Servicios Personalizados
Revista
Articulo
Indicadores
-
Citado por SciELO -
Accesos
Links relacionados
-
Similares en
SciELO
Compartir
Problemas del desarrollo
versión impresa ISSN 0301-7036
Prob. Des vol.42 no.167 Ciudad de México oct./dic. 2011
Comentarios y debates
La tendencia al descenso de la tasa de ganancia y el nivel de la composición orgánica de capital1
The Downtrend in the rate of profit and the organic composition of capital
Ivan Mendieta Muñoz*
* Estudiante de posgrado de la Escuela de Economía de la Universidad de Kent en Canterbury. Correo electrónico: ivan45_650_2@hotmail.com
Fecha de recepción: 18 de febrero de 2011.
Fecha de aceptación: 30 de julio de 2011.
Hay que recuperar, mantener y transmitir
la memoria histórica, porque se empieza por el
olvido y se termina en la indiferencia.
José Saramago
Introducción
Como es bien sabido, la tendencia al descenso de la tasa media de ganancia (TDTG en adelante) fue un tema importante en la teoría económica de Adam Smith, David Ricardo y Karl Marx (Shaikh, 1990).2 El argumento de Marx es novedoso respecto al de sus antecesores directos3 en el sentido de que, en una economía capitalista, el descenso secular de la tasa de ganancia es resultado del aumento de la productividad del trabajo (Mage, 1963; Ramos y Valle, 1983; Shaikh, 1990; Moseley, 1991; Gill, 2002). Esta conclusión es la que posiblemente más polémica ha generado dentro de la teoría marxista (Moseley, 1991) y, consecuentemente, ha adoquinado el camino hacia un amplísimo debate en torno a sus aspectos teóricos y empíricos que hasta la fecha permanece inacabado.4
Dejando de lado el Teorema de Okishio (Okishio, 1966 o 1977; Roemer, 1977 o 1981)5 y las objeciones al progreso técnico entendido como el incremento sistemático de la composición orgánica y en valor de capital (Roemer, 1981; Valle, 2005), en el rubro teórico se continúa considerando que Marx (1894) fue no solamente incapaz sino también consciente de no haber podido demostrar que la tasa de ganancia deba descender: "[e]s probable que Marx siempre creyó que la tasa de ganancia debe descender y que en la década de 1870 continuaba tratando de demostrarlo. El análisis precedente sugiere que [...] Marx nunca fue capaz de construir una demostración de que la tasa de ganancia deba descender y que se encontraba consciente de ello" (Petih, 2005: 289; traducción nuestra).
Aunque es verdad que Marx (1894) no fue capaz de modelar cabalmente la TDTG, es necesario enfatizar que consiguió esbozar elementos que conducen a una explicación satisfactoria dentro de su modelo.6 En este sentido, aseveraciones como las de Petih (2005) son imprecisas pues no ofrecen un verdadero panorama de los alcances y límites de la obra de Marx (1857-1858; 1894). Como Wright (1978) y Ramos y Valle (1983) señalan, el argumento implícito en el modelo original de Marx (1857-1858; 1894) es que, a medida que la composición orgánica del capital aumenta, la tasa de ganancia se torna progresivamente menos sensible a los incrementos positivos en la tasa de explotación. Esta idea puede ser interpretada de la siguiente forma: la elasticidad-tasa de explotación de la tasa de ganancia disminuye ante incrementos en el nivel de la composición orgánica del capital. Así, al hacer explícito el concepto de elasticidad, el presente artículo tiene como objetivo presentar una formalización alternativa que complementa el trabajo previamente desarrollado por Ramos y Valle (1983) sobre la TDTG. Consideramos que de esta manera será posible plantear de forma un poco más precisa el argumento central en el análisis de Marx (1857-1858; 1894) respecto al tema.
El ensayo se estructura de la siguiente forma: la sección II contiene una breve descripción de la TDTG en Marx y de algunas objeciones hechas al respecto, la sección II presenta nuestro modelo formal, y finalmente la sección IV concluye.
La TDTG en Marx: un brevísimo recuento
En el modelo presentado por Marx (1894) se utilizan dos supuestos esenciales: 1) la rotación del capital es igual a la unidad y 2) ausencia de capital fijo.7 En este modelo, la tasa de ganancia puede ser definida como:

Donde en (1) g0 es la tasa de ganancia; p es la masa de plusvalía, v es el capital variable y c es el capital constante.8
Si se divide numerador y denominador entre v se llegaría a que:

Donde en la ecuación (2) se tiene que p' es la tasa de plusvalía y c' es, siguiendo a Shaikh (1987) y a Moseley (1991), la composición en valor de capital.
Marx (1894) utiliza la ecuación (2) para ejemplificar que si p' permanece constante, a medida que c' aumenta g0 deberá disminuir; y viceversa, si c' permanece constante, a medida que p' aumenta g0 deberá aumentar. De esta forma, Marx (1894) mantiene constante una variable y hace variar la otra para analizar los efectos sobre la tasa de ganancia. Por tanto, para ejemplificar la caída en la tasa de ganancia, Marx (1894) supone la constancia de p'.
Sin embargo, tal y como Sweezy (1942) y Robinson (1960) señalaron, el supuesto de mantener constante p' e incrementar c' entraría en contradicción con la estructura teórica de Marx: si se supone una p ' constante entonces se supone también que el salario real aumenta al mismo ritmo que la productividad del trabajo. Todo el análisis de Marx (1857-1858; 1894) aduce que los incrementos en la productividad se traducen tanto en incrementos de p' como de c' debido a que una p' creciente (es decir, que los incrementos en la productividad sean mayores que los incrementos en los salarios reales) es necesaria para generar un mayor volumen de plusvalía (y por tanto una mayor masa de ganancia) y una c ' creciente es necesaria para lograr independizar el ritmo de la acumulación del ritmo de crecimiento de la fuerza de trabajo (Valle, 2005). De esta forma, si tanto p ' como c ' se consideran variables, no existiría entonces presuposición general alguna de que cambios en c' sean relativamente mayores que los cambios en p ' y, ergo, el movimiento final de la tasa de ganancia resultaría ser indeterminado (Sweezy, 1942).
Rosdolsky (1968) fue el encargado de mostrar algunos pasajes en los que Marx (1857-1858; 1894) da cuenta que una TDTG debe presentarse aun a pesar de una p ' creciente. Es precisamente este punto el que permite enfatizar sobre la novedad del análisis marxista: los incrementos en la productividad son al mismo tiempo la fortaleza y debilidad del sistema capitalista (Ramos y Valle, 1983). Tanto los trabajos de Wright (1978) como el de Ramos y Valle (1983) ya habían expuesto (verbalmente el primero y formalmente el segundo) el doble efecto que produce un mayor nivel de composición orgánica: por una parte hace disminuir la tasa de ganancia y, por otra, hace que ésta pierda sensibilidad progresivamente ante los cambios en la tasa de explotación. Esto significa que la elasticidad de la tasa de ganancia respecto a la tasa de explotación es una función inversa del nivel de la composición orgánica del capital. La siguiente sección pretende mostrar el argumento esbozado anteriormente incorporando el elemento tiempo en la formalización de la tasa de ganancia.
Una formalización alternativa de la tasa de ganancia con tasa de plusvalía creciente
Poniendo todos los componentes de la ecuación (1) como funciones del tiempo t(f(t)) y dividiendo numerador y denominador de ésta entre v(t)+p(t) (es decir, entre lo que Marx consideró como trabajo vivo) se tendrá que:

Siguiendo a Ramos y Valle (1983) es posible definir
y
, reduciendo así (3) a la siguiente ecuación:

Donde en (4) ε(t) es una expresión alternativa de la tasa de plusvalía que llamaremos tasa de explotación y k(t) es la composición orgánica de capital.9
Derivando (4) respecto a t se tendrá que:

Donde en (5)
.
Dividiendo la ecuación (5) entre g(t), multiplicando respectivamente por
el primer y segundo término del lado derecho de ésta y reordenando la ecuación resultante se obtiene:

La ecuación (6) permite observar las definiciones de elasticidad, a saber:

En (7), αε(t) sería la elasticidad-tasa de explotación de la tasa de ganancia y αk(t) sería la elasticidad-composición orgánica del capital de la tasa de ganancia. Esto es:

Sustituyendo (8) y (9) en (7) se tendrá:

Simplificando la ecuación (10) tendremos:

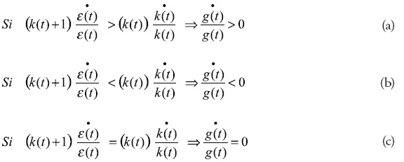
Así, a partir de la ecuación (11) es posible observar que el comportamiento de la tasa de ganancia poseerá tres posibles trayectorias a través del tiempo:

La expresión (c) muestra la condición que debe de cumplirse para que se mantenga el estado estacionario de la tasa de ganancia, es decir, para que
. Lo anterior se cumpliría cuando
. La Gráfica 1 muestra tal relación.

Si existe un incremento en el nivel de k(t) tal que el nuevo valor sea k'(t) y se cumpla que k'(t) > k(t), entonces existirá una disminución en el valor de la pendiente, es decir, existirá una disminución en el valor de αε(t) hasta α'ε(t) tal que α'ε(t) < αε(t):
A partir de la Gráfica 2 es posible apreciar que el incremento en la tasa de explotación
necesario para mantener la tasa de ganancia en estado estacionario
es mayor puesto que
. Es decir, como un mayor nivel de composición orgánica del capital (k(t)) hace disminuir la elasticidad-tasa de explotación de la tasa de ganancia (αε(t)), los incrementos en
requeridos para mantener
serán cada vez mayores.

Por otra parte, tal como Ramos y Valle (1983) señalan, ε(t) posee como límite la unidad puesto que la masa de plusvalía (p(t)) puede crecer al infinito y el capital variable (v(t)) puede descender hasta cero. Esto es:

Lo anterior tendrá dos consecuencias fundamentales. En primer lugar, αε(t) tenderá también a la unidad puesto que:

De esta forma, αε(t) decrece asintóticamente hacia la unidad conforme k(t) se incrementa:

En segundo lugar se tendrá que, una vez alcanzada la situación límite de la tasa de explotación (ε(t)=1), ésta no podrá variar más
y necesariamente g(t) deberá descender:

Donde en (17) A denota una constante determinada por las constantes de integración.
Conclusiones
El argumento que puede ser deducido a partir del análisis de Marx (1857-1858; 1894) sobre la TDTG es que, a medida que la composición orgánica de capital aumenta, la tasa de ganancia se torna progresivamente menos sensible a los incrementos positivos en la tasa de explotación (Wright, 1978; Ramos y Valle, 1983). Hasta donde sabemos, Wright (1978) fue el primero en exponer verbalmente tal argumentación al señalar que "mientras la composición orgánica de capital aumenta, la tasa de ganancia se torna progresivamente menos sensible a los cambios en la tasa de explotación. [...] Adicionalmente, mientras mayor sea el nivel de la tasa de explotación, menos sensible será la tasa de ganancia a cambios subsecuentes en la tasa de explotación" (Wright, 1978: 119-120; traducción nuestra). Por su parte, Ramos y Valle (1983) presentan una formalización del argumento de Wright (1978) que permite observar que "los incrementos exigidos en la tasa de plusvalía para mantener una misma tasa de ganancia crecen conforme aumenta el nivel de la composición orgánica de capital" (Ramos y Valle, 1983: 144) y que, como la tasa de explotación tiene un límite determinado por la propia jornada laboral, "los aumentos en la tasa de plusvalía no pueden compensar indefinidamente los incrementos en la composición orgánica de capital" (Ramos y Valle, 1983:144). Finalmente, el presente ensayo hace uso explícito del concepto de elasticidad en la formalización para intentar mostrar de forma más sucinta que mayores niveles de composición orgánica de capital reducen la elasticidad-tasa de explotación de la tasa de ganancia (esto es, reducen la sensibilidad de la tasa de ganancia respecto de la tasa de explotación) y, por tanto, obligan a que los incrementos en la tasa de explotación necesarios para compensar los incrementos en el nivel de la composición orgánica de capital sean cada vez mayores.
El gran mérito de Marx (1894) respecto al tema de la TDTG consiste en que fue capaz de avanzar en un modelo desarrollable en el que es posible demostrar que, con ausencia de capital fijo y donde el periodo de rotación del capital es igual a la unidad, la tasa de ganancia necesariamente debe disminuir. Así, aunque es verdad que Marx (1857-1858; 1894) no fue capaz de dar una explicación satisfactoria al problema de la TDTG tal y como Petih (2005) menciona, es también posible partir de su modelo original y arribar a una argumentación consistente con su hipótesis inicial.
En tanto son memoria histórica, los temas en la ciencia económica pueden, como nos dice Saramago al inicio del presente ensayo, comenzar su camino hacia el olvido. Es el deber de todos los que nos esforzamos por entender el funcionamiento del sistema económico poder recuperarlos, mantenerlos y transmitirlos para que no terminen en el camino de la indiferencia.
Bibliografía
Basu, Deepankar y Panayiotis Manolakos, "Is There a Tendency for the Rate of Profit to Fall? Econometric Evidence for the U.S. Economy, 1948-2007", en Economics Department Working Paper Series, num. 2010-04, Amherst, University of Massachusetts Amherst, abril de 2010. [ Links ]
Gill, Louis, Fundamentos y límites del capitalismo, Madrid, Trotta, 2002. [ Links ]
Mage, Shane, The Law of the Falling Tendency of the Rate of Profit, Nueva York, Ph. D. Dissertation Columbia University, 1963. [ Links ]
Marx, Karl, El Capital, Tomo 3, México, Fondo de Cultura Económica, 2001 (1894). [ Links ]
----------, Elementos fundamentales para la crítica de la economía política (Grundrisse), Volumen 1, México, Siglo XXI, 2005 (1857-1858). [ Links ]
Morishima, Michio, Marx's Economics. A Dual Theory of Value and Growth, Londres, Cambridge University Press, 1973. [ Links ]
Moseley, Fred, The Falling Rate of Profit in the Postwar United States Economy, Nueva York, St. Martin's Press, 1991. [ Links ]
Okishio, Nobuo, "Technical Change and the Rate of Profit", Kobe University Economic Review, num. 7, Kobe, Kobe University, junio de 1961, pp. 85-99. [ Links ]
----------, "Notes on Technical Progress and Capitalist Society", en Cambridge Journal of Economics, vol. 1, num. 1, Cambridge, Oxford Journals, marzo de 1977, pp. 93-100. [ Links ]
Petih, Howard, "Marx's Analysis of the Falling Rate of Profit in the First Version of Volume III of Capital'", en Review of Political Economy, vol. 17, num. 2, Nueva York, Routledge, abril de 2005, pp. 269-290. [ Links ]
Ramos, Javier y Alejandro Valle, "Una nota sobre la tendencia al descenso de la tasa de ganancia", en Economía Teoría y Práctica, num. 1, invierno de 1983, México, UAM-Iztapalapa, pp. 137-146. [ Links ]
Robinson, Joan, An Essay on Marxian Economics, Nueva York, Macmillan, 1960. [ Links ]
Roemer, John, "Technical Change and the Tendency of the Profit Rate to Fall", Journal of Economic Theory, vol. 16, num. 2, Cornell University y UCLA, Elsevier, diciembre de 1977, pp. 403-424. [ Links ]
----------, Analytical Foundations of Marxian Economic Theory, Cambridge, Cambridge University Press, 1981. [ Links ]
Rosdolsky, Roman, Génesis y estructura de El Capital de Marx. Estudios sobre los Grundrisse, México, Siglo XXI, 2004 (1968). [ Links ]
Shaikh, Anwar, "Organic Composition of Capital", en Eatwell, John, Murray Milgate y Peter Newman (eds.), The New Palgrave. Marxian Economics, Hong Kong, Macmillan Press, 1987, pp. 304-309. [ Links ]
----------, Valor, acumulación y crisis, Bogotá, Tercer mundo, 1990. [ Links ]
Sweezy, Paul, The Theory of Capitalist Development, Nueva York, Oxford University Press, 1942. [ Links ]
Valle, Alejandro, "Capital o dominio del trabajo muerto sobre el trabajo vivo: el aumento capitalista de la productividad", ponencia preparada para la Segunda Conferencia Internacional. Marx: sobre el concepto de capital, Universidad Autónoma Metropolitana, México, D. F, julio, 2005. [ Links ]
Wright, Erik, "Alternative Perspectives in Marxist Theory of Accumulation and Crisis", en Wright, Erik, Class, Crisis and the State, Londres, Verso, 1978, pp. 113-124. [ Links ]
1 Una versión previa del presente trabajo fue presentada en el Taller sobre el Ciclo de la Rentabilidad Capitalista y el Cálculo de la Tasa de Ganancia celebrado en el Instituto de Investigaciones Económicas-UNAM, México D. F., junio-julio, 2010. Se agradecen los comentarios de Alejandro Valle, Carlo Panico y de los dictaminadores anónimos de la revista Problemas del Desarrollo. Sin embargo, cualquier error u omisión debe ser imputada exclusivamente al autor.
2 Particularmente este último la considera como el descubrimiento más importante de la economía política.
3 Adam Smith señaló que, cuando un mayor volumen de capital se agolpa en una industria determinada, la oferta se amplía, los precios disminuyen y, por tanto, el volumen de ganancia disminuye. A medida que la acumulación de capital avanza, el volumen de capital en su conjunto es más abundante y, de esta forma, la tasa de ganancia disminuye (véase Shaikh, 1990). Por su parte, David Ricardo proporcionó una explicación alternativa señalando que a medida que la sociedad se desarrolla, es necesario cultivar más tierra para alimentar a la población creciente. Esto significa recurrir a tierras progresivamente menos fértiles, de modo que resulta cada vez más caro producir alimentos. Así, el valor de los alimentos aumenta y, por tanto, la tasa de ganancia disminuye como consecuencia de la disminución de la productividad del trabajo (véase Shaikh, 1990).
4 Para una breve revisión véanse Ramos y Valle (1983); Shaikh (1990); Moseley (1991); Gill (2002); Valle (2005) y Basu y Manolakos (2010).
5 Okishio (Okishio, 1966 o 1971) demuestra matemáticamente que en una economía sin capital fijo y con salarios reales constantes los capitalistas elegirían técnicas que elevarían la tasa de ganancia. Una revisión sobre la claridad y el alcance del Teorema de Okishio excede a los propósitos inmediatos del presente trabajo.
6 Véase el trabajo de Ramos y Valle (1983) para algunas referencias precisas en la obra de Marx (1857-1858; 1894).
7 El supuesto (2) sería equivalente a suponer que la totalidad del capital invertido al inicio de un ciclo productivo se consume durante el mismo.
8 Tal como señala Gill (2002), la tasa de ganancia en valor es distinta de la tasa de ganancia expresada en precios. Sin embargo, Morishima (1973) muestra que, como en ambos casos la tasa de ganancia es una función monótona creciente de la tasa de plusvalía, ambas varían conjuntamente. Es decir que, si la tasa de ganancia expresada en valor aumenta, entonces la tasa de ganancia expresada en precios también aumentará.
9 En este trabajo denotamos a
como la composición en valor de capital y a
como la composición orgánica de capital. Para un análisis de las relaciones entre ambas variables véase Shaikh (1987).













