Servicios Personalizados
Revista
Articulo
Indicadores
-
Citado por SciELO -
Accesos
Links relacionados
-
Similares en
SciELO
Compartir
Problemas del desarrollo
versión impresa ISSN 0301-7036
Prob. Des vol.41 no.162 Ciudad de México jul./sep. 2010
Artículos
Rendimientos crecientes, costos de transporte, eslabonamientos verticales y asimetrías regionales persistentes
产量增长、运输成本、垂直联系和持续的地区不对称性
Valentina Viego*
* Asistente de docencia del Departamento de Economía de la Universidad Nacional del Sur, email: vviego@criba.edu.ar
Fecha de recepción: 5 de abril de 2010
Fecha de aceptación: 4 de agosto de 2010
Resumen
Argentina presenta algunos rasgos estilizados en su patrón de desarrollo regional: ausencia de convergencia absoluta del producto per cápita geográfico; estabilidad en las brechas espaciales de ingreso y de los patrones locacionales de población y de la actividad económica; fuerte dependencia de actividades basadas en la explotación de recursos naturales; deficiencias en la red de transporte de carga, y peso significativo de las actividades de baja transabilidad interna, entre otros. El artículo propone una variante del modelo canónico de crecimiento regional desarrollado por Dixon y Tmrlwall a mediados de la década de 1970, combinada con algunos elementos del enfoque conocido como "nueva geografía económica" con el objetivo de reproducir de modo formal las regularidades empíricas revisadas anteriormente. El modelo presentado permite extraer algunas implicancias de política económica.
Palabras clave: Economías externas de escala, costos de transporte internos, crecimiento regional, vínculos interregionales.
Abstract
Argentina presents certain stylized features in its pattern of regional development: an absolute absence of convergence in geographical per capita output; stability in spatial incomes gaps and locational patterns of population and economic activity; strong dependence on activities based on the exploitation of natural resources; deficiencies in the haulage transportation network, and significant weight for activities with low internal transportability, among others. The article proposes a variation of the standard model of regional growth developed by Dixon and Thirlwall in the mid-1970s combined with some elements from the focus known as "new economic geography", and is aimed at formally reproducing the empirical regularities referred to above. The model presented makes it possible to extract some economic policy implications.
Key words: external economies of scale, internal transportation costs, regional growth, inter-regional linkages.
Résumé
L'Argentine présente certains traits stylisés dans son schéma de développement regional: absence de convergence absolue du produit per capita géographique; stabilité dans les brèches spatiales de revenu et les schémas nationaux de population et d'activité économique; forte dépendance vis-à-vis des activités basées sur l'exploitation de ressources naturelles; déficiences dans le réseau de transport de marchandises, et poids significatif des activités de faible transit interne, entre autres choses. L'article propose une variante du modèle canonique de croissance régionale, développé par Dixon et Thirwall au milieu des années 70, combinée avec certains éléments de la perspective connue comme «nou-velle géographie économique», dans le but de reproduire de façon formelle les régularités empiriques repassées antérieurement. Le modèle présenté per-met de mettre en évidence certaines retombées de politique économique.
Mots clefs: économies externes d'échelle, coûts de transports internes, croissance régionale, liens interrégionaux.
Resumo
A Argentina apresenta algumas características estilizadas no seu padrão de desenvolvimento regional: ausência de convergência absoluta do produto per capita geográfico; forte dependência de atividades pautadas na exploração de recursos naturais; deficiências na rede de transporte de carga, e peso significativo das atividades de baixa transabilidade interna, entre outros. O artigo propõe uma variante do modelo canónico de crescimento regional desenvolvido por Dixon e Thirlwall a meados da década de 1970 combinada com alguns elementos do enfoque conhecido como "nova geografia econômica" com o objetivo de reproduzir de modo formal as regularidades empíricas revisadas anteriormente. O modelo apresentado permite extrair algumas implicações de política econômica.
Palavras-chave: economias externas de escala, custos de transporte internos, crescimento regional, vínculos inter-regionais.
阿根廷的地区发展模式呈现一些程式化的特点:地区间人均收入绝对缺乏 收敛;地区间的收入差距、人口和经济活动的地方模式稳定;严重依赖以 自然资源开发为基础的经济活动;交通运输网络存在差异,明显依赖于水 平较低的内部运输活动,等等。文章结合"新经济地理"所关注的一些要 素,提出了区域增长的标准模型的变化(该标准模型是由迪克森和瑟尔沃 尔在20世纪70年代中期所建立),力图再造上述经典规律。通过该模型可 以使我们能够获取一些经济政策的影响。
关键词:外部经济规模 内部运输成本 地区增长 地区间联系
Introducción
Este trabajo propone un modelo que intenta reproducir los hechos estilizados de la dinámica del producto regional en Argentina. Para ello, se considerarán específicamente dos enfoques teóricos: por un lado, se seguirán algunos lineamientos del modelo de Dixon-Thirwall (1975) y, por otro, se tomarán en cuenta algunos mecanismos de los modelos de la "nueva geografía económica", de reciente difusión a partir del artículo pionero de Krugman (1991). No se trata, sin embargo, de una integración completa de ambos enfoques, ya que varios aspectos que allí resultan centrales serán descartados aquí por su lejanía respecto de las condiciones productivas en ámbitos subdesarrollados.
El artículo está organizado en cuatro secciones: en la primera se repasan los hechos estilizados de la estructura productiva regional en Argentina, a fin de tener en mente los rasgos que interesa captar en el modelo. En la sección 2 se sintetizan los principales mecanismos propuestos por los enfoques teóricos considerados, y se destacan las ventajas y desventajas de su aplicación a la formalización del crecimiento y desigualdades regionales en Argentina. En la tercera sección se presenta el modelo propuesto. En la última se exponen los resultados derivados de ejercicios de simulación, implicancias de política que de él se extraen y se concluye proponiendo algunas extensiones posibles.
1. Hechos estilizados de la estructura productiva regional en Argentina
Los estudios referidos a la estructura productiva y al dinamismo económico en las regiones en Argentina suelen destacar una serie de rasgos, sobre los que prácticamente no hay disenso:
• Ausencia de convergencia absoluta en el ingreso per cápita. Varios autores registran la falta de convergencia absoluta en el producto bruto regional, aunque detectan convergencia condicional luego de incluir controles (Utrera y Koroch, 1998; Willington, 1998; Madariaga et al, 2005, entre otros). En la mayor parte de las estimaciones la estructura sectorial (generalmente aproximada con la participación del sector primario en el producto) resulta una variable relevante, lo cual puede ser interpretado como signo de robustez en las explicaciones de las diferencias espaciales del estado estacionario.
• Estabilidad de las brechas de ingreso (conocida como convergencia σ). Los estudios sobre la evolución de las desigualdades regionales en Argentina sugieren una notable estabilidad en la dispersión del producto per cápita desde mediados de 1950 hasta fines del siglo XX (Gatto, 2003; Utrera y Koroch, 1998).
• Estabilidad en los patrones locacionales de actividad económica y de población. Durante 1953-2000, las cinco jurisdicciones más importantes (Buenos Aires, Ciudad de Buenos Aires, Córdoba, Santa Fe y Mendoza) han concentrado alrededor de 80% del producto bruto nacional, experimentando leves variaciones porcentuales que no afectan a su posición relativa (Gatto, 2003). Guarismos de similar orden de magnitud se observan en la distribución espacial de las actividades manufactureras. Una evaluación global del patrón locacional confirma la tendencia aglomerativa de las actividades hacia el centro, donde la cercanía respecto de los clientes (que actúa como fuerza centrípeta) es más relevante que la cercanía de las fuentes de abastecimiento (que opera como fuerza centrífuga).
• Debilidades en el aparato manufacturero debido a un bajo grado de industrialización. Tomando los datos provistos por Gatto (2003), en nueve provincias el sector industrial no supera siquiera 10% del producto bruto de la jurisdicción. En otras, donde esta marca es superada (incluso La Rioja y Tierra del Fuego con cifras superiores al promedio nacional), su aporte al valor agregado manufacturero nacional es exiguo. En este último grupo existen actividades manufactureras con cierta importancia a nivel regional (apoyadas generalmente en regímenes especiales de promoción industrial), pero muy pequeñas en términos del agregado nacional y de su participación en el mercado mundial.
• Fuerte dependencia de actividades basadas en la explotación de recursos naturales. El elevado peso de este tipo de actividades en el producto vuelve a la economía regional sensible a condiciones climáticas adversas y a los vaivenes de precios, típicamente observados en los mercados mundiales de commodities. A ello se agrega que la producción primaria provincial se caracteriza por agregar valor fuera del espacio regional, favoreciendo indirectamente a otros territorios (Russo, 1997).
• Deficiencias de la red de transporte. Aunque no se dispone de cifras de adecuada cobertura sectorial y regional sobre la incidencia de los costos de transporte en la actividad productiva, estudios recientes señalan que el comercio interno en Argentina enfrenta elevados costos en el traslado de mercaderías (Barbero, 2010).1 Las insuficiencias de la red de transporte dan por resultado una débil integración del mercado interno y precios significativamente mayores en las regiones que no pueden autoabastecer su demanda local.
• Significativo peso de las actividades de baja transabilidad interregional en el aparato y empleo industriales. Las ramas de baja transabilidad interna representan casi dos tercios del universo de establecimientos manufactureros, un tercio del empleo y cerca de 20% del valor agregado. Sin embargo, en las provincias de menor tamaño económico incluyen a más de 80% de los locales industriales y a cerca de la mitad del nivel de ocupación del sector secundario (Viego, 2010). La magnitud del peso del sector productor de bienes no transables está negativamente asociada con el grado de desarrollo económico regional y con la cercanía a mercados urbanos de cierto tamaño.
2. Brechas regionales persistentes: reseña de enfoques teóricos seleccionados
Se reseñan a continuación dos aproximaciones teóricas que consiguen reproducir el patrón de desigualdades espaciales perenne y otros rasgos estilizados de la dinámica del producto observados en Argentina.
2.1. Crecimiento regional guiado por la demanda: el modelo de Kaldor-Dixon-Thirlwall
Las ideas de Kaldor (vertidas en una serie de artículos publicados desde mediados de 1960 hasta fines de la década de 1970) sobre el proceso de crecimiento corresponden a una variante más general de modelos conocidos como de causalidad circular y acumulativa, o de crecimiento desequilibrado. En esencia, para este tipo de aproximaciones las fuerzas de mercado generan disparidades regionales persistentes, en vez de reducirlas. El mecanismo fue formalizado por Dixon y Thirlwall (1975). El modelo de crecimiento acumulativo (en adelante, KDT) se compone de cuatro ecuaciones estructurales:

La ecuación 2.1 incorpora la hipótesis de crecimiento liderado por las exportaciones: la tasa de crecimiento del producto regional git es función de la tasa de crecimiento de las exportaciones regionales, xit, mientras /representa la elasticidad del ingreso regional, constante. El antecedente de esta especificación lo constituye la teoría de base económica, propuesta por North (1955). A su vez, la demanda externa del producto exportable evoluciona según la siguiente forma funcional:

En 2.2 se registra que la tasa de crecimiento de las exportaciones depende: de cambios en los precios relativos (pit es la tasa de crecimiento de precios internos y pftes la tasa de crecimiento de precios externos);2 de la elasticidad precio de la demanda de exportaciones, η, con η< 0, y de la demanda mundial, donde s es la elasticidad ingreso de la demanda mundial y z es la tasa de crecimiento del ingreso del resto del mundo. Generalmente s contiene determinantes de la demanda no basados en la competitividad precio, por lo que cuanto mayor sea su magnitud más se beneficiará la región con el crecimiento del ingreso mundial. El paso siguiente es explicitar el comportamiento de los precios internos,

La inflación interna depende de la tasa de crecimiento de los salarios locales, wit; del crecimiento de la productividad, qit , y de la tasa de variación del mark-up, m. Conviene aclarar que esta especificación podría llevar a inferir la existencia de mercados no competitivos, en la medida en que se supongan valores positivos para m. Ocurre que en la teoría tradicional de fijación de precios en mercados imperfectos el mark up suele ser añadido a costos que ya incorporan el rendimiento "normal" del capital, por lo que m > 0 equivale a la existencia de beneficios supernormales, posibles solamente en mercados donde la oferta tiene algún grado de concentración. Sin embargo, en este caso m se añade a los costos variables, lo cual no necesariamente indica beneficios extraordinarios al tiempo que resulta compatible con distintas estructuras de mercado, incluso atomizadas.
La última ecuación del modelo expresa la evolución de la productividad del trabajo, q.

en ella las variaciones de la productividad global de la mano de obra dependen de la tasa de crecimiento exógena de la productividad, π, y del crecimiento del producto, λ,3 conocido como coeficiente de Verdoorn, que representa una medida del grado en que la tasa de crecimiento de la productividad es inducida por la tasa de crecimiento del producto. Así, el cambio técnico no es exógeno sino resultado del proceso de crecimiento mismo.
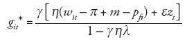
La solución del modelo se encuentra sustituyendo las ecuaciones 2.2, 2.3 y 2.4 en 2.1, cuyo resultado es:

La tasa de crecimiento de equilibrio de la región i en el periodo t, git , varía positivamente con las tasas de crecimiento del componente exógeno de la productividad π, del ingreso mundial, zt, y de los precios externos, pft y negativamente con la tasa de crecimiento de los salarios locales, wit, y del margen de beneficio, m. Aplicada a un contexto regional dentro de un mismo espacio nacional, es factible suponer un mark up constante y valores iguales para pft zt, y w en todas las regiones. Por ello, las diferencias de las tasas de crecimiento entre regiones provendrían de λ, γ, η, ε y π, que representan, respectivamente, el coeficiente de Verdoorn, la elasticidad del crecimiento del producto respecto de las exportaciones, la elasticidad precio de las exportaciones, la elasticidad ingreso de las exportaciones y el progreso técnico exógeno.
Los análisis de estabilidad del equilibrio indican que, aunque el modelo puede generar senderos potencialmente divergentes o convergentes, si se parte de valores razonables de los parámetros no es probable la divergencia de las tasas de crecimiento respecto del equilibrio. El modelo augura entonces diferencias estables en las tasas de crecimiento entre regiones (McCombie y Thirlwall, 1994; Roberts, 2007).
El modelo de crecimiento regional KDT fue objeto de varias críticas, enfocadas esencialmente en la omisión de factores que inciden en la especialización regional (y que determinan, por ende, las magnitudes de η y de ε) y en la subestimación de elementos de oferta en la explicación de los senderos de crecimiento de un territorio. No obstante, su sencillez matemática atrajo la atención de varios autores que, conservando la accesibilidad formal, desarrollaron variantes que toman en cuenta las limitaciones del modelo original, combinando aspectos de demanda y de oferta (Boyer y Petit, 1991; Verspagen, 1993; Targetti y Foti, 1997; Setterfield, 1997).
El modelo tampoco tiene en cuenta la existencia de relaciones insumo-producto entre sectores y los vínculos entre regiones, que pueden actuar ampliando o menguando las brechas de ingreso entre localidades, según la dirección y magnitud que tomen. Si bien esta omisión ha dado pie a algunas adaptaciones en las estimaciones econométricas que tienen en cuenta la existencia de derrames interregionales, su incorporación en los modelos formales aún está pendiente (Ciriaci y Palma, 2008).
Con todo, hay evidencia empírica que da soporte al modelo estimado para datos regionales dentro de un mismo país o de distintos países (McCombie y de Ridder, 1984; Harris y Lau, 1998; Fingleton y McCombie, 1998; Pons-Novel y Viladecans-Marsal, 1999; Alexiadis y Tsagdis, 2006; entre otros). Un balance de los resultados encontrados en esos trabajos registra que en las regiones de mayor desarrollo el coeficiente de Verdoorn alcanza magnitudes superiores y viceversa.
2.2. Externalidades y aglomeración endógena: los modelos de la "Nueva Geografía Económica"
Dentro de los modelos de crecimiento que admiten desigualdades persistentes y divergencia entre regiones se ubican los de la "nueva geografía económica" (en adelante, NGE), inspirados en el trabajo de Krugman (1991).
En esencia, este tipo de modelos considera, por un lado, la existencia de dos sectores: uno tradicional, que opera con tecnologías de rendimientos no crecientes, y otro moderno, caracterizado por la existencia de rendimientos crecientes, diferenciación de producto (que crea una estructura de mercado de competencia imperfecta) y costos de acarreo de una localización a otra. Combinados estos elementos generan externalidades pecuniarias que influyen en los patrones de localización de firmas y población.
Una de las novedades de los modelos de NGE es que modelizan los costos de transporte à la Samuelson o tipo iceberg: esto implica que los precios en puerta de planta de los bienes que enfrentan costos de transporte deben ser multiplicados por un parámetro τ, que representa la cantidad de unidades del bien que deben ser enviadas desde el origen i para que al destino j arribe una unidad. Por ende, τ= 1 implica costos de transporte nulos y τ > 1 es interpretado como costos de transporte positivos.
Mientras que los costos de transporte representan el incentivo básico para localizarse cerca del mercado, las tecnologías de rendimientos crecientes estimulan la producción en masa. En otras palabras, los primeros constituyen una fuerza centrífuga y las segundas representan una fuerza centrípeta, que empuja a las firmas a aglomerarse en pocas localidades. Si esta última fuerza no contrapesa lo suficiente a la primera emerge un patrón de distribución espacial disperso de las actividades y viceversa.
Se han propuesto tres tipos de modelos con distintos mecanismos que generan aglomeración endógena: los basados en movilidad de factores (Krugman, 1991), los desencadenados por eslabonamientos verticales (Krugman y Venables, 1995) y los originados en la acumulación de capital (Baldwin, 1999).4
Considerando el modelo básico, basado en fuerza de trabajo móvil, la causalidad circular opera del siguiente modo: dos regiones a priori idénticas intercambian distintas variedades del bien manufacturado (moderno) M, incurriendo en costos de transporte positivos y donde el único factor de producción es la mano de obra, móvil entre territorios. En este contexto, habrá migración cada vez que surjan discrepancias en el salario real entre ambas localidades. El desplazamiento de fuerza de trabajo entre regiones aumentará la demanda local en la región anfitriona. Ello a su vez generará un incentivo para que las firmas se relocalicen hacia allí, estimuladas por su cercanía a un mercado ahora más amplio. Esto provocará una caída del precio de M en la región que recibe el flujo migratorio debido a que anteriormente una porción de dicho bien debía ser importada costeando un costo de transporte. Esta caída de precios incrementará los salarios reales atrayendo a nuevos consumidores desde otras regiones, lo que a su turno generará una nueva ronda de reubicación de firmas. La mayor rivalidad entre productores de M en la región que atrae población y empresas, y la competencia por fuerza de trabajo constituyen dos fuerzas centrífugas. Si las variedades de M relajan lo suficiente la competencia en precios y si no hay restricciones en la oferta de mano de obra, las fuerzas centrípetas podrían contrarrestar los incentivos a la dispersión espacial generando un proceso de aglomeración del sector moderno (manufacturero) en la región que inicialmente atrajo población.
Los mecanismos aglomerativos explorados por otras variantes de modelos NGE no difieren cualitativamente del anteriormente descrito; pueden desencadenarse por una migración de firmas imitada por sus proveedores (modelos que consideran eslabonamientos insumo-producto) o por diferencias aleatorias iniciales en la inversión, que generan mejoras subsecuentes de productividad y de demanda en la región donde se inaugura el proceso (modelos que formalizan la acumulación de capital).
El dispositivo aglomerativo central en los modelos NGE, en cualquiera de sus variantes, es la existencia de externalidades pecuniarias, que operan esencialmente vía precios, en oposición a la noción tradicional, basada en interacciones por fuera del mercado entre los agentes (externalidades tecnológicas). Cuando firmas o trabajadores migran, es probable que afecten los precios prevalecientes tanto en el mercado de bienes como en el de factores en ambas localizaciones (origen y destino) y ello tiene un impacto sobre otros agentes.
Un rasgo central de los modelos encuadrados en la NGE es que los mecanismos de causalidad acumulativa (que generan concentración de población y de actividades productivas en las áreas centrales y despoblación y estancamiento en la periferia) se erigen sobre pequeñas asimetrías iniciales entre regiones, ampliadas por las fuerzas del mercado. Hay a priori flexibilidad en cuanto a la localización para las actividades, pero una vez que emergen diferencias espaciales, el patrón de distribución espacial de la actividad se vuelve irreversible (Fujita et al., 1999). Además, el supuesto de regiones idénticas al inicio permite a estos modelos abstraerse de elementos que constituyen la "primera naturaleza" (dotación de recursos naturales, condiciones climáticas, etcétera). Por este motivo, no es posible determinar endógenamente qué región se transforma en central o periférica. Este recurso, que en apariencia resultaba conveniente para destacar los efectos acumulativos por sobre las condiciones de partida, se ha constituido asimismo en la fuente de numerosas críticas, al interpretar el sendero evolutivo de las regiones como resultados de "accidentes" históricos, mientras supuestamente persigue explicar determinadas trayectorias y no otras (Martin, 1999).
Por otra parte, esta diferenciación inicial, que los modelos NGE caracterizan como marginal y estocástica, implica una inconsistencia teórica no menor; si bien es factible que cambios de ubicación marginales (es decir, que ocurren en establecimientos o trabajadores aislados) respondan a factores aleatorios, personales e impredecibles, lo que resulta improbable es que ello desate un proceso de retroalimentación; especialmente porque este enfoque supone un grado de atomización no despreciable de los mercados de productos y de factores. Esto vuelve poco plausible que la mudanza de una empresa genere una reacción en cadena de migración de trabajadores o de otras empresas. Si el proceso se inicia, por el contrario, con el desplazamiento de un número considerable de firmas o de trabajadores, lo que justificaría razonablemente un proceso acumulativo posterior, sería necio sostener que ello responde a factores aleatorios. Por lo tanto, la crítica que inicialmente recibieron estos modelos por su incapacidad para explicitar el proceso inicial de diferenciación sobre el cual se erigieron las fuerzas acumulativas sigue vigente.
Otra de las limitaciones de los modelos de NGE es de carácter computacional. Como la mayor de parte de las ecuaciones de los modelos describe relaciones no lineales, la identificación del equilibrio general requiere la introducción de restricciones a fin de encontrar la expresión formal de la solución. Estas restricciones implican en varios casos supuestos poco factibles, que hacen dudar del grado de generalidad de las conclusiones del modelo. Por ejemplo, el parámetro que expresa la preferencia por la variedad, o, es también el que determina la altura de las economías de escala, condición que no necesariamente se cumple en la práctica.5
Por su parte, o es considerado exógeno por los modelos de la NGE al ser atribuido casi exclusivamente a las preferencias de los hogares. Sin embargo, en la práctica, éstas son moldeadas por las empresas, lo que a su vez depende no sólo del nivel de esfuerzo de cada firma individual, sino también de elementos sectoriales. Este aspecto podría iniciar un área de confluencia entre los modelos NGE y los basados en el ciclo de vida de la industria iniciados con el trabajo de Gort y Klepper (1982), aunque esta conexión aún no ha sido explorada en la literatura.
Aunque el cuerpo teórico de NGE se ha extendido considerablemente en los últimos años, la investigación empírica se encuentra comparativamente menos desarrollada. Si bien se contabilizan varios trabajos empíricos que demuestran la correlación entre acceso al mercado y producción e ingreso en el modo en que sugieren los modelos NGE, hay menos consenso sobre la dirección de la causalidad y el conjunto de variables de control utilizado (Redding, 2009).
2.3 Balance
Pueden listarse entonces las ventajas de cada enfoque para reproducir los hechos estilizados repasados en la primera sección de este artículo:
i. Ambos enfoques reproducen desigualdades regionales persistentes. En el caso de la aproximación KDT las brechas regionales provienen de diferencias en las elasticidades precio e ingreso de las exportaciones de la región, de la elasticidad del producto respecto de las ventas extrarregionales, y de la magnitud de las economías de escala. En el caso de la aproximación de NGE, las desigualdades se originan en pequeñas asimetrías (aleatorias) iniciales que se profundizan por la existencia de externalidades pecuniarias. El resultado final en el patrón de distribución de la actividad y de la población depende de la magnitud relativa de las fuerzas centrípetas y centrífugas.
ii. En particular, el modelo canónico KDT tiene el mérito de destacar el rol de la demanda en el aprovechamiento de economías de escala, elemento que en los territorios no centrales de las economías subdesarrolladas tiene un peso significativo al generar una traba para la instalación de firmas con la escala mínima eficiente y/o en la frontera tecnológica del sector.
Con todo, los enfoques arriba expuestos conservan algunas desventajas en términos de su aplicabilidad a las economías subnacionales de los países subdesarrollados:
i. El modelo KDT omite otros elementos de la demanda agregada que podrían incidir en la dinámica del producto regional, como la demanda local o los eslabonamientos entre sectores dentro del mismo país (intra o interregionales). En particular, Oliveira et al. (2006) muestran que, en el caso de Brasil, el crecimiento es guiado sólo parcialmente por las exportaciones, de modo que existe la necesidad de incorporar al modelo otros componentes de la demanda agregada.
ii. Si el coeficiente de Verdoorn es concebido por el modelo KDT como originado en externalidades espaciales es probable que, más que generar economías de escala en los sectores de exportación (a menudo ligados a la explotación de recursos naturales en los países atrasados), genere rendimientos crecientes en la producción de bienes de consumo destinados al mercado interno. Resulta más adecuado caracterizar a la tecnología del sector que explota o transforma recursos naturales con rendimientos constantes, liberando el vínculo entre tamaño del mercado interno y productividad global, poco plausible en este sector.
iii. El enfoque KDT no considera eslabonamientos entre regiones (algo marcado ya por Fingleton y McCombie, 1998) ni entre sectores. En Argentina, los sectores que producen bienes transables muestran un elevado grado de localización espacial (Rofman y Romero, 1974; Manzanal y Rofman, 1989); además, suelen destinar su producción a la exportación o al consumo en otras regiones (para una transformación posterior o eventualmente para su consumo final), lo cual refleja la necesidad de incorporar explícitamente vínculos intersectoriales e interregionales al análisis.
iv. En los territorios atrasados el sector industrial no se caracteriza por ofrecer (al menos no en la misma medida que en las economías desarrolladas) variedades apreciadas por los consumidores. Más bien, lo que suele predominar es la existencia de diferenciación espacial basada en fletes. Por este motivo resulta poco aplicable la diferenciación de producto que el enfoque NGE atribuye al sector moderno en ámbitos subdesarrollados.
3. El modelo
Se presenta en esta sección un modelo que, tomando algunas de las relaciones propuestas por los modelos teóricos reseñados, intenta reproducir la mayor parte de las regularidades empíricas constatadas sobre la distribución espacial y la dinámica de crecimiento de la actividad productiva en Argentina.
Antes de presentar las ecuaciones conviene hacer algunas aclaraciones metodológicas para que el lector entienda la elección de algunas especificaciones funcionales. En primer lugar, el modelo aquí propuesto no adopta ningún supuesto sobre las preferencias de los hogares, algo considerado problemático para explicar las desigualdades regionales. Esto responde esencialmente a dos razones: por un lado, conserva sencillez matemática y, por otro, como el modelo presentado se aplica a un ámbito espacial subnacional, es poco probable que se registren diferencias sustanciales en los patrones de consumo de los hogares de una región a otra.
En segundo lugar, si bien se admite que los patrones de consumo son moldeados por la oferta, ello no desmerece en modo alguno el rol de la demanda. En mercados de reducido tamaño (ya sea debido a la escasa densidad poblacional o de ingresos), las firmas enfrentan dificultades para adoptar tecnologías modernas en forma rentable, quedando entrampadas en un círculo vicioso de atraso tecnológico y estancamiento económico. De allí que gran parte de las relaciones funcionales del modelo se enfoquen en el lado de la demanda aunque se reconoce un proceso circular y acumulativo (típico tanto en los modelos NGE como en los de inspiración kaldoriana).
Tercero, no se adoptará a priori ningún supuesto sobre mecanismos de optimización en las firmas. También ello responde a varias razones: primero porque las formas funcionales genéricas de costos y de reglas de fijación de precios otorgan mayor flexibilidad al modelo admitiendo distintos tipos de comportamiento y estructuras de mercado. Segundo, porque una aproximación metodológica que supone una conducta optimizadora implica partir de una firma representativa y la agregación de firmas idénticas y ello no es enteramente satisfactorio en vista de la heterogeneidad empresarial observada en algunas actividades productivas en Argentina (especialmente donde predominan mercados fragmentados). Por ello se han escogido formas funcionales ampliamente aceptadas por la literatura teórica y verificadas en estudios empíricos, complementadas con algunas especificaciones contables, generalmente adoptadas cuando se consideran vínculos intersectoriales (Rada, 2007). Conviene aclarar que los modelos entroncados en la NGE adoptan formas funcionales sobre las preferencias de consumidores y suponen mecanismos de optimización de las firmas, elementos que son descartados en esta propuesta por las razones arriba expuestas. Entonces, el modelo aquí desarrollado prescinde de la formalización seguida por la NGE y sólo se acerca conceptualmente a sus propuestas.
Se parte de una economía nacional compuesta por dos regiones y dos sectores. El subíndice i indica localización, con i = 1, o bien i = 2, mientras que los sectores serán notados con las letras M y A. Se debe aclarar que, a diferencia del modelo KDT, que expresa todas las relaciones funcionales en términos de tasas de variación, el modelo aquí propuesto expresa las relaciones entre variables en niveles. Ello se debe a que, al pasar a un contexto de dos sectores, mantener la especificación en tasas hubiese requerido hacer algún supuesto sobre la composición sectorial del producto, mientras que en la variante expresada en niveles la estructura sectorial es endógena. Esta ventaja se aprecia con claridad más adelante.
3.1. Sector productor de bienes no transables, artesanal
Este sector produce bienes no transables internacionalmente (debido a que son rápidamente perecederos, con elevados costos de transporte, alto contenido de servicios en el producto, elevada proximidad requerida entre cliente-proveedor, etcétera). Estructuralmente, se trata de un sector poblado por numerosas firmas oferentes de un bien escasamente diferenciado o cuya diferenciación es fácilmente imitada por otros competidores. Las firmas compiten esencialmente en cercanía respecto del cliente y ello constituye prácticamente la única diferenciación del producto o servicio que ofrecen. Las peculiaridades de la canasta de productos justifica la ausencia de transacciones de comercio internacional de magnitud significativa. Sin embargo, este sector admite comercio (al menos potencial) en el interior de la economía nacional, el cual se verá más o menos favorecido por la magnitud de los costos de traslado entre regiones.6 La función de demanda que enfrenta este sector en cada región es:

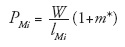
con p < 0 elasticidad precio de la demanda; Φ > 0 elasticidad ingreso de la demanda; τij. costo de transporte desde la localización j hacia i; M. = cantidad demandada y producida (bajo el supuesto de excedentes nulos de oferta y demanda) de bienes no transables producidos en i; PMi = precio de M en i (equivalente al precio fob); PMj. = precio de M en j; Y. = ingreso de la región i.
A su vez, las firmas del sector M fijan precios en puerta de planta aplicando un mark-up sobre los costos variables unitarios. Como se explicó anteriormente, esta regla de fijación de precios no debe ser asociada unívocamente a la existencia de "mercados imperfectos" sino que es compatible con varias estructuras de mercado debido a que el mark-up se aplica sobre los costos variables, que no consideran el retorno "normal" del capital.7

donde PM¡ = precio fob de M en i; W¡ = salario nominal en i; lM¡ = productividad media de la mano de obra en Men i; m = mark-up; PAj. = precio del insumo A en abastecido por la localidad j, α¡j = coeficiente insumo-producto entre A y M producido en j y enviado hacia i.
En la región i, M es fabricado con una tecnología de rendimientos constantes. Por ello, una vez alcanzada la escala mínima eficiente, lM¡ es estable. Sin embargo, algunas localizaciones ofrecen externalidades de aglomeración que generan rendimientos crecientes externos a las firmas pero internos a la región anfitriona. Allí la productividad aumenta con el tamaño de la región a la tasa λ de modo que:

λ¡ > 0 representa el coeficiente Verdoorn. Si λ¡ = 0, la productividad de la mano de obra en M se considera esencialmente exógena y probablemente constante. En contraposición, λ¡ > 0 es interpretado como signo de rendimientos crecientes específicos a la región.
Este parámetro resulta central en este modelo, ya que las regiones se diferencian al inicio en términos de λ. Así, algunas regiones ofrecerán externalidades positivas, derivadas de un tamaño de mercado adecuado, que redundarán en una mayor productividad del sector M allí localizado, mientras que en otras λ será nulo (debido a un tamaño de mercado exiguo o insuficiente) y la productividad de M crecerá únicamente movilizada por adelantos exógenos.
Tanto las ecuaciones de precios como de productividad, 3.2 y 3.3, sintetizan el funcionamiento del lado de la oferta. En este caso, λ y el patrón de compras entre sectores y entre regiones (expresado en αij) resultan centrales. Por ejemplo, en regiones donde la productividad de la mano de obra no puede expandirse por ausencia de una escala adecuada, será necesario reducir los coeficientes insumo-producto y/o conseguir materias primas más baratas que la región rival a fin de competir en precios.
3.2. Sector productor de bienes transables
Cada región produce un bien internacionalmente transable, A, que se vende dentro de la región, en otras regiones del país y en otros países. Siguiendo el modelo canónico de KDT, la función de demanda externa de este bien es:

donde Xi = ventas al exterior de Ai; PAi= precio doméstico de A en i; Pei = precio internacional de Ai; E = tipo de cambio nominal; η = elasticidad precio de las exportaciones de la región i al resto del mundo; εi = elasticidad ingreso de las exportaciones desde la región i al resto del mundo.
En el contexto regional aquí considerado (países subdesarrollados con una base productiva fuertemente vinculada al sector agropecuario y minero), la peculiaridad de este sector es que se basa en el uso intensivo de recursos naturales. Como, además, éstos son inmóviles (calidad del suelo, clima, etcétera), cada localidad está completamente especializada en una variedad de bienes transables, de modo que en este sector no hay competencia espacial.
La demanda interna (tanto la destinada a consumo dentro de la propia región como a otras regiones del mismo espacio nacional) tiene como destino la producción de bienes no transables. En otros términos, el sector productor de bienes transables opera como proveedor de insumos para M. Una porción de la producción de A en una región es absorbida por M, localizada en la misma región o en otras. La absorción interna (intra o interregional) de A está determinada por requisitos técnicos, de modo que admite una expresión contable del tipo:

donde el subíndice i indica la región de destino y j denota la región de origen. A su vez, aij < 1 representa el coeficiente insumo-producto, definido como la proporción de compras de Mi a Aj por unidad de valor producido por Mi8 Por ello,
< 1, de lo contrario Mi no utilizaría mano de obra ni generaría excedente.
En este caso, el comercio interregional del producto de A no enfrenta costos de transporte porque la especialización completa convierte en complementarias a las variedades de A, más que en sustitutas. Así, en cierto sentido, los flujos interregionales de A son inelásticos al precio y no reaccionan a las variaciones de τ.
Entonces, la cantidad de A enviada hacia i desde la localización j es mayor si se incrementa el volumen de producción de M en i, y si aumenta el precio relativo de M. respecto del de Aj. De este modo, Dij capta los eslabonamientos entre sectores y entre regiones, limitación anteriormente señalada del modelo KDT. La producción total de A se expresa como:

Como se anticipó al comienzo de la sección, la forma funcional que describe la dinámica de este sector se basa exclusivamente en el lado de la demanda. Ello se apoya en el hecho de que, a pesar de ser el sector que define la ventaja competitiva de una región, su evolución (en términos de ganancias y efectos dinámicos sobre otros sectores de la economía) depende enteramente de las condiciones (de precios y de demandas) en el mercado mundial.9
3.3. Mercado de trabajo
Para simplificar el análisis se supone que el sector productor de bienes transables tiene escasa capacidad de absorción de mano de obra (debido a que es intensivo en la utilización de recursos naturales, explotados a su vez de modo extensivo). Por ello la dinámica del empleo en cada región está esencialmente determinada por la evolución de M en dicha localización.10 La determinación del nivel de empleo surge despejando el markup de 3.2:

Dado que lMi - Mi /Li, es posible despejar el nivel de ocupación en la región i:

Así, el nivel de empleo de cada región está positivamente afectado por el nivel de actividad en el sector productor de bienes no transables, y negativamente por el salario real (Wi /PMi ), las compras de materias primas e insumos y el margen de beneficios.
Vale aclarar que no se introduce en el modelo ninguna condición de vaciamiento en el mercado de trabajo, de modo que los niveles de empleo en cada región pueden o no generar desempleo. La tasa de ocupación de la fuerza de trabajo requeriría introducir (aunque sea en forma exógena) el crecimiento poblacional, elemento que no será considerado aquí para limitar el análisis a un número razonable de parámetros, aunque no se subestima su relevancia.
3.4. Ingreso regional
En este caso, la especificación del ingreso regional no sigue el mecanismo propuesto por Kaldor, especialmente a la luz del rol que la demanda doméstica tiene en la dinámica del producto en los países subdesarrollados. Se optó en este caso por tomar una especificación contable del producto para conservar simplicidad matemática.11

La expresión 3.8 es equivalente al valor agregado total regional, al restar las compras de bienes intermedios (dentro y fuera de la región). Además refleja el mecanismo de causalidad circular del modelo: el nivel de producto regional depende de la demanda (externa e interna) por sus producciones. Sin embargo, una porción de la demanda, M, depende del nivel de producto. La ecuación también captura los vínculos interrregionales: aumentos del producto de otras regiones favorecen la producción local, al aumentar la demanda en su sector de transables. Análogamente, cuando aumenta la producción local, se demandan más insumos desde otras regiones, generando una salida consecuente de recursos. El efecto neto de estos flujos dependerá de la fuerza del vínculo entre Y y M de cada región (resumido en λ) y de los eslabonamientos verticales dentro y fuera de la región (reflejados en αij).
4. Resultados, implicancias de política y perspectivas
La dinámica del ingreso regional (trayectoria, convergencia) no tiene una expresión analítica debido a la forma funcional específica (no lineal) que toman algunas de las ecuaciones, de modo que debe ser evaluada en términos numéricos. El método empleado para resolver el modelo consiste en introducir un rezago temporal en las ecuaciones, fijar valores de los parámetros y establecer un valor inicial para Yt = 0, generando los valores posteriores del resto de las variables. Debido a la no linealidad y fuerte recursividad del sistema no es posible analizar la unicidad y estabilidad de la solución del sistema, aunque el lector puede tener una apreciación de este último aspecto a través de los distintos escenarios planteados.
Se ensayó una simulación a partir de valores para los parámetros y para el ingreso regional inicial, partiendo de un mismo nivel inicial excepto para el coeficiente de Verdoorn, el coeficiente insumo producto que describe la absorción del bien transable en cada región y costos de transporte asimétricos. Vale aclarar que esto constituye una diferencia no menor respecto del enfoque NGE, que establece que las regiones son a priori idénticas para supuestamente destacar el rol del proceso acumulativo, aunque luego debe recurrir al artificio de una diferenciación accidental para que dicho proceso tenga lugar. En este caso, las regiones se diferencian desde el inicio sobre la base de supuestos plausibles, probablemente gobernados por condiciones históricas y naturales (suelo, clima; cercanía a fuentes de materias primas, a infraestructura, a otros centros de cierto desarrollo previo, etcétera). Esto no difiere cualitativamente del proceso descrito en los modelos NGE aunque resulta argumentalmente más satisfactorio. Las diferencias iniciales entre regiones no son aleatorias y conforman las precondiciones de un proceso de mayor desigualdad.
La región 1 aparece con desventajas iniciales. En particular, λ1 = 0 (en esa región los rendimientos a escala de M son constantes, no hay externalidades) y λ2 = 0.5 (se fijó considerando el valor medio estimado por los estudios empíricos en regiones donde se constatan rendimientos crecientes (Fingleton y McCombie, 1998; Harris y Lau, 1998; Alexiadis y Tgsiadis, 2006, entre otros), que suele rondar entre 0.3 y 0.8). Con estos valores, la productividad media de la mano de obra de M crece exponencialmente en la región 2 mientras que se mantiene estable en la región 1. Como λ2 se ubica en el denominador de la ecuación de PM2, a medida que lM2 crece a la tasa λ2, el precio converge a Σ αij PAi )(1+m). Por ello en la región atrasada los precios de M son estables mientras que en la región relativamente más avanzada hay un descenso monótono del precio del bien no transable.12
El escenario de partida admite costos de transporte no simétricos entre localizaciones, en particular τ12< τ21, lo cual implica que resulta más barato transportar mercaderías desde la región 2 a la 1 y viceversa.13
Otra diferencia inicial entre localidades es la estructura de ventas internas del sector productor de bienes transables: en la región 1 el sector artesanal absorbe una porción menor de su producción local de transables. Este supuesto se basa en la observación empírica de que en las regiones subdesarrolladas el procesamiento local de la producción de transables suele ser menor (Viego, 2004).
Los valores de los parámetros, de las variables exógenas y del ingreso regional inicial, Yt = 0, empleados en la simulación se detallan en la tabla A del Anexo. Vale aclarar que los valores empleados en los ejercicios de simulación son ficticios debido a que, salvo pocas excepciones, no se dispone, al menos en Argentina, de información desagregada por región o con la desagregación sectorial aquí empleada, de modo que se pudiera partir de un escenario lo más cercano posible a las condiciones reales.14 A continuación se exponen los resultados centrales.
Desigualdades de ingreso. El modelo predice una brecha (estable) del ingreso regional a favor de la región que experimenta rendimientos crecientes. En particular, para los valores del escenario baseline el ingreso total de la región 2 sería 2.3 veces superior al de la región 1 (gráfico 1 del Anexo). Esto resulta consistente con la observación empírica de desigualdades regionales persistentes aunque estacionarias del producto bruto regional en Argentina. De todos modos, debido a que los parámetros y puntos de partida elegidos son ficticios, el nivel específico que alcanza la desigualdad en el modelo no puede ser contrastado con la evidencia empírica. Por ende, más que la magnitud de las desigualdades importan las tendencias y los resultados cualitativos de la simulación.
Respecto de esta trayectoria debe indicarse que debido a la forma funcional (aditiva) del ingreso total regional no es posible computar analíticamente la tasa de crecimiento de cada región. No obstante, el foco del análisis aquí no es el ritmo de crecimiento de cada región, sino los niveles relativos. Como este ejercicio muestra que las desigualdades se estabilizan, ello implica que independientemente de la velocidad a la cual crezca el ingreso en cada región, la brecha no consigue menguar.
Estructura productiva regional. Si bien el tamaño absoluto del sector productor de bienes transables es igual entre regiones, el sector A en la región 1 (atrasada) tiende a tener un peso creciente en el producto. Un resultado que refleja el mismo fenómeno es el porcentaje de ingreso proveniente de M en cada región: tiende a tener una participación despreciable en el ingreso de la región subdesarrollada (con coeficiente de Verdoorn nulo) mientras que genera cerca de 57% del ingreso total regional en la región avanzada (gráfico 2 del Anexo). Estos guarismos indican que las regiones adelantadas tendrían además una estructura productiva más diversificada respecto de las rezagadas, rasgo que comúnmente suele señalarse en los estudios territoriales aplicados. Análogamente, el producto de las regiones atrasadas muestra un mayor grado de polarización y dependencia del sector transable, cuya evolución está determinada por condiciones de demanda exógenas a la región (excepto que el sector modifique su orientación comercial y vire hacia producciones de menor elasticidad precio y/o mayor elasticidad ingreso).
Evolución del empleo. Si bien en ambas regiones el nivel de empleo crece en forma permanente, en la región 2 la tasa de crecimiento del empleo es sistemáticamente mayor que la de la región 1 (gráfico 3 del Anexo).
Efecto de los costos de transporte. La magnitud de los costos de transporte desde la región central hacia la periférica (τ12) no incide sobre la magnitud de la brecha de ingresos, aunque un alza permitiría demorar el proceso de divergencia (transición más lenta). El mismo efecto, aunque opuesto, ocurre cuando aumentan los fletes desde la región atrasada hacia la desarrollada. Una política que redujese τ21 permitiría reducir la magnitud de la brecha (gráfico 4 del Anexo), aunque para ello se requiere que τ21 caiga muy por debajo de τ12 , lo cual implica un esfuerzo sustancial. Hasta podría llegar a ser improbable que la región que genera precisamente externalidades positivas sobre el aparato manufacturero sea también la que enfrente mayores costos de transporte. Si la reducción de fletes opera en ambas rutas y en la misma proporción, las brechas no varían respecto del escenario baseline. En otros términos, una política de infraestructura que apunte a reducir los costos de transporte debería discriminar entre regiones favoreciendo relativamente a las periféricas.
Por su parte, la reducción de los fletes desde la región 1 hacia la 2 (τ21) retrasa el proceso de polarización de su estructura productiva (gráfico 5 del Anexo). Naturalmente, el efecto inverso ocurre si disminuyen los costos de transporte desde el área central a la periférica, τ12.
Por su parte, abaratar los envíos desde la región 1 a la 2 no conseguiría una reversión de la tendencia de las tasas de variación del empleo (es decir del ritmo de variación de L1 respecto de la tasa de variación de L2); la región 2 exhibe siempre mayores niveles de ocupación que la 1, aunque una merma de τ21 atenuaría esa brecha y viceversa (gráfico 6 del Anexo).
Efecto de los rendimientos externos a escala. Rendimientos a escala menos pronunciados en la región 2 producirían brechas regionales de ingreso pero de un modo más lento, y viceversa (gráfico 7 del Anexo).
A su vez, cuanto mayor es λ2, más rápido es el proceso de polarización de la estructura productiva en la región 1 (gráfico 8 del Anexo). Inversamente, cuanto menores sean los rendimientos a escala en la región central, M1 pierde participación en el producto total de la región 1 de modo más paulatino. No es difícil inferir de este ejercicio el impacto que la altura de las externalidades en la región central genera sobre el nivel relativo de empleo: a medida que aumenta λ2, las diferencias en las tasas de crecimiento del empleo se amplían (a favor de la región 2), y viceversa.
Rol de los eslabonamientos verticales intrarregionales
a11. Usualmente suele esperarse que una región con una mayor integración vertical entre sectores (esto es mayores coeficientes a ) exhiba mayor nivel de ingreso. Sin embargo, la solución numérica indica que, por ejemplo, a medida que crece a11 (compras intersectoriales dentro de la región 1) la magnitud de la desigualdad de largo plazo entre regiones no se modifica sino que, además, la brecha se estabiliza antes (gráfico 9 del Anexo). Aunque este resultado parece contradictorio, el examen de la identidad (3.8) es útil para comprender este efecto. Mayores eslabonamientos insumo-producto dentro de una misma región favorecen, en todo caso, la transmisión del crecimiento del sector comprador al vendedor (en este caso, el crecimiento del sector artesanal local es provechoso para el sector productor de transables localizado en la región 1); aunque, en términos globales, como las compras intermedias no inciden en el valor agregado regional esto no impacta sobre el nivel de las brechas de ingreso.
Por su parte, un mayor coeficiente insumo-producto entre M1 y A1 hace que el sector de transables adquiera mayor peso económico en el producto de la región rezagada, acelerando la especialización (y, por ende, la dependencia) del producto total de la región 1 en bienes exportables (gráfico 10 del Anexo), que son más sensibles a las condiciones de demanda y tienen efectos despreciables sobre el nivel de empleo.
a22. Una mayor absorción interna de A en la región 2 demora las brechas de ingreso e inicialmente puede generar ventajas para región periférica, que se diluirán con el tiempo.15
Rol de los eslabonamientos verticales interregionales
Los coeficientes que resumen el patrón de compras entre sectores y entre regiones son los únicos parámetros del modelo que consiguen modificar por sí solos la magnitud de las desigualdades de ingreso y, en algún caso, la composición sectorial del producto. Se comentan a continuación los impactos de cada uno.
a12. El patrón de compras de bienes intermedios por parte de la región 1 a la 2 tiene el efecto esperado: a medida que el sector artesanal localizado en la región 1 disminuye su esquema de aprovisionamiento desde la región 2 la desigualdad tarda más en aparecer y, en algún punto, la brecha disminuye (no alcanza, de todos modos, un nivel nulo), según se observa en el gráfico 11 del Anexo.
Del mismo modo, según se aprecia en el gráfico 12 del Anexo, el efecto de a¡2 sobre la estructura productiva de la región 1 muestra que una menor dependencia de M¡ de in-sumos provenientes de la región avanzada genera no sólo una transición más lenta hacia una estructura productiva fuertemente especializada en bienes transables sino también, superado cierto umbral, se modifica la participación de largo plazo del sector artesanal, que alcanza un nuevo piso (aunque sigue siendo minoritario en el producto total de la zona atrasada).
a21 . Resulta uno de los parámetros más sensibles en el modelo. Como las exportaciones desde la región atrasada hacia la desarrollada dependen, entre otros factores, del tamaño del mercado interno de la región avanzada, una mayor absorción de A1 por parte de M2 genera menores brechas de ingreso. Por el contrario, una reducción del coeficiente técnico insumo-producto aceleraría el proceso de divergencia hacia otro nivel estable a favor de la región central (gráfico 13 del Anexo). Sin embargo, el coeficiente que expresa la dependencia de insumos de la región atrasada por parte de la central no afecta sustancialmente la estructura productiva en la región atrasada, excepto su velocidad de convergencia hacia una especialización casi completa en A: a medida que la región 1 consigue colocar una mayor porción de bienes intermedios en la producción de M2 , el sector artesanal local tarda más en perder participación en el producto (gráfico 14 del Anexo). Esto se debe a que aumentos de a21 inducen aumentos del ingreso de la región 1, lo cual, a su vez, impacta positivamente sobre M1 demorando su gradual desaparición del aparato productivo local.
4.1. Implicancias de política
A partir de los ejercicios numéricos es posible extraer del modelo algunas lecciones de política. En primer lugar, si las economías regionales funcionan de acuerdo con las relaciones explicitadas en el modelo, las brechas de ingreso y la estructura productiva muestran una fuerte resistencia a los parámetros centrales del sistema, en particular al coeficiente de Verdoorn y a los costos de transporte. Variaciones de estos parámetros a lo sumo modifican la velocidad de transición hacia la desigualdad.
Esto sugiere que una política que modifique sólo un aspecto (es decir, diseñada "como si" funcionase el ceteris paribus en el resto de los parámetros) tendría efectos temporarios, pero no de largo plazo. Ello destaca la importancia de actuar simultáneamente sobre una serie de aspectos, lo cual requiere un esfuerzo considerable por parte de los gobiernos centrales; si bien los gobiernos locales podrían apuntar a modificar varios parámetros al mismo tiempo, otras regiones podrían implementar medidas en la misma dirección, neutralizando el efecto final.
En particular, es posible extraer del modelo una implicancia para las políticas de infraestructura; para que las regiones atrasadas consigan achicar la distancia de ingresos respecto de las avanzadas, no sólo es necesario reducir los costos de transporte desde las áreas periféricas a las centrales, sino que se requiere cambiar directamente su posición relativa. En términos del modelo aquí presentado, se necesita que τ12> τ21 . La inversión pública en caminos y, en general, en infraestructura de transporte, generalmente tiene un impacto homogéneo entre regiones: si es efectiva y reduce los costos de transporte lo hace en ambas direcciones. Como se vio, reducciones de t en la misma magnitud en ambos sentidos de una misma ruta dejan intactas las brechas de ingreso. Los cambios que afectan en forma espacialmente diferenciada a τij suelen provenir de modificaciones en la estructura empresarial de las ramas que ofrecen el servicio al sector productivo. En el transporte de carga por carretera esto es más difícil de ser moldeado con medidas de política económica.16 Esto muestra también que las mejoras de transporte resultan una condición necesaria pero no suficiente para iniciar un proceso de catch up en las áreas periféricas.
Asimismo, una política cuyo objetivo sea la formación de clusters (vía fortalecimiento de las relaciones insumo-producto) intrarregionales no conseguirá reducir las brechas entre regiones, sino, a lo sumo, demorar la transición hacia un nivel estable de desigualdad.
Además, no todos los eslabonamientos verticales entre regiones favorecen una reducción de las brechas. En particular, si las regiones rezagadas procesan mayor cantidad de insumos intermedios (por unidad de producto) provenientes de las zonas más adelantadas, esto reducirá el valor agregado regional (para un nivel de producto dado) y, por ende, el ingreso total de la región. Al mismo tiempo, esto acelerará la contracción del sector artesanal en el ingreso de la región atrasada. Por el contrario, si la región central introduce un cambio tecnológico que requiere mayor cantidad de insumos provenientes de las áreas periféricas, ello puede redundar en una reducción sustancial de las brechas de ingreso, aunque difícilmente consiga modificar la composición sectorial de largo plazo en la periferia. Este resultado destaca otro aspecto relevante para la comprensión de la dinámica espacial: la expansión de a21; el coeficiente que consigue el menor rezago del ingreso de la periferia respecto del centro no depende enteramente del esfuerzo y capacidad de su sector de transables, sino más bien es un parámetro tecnológico del sector tradicional localizado en las zonas avanzadas, generalmente fuera del alcance de una política regional comandada desde la zona atrasada.
Es posible extraer algunas lecciones, aunque poco alentadoras, para el diseño de políticas dirigidas a modificar las desigualdades espaciales de ingreso y de estructura productiva. En primer lugar, son pocos los parámetros en este modelo que consiguen modificar el nivel de desigualdad y composición del producto entre regiones. De modo que, ante un objetivo de menores asimetrías espaciales, se debería intervenir en varios aspectos simultáneamente, lo cual ya es un obstáculo precisamente por el carácter subdesarrollado de la economía que se pretende dinamizar.
El modelo destaca la persistencia del subdesarrollo, la esterilidad de las políticas que operan sobre porciones aisladas del sistema económico, en particular la inversión en infraestructura y la sustancial dependencia de las regiones atrasadas del sector de transables que, si ha de basarse en la explotación de recursos naturales, adquiere una dinámica moldeada por las condiciones de demanda externas (proveniente de otros países o de otras regiones del mismo país).
4.2. Limitaciones y posibles extensiones
El modelo aquí propuesto, aunque toma elementos de dos enfoques provenientes de perspectivas diferentes, el KDT de inspiración poskeynesiana y el NGE de raigambre neoclásica, no constituye una "síntesis" de ambos. Esto se debe a que se descarta casi por completo la formalización seguida por los modelos de NGE (basada en supuestos de optimización de firmas y consumidores) y sólo se toman de allí: la consideración de dos sectores con tecnologías diferentes y la forma de hacer operativos los costos de transporte. De modo que esta supuesta hibridación no debería implicar problemas teórico-metodológicos.
Aunque sencillo en términos formales, el modelo aquí presentado simplifica o considera exógenos algunos mecanismos, como el vínculo entre producto y productividad en el sector productor de transables. Por ejemplo, λi se considera exógeno admitiendo distintos escenarios. Una posible extensión del modelo sería considerar como endógeno este parámetro, en vez de partir de una diferencia espacial inicial.17
El modelo no considera la acumulación de capital, por lo que deja afuera las consideraciones ligadas a otro componente esencial de la demanda agregada como es la inversión. Una variante del modelo presentado más arriba sería incluir una función de inversión que permitiese lograr una presentación más completa de los determinantes de la productividad.
Otra perspectiva abierta es la consideración de importaciones desde el resto del mundo. Esto introduciría en el modelo el rol de las restricciones de balanza de pagos a nivel intrarregional. Si bien esta opción ya fue desarrollada por Thirwall (1980), en ese modelo no se considera la existencia de dos sectores ni se incluyen costos de transporte.18
Finalmente, otra extensión posible del modelo es expresar aij, en función de los costos de transporte entre regiones, de modo tal que a medida que aumenta τij (tarifas de flete desde j hacia i) disminuya aji (insumos provistos por i por unidad de producto en j). Esta variante tendría la ventaja de considerar los costos de transporte de los bienes intermedios, omitidos en esta versión del modelo. Como además los coeficientes aij sintetizan la tecnología de producción del sector M, indagar sobre sus determinantes y posibles impactos podría resultar promisorio para un enfoque interesado en analizar aspectos del cambio tecnológico (tanto en el centro como en la periferia).
El notable peso que en el modelo adquieren los niveles de aij sobre las brechas de ingreso y las estructuras productivas pone de relieve la importancia de avanzar en la elaboración de cuentas regionales, línea que está tomando impulso a partir de la aplicación de métodos indirectos (Lahr, 1993). Esta herramienta permitiría calibrar nuevos ejercicios de simulación del modelo sobre valores próximos a los reales.
Bibliografía
Alexiadis, Stilianos y Dimitrios Tsagdis, "Reassessing the Validity of Verdoorn's Law Under Conditions of Spatial Dependence: a Case Study of the Greek Regions", en Journal of Post Keynesian Economics, vol. 29, núm. 1, 2006, pp. 149-170. [ Links ]
Baldwin, Richard, "Agglomeration and Endogenous Capital", en European Economic Review, vol. 43, núm. 2, 1999, pp. 253-280. [ Links ]
Barbero, José, La logística de cargas en América Latina y El Caribe: una agenda para mejorar su desempeño, Washington, Banco Interamericano de Desarrollo, Notas técnicas núm. IDB TN 103, 2010. [ Links ]
Boyer, Robert y Pascal Petit, "Kaldor's Growth Theories: Past, Present and Prospects for the Future", en Edward Nell y Willi Semmler (eds), Nicholas Kaldor and Mainstream Economics: Confrontation or Convergence?, Londres, MacMillan, 1991. [ Links ]
Ciriaci, Daria y Daniela Palma, "The Role of Knowledge-based Supply Specialization for Competitiveness: A Spatial Econometric Approach", en Papers of Regional Science, vol. 87, núm. 3, 2008, pp. 453-475. [ Links ]
Dixon, Robert y Anthony Thirlwall, "A Model of Regional Growth-Rate Differences on Kaldorian Lines", en Oxford Economic Papers, vol. 27, núm. 2, 1975, pp. 201-214. [ Links ]
Fingleton, Bernard y John McCombie, "Increasing Returns and Economic Growth: Some Evidence from the European Union Regions", en Oxford Economic Papers, vol. 50, núm. 1, 1998, pp. 89-105. [ Links ]
Fujita, M., Paul Krugman y Anthony Venables, The Spatial Economy: Cities, Regions, and International Trade, Cambridge, Mass: MIT Press, 1999. [ Links ]
Gatto, Francisco, Las estrategias productivas regionales. Debilidades del actual tejido empresarial, sistema tecnológico, financiero y comercial de apoyo, Buenos Aires, BID/ CEPAL, Estudios de Competitividad Territorial 1.EG.33.5, 2003. [ Links ]
Gillespie, Andy (ed.), Technological Change and Regional Development, Londres, Pion, 1983. [ Links ]
Gort, Michael y Steven Klepper, "Time Paths in the Diffusion of Product Innovations", en Economic Journal, vol. 92, núm. 37, 1982, pp. 630-653. [ Links ]
Harris, Richard y Eunice Lau, "Verdoorn's Law and Increasing Returns to Scale in the UK Regions, 1968-91: Some New Estimates Based on the Cointegration Approach", en Oxford Economic Papers, vol. 50, núm. 2, 1998, pp. 201-219. [ Links ]
Kaldor, Nicholas, "The Case for Regional Polices", en Scottish Journal of Political Economy, vol. 17, núm. 3, 1970, pp. 337-348. [ Links ]
Krugman, Paul, "Increasing Returns and Economic Geography", en Journal of Political Economy, vol. 99, núm. 3, 1991, pp. 483-499. [ Links ]
Krugman, Paul y Anthony Venables, "Globalization and the Inequality of Nations", en Quarterly Journal of Economics, vol. 110, núm. 4, 1995, pp. 857-880. [ Links ]
Lahr, Michael, "A Review of Literature Supporting the Hybrid Approach to Constructing Regional Input-Output Models", en Economic Systems Research, vol. 5, núm. 3, 1993, pp. 277-293. [ Links ]
Madariaga, Nicole, Sylvie Montout y Patrice Ollivaud, "Regional Convergence and Agglomeration in Argentina: a Spatial Panel Data Approach", en Cahiers de la MSE Working Paper, núm. 2005.06, Centre National de la Recherche Scientifique, 2005. [ Links ]
Martin, Ron, "The New 'Geographical Turn' in Economics: Some Critical Reflection", en Cambridge Journal of Economics, vol. 23, núm. 1, 1999, pp. 65-91. [ Links ]
McCombie, John y Anthony Thirlwall, Economic Growth and the Balance of Payments Constraint, Londres, St Martin's Press, 1994. [ Links ]
McCombie, John y John de Ridder, "The Verdoorn Law Controversy: Some New Empirical Evidence Using US State Data", en Oxford Economic Papers, vol. 36, núm. 2, 1984, pp. 268-284. [ Links ]
Mulligan, Gordon y Lay Gibson, "Regression Estimates of Economic Base Multipliers for Small Communities", en Economic Geography, vol. 60, núm. 3, 1984, pp. 225-237. [ Links ]
North, Douglas, "Location Theory and Regional Economic Growth", en Journal of Political Economy, vol. 63, núm. 3, 1955, pp. 248-258. [ Links ]
Oliveira, Francisco, Frederico Jayme Jr. y Mauro Lemos, "Increasing Returns to Scale and International Diffusion of Technology: An Empirical Study for Brazil (19762000)", en World Development, vol. 34, núm. 1, 2006, pp. 75-88. [ Links ]
Pasinetti, Luigi, Lecciones de teoría de la producción, México, Fondo de Cultura Económica, 1983. [ Links ]
Pons-Novell, Jordi y Elisabet Viladecans-Marsal, "Kaldor's Laws and Spatial Dependence: Evidence for the European Regions", en Regional Studies, vol. 33, núm. 5, 1999, pp. 443-451. [ Links ]
Rada, Codrina, "A Growth Model for a Two-sector Economy With Endogenous Productivity", en Working Paper, núm. 44, United Nations, Department of Economics and Social Affairs, 2007. [ Links ]
Redding, Stephen, "Economic Geography: a Review of the Theoretical and Empirical Literature", en Discussion Papers, núm. dp 0904, Londres, Centre for Economic Performance, 2009. [ Links ]
Robert-Nicoud, Frédéric, "The Structure of Simple 'New Economic Geography' Models", en Journal of Economic Geography, vol. 5, núm. 2, 2005, pp. 201-234. [ Links ]
Roberts, Mark, "The Conditional Convergence Properties of Simple Kaldorian Growth Models", en International Review of Applied Economics, vol. 21, núm. 5, 2007, pp. 619-632. [ Links ]
Russo, José Luis, "Las disparidades regionales en Argentina y sus efectos sobre los sistemas agroalimentarios en el marco del Mercosur", Tesis Doctoral, Córdoba (España), ETSIAM, Departamento de Economía, Sociología y Políticas Agrarias, 1997. [ Links ]
Setterfield, Mark, "History Versus Equilibrium' and the Theory of Economic Growth", en Cambridge Journal of Economics, vol. 21, núm. 3, 1997, pp. 365-78. [ Links ]
Targetti, F. y A. Foti, "Growth and Productivity: a Model of Cumulative Growth and Catch-up", en Cambridge Journal of Economics, vol. 21, núm. 1, 1997, pp. 27-43. [ Links ]
Thirlwall, Anthony, "Regional Problems are Balance-of-Payments Problems", en Regional Studies, vol. 14, 1980, pp. 419-426. [ Links ]
Utrera, Gastón y Javier Koroch, "Convergencia: evidencia empírica para las provincias argentinas", en Anales de la Asociación Argentina de Economía Política, 1998, Disponible en www.aaep.org. [ Links ]
Verspagen, Bart, Uneven Growth Between Interdependent Economies: An Evolutionary View on Technology Gaps, Trade and Growth, Avebury, Aldershot, 1993. [ Links ]
Viego, Valentina, "Desigualdades regionales y costos de transporte en Argentina", Tesis Doctoral, Bahía Blanca, UNSUR-Departamento de Economía, 2010. [ Links ]
, El desarrollo industrial en territorios periféricos: el caso de Bahía Blanca, Bahía Blanca, Ediuns, 2004. [ Links ]
Willington, Carlos, "Un análisis empírico del crecimiento económico regional en Argentina", en Estudios, vol. 21, núm. 84, Córdoba (Argentina), IERAL, enero-marzo, 1998. [ Links ]
1 Como referencia de su magnitud, en una (inserción pagada) que se publicó en El Cronista (5/8/2009), una de las empresas líderes del mercado nacional de productos lácteos informa que, para la leche fluida envasada, los fletes representan casi 17% de los costos totales, en segundo lugar luego de la materia prima (entre 41% y 43%) y por encima de los costos de industrialización y envases.
2 Para comparar ambas variables es necesario expresar a las dos en las mismas unidades monetarias. Esto se consigue aplicando el tipo de cambio nominal.
3 Una objeción razonable a la ley es que ignora los efectos de la acumulación de capital sobre el crecimiento de la productividad. Aunque no necesariamente representa una crítica fatal, por el hecho estilizado de que el ratio capital-producto es bastante estable.
4 Estos mecanismos pueden ser descritos prescindiendo de las ecuaciones, con la ventaja de lograr agilidad expositiva. Para detalles de la especificación formal y propiedades del equilibrio de estos modelos véase Robert-Nicoud (2005).
5 Aún más, la elección de unidades para encontrar la solución del equilibrio general conduce a predicciones poco plausibles, como la correlación inversa entre el número de variedades de bienes manufacturados y la porción que absorben del presupuesto de los hogares.
6 Los costos de traslado también incluyen costos de transacción no monetarios, como dificultades para contactar a proveedores y clientes, tiempo de espera en la entrega de mercaderías, necesidades de acopio por aprovisionamiento poco frecuente de ciertos insumos o productos, etcétera.
7 Pasinetti (1975) presentó una regla alternativa, basada únicamente en costos laborales, expresada como:
donde lMi* y m* representan la productividad y tasas de ganancia, respectivamente, en términos verticalmente integrados. Esta expresión resulta más sencilla que 3.2 ya que lMi* es la inversa del coeficiente técnico de mano de obra, y contiene los requisitos de mano de obra directos e indirectos en la matriz insumo-producto. De todos modos, en este contexto, esta expresión oculta en qué fase de las relaciones insumo-producto ocurre efectivamente el efecto Verdoorn (producción del bien final o fases previas de la cadena). Aquí se supone (con razonable plausibilidad) que los efectos de las economías externas de escala sobre la productividad tienen lugar en las etapas finales de producción. El progreso en la productividad media del trabajo en las primeras fases de las cadenas rara vez se vincula con el tamaño de la región, sino con la intensidad de capital en dicha fase, elemento exógeno en este modelo.
8 Dado que αij representa un coeficiente expresado en unidades físicas de producto y de insumos es posible expresarlo en unidades monetarias como αij= aij PMi Paj
9 Como ejemplo, en Argentina la introducción de soja transgénica tuvo lugar en 1996 dando lugar a un aumento significativo de la productividad del suelo y la extensión del área cultivable. Sin embargo, su impacto sobre las economías regionales comenzó a registrarse cinco años después, a partir del alza notable del precio internacional de la soja. En otros términos, mientras que los factores del lado de la oferta (inversión, introducción de nuevas tecnologías, etcétera) mejoran en este sector la rentabilidad empresarial, sus efectos trascienden la esfera privada y se derraman al resto de la economía sólo en contextos de demanda favorable.
10 Mulligan y Gibson (1984) encuentran una fuerte y persistente asociación lineal entre el empleo total de una región y el empleo en el sector no básico (productor de bienes no transables, en términos del modelo aquí propuesto) y que esta correlación es mayor en comunidades de menor tamaño.
11 Otra forma funcional (e.g. Cobb-Douglas, CES, etcétera) hubiese requerido la imposición de algún supuesto de participación (constante) de cada sector en el producto. La ventaja de una expresión contable es que la estructura sectorial es endógena.
12 Las implicancias que ello tenga sobre el poder adquisitivo de los salarios en cada región dependen de la regla institucional de actualización de salarios.
13 En ejercicios posteriores se supusieron costos de transporte simétricos entre regiones.
14 Incluso el sistema de estadísticas oficiales que suele publicar información referida a precios de bienes y servicios, no emplea la desagregación propuesta aquí entre bienes transables y no transables.
15 En este caso no se expone un gráfico ilustrativo debido a que las variaciones de magnitud de a22 generan cambios imperceptibles en los niveles relativos de ingreso.
16 Excepto la imposición de tarifas de peaje diferenciadas según el sentido del par origen-destino, de modo tal que t12 lo cual no estaría exento de conflictos entre j urisdicciones y entre tipo de usuarios de la ruta.
17 Las ideas pioneras de Kaldor (1970), la formalización posterior de Dixon y Thirwall (1975) y las ampliaciones que hicieron luego McCombie y Thirlwall (1994) indican que las diferencias de X entre regiones se deberían a una composición sectorial inicialmente diferente entre regiones; las regiones con mayor X exhibirían mayor peso inicial del sector industrial.
18 Gillespie (1983) presenta un modelo de crecimiento restringido por la balanza de pagos con costos de transporte, pero sólo considera un sector.













