vittatine (27), as well as tazettine (39) and lycorine (1) (Boit, 1956). In 1957, a study of H. bifidum only yielded lycorine (1) (Boit and Döpke, 1957). One year later, galanthamine (50) was found for the first time in a Hippeastrum species, specifically in H. rutilum, although it was isolated as a minor compound (Boit et al., 1958). The work carried out in the 1950s and 60s was notable for the isolation of montanine (33) in H. aulicum along with some crinine-type representatives (Boit and Döpke, 1959). The main research on the genus in these two decades can be found by searching for the authors Boit, HG and Döpke, W.
There was little phytochemical research on Hippeastrum species between the 1970s and 1990s. An interesting study was carried out with H. vittatum grown in Egypt in different years, which allowed the elucidation of the alkaloids pancracine (32) (formerly hippagine) and hippadine (8) (El Mohgazi et al., 1975; Ali et al., 1981, 1984). A phytochemical study of H. añañuca from Chile yielded a new alkaloid but with undefined stereochemistry (Pacheco et al., 1978). Quirion et al., (1991) isolated the new compound 3-O-acetylnarcissidine (11) from H. puniceum, and Döpke et al., (1995a) isolated a new phenantridone alkaloid named phamine (48) from H. equestre. Several known alkaloids were also isolated from H. equestre and submitted to circular dichroism studies (Wagner et al., 1996). A few years later, H. equestre yielded another new alkaloid, egonine (64) (Pham et al., 1999). This structure has been related as a typical Sceletium mesembrine-type alkaloid (Aizoaceae), although its similarity with tazettine-type skeleton should be considered.
Phytochemical studies of H. vittatum flowers in 2001 yielded a representative alkaloid of the carboline group named vittacarboline (61), as well as the new alkaloid O-methylismine (60) (Youssef, 2001). A rapid phytochemical study of H. glaucescens provided lycorine (1), pretazettine (41) and tazettine (39), but not all alkaloid fractions were studied (Hoffman et al., 2003). In the last decade, most Hippeastrum studies have been focused on the biological activity of alkaloids isolated from the genus, although the new alkaloids 2α,7-dimethoxyhomolycorine (24) and 11β-hydroxygalanthamine (57) found in H. morelianum and H. papilio, respectively, should be mentioned (Giordani et al., 2011b, de Andrade et al., 2011).
In the last decade, the GC-MS technique has proved to be very effective for rapid separation and identification of complex mixtures of Amaryllidaceae alkaloids obtained from low mass samples (Kreh et al., 1995, Berkov et al., 2008, 2011a). The high resolution ability of the capillary column and numerous EI-MS spectra available in the literature allow the identification and quantification of known Amaryllidaceae alkaloids, avoiding time-consuming and laborious isolation procedures. This technique has been much applied with the genera Pancratium, Galanthus, Leucojum and Narcissus (Kreh et al., 1995; Torras-Claveria et al., 2010; Berkov et al., 2011b; de Andrade et al., 2012). The only study applying GC-MS in the genus Hippeastrum, carried out with species from South Brazil, identified more compounds than had been isolated previously and two species were found to produce significant levels of galanthamine (50) (de Andrade et al., Personal communication, 12 June 2012).
To the best of our knowledge, 19 species, including hybrids, from the genus Hippeastrum have been phytochemically studied to date. Sixty-four different alkaloids with defined structures have been isolated, while fourteen remain undefined (Boit and Döpke, 1959, 1960a, 1960b; Pacheco et al., 1978; de Andrade et al., Personal communication, 12 June 2012). Table 1 and Figure 2 summarize the alkaloids found in the genus Hippeastrum.
5. Biological and pharmacological activities of the alkaloids found in Hippeastrum
Like most Amaryllidaceae alkaloids, the compounds found in the genus Hippeastrum have been little evaluated for their biological activity. However, some of them have demonstrated a broad spectrum of interesting properties.
5.1. Ortho-para' phenolic coupling
5.1.1 Lycorine-type
Lycorine (1) is probably the most frequent occurring alkaloid in Amaryllidaceae plants and has been found in almost all Hippeastrum species. This compound possesses a vast array of biological properties, being reported as a potent inhibitor of ascorbic acid synthesis, cell growth and division, and organogenesis in higher plants, algae and yeasts, inhibiting the cell cycle during the interphase (Bastida et al., 2006). Additionally, lycorine (1) exhibits antiviral, anti-inflammatory, antifungal and anti-protozoan activities (Çitoğlu et al., 1998; McNulty et al., 2009; Giordani et al., 2010b, 2011a). Lycorine (1) has also been shown to have insect antifeedant activity (Evidente et al., 1986), as does 3-O-acetylnarcissidine (11), isolated from H. puniceum, which is particularly active against the polyphagous insect Spodora littoralis but not against the olphage Leptinotarsa decemlineata (Santana et al., 2008).
As a potential chemotherapeutic drug, lycorine (1) has been studied as an antiproliferative agent against a number of cancer cell lines (Likhitwitayawuid et al., 1993; McNulty et al., 2009). The in vitro mode of action in a model HL-60 leukemia cell line is associated with suppressing tumor cell growth and reducing cell survival via cell cycle arrest and induction of apoptosis. Furthermore, lycorine (1) was able to decrease tumor cell growth and increase survival rates with no observable adverse effects in treated animals, thus being a good candidate for a therapeutic agent against leukaemia (Liu et al., 2004, 2007; Liu et al., 2009).
Lycorine (1) isolated from H. santacatarina showed remarkable inhibitory activity of the enzymes NTPDase and ecto-5'-nucleo- tidase from Trichomonas vaginalis, which contributes to an increased susceptibility of this parasite to the host immune response (Giordani et al., 2010b). Lycorine (1) was also demonstrated to have anti-T. vaginalis activity, involving a mechanism of cell death induction associated with paraptosis rather than the apoptosis observed in tumor cells. This mechanism also differs from the one associated with other pro-apoptotic compounds tested against T. vaginalis such as staurosporine, doxorubicin, etoposide and methyl jasmonate. The authors have called for additional molecular studies for a better characterization of the different cell death mechanisms (Giordani et al., 2011a). Lycorine (1) has also been tested in vitro against human immunodeficiency virus type 1 (HIV-1), results of antiviral showed low inhibition of the replication of HIV-1(NL4-3) with an EC50> 0.5 mg/ml with infected lymphoid MT-4 human cells (Reyes-Chilpa et al., 2011).
Compared to other lycorine-type alkaloids, anhydrolycorine (12) showed a greater ability to inhibit ascorbic acid synthesis (Evidente et al., 1986). Analgesic, hypotensive and antiparasitic activities have been reported for galanthine (3). Ungeremine (13) has shown acetylcholinesterase inhibitory activity (Bastida et al., 2006). In summary, the lycorine skeleton-type is a promising target for further biological assessments.
5.1.2 Homolycorine-type
Homolycorine (14), 8-O-demethylhomolycorine (20) and hippeastrine (15) are well-known cytotoxic alkaloids. Homolycorine (14) has also shown high antiretroviral activity, while hippeastrine (15) is active against Herpes simplex type 1. Homolycorine (14) and 8-O-demethylhomolycorine (20) have a hypotensive effect on normotensive rats. In addition, hippeastrine (15) shows antifungal activity against Candida albicans and also possesses a weak insect antifeedant activity (Bastida et al., 2006). Candimine (17), first found in H. candidum (Döpke, 1962), has been tested against Trichomonas vaginalis and found to inhibit the T. vaginalis enzymes NTPDase and ecto-5'-nucleotidase to a greater extent than lycorine (1) (Giordani et al., 2010b). Candimine (17) was also active against T. vaginalis, apparently inducing cell death by paraptosis, as in the case of lycorine (1) (Giordani et al., 2010a). Homolycorine (14) and 8-O-demethylhomolycorine (20) were tested against the parasitic protozoa Trypanosoma cruzi, Trypanosoma brucei rhodesiense, Leishmania donovani and Plasmodium falciparum but showed no significant activity (de Andrade et al., 2012). However, the bioactivity of most homolycorine-type alkaloids is largely unknown.
5.2. Para-para' phenolic coupling
5.2.1. Haemanthamine-type
Haemanthamine (26), as well as crinamine, has proven to be a potent inducer of apoptosis in tumor cells at micromolar concentrations (McNulty et al., 2007). This compound also possesses antimalarial activity against strains of chloroquine-sensitive Plasmodium falciparum, hypotensive effects and antiretroviral activity (Bastida et al., 2006; Kaya et al., 2011). Vittatine (27), isolated from H. vittatum, and maritidine (30), have shown cytotoxic activity against HT29 colon adenocarcinoma, lung carcinoma and RXF393 renal cell carcinoma (Bastida et al., 2006; da Silva et al., 2008). Vittatine (27) also showed antibacterial activity against Gram-positive Staphylococcus aureus and Gram-negative Escherichia coli, as well as 11-hydroxyvittatine (29) (Kornienko and Evidente, 2008).
5.2.2. Crinine-type
The alkaloids crinine, 6-hydroxybuphanidrine and 6-ethoxybuphanidrine showed antiproliferative effects against human tumor cell lines, crinine being the most active (Berkov et al., 2011c). A comparative study of skeleton-types concluded that the crinine-type alkaloid buphanamine was the most promising, since it showed important anti-proliferative effects and was well tolerated even at high concentration (Evidente et al., 2009). Further evaluations are needed to gain more insight into the biological activity of the crinine-type skeleton.
5.2.3. Tazettine-type
The alkaloids 3-epi-macronine (42) and tazettine (39) showed moderate cytotoxic activity. Tazettine (39) is an isolation artefact of chemically labile pretazettine (41) (de Andrade et al., 2012), the latter being far more interesting due to its antiviral and anticancer activities (Bastida et al., 2006). Pretazettine (41) shows cytotoxicity against fibroblastic LMTK cell lines and inhibits HeLa cell growth, being therapeutically effective against advanced Rauscher leukemia, Ehrlich ascites carcinoma, spontaneous AKR lymphocytic leukemia, and Lewis lung carcinoma (Bastida et al., 2006). Pretazettine (41) isolated from H. psittacinum was tested for its ability to inhibit the AChE enzyme but showed no significant result (Pagliosa et al., 2010).
5.2.4. Montanine-type
This group has very few representatives. The alkaloids montanine (33) and pancracine (32) have been isolated in different periods from Hippeastrum species growing in Europe and South America, such as H. vittatum. In recent work montanine (33) showed anxiolytic-, antidepressant- and anticonvulsant-like effects in mice (da Silva et al., 2006). Montanine (33) and vittatine (27) were also submitted to an antiproliferative study, the former showing the highest level of cytotoxicity (da Silva et al., 2008). Furthermore, montanine (33) significantly inhibited AChE activity at concentrations of 1 milimolar, and 500 and 100 micromolar using the Ellman method (Pagliosa et al., 2010). Pancracine (32) showed antibacterial activity against Staphylococcus aureus and Pseudomonas aeruginosa, as well as weak activity against Trypanosoma brucei rhodesiense, Trypanosoma cruzi and Plasmodium falciparum (Bastida et al., 2006). The montanine-type skeleton represents one of the most interesting alkaloids for biological evaluations due to its remarkable and broad spectrum of activities.
5.2.5. Narciclasine-type
Trisphaeridine (49) has a high retroviral activity but a low therapeutic index (Bastida et al., 2006). Narciclasine and pancratistatin are the most studied alkaloids of this group but they have never been found in the Hippeastrum genus. Both compounds show strong antimitotic and antitumoral activities (Bastida et al., 2006). No biological evaluation of the alkaloids N-methylcrinasiadine (47) and phamine (48) has been carried out to date.
5.3. Para-ortho' phenolic coupling
5.3.1. Galanthamine-type
Galanthamine (50) is a long-acting, selective, reversible and competitive inhibitor of acetylcholinesterase (AChE) and an allosteric modulator of the neuronal nicotinic receptor for acetylcholine. Its action increases acetylcholine levels, thus facilitating cholinergic synapses and helping in the management of patients suffering certain stages of AD (Maelicke et al., 2001; Bastida et al., 2006; Heinrich and Teoh, 2004). Galanthamine (50), therefore, is the most studied Amaryllidaceae alkaloid in terms of biological activity, clinical response, tolerance and safety, being marketed as a hydrobromide salt under the name of Razadine®, formerly Reminyl®. Galanthamine (50) has superior pharmacological profiles and higher tolerance than the original AChE inhibitors physostigmine or tacrine (Grutzendler and Morris, 2001).
After the therapeutic success of galanthamine (50), the search for new AChE inhibitors has intensified. Epi-galanthamine, with a hydroxyl group at the α-position, and narwedine (56), with a keto group at C3, are also active AChE inhibitors, but about 130-times less powerful than galanthamine (50) (Thomsen et al., 1998). The loss of the methyl group at the N atom, as in N-demethylgalanthamine (54), decreases the activity 10-fold. The alkaloids habranthine and its new epimer 11β-hydroxygalathamine (57), isolated from H. papilio, which shows a hydroxyl-substituent at C11, were both also ca. 10-times less active than galanthamine (50) (López et al., 2002; de Andrade et al., 2011). Hydrogenation of the C4-C4a double bond, as in lycoramine, results in a complete loss of AChE inhibitory activity (López et al., 2002).
On the other hand, sanguinine (53), which has a hydroxyl group at C9 instead of a methoxyl group, is ca. 10 times more active than galanthamine (50). Recently, N-alkylated galanthamine derivatives were isolated from Leucojum species and were also ca. 10 times more active than galanthamine (50). It has been suggested that these naturally occurring AChE inhibitors can act as ecological pesticides, since the AChE-inhibitory activity of synthetic pesticides, such as phospho-organic derivatives, is non-reversible (Houghton et al., 2006).
Galanthamine (50) has also been tested in vitro against human immunodeficiency virus type 1 (HIV-1), results of antiviral assays indicated that galanthamine (50), as well as its structural isomer chlidanthine (51) and galanthamine N-oxide, did not showed inhibition of the replication of HIV-1(NL4-3) with infected lymphoid MT-4 human cells, but they were also not toxic to non infected cells showing EC50, and CC50 > 20 mg/ml), respectively (Reyes-Chilpa et al., 2011). The galanthamine-type skeleton is currently the most studied group in terms of biological activity.
5.4. Miscellaneous
Ismine (59) shows a significant hypotensive effect on rats and cytotoxicity against Molt 4 lymphoid and LMTK fibroblastic cell lines (Bastida et al., 2006). Recently, extracts from H. breviflorum showing different ratios between lycosinine B (63) and lycorine (1) by HPLC demonstrated significant anti-Trichomonas vaginalis activity (Vieira et al., 2011). To date, the alkaloids vittacarboline (61), galanthindole (62) and O-methylismine (60) have not been biologically evaluated.
6. Conclusion
Over the last 50 years, the bulbous genus Hippeastrum has yielded 64 different alkaloids, together with others whose structures remain undefined. Further studies on the isolation of these compounds are called for, especially after recent biological studies showing their significant antiparasitic, psychopharmacological and AChE-inhibitory activities. Notably, some Hippeastrum species are able to produce a high level of galanthamine (50), comparable with species of other genera currently being used for the commercial production of this alkaloid. The lack of biological activity shown by most of the alkaloids found in the Hippeastrum genus may be due to the small amounts isolated. Consequently, their synthesis or in silico studies will facilitate further bioactivity assessment.
Acknowledgements
The authors are grateful to the Generalitat de Catalunya (2009 - SGR1060) for financial support of this work. J.P.A. is thankful to the Agencia Española de Cooperación Internacional para el Desarollo (BECAS-MAEC-AECID) for a doctoral fellowship.
References
Alam, A.H.M., Murav'eva, D.A. (1982) Alkaloids of the underground organs of Hippeastrum equestre. Khimiya Prirodnykh Soedinenii 3: 401. [ Links ]
Ali, A.A., Mesbah, M.K., Frahm, A.W. (1981) Phytochemical investigation of Hippeastrum vittatum growing in Egypt. Part III: structural elucidation of hippadine. Planta Medica 43: 407-409. [ Links ]
Ali, A.A., Hambloch, H., Frahm, A.W. (1983) Relative configuration of the alkaloid augustamine. Phytochemistry 22: 283-287. [ Links ]
Ali, A.A., Mesbah, M.K., Frahm, A.W. (1984) Phytochemical investigation of Hippeastrum vittatum. Part IV: stereochemistry of pancracine, the first 5,11-methano-morphanthridine alkaloid from Hippeastrum - structure of "hippagine". Planta Medica 50: 188-189. [ Links ]
Bastida, J., Codina, C., Porras, C.L., Paiz, L. (1996) Alkaloids from Hippeastrum solandriflorum. Planta Medica 62: 74-75. [ Links ]
Bastida, J., Lavilla, R., Viladomat, F. (2006) Chemical and biological aspects of Narcissus alkaloids. In Cordell, G. (eds) The Alkaloids: Chemistry and Biology. The Netherlands: Elsevier Inc, pp. 87-179. [ Links ]
Berkov, S., Bastida, J., Sidjimova, B., Viladomat, F., Codina, C. (2008) Phytochemical differentiation of Galanthus nivalis and Galanthus elwesii: a case study. Biochemical Systematic and Ecology 36: 638-645. [ Links ]
Berkov, S., Bastida, J., Sidjimova, B., Viladomat, F., Codina, C. (2011a) Alkaloid diversity in Galanthus elwesii and Galanthus nivalis. Chemistry and Biodiversity 8: 115-130. [ Links ]
Berkov, S., Bastida, J., Viladomat, F., Codina, C. (2011b) Development and validation of a GCMS method for a rapid determination of galanthamine in Leucojum aestivum and Narcissus ssp.: A metabolomic approach. Talanta 83: 1455-1465. [ Links ]
Berkov, S., Romani, S., Herrera, M., Viladomat, F., Codina, C., Momekov, G., Ionkova, I., Bastida, J. (2011c) Antiproliferative alkaloids from Crinum zeylanicum. Phytotheraphy Research 25: 1686-1692. [ Links ]
Boit, H.G. (1954) Alkaloids of the Amaryllidaceae. VI. The alkaloids of Nerine sarniensis, Crinum moorei, Hippeastrum vittatum and Clivia miniata. Chemische Berichte 87: 1704-1707. [ Links ]
Boit, H.G. (1956) Amaryllidaceous alkaloids. XI. Alkaloids of Chlidanthus fragrans, Vallota purpurea, Nerine undulate, and Hippeastrum vittatum. Chemische Berichte 89: 1129-1134. [ Links ]
Boit, H.G., Döpke, W. (1957) Alkaloids of the Amaryllidaceae. XVIII. Alkaloids from Urceolina, Hymenocallis, Elisena, Calostemma, Eustephia, and Hippeastrum. Chemische Berichte 90: 1827-1830. [ Links ]
Boit, H.G., Döpke, W., Stender, W. (1958) Alkaloids from Hippeastrum rutilum, Lycoris albiflora, Zephyranthes andersoniana, and Sternbergia fischeriana. Naturwissenschaften 45: 390. [ Links ]
Boit, H.G., Döpke, W. (1959) Alkaloids from Hippeastrum brachyandrum and Hippeastrum rutilum. Chemische Berichte 92: 2582-2584. [ Links ]
Boit, H.G., Döpke, W. (1960a) Alkaloids from Hippeastrum aulicum var. robustum. Naturwis-senschaften 47: 109. [ Links ]
Boit, H.G., Döpke, W. (1960b) New alkaloids from Hippeastrum hybrids and Nerine flexuosa. Naturwissenschaften 47: 470-471. [ Links ]
Brine, N.D., Campbell, W.E., Bastida, J., Herrera, M.R., Viladomat, F., Codina, C., Smith, P.J. (2002) A dinitrogenous alkaloid from Cyrthanthus obliquus. Phytochemistry 61: 443-447. [ Links ]
Çitoğlu, G., Tanker, M., Gümüşel, B. (1998) Antiinflammatory effects of lycorine and haemanthidine. Phytotherapy Research 12: 205-206. [ Links ]
da Silva, A.F.S., de Andrade, J.P., Bevilaqua, L.R., de Souza, M.M., Izquierdo, I., Henriques, A.T., Zuanazzi, J.A.S. (2006) Anxiolytic-, antidepressant- and anticonvulsivant-like effects of the alkaloid montanine isolated from Hippeastrum vittatum. Pharmacology, Biochemistry and Behaviour 85: 148-54. [ Links ]
da Silva, A.F.S., de Andrade, J.P., Machado, K.R.B., Rocha, A.B., Apel, M.A., Sobral, M.G.E., Henriques, A.T., Zuanazzi, J.A.S. (2008) Screening for cytotoxic activity of extracts and isolated alkaloids from bulbs of Hippeastrum vittatum. Phytomedicine 15: 882-885. [ Links ]
Dahlgren, R.M.T., Clifford, H.T., Yeo, P.F. (1985) The families of the monocotyledons. Structure, evolution, and taxonomy. 1st Edition. Springer-Verlag, Berlin pp. 199-206. [ Links ]
de Andrade, J.P., Berkov, S., Viladomat, F., Codina, C., Zuanazzi, J.A.S., Bastida, J. (2011) Alkaloids from Hippeastrum papilio. Molecules 16: 7097-7104. [ Links ]
de Andrade, J.P., Pigni, N.B., Torras-Claveria, L., Berkov, S., Codina, C., Viladomat, F., Bastida, J. (2012) Bioactive alkaloid extracts from Narcissus broussonetii: mass spectral studies. Journal of Pharmaceutical and Biomedical Analysis 70: 13-25. [ Links ]
de Andrade, J.P. GC-MS approach and acetylcholinesterase inhibition of some Brazilian Amaryllidaceae species. (Personal communication, 12 June 2012). [ Links ]
Döpke, W. (1962) Alkaloids of the Hippeastrum type. Archiv der Pharmazie und Berichte der Deutschen Pharmazeutischen Gesellschaft 295: 920-924. [ Links ]
Döpke, W., Bienert, M. (1966) Alkaloids from Amaryllidaceae; structure of oduline. Pharmazie 21: 323-324. [ Links ]
Döpke, W., Pham, L.H., Gruendemann, E., Bartoszek, M., Flatau, S. (1995a) Alkaloids from Hippeastrum equestre; Part I: phamine, a new phenanthridone alkaloid. Planta Medica 61: 564-566. [ Links ]
Döpke, W., Pham, L.H., Gruendemann, E., Bartoszek, M., Flatau, S. (1995b) Alkaloids from Hippeastrum equestre Herb. Pharmazie 50: 511-512. [ Links ]
Dutilh, J.H.A. (2010) Amaryllidaceae. In: Andrea Jakobsson Estúdio: Instituto de Pesquisas Jardim Botânico do Rio de Janeiro (eds). Catálogo de Plantas e Fungos do Brasil. Rio de Janeiro, Brasil: Sindicato Nacional de Editores de Livros, pp. 596-599. [ Links ]
El Mohgazi, A.M., Ali, A.A., Mesbah, M.K. (1975) Phytochemical investigation of Hippeastrum vittatum growing in Egypt. II. Isolation and identification of new alkaloids. Planta Medica 28: 336-342. [ Links ]
El Mohgazi, A.M., Ali, A.A. (1976) Microchemical identification of Amaryllidaceae alkaloids. Part I. Crinidine, vittatine, crinamine, powelline, hippacine, lycorine and B II. Planta Medica 30: 369-374. [ Links ]
Evidente, A., Arrigoni, O., Luso, R., Calabrese, G., Randazzo, G. (1986) Further experiments on structure-activity relationships among lycorine alkaloids. Phytochemistry 25: 2739-2743. [ Links ]
Evidente, A., Kireev, A.S., Jenkins, A.R., Romero, A.E., Steelant, W.F.A., Slambrouck, S.V., Kornienko, A. (2009) Biological evaluation of structurally diverse Amaryllidaceae alkaloids and their synthetic derivatives: discovery of novel leads for anticancer drug design. Planta Medica 75: 501-507. [ Links ]
Ghosal, S., Saini, K.S, Razdan, S. (1985) Crinum alkaloids: their chemistry and biology. Phytochemistry 24: 2141-2156. [ Links ]
Giordani, R.B., Vieira, P.B., Weizenmann, M., Rosember, D.B., Souza, A.P., Bonorino, C., de Carli, G.A., Bogo, M.R., Zuanazzi, J.A.S., Tasca, T. (2010a). Candimine-induced cell death of the amitochondriate parasite Trychomonas vaginalis. Journal of Natural Products 73: 2019-23. [ Links ]
Giordani, R.B., Weizenmann, M., Rosember, D.B., de Carli, G.A., Bogo, M.R., Zuanazzi, J.A.S., Tasca, T. (2010b) Trychomonas vaginalis nucleoside triphosphate diphosphohydrolase and ecto-5'-nucleotidase activities are inhibited by lycorine and candimine. Parasitology International 59: 226-231. [ Links ]
Giordani, R.B., Vieira, P.B., Weizenmann, M., Rosember, D.B., Souza, A.P., Bonorino, C., de Carli, G.A., Bogo, M.R., Zuanazzi, J.A.S., Tasca, T. (2011a) Lycorine induces cell death in the amitochondriate parasite, Trichomonas vaginalis, via an alternative non-apoptotic death pathway. Phytochemistry 72: 645-50. [ Links ]
Giordani, R.B., de Andrade, J.P., Verli, H., Dutilh, J., Henriques, A.T., Berkov, S., Bastida, J., Zuanazzi, J.A.S. (2011b). Alkaloids from Hippeastrum morelianum Lem. (Amaryllidaceae). Magnetic Resonance in Chemistry 49: 668-72. [ Links ]
Grutzendler, J., Morris, J.C. (2001) Cholinesterase inhibitors for Alzheimer's Disease. Drugs 61: 41-52. [ Links ]
Heinrich, M., Teoh, H.L. (2004) Galanthamine from snowdrop - the development of a modern drug against Alzhemeir's disease from local Caucasian knowledge. Journal of Ethnopharmacology 92: 147-162. [ Links ]
Hofmann Jr. A.E., Sebben, C., Sobral, M., Dutilh, J.H.A., Henriques, A.T., Zuanazzi, J.A.S. (2003) Alkaloids of Hippeastrum glaucescens. Biochemical Systematics and Ecology 31: 1455-1456. [ Links ]
Houghton, P., Ren, Y., Howes, M.J. (2006) Acetylcholinesterase inhibitors from plants and fungi. Natural Products Reports 23: 181-199. [ Links ]
Ito, M., Kawamoto, A., Kita, Y., Yukawa, T., Kurita, S. (1999) Phylogenetic relationships of Amaryllidaceae based on matk sequence data. Journal of Plant Research 112: 207-216. [ Links ]
Judd, W.S., Campbell, C.S., Kellogg E.A., Stevens, P.F. (1999) Plant Systematics: A phylogenic approach. Sinauer Associates, Inc: Sunderland, USA pp. 190-191. [ Links ]
Kaya, G.I., Ünver, N., Gözler, B., Bastida, J. (2004) ( - )-Capnoidine and (+)-bulbocapnine from an Amaryllidaceae species, Galanthus nivalis subsp. cilicicus. Biochemical Systematics and Ecology 32: 1059-1062. [ Links ]
Kaya, G.I, Sarikaya, B., Onur, M.A, Ünver, N., Viladomat, F., Codina, C., Bastida, J., Lauinger, I.L., Kaiser, M., Tasdemir, D. (2011) Antiprotozoal alkaloids from Galanthus trojanus. Phytochemistry Letters 4: 301-305. [ Links ]
Kornienko, A., Evidente, A. (2008) Chemistry, biology and medicinal potential of narciclasine and its congeners. Chemical Reviews 108: 1982-2014. [ Links ]
Kreh, M., Matusch, R., Witte, L. (1995). Capillary gas chromatography-mass spectrometry of Amaryllidaceae alkaloids. Phytochemistry 38: 773-76. [ Links ]
Likhitwitayawuid, K., Angerhofer, C.K., Chai, H., Pezzuto, J.M., Cordell, G.A. (1993) Cytotoxic and antimalarial alkaloids from the bulbs of Crinum amabile. Journal of Natural Products 56: 1331-1338. [ Links ]
Liu, J., Hu, W.X., He, L.F., Ye, M., Li, Y. (2004) Effects of lycorine on HL-60 cells via arresting cell cycle and inducing apoptosis. FEBS Letters 578: 245-250. [ Links ]
Liu, J., Li, Y., Tang, L.J., Zhang, G.P., Hu, W.X. (2007) Treatment of lycorine on SCID mice model with human APL cells. Biomedicine and Pharmacotherapy 61: 229-234. [ Links ]
Liu, X.S., Jiang, J., Jiao, X.Y., Wu, Y.E., Lin, J.H., Cai, Y.M. (2009) Lycorine induces apoptosis and down-regulation of Mcl-1 in human leukemia cells. Cancer Letters 274: 16-24. [ Links ]
López, S., Bastida, J., Viladomat, F., Codina, C. (2002) Acetylcholinesterase inhibitory activity of some Amaryllidaceae alkaloids and Narcissus extracts. Life Sciences 71: 2521-2529. [ Links ]
Maelicke, A., Samochocki, M., Jostock, R., Fehrenbacher, A., Ludwig, J., Albuquerque, E.X., Zerlin, M. (2001) Allosteric sensitization of nicotinic receptors by galantamine, a new treatment strategy for Alzheimer's disease. Biology Psichiatry 49: 279-288. [ Links ]
Machocho, A.K., Bastida, J., Codina, C., Viladomat, F., Brun, R., Chhabra, S.C. (2004) Augustamine type alkaloids from Crinum kirkii. Phytochemistry 65: 3143-3149. [ Links ]
McNulty, J., Nair, J.J., Codina, C., Bastida, J., Pandey, S., Gerasimoff, J., Griffin, C. (2007) Selective apoptosis-inducing activity of crinum-type Amaryllidaceae alkaloids. Phytochemistry 68: 1068-1074. [ Links ]
McNulty, J., Nair, J.J., Bastida, J., Pandey, S., Griffin, C. (2009) Structure-activity studies on the lycorine pharmacophore: a potent inducer of apoptosis in human leukemia cells. Phytochemistry 70: 913-919. [ Links ]
Meerow, A.W., Scheepen, J., Dutilh, J.H.A. (1997) Transfer from Amaryllis to Hippeastrum (Amaryllidaceae). Taxon 46: 15-19. [ Links ]
Meerow, A.V., Snijman, D.A. (1998) Amaryllidaceae. In Kubitzki, K. (eds) The Families and Genera of Vascular Plants. Berlin: Springer-Verlag, pp. 83-110. [ Links ]
Meerow, A.V., Guy, C.L., Li, Q.B., Yang, S.L. (2000) Phylogeny of the American Amaryllidaceae based on nrDNA ITS sequences. Systematic Botany 25: 708-726. [ Links ]
Mügge, C., Schablinski, B., Obst, K., Döpke, W. (1994) Alkaloids from Hippeastrum hybrids. Pharmazie 49: 444-447. [ Links ]
Murav'eva, D.A., Alam, A.H.M. (1982) Alkaloids of the aboveground organs of Hippeastrum equestre. Khimiya Prirodnykh Soedinenii 4: 533. [ Links ]
Noyan, S., Rentsch, G.H., Önur, M.A., Gözler, T., Gözler, B., Hesse, M. (1998) The gracilines: a novel subgroup of the Amaryllidaceae alkaloids. Heterocycles 48: 1777-1791. [ Links ]
Pagliosa, L.B., Monteiro, S.C., Silva, K.B., de Andrade, J.P., Dutilh, J., Bastida, J., Cammarota, M., Zuanazzi, J.A.S. (2010). Effect of isoquinoline alkaloids from two Hippeastrum species on in vitro acetylcholinesterase activity. Phytomedicine 17: 698-701. [ Links ]
Pacheco, P., Silva, M., Steglich, W., Watson, W.H. (1978) Alkaloids of Chilean Amaryllidaceae. I. Hippeastidine and epi-homolycorine, two novel alkaloids. Revista Latinoamericana de Química 9: 28-32. [ Links ]
Pham, L.H., Grundemann, E., Döpke, W. (1997) Alkaloids from Hippeastrum equestre. Part 3. Pharmazie 52: 160-162. [ Links ]
Pham, L.H., Grundemann, E., Wagner, J., Bartoszek, M., Döpke, W. (1999) Two novel Amaryllidaceae alkaloids from Hippeastrum equestre Herb.: 3-O-demethyltazettine and egonine. Phytochemistry 51: 327-332. [ Links ]
Quirion, J.C., Husson, H.P., Weniger, B., Jiménez, F., Zanoni, T.A. (1991) (-)-3-O-acetylnarcissidine, a new alkaloids from Hippeastrum puniceum. Journal of Natural Products 54: 1112-1114. [ Links ]
Rao, R.V.K., Nazar, A., Vimaladevi, R. (1971) Phytochemical studies on Hippeastrum johnsonii bulbs. Indian Journal of Pharmacy 33: 56-58. [ Links ]
Rao, R.V.K., Vimaladevi, R. (1972) Crystalline alkaloids from Hippeastrum equestre [Amaryllis belladonna]. Planta Medica 21: 142-143. [ Links ]
Reyes-Chilpa, R., Berkov, S., Hernández-Ortega, S., Jankowski, C.K., Arseneau, S., Clotet-Codina, I., Esté, J.A., Codina, C., Viladomat, F., Bastida, J. (2011). Acetylcholinesterase inhibiting alkaloids from Zephyranthes concolor. Molecules 16: 9520-9533. [ Links ]
Santana, O., Reina, M., Anaya, A.L., Hernández, F., Izquierdo, M.E., González-Coloma, A. (2008) 3-O-acetyl-narcissidine, a bioactive alkaloid from Hippeastrum puniceum Lam. (Amaryllidaceae). Zeitschrift fuer Naturforschung, C: Journal of Biosciences 63: 639-643. [ Links ]
Sepúlveda, B.A., Pacheco, P., Silva, M.J., Zemelman, R. (1982) Alkaloids of the Amarillidaceas chilensis. III. Chemical study and biological activity in Hippeastrum bicolor (RetP) Baker. Boletín de la Sociedad Chilena de Química 27: 178-180. [ Links ]
Thomsen, D., Bickel, U., Fischer, J., Kewitz, H. (1998) Stereoselectivity of cholinesterase inhibition by galanthamine and tolerance in humans. European Journal of Clinical Pharmacology 39: 603-605. [ Links ]
Torras-Claveria, L., Berkov, S., Jáuregui, O., Caujapé, J., Viladomat, F., Codina, C., Bastida, J. (2010) Metabolic profiling of bioactive Pancratium canariense extracts by GC-MS. Phytochemical Analysis 21: 80-88. [ Links ]
Ünver, N., Gözler, T., Walch, N., Gözler, B., Hesse, M. (1999) Two novel dinitrogenous alkaloids from Galanthus plicatus subsp. byzantinus (Amaryllidaceae), Phytochemistry 50: 1255-1261. [ Links ]
Ünver, N., Kaya, G.I., Werner, C., Verpoorte, R., Gözler, B. (2003) Galanthindole: a new indole alkaloid from Galanthus plicatus ssp. byzantinus. Planta Medica 69: 869-871. [ Links ]
Ünver, N. (2007) New skeletons and new concepts in Amaryllidaceae alkaloids. Phytochemical Reviews 6: 125-135. [ Links ]
Vieira, P.B., Giordani, R.B., De Carli, G.A., Zuanazzi, J.A.S., Tasca, T. (2011) Screening and bioguided fractionation of Amaryllidaceae species with anti-Trychomonas vaginalis activity. Planta Medica 77: 1054-1059. [ Links ]
Wagner, J., Pham, H.L., Döpke, W. (1996) Alkaloids from Hippeastrum equestre Herb.-5. Circular dichroism studies. Tetrahedron 52: 6591-6600. [ Links ]
Youssef, D.T.A. (2001) Alkaloids of the flowers of Hippeastrum vittatum. Journal of Natural Products 64: 839-841. [ Links ]
Zhong, J. (2005) Amaryllidaceae and Sceletium alkaloids. Natural Products Reports 22: 111-126. [ Links ]













