1. IntroduccIón
El análisis del proceso de desarrollo económico requiere considerar dos elementos que ayuden a entender tanto la dinámica económica como la forma de interpretar los principales cambios: por un lado, los cambios en el contexto económico internacional y sus implicaciones en el desenvolvimiento de cada país -hacia afuera y al interior de las propias estructuras productivas- y, por otro lado, el desarrollo de diferentes interpretaciones teóricas que intentan dar una explicación de la lógica de dichas transformaciones.
En cuanto al contexto económico internacional, la espectacular integración de la economía mundial modifica profundamente las relaciones y formas de organización de la producción y el comercio, destacando aquellas en las que la producción tiene lugar en distintos espacios geográficos, cuya distribución no está, necesariamente, condicionada por diferencias en dotaciones factoriales sino, principalmente, por las capacidades productivas y tecnológicas de las empresas que participan en los distintos eslabones productivos, independientemente del nivel de desarrollo económico de cada país. El comercio derivado de este tipo de organización productiva tiene efectos inmediatos sobre las características de las estructuras económicas internas de los países, al romper las interrelaciones sectoriales a favor de un creciente comportamiento importador de partes y componentes.
Respecto al aspecto teórico, diferentes enfoques dan una interpretación de la lógica de los flujos comerciales y la actual reorganización de la producción dentro del sistema global, con referencia explícita a los procesos de fragmentación de la producción y su dispersión en diferentes espacios geográficos (Gereffi, 2001 y 2006; Gereffi et al., 2001; Kaplinsky, 1998; Kaplinsky y Kaplan, 1999; Hummels et al., 1999). Uno de los aportes más sobresalientes de estos estudios es el reconocimiento de que, aunado al incremento en los flujos de comercio mundial, se han dado transformaciones muy significativas en la naturaleza del intercambio, destacando una creciente interconexión de los procesos de producción en una cadena de comercio vertical desplegada a través de empresas ubicadas en una diversidad de países, las cuales se especializan en etapas particulares de la secuencia de producción de bienes (Hummels et al., 1999).
De esta forma, el enfoque de las cadenas globales de valor (CGV) cobra relevancia dentro del análisis económico actual, en particular en la formulación de políticas de desarrollo. Tres elementos son esenciales dentro de la perspectiva de las CGV: el primero se refiere a un avance metodológico que aborda el nexo local-global, el comportamiento de unidades dentro de un proceso más general -la globalización económica-; en segundo término, las relaciones de dominio dentro de una cadena, que identifica a la gobernanza como la forma de ejercer el poder en las industrias globales y, en tercer lugar, el concepto de escalamiento, que se refiere a cómo las empresas pueden mejorar su posición (escalan) dentro de la cadena para generar y apropiarse de más valor. De ahí que, para que los países (sobre todo en desarrollo) alcancen el éxito en la economía internacional necesitan posicionarse estratégicamente dentro de redes globales y desarrollar estrategias para acceder y lograr una mejor posición internacional.
En síntesis, los conceptos de “gobernanza” y “escalamiento” constituyen la base sobre la cual sustentan su visión del desarrollo. De acuerdo con Gereffi et al. (2005), entender el funcionamiento de la gobernanza y el escalamiento dentro de cada cadena resulta fundamental para la formulación de políticas y estrategias efectivas relacionadas con la modernización industrial, el desarrollo económico, la creación de empleo y el alivio de la pobreza, siempre que se logre una inserción y escalamiento favorable.
Por su parte, McMichael (1996) indica que, en el transcurso de las décadas de los ochenta y noventa del siglo pasado, se desplaza la visión de “proyecto de desarrollo” a “proyecto de globalización”, haciendo evidente los cambios de orientación de políticas económicas en los países en desarrollo, al abandonar los esquemas de industrialización dirigidos por el Estado en favor de una estrategia de desarrollo orientada a la exportación (Zárate y Molina, 2017). Para Bair (2005), esta nueva visión sobre el desarrollo es adoptada por organismos internacionales, como la Organización Internacional del Trabajo (OIT), la Comisión Económica para América Latina y el Caribe (CEPAL), el Fondo Monetario Internacional (FMI), el Banco Mundial, Banco Interamericano de Desarrollo (BID), la Organización de las Naciones Unidas (ONU) (sobre todo a través de la Conferencia de las Naciones Unidas sobre Comercio y Desarrollo, UNCTAD), la Organización para la Cooperación y el Desarrollo Económicos (OCDE) y, por supuesto, la Organización Mundial de Comercio (OMC) (Santarcángelo et al., 2017).
Pese a la importancia que ha cobrado el enfoque de CGV, una visión crítica obliga a plantear las posibles limitantes que tiene, no sólo en el análisis de las consecuencias del proceso de globalización en muchas economías vistas en lo individual, sino también en la formulación de políticas de desarrollo. En este sentido, desde la misma perspectiva de CGV algunos estudios, como el de Dolan y Humphrey (2000), señalan que las empresas con frecuencia tienen dificultades para “escalar” debido a las crecientes barreras de entrada conforme se mueven a lo largo de la cadena; al mismo tiempo, se generan procesos de exclusión.
En el presente artículo se reconoce que la visión más tradicional de las CGV -incluyendo la que sustentan algunos organismos internacionales-, si bien realiza importantes contribuciones a la explicación de los flujos de comercio mundial e intenta definir la posición de empresas y economías nacionales en dichos flujos, sus recomendaciones de política económica se enfocan, principalmente, sobre los beneficios de una acelerada integración internacional desde la perspectiva únicamente del comercio, sin llegar a profundizar en realidad en las implicaciones que este proceso podría genera al interior de cada economía, muchas de las cuales exacerban los fenómenos de polarización, dualización productiva y dependencia importadora, limitando con ello el desarrollo económico, el cual se entiende como el proceso en el que la estructura productiva y sus interrelaciones hacen posible la reproducción del sistema económico y social, lo que implica no sólo el crecimiento, sino también la complejización (Leontief, 1973), especialización y articulación de la estructura productiva (Zárate y Molina, 2017) para hacer frente a la necesidad de hacer un uso eficiente de los recursos productivos y sin generar alta dependencia a las importaciones ante un escenario de alta integración internacional.
De esta manera, a partir de una visión crítica hacia las CGV y las implicaciones del comercio internacional, es que se analiza el caso de tres economías altamente internacionalizadas (Brasil, Corea del Sur y México), pero con esquemas de inserción totalmente diferentes, con la finalidad de definir, en primer lugar, el tipo de modelo o esquema de integración y, en segundo lugar, evaluar el impacto de dichos modelos en el desarrollo de tales economías, considerando que en algunas industrias comercialmente dinámicas participan empresas que son parte de una CGV que opera como producción fragmentada a nivel internacional.
Con tales propósitos, el documento se estructuró en cuatro secciones, iniciando con esta introducción. La segunda sección expone los elementos metodológicos basados en el análisis de fugas y eslabonamientos productivos desde la perspectiva del análisis insumo-producto (IP); la tercera, se dedica a la exposición de resultados empíricos y, finalmente, se presentan las conclusiones de la investigación.
2. VInculacIones o fugas
La determinación de los sectores que poseen la capacidad de ejercer los máximos efectos sobre el sistema económico ha sido uno de los temas más importantes y recurrentes del análisis IP. Desde los estudios de Rasmussen (1956), Chenery y Watanabe (1958) y Hirschman (1958), se analiza la forma en cómo fuentes exógenas -por ejemplo, la demanda final- pueden afectar al sistema productivo considerando una determinada estructura (Aroche et al., 2021; Molina, 2018).
De acuerdo con Reis y Rua (2009), pese a que este tipo de técnicas resultan de gran interés, los estudios que se centran en la aplicación empírica de IP no prestan mucha atención en la distinción entre los insumos importados y los producidos internamente, sobre todo, al analizar las características estructurales de una sola economía. Estos autores señalan que cuando los vínculos se miden para realizar comparaciones de las estructuras económicas de diferentes países, basta con considerar las transacciones totales intermedias (que incluyen tanto los insumos producidos internamente como los importados), porque el objetivo es ver las diferencias en las formas de producción entre países y no de dónde provienen los insumos; sin embargo, si el interés está centrado en estudiar un solo país, es necesario considerar los insumos que son ofertados internamente y orientar el análisis hacia el impacto sobre la economía interna.
Dietzenbacher et al. (2005), por su parte, señalan que ignorar la distinción entre insumos importados y los producidos internamente tiene implicaciones empíricas importantes al sesgar los resultados y, con ello, sobreestimar el efecto multiplicador de un sector dado. Una forma de solventar este tipo de problema es comparar las matrices de transacciones totales con las internas y determinar el peso de las importaciones dentro de la producción nacional (Aroche et al., 2021 y 2022); no obstante, una forma de determinar los vínculos internos e investigar el impacto del comercio internacional en tales conexiones y cómo esto influye en la interdependencia de una economía es mediante el análisis de encadenamientos y fugas. Es decir, una alta dependencia a importar puede resultar en un más bajo encadenamiento entre sectores de producción internos (Reis y Rua, 2009).
Medición de encadenamientos (vínculos) y fugas
Dentro del análisis IP clásico, tres conceptos resultan fundamentales para analizar la dinámica del sistema económico. Por un lado, Hirschman (1958) plantea la idea de sectores “clave” como aquellos que poseen la capacidad de inducir el crecimiento económico, tanto por la demanda de insumos que emplean en su producción como por la oferta de bienes y servicios que producen. Es decir, habrá industrias que se caracterizan por dar incentivos y fuerzas conductoras para el desarrollo o expansión del sistema, mediante la demanda de insumos, o bien a través de la producción de bienes que se destinarán a otras actividades. Por otro lado, para definir el nivel de interrelación -y, con ello, su capacidad de incentivar el crecimiento- de los diferentes sectores productivos, se definen otros dos conceptos como índices, vinculaciones o conexiones.
Al respecto, Rasmussen (1956) encuentra que cambios en una unidad monetaria en la demanda final de un sector provoca efectos sobre el sistema y, al mismo tiempo, modificaciones en la demanda final del sistema tiene repercusiones en el nivel de producción de la i-ésima rama; de esta forma, define los dos índices como: el “índice de poder de dispersión” y el “índice de sensibilidad de dispersión”. El primero se refiere al incremento total en el producto del sistema para cubrir el aumento en una unidad en la demanda final del producto del sector j. Este índice se identifica como una medida de los encadenamientos hacia atrás (EA). El segundo índice mide el incremento en la producción de la industria i, provocado por un aumento en una unidad en la demanda final de todas las industrias del sistema. Este índice se le conoce también como encadenamiento hacia delante (ED).
Si bien el análisis de las fortalezas de los encadenamientos EA y ED permite identificar los sectores más importantes de la economía, no debe olvidarse que, en una economía abierta, el incremento en la producción también puede generar la utilización de insumos importados para llevar a cabo la producción. Ese tipo de importación se denomina fuga económica, por representar una fuga del efecto multiplicador (Guo y Planting, 2000).
Encadenamientos y fugas EA
De acuerdo con Reis y Rua (2009), considérese que hay n sectores en la economía y que para la producción de cada bien i hay equilibrio entre oferta y demanda total.
donde xi es la producción del sector i, mi denota las importaciones del producto i, zij es el producto del sector i que emplea el sector j -ya sea de origen nacional o importado-
como:
Para los n sectores hay un conjunto de n ecuaciones. Se define
Resolviendo la ecuación (3) para X, se obtiene:
La matriz I es la matriz identidad de n x n, Ad es la matriz de coeficientes de insumos directos nacionales. La expresión
El coeficiente bij indica cuánto aumenta la producción del i-ésimo sector, xi, si la demanda final de la producción del sector j,
De forma similar,
Dietzenbacher et al. (2005) muestran que el elemento (i, j) de la matriz
Encadenamientos y fugas hacia ED
De forma análoga al cálculo de los encadenamientos y fugas EA, es posible encontrar la relación entre la producción y los insumos primarios. Similar a la relación del lado de la demanda, se considera el lado de la oferta.
donde wj incluye las importaciones utilizadas por el sector j así como los componentes del valor agregado. Para los n se define
donde
La matriz inversa del producto queda definida por
El coeficiente
El coeficiente de insumo de importaciones queda definido como
Determinación de los sectores clave
La industria clave será aquella actividad que presente un alto poder de dispersión, con amplias interrelaciones -tanto hacia atrás como hacia delante- con el resto de las ramas (Robles y Sanjuán, 2008; Drejer, 1999). Es decir, su importancia radica en la gran capacidad de transferencia de efectos sobre el conjunto de la actividad, así como su sensibilidad ante cambios en la demanda del resto de las industrias del sistema.
Tabla 1 Clasificación de las industrias por los encadenamientos EA y ED
| EA < EA promedio | EA > EA promedio | |
|---|---|---|
| ED <ED promedio | Sectores Islas (A), no afecta ni a las ramas a las que demandan ni a las que venden. | Sectores impulsores (I), tienen una alta demanda de insumos provenientes de otros sectores. |
| ED > ED promedio | Sectores base o estratégicos (E), responden a los requerimientos de otros sectores y demandan poco del resto de industrias. | Sectores clave (C), demanda y oferta alta de insumos intermedios. |
Nota: encadenamientos hacia delante (ED), encadenamientos hacia atrás (EA).
Fuente: resumen de la Tabla 1 (Clasificación de las industrias por índices de Ramusen-Hirschman) en Molina (2016, p. 53).
Para realizar el estudio de las tres economías elegidas (Brasil, Corea del Sur y México), el análisis empírico se basó en tres tipos de indicadores: primero, se determina la posición estructural de las actividades más exportadoras a partir del análisis de eslabonamientos y fugas EA y ED; segundo, se exploran los patrones de especialización comercial, identificando el perfil tecnológico (a partir de la clasificación por intensidad tecnológica de la OCDE) y el tipo de ventaja comercial con el cálculo de la Ventaja Comparativa Revelada (VCR). Cabe recordar que, para la VCR, valores superiores a la unidad significan que el país posee ventaja con respecto a otros en el comercio y, valores inferiores a la unidad demuestran desventaja comercial. Finalmente, se presenta el contenido de valor agregado que poseen las exportaciones y la participación de las importaciones intermedias reexportadas. Ambas mediciones se presentan en forma gráfica y permiten establecer tanto el nivel de participación de los factores internos de la producción -indicador de inserción de las economías nacionales- como el nivel de dependencia de las industrias más exportadoras a las importaciones de insumos intermedios que serán reexportadas como parte de un tipo de producción fragmentada (sustitución de la producción nacional por importaciones). Para el análisis conjunto de ambos aspectos, primero, se parte del supuesto de que la participación de las importaciones es equivalente a la parte de la producción nacional que se ha dejado de producir internamente para completar un proceso productivo, por lo que lo se le asigna un signo negativo. Después, en cuanto al valor agregado contenido en las exportaciones, por ser el aporte de los factores de la producción nacional a las prácticas productivas y comerciales del sector exportador, se grafica con signo positivo.
En síntesis, el estudio empírico tuvo la finalidad de definir si una estrategia orientada a la exportación podía ser la base del desarrollo económico en términos del grado de dependencia a las importaciones. Así, se pretende definir la vulnerabilidad de las economías nacionales ante un modelo conducido por el sector exportador. El análisis se centró en el estudio de las actividades extractivas y manufactureras debido a que los sectores terciarios son actividades de apoyo al intercambio comercial de bienes, por lo que son exportadores en la medida en que el sector real, extractivo e industrial, participa en el comercio. Por último, para este análisis se emplearon las matrices IP de los tres países, durante los años 2005 y 2015, así como datos de contenido de valor agregado contenido en las exportaciones y la participación de las importaciones intermedias reexportadas. Todos los datos son publicados por el Structural Analysis Database-Organización para la Cooperación y el Desarrollo Económicos, (STAN-OCDE), a un nivel de agregación a 36 sectores, homologados para los distintos países al mismo nivel de clasificación ISIC Rev. 4, lo que facilita el trabajo de análisis comparativo.
3. AnálIsIs de resultados: fortalezas de los sectores exportadores
Desde finales del siglo pasado, el comercio internacional se convirtió en una pieza clave del desarrollo económico de muchas economías nacionales. Quedando de lado las prácticas proteccionistas, para comenzar una fase que se distingue por la creciente expansión del comercio dentro de un proceso más general y universal: la internacionalización económica. En muchos casos, se finca dentro del establecimiento de acuerdos comerciales de tipo regional; en otros, se va más allá de los límites fronterizos de regiones geográficas, siendo de tipo transoceánico y, en otros, una combinación de ambos.
En este sentido, el comercio internacional se convirtió en una pieza clave de las estrategias de desarrollo de distintas economías. El proceso de globalización, junto con la dispersión de las distintas fases de la producción en diferentes espacios geográficos, convierte a cada país en un posible partícipe de las prácticas productivas y, por supuesto, comerciales de las empresas más dinámicas, que se encuentran a la vanguardia del desarrollo tecnológico a nivel mundial. Al mismo tiempo, estas nuevas formas de producción conllevan a que cada economía se encuentre más interconectada al escenario mundial que al nacional, lo que evidencia, aún más, la importancia del comercio internacional. De ahí la trascendencia de definir, por un lado, la posición de cada país estudiado en el intercambio internacional a través de su contribución en el comercio mundial y, por otro lado, establecer la relevancia de las actividades más exportadoras en dichos países.
En la Tabla 2 se muestra la contribución en las exportaciones brutas y la producción a nivel mundial de distintos países, en los años 2005 y 2015.1 Como puede apreciarse, la participación en las exportaciones de las cuatro economías líderes (Estados Unidos, Alemania, China y Japón) fluctúa entre 30 y 34%, mientras la de las tres economías analizadas (Brasil, Corea del Sur y México) se ubica alrededor del 10%. Si bien, la aportación de los tres países seguidores en las exportaciones apenas representa una quinta parte de lo que contribuyen los líderes exportadores, esta participación no resulta tan insignificante si se comparan con los datos de producción, en la que los países seguidores sólo aportan la octava parte de los primeros; es decir, los países seguidores tienen un comportamiento muy dinámico en el ámbito comercial, lo que no necesariamente se traduce en un mayor aporte al producto mundial, lo cual podría cuestionar la estrategia exportadora de cada país.
Tabla 2 Países seleccionados. Participación en el comercio y producto mundial (2005 y 2015)
| Comercio | Producto | |||
|---|---|---|---|---|
| 2005 | 2015 | 2005 | 2015 | |
|
Países líderes exportadores Estados Unidos |
10.8 |
11.3 |
27.7 |
24.6 |
| Alemania | 7.8 | 7.1 | 6.0 | 4.5 |
| China | 6.3 | 12.3 | 4.9 | 14.9 |
| Japón | 5.8 | 4.1 | 10.1 | 5.9 |
|
Países seguidores Corea del Sur |
2.9 |
3.4 |
2.0 |
2.0 |
| Brasil | 1.2 | 1.3 | 1.9 | 2.4 |
| México | 2.0 | 2.1 | 1.9 | 1.6 |
| Resto | 63.2 | 58.5 | 45.6 | 44.0 |
Fuente: elaboración propia con estadísticas de comercio de Trade in Value Added: Principal Indicators (OCDE) (https://www.oecd.org/) y de producción de Indicadores del desarrollo mundial del Banco Mundial (https://data.worldbank.org/).
Corea del Sur muestra la misma participación en la producción mundial durante los dos años de estudio seleccionados, aunque con un incremento en la contribución de las exportaciones del 2.9 al 3.4%. Por su parte, la participación en el producto de Brasil resulta mayor al ligero aumento en las exportaciones. De forma contraria, mientras la contribución en las exportaciones mundiales de México aumenta, se presenta una caída en su participación en el producto mundial, lo que sugiere que la economía se ha orientado al fomento exportador sin provocar necesariamente una derrama al resto de la economía.
En este sentido, el comercio mundial continúa dominado por países líderes, aunque cada vez es más visible la participación de economías seguidoras, lo que refleja que la producción y la actividad comercial tienden a dispersarse hacia países de menor desarrollo. Al respecto, ¿qué define el patrón de especialización comercial de los países estudiados?, ¿cuál es el tipo de ventajas con las que se está compitiendo y, por consiguiente, se puede asegurar que las economías nacionales realmente se están beneficiando de un modelo económico fuertemente orientado al exterior?
Dentro del proceso de internacionalización, las economías nacionales emprendieron importantes transformaciones que fueron más allá del ámbito político, centrándose en cambios productivos, tecnológicos y estructurales, entre otros (Zárate y Molina, 2017). Por tal motivo, el grado de complejización tecnológica y estructural que alcanza cada país, se relaciona con la definición de un patrón de especialización comercial que le permite enfrentar el proceso de integración internacional de forma activa o pasiva, lo que tendrá repercusiones importantes en el desenvolvimiento económico de los países.
Corea del Sur: un modelo conducido por el sector manufacturero exportador
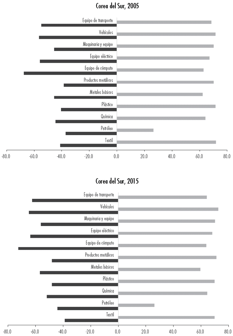
El patrón de especialización comercial de Corea del Sur se caracteriza por ser básicamente manufacturero, con intensidad tecnológica de moderada a alta y, pese a mostrar cierta dependencia a las importaciones intermedias, está relativamente articulado con el resto de los sectores productivos (véanse Tabla 3 y Figura 1). En general, es posible señalar que las actividades exportadoras presentan un elevado grado de articulación productiva y, con ello, de especialización y complejización estructural; diez de las once industrias se clasifican, por el dato de eslabonamientos, como clave, impulsores o estratégicos y sólo una industria queda aislada de la estructura interna. La estructura productiva surcoreana presenta cierta estabilidad, ya que sólo cuatro industrias cambian su nivel de articulación intersectorial. Los sectores Textil y Metales básicos incrementan sus eslabonamientos al pasar el primero de Impulsor y el segundo de Estratégico a Clave. Mientras Equipo de cómputo disminuye sus enlaces pasando de Impulsor a Aislado y Equipo eléctrico de Clave a Impulsor.
Tabla 3 Corea del Sur. Principales actividades exportadoras. Ventaja comparativa revelada, eslabonamientos y fugas, 2005 y 2015
| 2005 | 2015 | |||||||||||
|---|---|---|---|---|---|---|---|---|---|---|---|---|
| Eslabonamientos | Fugas | Eslabonamientos | Fugas | |||||||||
|
Clasif. Tecn. OCDE |
Actividades |
Ventaja comparativa revelada |
Atrás | Adelante | Atrás | Adelante | Atrás | Adelante | Atrás | Adelante | ||
| BT | Textil | 0.6 | I | 2.0182 | 1.8990 | 0.2842 | 0.2466 | C | 2.1035 | 2.2460 | 0.3021 | 0.3661 |
| MBT | Petróleo | 1.8 | E | 1.2586 | 2.1962 | 0.7374 | 0.3047 | E | 1.3616 | 2.1080 | 0.7376 | 0.2926 |
| AT | Química | 1.1 | C | 1.9861 | 2.2661 | 0.3623 | 0.3614 | C | 2.0250 | 2.1563 | 0.3541 | 0.3521 |
| MBT | Plástico | 1.1 | C | 1.9964 | 2.4760 | 0.2892 | 0.3017 | C | 2.1016 | 2.4888 | 0.3029 | 0.3062 |
| MBT | Metales básicos | 1.5 | E | 1.8690 | 2.4348 | 0.3811 | 0.5033 | C | 1.9663 | 2.3209 | 0.4045 | 0.4253 |
| MBT | Productos metálicos | 1.2 | C | 1.9900 | 2.4337 | 0.3002 | 0.2402 | C | 2.0308 | 2.3764 | 0.2887 | 0.2721 |
| AT | Cómputo | 3.0 | I | 1.8862 | 1.7359 | 0.3806 | 0.2862 | A | 1.8371 | 1.7500 | 0.3680 | 0.3065 |
| MAT | Equipo eléctrico | 1.6 | C | 2.0029 | 2.0473 | 0.3312 | 0.2981 | I | 2.0262 | 1.9026 | 0.3197 | 0.2566 |
| MAT | Maquinaria y equipo | 1.2 | I | 2.0135 | 1.5549 | 0.3017 | 0.2078 | I | 2.0357 | 1.6459 | 0.3007 | 0.2480 |
| MAT | Vehículos | 1.8 | I | 2.2974 | 1.6113 | 0.2869 | 0.0711 | I | 2.2239 | 1.6987 | 0.2750 | 0.1103 |
| MAT | Equipo de transporte | 2.7 | I | 1.9304 | 1.3490 | 0.3179 | 0.1058 | I | 2.0261 | 1.2787 | 0.3608 | 0.1135 |
| ABT | Comercio | 0.6 | E | 1.6271 | 2.1247 | 0.1270 | 0.3036 | E | 1.7435 | 2.1895 | 0.1472 | 0.3019 |
| I | Servicios empresariales | 0.4 | E | 1.6043 | 2.0725 | 0.1115 | 0.2395 | E | 1.6099 | 2.1181 | 0.1181 | 0.2867 |
| Exportadoras | 1.4 | 1.8831 | 2.0155 | 0.3239 | 0.2669 | 1.9301 | 2.0215 | 0.3292 | 0.2798 | |||
Fuente: elaboración propia con información estadística de MIP de STAN-OCDE (https://www.oecd.org/).

Fuente: elaboración propia con información estadística de la base de datos de STAN-OCDE (https://www.oecd.org/).
Figura 1 Corea del Sur. Principales actividades exportadoras, 2005 y 2015. Importaciones intermedias reexportadas y contenido de valor agregado en las exportaciones
Las actividades de altos eslabonamientos EA y ED, sectores clave, son industrias que participan en la actividad comercial con VCR y cuya participación del valor agregado contenido en las exportaciones supera el 60%. De las cinco industrias clave, una es de alta intensidad tecnológica (AT) -Química y Farmacéutica (GYF)- cuyo dato de fugas y su elevada participación de insumos intermedios reexportados, refleja que no es capaz de abastecerse internamente de los insumos intermedios necesarios para su producción, ni tampoco logra proveer las necesidades de otros sectores. Tres de las industrias clave son de media baja intensidad tecnológica -con elevado indicador de fugas- Caucho y plástico (PLAST), Metales básicos (METB) y Productos metálicos (PMET) -las dos primeras presentan una elevada necesidad de importaciones intermedias (altas fugas y más del 50% en importaciones intermedias reexportadas), mientras PMET, muestra un mayor nivel de articulación con la estructura productiva interna. La única actividad exportadora surcoreana de Baja intensidad tecnológica (BT) -Textiles y prendas de vestir (TEX)- que es clave, muestra un incremento en el valor de la fuga y su necesidad de insumos intermedios reexportados es relativamente baja (menor al 40%).
Los cuatro sectores de altos eslabonamientos EA, es decir, impulsores, son actividades que se caracterizan por su elevada participación en el comercio a nivel mundial y son partícipes de las CGV. Para el caso surcoreano, dichos sectores compiten con una elevada VCR, son de Media alta intensidad tecnológica (MAT) y tienen muy elevada contribución del valor agregado en las exportaciones que realizan, superando el 60%. Dos de estas industrias -Maquinaria y Equipo (MYE) y Vehículos de motor (VEH)- aunque tienen una considerable participación en las importaciones intermedias reexportadas (60%), su alto grado de articulación productiva se traduce en un relativamente bajo índice de fugas. Las otras dos industrias -Maquinaria y equipo eléctrico (ELECT) y Equipo de transporte (ETRNS)- por el contrario, tienen altos requerimientos de insumos intermedios importados y no logran abastecer al resto de los sectores productivos.
De los sectores exportadores, sólo uno es de altos eslabonamientos ED (Estratégico), Coque y refinados de petróleo (PET), se clasifica como MBT y presenta una elevada VCR, es un sector demandante de insumos importados que no pueden ser abastecidos internamente y, al mismo tiempo, no tiene la capacidad de proveer al resto de los sectores productivos los requerimientos de este tipo de insumos. La contribución de valor agregado en las exportaciones únicamente es del 20%.
Una de las industrias más exportadoras e internacionalizadas de Corea del Sur, característica de las CGV y AT, es Equipo de Cómputo e informático (COMP). Pese al dinamismo de esta actividad, su nivel de articulación productiva es tan baja que es un sector Aislado, con un índice de fugas elevado y una participación en las importaciones intermedias reexportadas superior al 70%, aun y cuando su contenido de valor agregado es cercano al 60%.
En resumen, el componente tecnológico es fundamental en los sectores exportadores surcoreanos; esto es, predominan las actividades de media alta tecnología. De las once actividades manufactureras, diez tienen ventaja comercial. No obstante al caso de COMP, Corea es un ejemplo de un país que tiene un alto grado de especialización comercial sustentada en una ventaja productiva y tecnológica en la mayoría de los sectores exportadores y con cierto nivel de articulación productiva.
Brasil: modelo exportador de bienes tradicionales
El patrón de especialización comercial de Brasil está compuesto principalmente por 12 actividades, de las cuales 9 son industrias tanto extractivas como manufactureras. Por ello, su caracterización tecnológica es muy variada (véanse Tabla 4 y Figura 2). A diferencia de Corea del Sur, no en todas las actividades presenta una elevada VCR. Aunque en términos de los eslabonamientos productivos, muestra cierto grado de articulación al menos en siete actividades; en general, todas tienen cierta dependencia a las importaciones tanto por no abastecer al resto de los sectores como por requerir de insumos para su producción. Al mismo tiempo, es preciso indicar que mientras una sola actividad incrementa su nivel de articulación, tres industrias la reducen. Esto es Equipo de Transporte pasa de Aislada a Impulsora; en tanto, Actividades agrícolas y Minería de productos no energéticos de Estratégicas a Aisladas y Transporte de Clave a Impulsora. De ahí que, su estructura productiva sea menos compleja y especializada que la surcoreana.
Tabla 4 Brasil. Principales actividades exportadoras. Ventaja comparativa revelada, eslabonamientos y fugas, 2005 y 2015
| 2005 | 2015 | |||||||||||
|---|---|---|---|---|---|---|---|---|---|---|---|---|
| Eslabonamientos | Fugas | Eslabonamientos | Fugas | |||||||||
|
Clasif. Tecn. OCDE |
Actividades |
Ventaja comparativa revelada |
Atrás | Adelante | Atrás | Adelante | Atrás | Adelante | Atrás | Adelante | ||
| ABT | Agricultura | 6.8 | E | 1.8168 | 2.1111 | 0.0672 | 0.0429 | A | 1.7475 | 1.7687 | 0.0967 | 0.0335 |
| ABT | Minería productos energéticos | 0.8 | E | 1.6818 | 3.3119 | 0.0741 | 0.4866 | E | 1.7360 | 2.7612 | 0.1658 | 0.3775 |
| ABT | Minería productos no energéticos | 5.7 | E | 1.9946 | 2.1428 | 0.0954 | 0.2450 | A | 1.8726 | 1.7815 | 0.1246 | 0.1484 |
| BT | Alimentos | 3.1 | I | 2.5303 | 1.5755 | 0.0892 | 0.0221 | I | 2.3947 | 1.4663 | 0.1114 | 0.0296 |
| BT | Papel | 2.8 | C | 2.2504 | 2.5978 | 0.0990 | 0.0925 | C | 2.1156 | 2.2340 | 0.1338 | 0.1011 |
| AT | Química | 0.5 | C | 2.2740 | 2.6716 | 0.1611 | 0.2691 | C | 2.2324 | 2.2667 | 0.1838 | 0.2769 |
| MBT | Metálicos básicos | 1.9 | C | 2.2334 | 2.1176 | 0.1553 | 0.1465 | C | 2.2400 | 2.0902 | 0.1833 | 0.2032 |
| MAT | Maquinaria y equipo | 0.5 | I | 2.1695 | 1.5760 | 0.1432 | 0.1433 | I | 1.9986 | 1.6589 | 0.1801 | 0.2136 |
| MAT | Vehículos | 0.7 | I | 2.4008 | 1.6094 | 0.1467 | 0.0542 | I | 2.2738 | 1.4629 | 0.1978 | 0.0877 |
| MAT | Equipo de transporte | 0.9 | A | 1.9635 | 1.3468 | 0.1637 | 0.1369 | I | 2.0113 | 1.4180 | 0.2659 | 0.3081 |
| ABT | Comerico | 1.0 | E | 1.7661 | 2.2990 | 0.0440 | 0.0976 | E | 1.5573 | 2.0341 | 0.0483 | 0.1093 |
| I | Transporte | 1.0 | C | 2.1738 | 2.0375 | 0.0935 | 0.0773 | I | 1.8922 | 1.9026 | 0.1112 | 0.0986 |
| I | Servicios empresariales | 0.9 | E | 1.7027 | 2.4506 | 0.0320 | 0.0802 | E | 1.5327 | 2.5730 | 0.0475 | 0.2151 |
| Exportadoras | 2.1 | 2.0737 | 2.1421 | 0.1049 | 0.1457 | 1.9696 | 1.9552 | 0.1423 | 0.1694 | |||
Fuente: elaboración propia con información estadística de MIP de STAN-OCDE (https://www.oecd.org/).

Fuente: elaboración propia con información estadística de la base de datos de STAN-OCDE (https://www.oecd.org/).
Figura 2 Brasil. Principales actividades exportadoras, 2005 y 2015. Importaciones intermedias reexportadas y contenido de valor agregado en las exportaciones
Tres actividades son de altos eslabonamientos hacia delante y hacia atrás (Clave), una de ellas es de at -GYF- sin ventaja comparativa, pese al alto contenido de valor agregado en las exportaciones (más del 80%) y una baja participación de las importaciones intermedias reexportadas, presenta un elevado indicador de fuga. Esto puede explicarse porque mucha de la producción de la industria química no es exportada, sino que es de alto consumo interno, por lo que no necesariamente las importaciones en bienes intermedios que realiza el sector se pueden considerar reexportaciones.
Por su parte, la fabricación de Metales básicos (METB) en Brasil, que es catalogada con una intensidad tecnológica MBT, es de elevada ventaja comparativa, teniendo un contenido de valor agregado en sus exportaciones del 80% y, al igual que GYF, la participación de las importaciones intermedias reexportadas es del 20%, pero el indicador de fugas es superior al promedio. Entre las actividades Clave se encuentra Productos de papel y editoriales (PAP), clasificada de BT, es una de las industrias con mayor VCR, el contenido de valor agregado en las exportaciones es superior al 90% y con una baja participación de importaciones intermedias reexportadas del 20%, no presenta fugas superiores al promedio.
En cuanto al grupo de sectores Impulsores, tres industrias de MAT son características de producción fragmentada. Las tres actividades -Maquinaria y Equipo (MYE), Vehículos de motor (VEH) y Equipo de transporte (ETRNS)- no presentan alta ventaja comparativa, aunque su contenido en valor agregado supera el 80% y la participación en las importaciones intermedias reexportadas es de aproximadamente el 20%. En los tres casos se muestra que existe un alto nivel de fugas, es decir, no se posee la capacidad de abastecer de insumos a las industrias de estos sectores y, a la vez, el resto de los sectores requiere de productos provenientes de este tipo de industrias (MYE, VEH y ETRNS), siendo mucha de la producción no necesariamente dirigida al mercado de exportación sino al mercado interno.
Únicamente una actividad no manufacturera de baja intensidad tecnológica (ABT) es exportadora de tipo Estratégica -Minería de productos energéticos (MIPER)- la cual, pese a que presenta una baja VCR, su contenido de valor agregado en las exportaciones es superior al 90%, mientras las importaciones intermedias reexportadas son de casi el 40%. Es una industria que opera con alta dependencia a las importaciones, presentando un indicador de fuga superior al promedio.
Dos actividades no manufactureras de baja intensidad tecnológica pertenecen a la categoría de bajos eslabonamientos EA y ED, Aisladas, Actividades agrícolas, silvicultura y pesca (AGRIC) y Minería de productos no energéticos (MINER). Ambas compiten con la más alta VCR de todas las actividades exportadoras de Brasil. Pese a su baja articulación productiva, ambas durante el último año no presentan un indicador de fugas elevado. Su contenido de valor agregado es superior al 80% y la participación de importaciones intermedias reexportadas es de aproximadamente el 20%. Lo anterior encuentra explicación en el tipo de proceso productivo que tienen ambas actividades, intensivas en trabajo y directamente vinculado a la extracción por lo que no son industrias de procesamiento de bienes importados.
En general, el perfil exportador de Brasil puede considerarse de tipo tradicional y poco tecnificado. Aunque hay sectores exportadores altamente tecnificados, es indiscutible la fortaleza comercial del país en las actividades extractivas. Esto es, conserva ventaja comercial en los sectores cuya intensidad tecnológica es baja o media baja y conforme la intensidad tecnológica de las industrias es mayor, pierde fortaleza competitiva. Otro rasgo característico es que las industrias exportadoras, presentan una baja y decreciente dependencia a las importaciones, mientras su contenido de valor añadido resulta superior al 70%.
En síntesis, las actividades más dinámicas en términos de exportaciones de Brasil son de menor intensidad tecnológica; es decir, conforme se avanza en la intensidad tecnológica de las actividades, el dinamismo comercial tiende a disminuir y, con ello, desciende el contenido de valor agregado y se incrementa la participación en importaciones intermedias. La pérdida de dinamismo exportador de las actividades de AT y MAT, posiblemente, se deba a que las empresas brasileñas -que lograron desarrollar una importante base industrial en el país- al enfrentarse con empresas o conglomerados internacionales -que fragmentaron sus procesos productivos aprovechando las capacidades desarrolladas de otros países y con menores costos- no logren competir en términos igualitarios y, por lo mismo, pierdan competitividad internacional.
México: especialización en industrias manufactureras con perfil tecnológico diverso
El patrón de especialización exportadora de México es muy diverso en términos tecnológicos (véanse Tabla 5 y Figura 3). De las 11 actividades más exportadoras, ocho son de tipo manufacturero y una de carácter extractivo. El país tiende a presentar una alta comercialización en industrias sujetas a una fuerte competencia internacional, donde prevalecen prácticas de fragmentación productiva y cadenas de valor, y en las que guarda una elevada competitividad, pero con un bajo nivel de articulación productiva y, por lo mismo, alta dependencia a las importaciones de insumos intermedios, bajos niveles de complejización y especialización en industrias de mayores conexiones interindustriales. En general, no presenta cambios sustanciales en la estructura productiva, sólo una actividad disminuye sus enlaces productivos, Equipo eléctrico, la cual de ser Impulsora en el primer año, para 2015 se vuelve Aislada.
Tabla 5 México. Principales actividades exportadoras. Ventaja comparativa revelada, eslabonamientos y fugas, 2005 y 2015
| 2005 | 2015 | |||||||||||
|---|---|---|---|---|---|---|---|---|---|---|---|---|
| Eslabonamientos | Fugas | Eslabonamientos | Fugas | |||||||||
|
Clasif. Tecn. OCDE |
Actividades |
Ventaja comparativa revelada |
Atrás | Adelante | Atrás | Adelante | Atrás | Adelante | Atrás | Adelante | ||
| ABT | Agricultura | 1.1 | E | 1.4844 | 1.6136 | 0.0837 | 0.0793 | E | 1.4482 | 1.7868 | 0.7429 | 0.1303 |
| BT | Alimentos | 0.7 | I | 1.8177 | 1.1815 | 0.1254 | 0.0222 | I | 1.7722 | 1.2244 | 1.1580 | 0.0369 |
| AT | Química | 0.4 | C | 1.9970 | 2.0075 | 0.2341 | 0.4025 | C | 1.7610 | 1.8310 | 1.6242 | 0.5649 |
| MBT | Metales básicos | 0.7 | C | 1.8613 | 2.2102 | 0.2026 | 0.5137 | C | 1.7952 | 1.9469 | 1.4986 | 0.6300 |
| AT | Cómputo | 2.2 | A | 1.6988 | 1.3993 | 0.4741 | 0.4259 | A | 1.3820 | 1.1225 | 1.9850 | 0.5119 |
| MAT | Equipo eléctrico | 1.6 | I | 1.7989 | 1.3266 | 0.3742 | 0.4634 | A | 1.5237 | 1.2052 | 1.8663 | 0.8619 |
| MAT | Maquinaria y equipo | 0.8 | A | 1.6782 | 1.2056 | 0.2852 | 0.4114 | A | 1.5081 | 1.1560 | 1.5589 | 0.5861 |
| MAT | Vehículos | 4.2 | I | 1.7857 | 1.1553 | 0.3756 | 0.1348 | I | 1.5970 | 1.1649 | 1.8793 | 0.1567 |
| MBT | Otras manufacturas | 1.3 | I | 1.8096 | 1.1783 | 0.2416 | 0.0459 | I | 1.6897 | 1.1433 | 1.5743 | 0.0621 |
| ABT | Comercio | 1.0 | E | 1.2492 | 1.7372 | 0.0346 | 0.1977 | E | 1.2169 | 1.7552 | 0.3143 | 0.2251 |
| I | Transporte | 0.8 | A | 1.5445 | 1.4544 | 0.0861 | 0.1324 | A | 1.4432 | 1.4215 | 0.8251 | 0.1643 |
| Exportadoras | 1.3 | 1.7023 | 1.4972 | 0.2288 | 0.2572 | 1.5579 | 1.4325 | 1.3661 | 0.3573 | |||
Fuente: elaboración propia con información estadística de MIP de STAN-OCDE (https://www.oecd.org/).

Fuente: elaboración propia con información estadística de la base de datos de STAN-OCDE (https://www.oecd.org/).
Figura 3 México. Principales actividades exportadoras, 2005 y 2015. Importaciones intermedias reexportadas y contenido de valor agregado en las exportaciones
El grupo de actividades Clave está constituido por dos industrias de intensidad tecnológica disímil y sin una VCR amplia, para ambas actividades el índice de VCR es menor a la unidad. GYF de AT, es la rama exportadora con menor VCR, el contenido de valor agregado en las exportaciones es relativamente alto, superior al 60% y la participación de las importaciones intermedias reexportadas es de aproximadamente el 50%. La dependencia a las importaciones también se ve reflejada en el indicador de fugas -tanto hacia delante como hacia atrás. Por su parte, la fabricación de Metales básicos (METB) con una intensidad tecnológica MBT, también presenta un considerable contenido de valor agregado en las exportaciones (60%) y una muy alta dependencia a las compras provenientes del exterior, siendo la participación de las importaciones intermedias reexportadas del 70%; asimismo, el indicador de fugas es elevado.
La caracterización tecnológica de los sectores Impulsores es muy diversa, al igual que los Clave. Una actividad de MAT -Vehículos de motor (VEH)- es la que presenta la mayor VCR no sólo de México, sino también en comparación con Brasil y Corea. Aunque su contenido de valor agregado en las exportaciones es considerable (50%), la necesidad de importaciones es muy elevada, la participación de las importaciones intermedias reexportadas supera el 80%; al mismo tiempo, el indicador de fugas también es muy elevado mostrando la fuerte dependencia a las importaciones del sector.
Dentro de las industrias impulsoras se encuentra Otras manufacturas (OMANUF) cuya intensidad tecnológica es MBT, para la cual el indicador de VCR es superior a la media, al mismo tiempo, el contenido de valor agregado es considerable (60%), mientras las importaciones intermedias reexportadas son superiores al 60%, presenta altas fugas hacia atrás y hacia delante. Productos alimenticios, bebidas y tabaco (ALIM), de baja tecnología, también es de altos eslabonamientos hacia atrás, con VCR superior al promedio y un contenido de valor agregado de más del 60% y con muy baja dependencia a las importaciones, lo cual se confirma tanto con la participación de importaciones reexportadas (20%) como por no presentar fugas.
Únicamente una industria de las exportadoras es de altos ED, Estratégica -Actividades agrícolas, silvicultura y pesca (AGRIC)- con una intensidad tecnológica baja (ABT), para la cual se tiene VCR, el contenido de valor agregado es uno de los más altos (más del 80%) y los requerimientos de importaciones son muy bajos, lo cual se observa tanto en la participación de las importaciones reexportadas (20%) y el indicador de fugas que es inferior al promedio.
La desarticulación de la actividad exportadora de México, además de observarse en la mayoría de las actividades, que ya se han mencionado, es palpable por ser el país que tiene mayor cantidad de actividades Aisladas, las cuales se distinguen por ser sectores de AT y MAT. Entre las industrias de alta tecnología se encuentra Equipo de cómputo e informático (COMP), la que, si bien tiene alta VCR, su contenido de valor agregado es de los más bajos de las industrias exportadoras mexicanas (40%) y tiene altos requerimientos de importaciones, tanto de aquellas que se reexportaran (80%) como por el elevado indicador de fugas. Por otro lado, dos sectores de MAT forman parte del grupo de exportadoras Aisladas -Equipo y maquinaria eléctrica (ELECT) y Otra maquinaria y equipo (MYE)- ambas con un contenido de valor agregado significativo (50%) y una alta contribución de importaciones reexportadas del 60% y con un indicador de fugas superior al promedio. La única diferencia en la evolución de ambas actividades es que la primera es de alta VCR mientras la segunda su ventaja comparativa es inferior al promedio.
Finalmente, resulta evidente que la ventaja comercial de México es en industria de alta tecnología, sin embargo, son altamente dependientes de las importaciones. Es notorio también que es uno de los países que ha orientado su modelo económico a la exportación de bienes manufacturados, característicos de la producción fragmentada a nivel internacional, con un alto grado de participación de las importaciones intermedias reexportadas, un contenido de valor agregado en las exportaciones relativamente bajo. Cabe mencionar que estas actividades son altamente tecnificadas y comandan una gran proporción del comercio a nivel mundial de partes y componentes, pero no se articulan con la estructura productiva interna, por lo que es posible cuestionar la idoneidad de la estrategia de desarrollo al prevalecer la maquila y el ensamble como característica esencial del modelo de desarrollo actual.
4. ConclusIones
La definición de las actividades que comandan el comercio con el exterior de los tres países, la determinación de las ventajas que precisan la posición competitiva de cada país en el comercio mundial a partir de la VCR, la caracterización tecnológica de las industrias, el análisis del contenido de valor agregado en las exportaciones y las importaciones reexportadas, posibilitan un análisis más profundo de la importancia de las actividades más exportadoras como núcleos de dinamización del desarrollo económico de cada uno de los países analizados.
De esta forma, el análisis empírico desarrollado a lo largo del presente trabajo permitió encontrar tres tipos de especialización que definen distintos modelos, los cuales según sus características pueden potencializar o restringir el crecimiento económico de los países.
Modelo orientado a la exportación de productos tradicionales o de baja tecnificación
Brasil es una economía representativa de este tipo de modelo. En general, se especializa comercialmente en actividades de baja tecnificación o de carácter tradicional, que en su mayoría presentan una elevada VCR; el contenido de valor agregado en sus exportaciones es significativamente mayor que la contribución en las importaciones intermedias reexportadas. En el patrón de especialización comercial del país predominan las industrias tradicionales o maduras que se distinguen por su baja tecnificación tecnológica. El país puede presentar una alta VCR, que permite que la participación en las importaciones intermedias reexportadas sea comparativamente menor que la contribución en el contenido de valor agregado de las exportaciones.
El potencial de crecimiento de este tipo de orientación comercial tradicional puede estar limitado por la baja tecnificación de las actividades desarrolladas por cada economía y no, necesariamente, por la dependencia a las importaciones de estas industrias para completar su proceso de producción. Es probable que no exista una alta desarticulación productiva entre los sectores exportadores y el resto de la actividad.
Modelo orientado a la exportación de productos de alta tecnología dependiente
México es el ejemplo más representativo de este tipo de modelo. Las actividades en las que se especializa comercialmente son de AT y MAT, en su mayoría representativas de las CGV. Aunque el país presenta una elevada VCR, la contribución de las importaciones intermedias reexportadas es considerablemente superior al contenido de valor agregado, lo que provoca que sea altamente dependiente a las importaciones. Las actividades en que se especializa el país son principalmente de alta o media at. A diferencia del caso anterior, el componente de importaciones intermedias reexportadas es proporcionalmente más alto que el contenido de valor agregado. Las actividades pueden ser de alta y media alta tecnología, las que pese a presentar una elevada VCR, su alta dependencia a las importaciones indica que el país participa en los eslabones menos tecnificados de las cadenas productivas internacionales, en prácticas de maquila o ensamble en las que no logra desarrollar las capacidades tecnológicas suficientes para insertarse en eslabones más tecnificados.
Contrario al modelo anterior, el potencial de crecimiento de este tipo de orientación comercial resulta limitado, no por la baja tecnificación de las actividades desarrolladas, sino por su elevada dependencia a las importaciones. Esta fuerte dependencia refleja una alta desarticulación intersectorial de los sectores exportadores con el resto de la actividad productiva.
Modelo orientado a la exportación de bienes de alta tecnología con inserción no dependiente de la economía
Corea del Sur, es el caso que ejemplifica este tipo de modelo. Se especializa en actividades de AT y MAT, aunque tiene una alta participación de las importaciones intermedias, la contribución en el contenido de valor agregado es muy superior, asimismo, la VCR es alta, lo cual indica que está inserto en eslabones más tecnificados de las CGV. En las industrias en que se especializa predominan aquellas de alta tecnología. Puede existir una elevada participación de las importaciones, pero el contenido de valor agregado es significativamente más alto que las importaciones. El país puede presentar una alta VCR en estas industrias las que, en general, pueden ser de AT y MAT. Debido a que, por un lado, la VCR es alta y la contribución del país en el contenido de valor agregado de las exportaciones es superior a las importaciones intermedias, se deduce que el país logra participar en eslabones superiores de las cadenas productiva de forma muy activa, por lo que alcanza un mejor nivel de inserción internacional.
Por lo tanto, el país presenta un alto potencial de crecimiento, al tener una especialización en industrias de alta y media alta tecnología no dependiente de importaciones. Lo anterior podría ser indicativo de que las actividades exportadoras están más articuladas con el resto del aparato productivo, lo que incide de forma positiva sobre el desarrollo económico.
A partir de la identificación de las características que presentan cada uno de estos modelos de orientación exportadora se puede concluir que no todas las estrategias de fomento exportador pueden resultar favorables para los distintos países. Como se puede ver, aunque existen modelos que presentan una elevada tecnificación, y con ello logran una inserción internacional más favorable, también existen modelos que generan una alta dependencia importadora, mostrando una alta vulnerabilidad. De ahí que la orientación exportadora no es sinónimo de desarrollo económico.
En este sentido, basar una estrategia de desarrollo en la sola actuación de las empresas que participan en las CGV y buscar el “escalamiento” como única forma de hacer política económica, no sólo resulta un error de planeación, sino que es muy probable que se generen (o se profundicen) fenómenos de polarización o dualización productiva, repercutiendo negativamente en el proceso de desarrollo económico.










texto en 


