Servicios Personalizados
Revista
Articulo
Indicadores
-
Citado por SciELO -
Accesos
Links relacionados
-
Similares en
SciELO
Compartir
Problemas del desarrollo
versión impresa ISSN 0301-7036
Prob. Des vol.40 no.157 Ciudad de México abr./jun. 2009
Artículos
Relación entre la inflación y tasas de interés en México y Estados Unidos
Guillermo Cavazos Arroyo*, Salvador Rivas-Aceves**
* Estudiante de doctorado en Ciencias Económicas, en la Universidad Autónoma Metropolitana-Xochimilco. Correo electrónico: gcavazos99@gmail.com.
** Profesor-Investigador, Departamento de Economía, Área Empresas, Finanzas e Innovación en la Universidad Autónoma Metropolitana-Azcapotzalco. Correo electrónico: rivas.salvador@gmail.com.
Fecha de recepción: 24 de noviembre de 2008.
Fecha de aceptación: 14 de abril de 2009.
Resumen
La teoría monetaria convencional valida la hipótesis de Fisher que considera que la tasa de interés real sólo varía en el corto plazo y que en el largo plazo el dinero es neutral. Con modelos multivariados de series de tiempo, en específico VAR y VEC, en el que se incluyen variables para México y Estados Unidos (EU) durante el periodo 1994-2006, se estudia la relación dinámica a corto plazo por medio de la descomposición de la varianza y las funciones de respuesta al impulso, y la relación de equilibrio de largo plazo entre dichas variables. Se muestra que en el perio do de estudio la hipótesis de Fisher se verifica parcialmente para la economía mexicana pero no para la economía de EU. Por su parte, la inflación de México tiene un fuerte componente inercial que dura cuatro meses y explica casi 80% de las variaciones inflacionarias.
Palabras clave: análisis multivariado de series de tiempo, simulación y pronóstico, nivel de precios, determinación de la tasa de interés y dinero.
Abstract
Conventional monetary theory confirms Fisher's hypothesis which assumes that the real rate of interest varies only in the short term, while in the long term money is neutral. Using multivariate time-series models, and specifically VAR and VEC, with variables for Mexico and the United States (US) during the period 1994-2006, this paper studies the dynamic short-term relationship by decomposing the variance and response functions to the stimulus, and the long-term equilibrium relationship between these variables. It is shown that during the period of study the Fisher hypothesis is partly confirmed for the Mexican economy but not for the US economy. For its part, Mexican inflation has a strongly inertial component that lasts four months and accounts for nearly 80% of the inflationary changes.
Keywords: time series multivariate analysis, simulation and forecast, price level, determination of the rate of interest, money.
Résumé
La théorie monétaire conventionnelle valide l'hypothèse de Fisher qui considère que le taux d'intéret réel ne varie qu'à court terme tandis qu'à long terme, l'argent est neutre. Recourrant à des modèles multivariés de séries de temps, plus particulièrement VAR et VEC, dans lequel s'incluent des variables pour le Mexique et les Etats-Unis (EU) au cours de la période 1994-2006, il est procédé à l'étude de la relation dynamique à court terme au travers de la décomposition de la variance et des fonctions de réponse à la stimulation, et la relation d'équilibre à long terme entre les dites variables. Il est montré que sur la période considérée, l'hypothèse de Fisher est partiellement vérifiée pour l'économie mexicaine mais pas pour l'économie des eu. Pour sa part, l'inflation a un fort composant inertiel qui dure quatre mois et explique presque 80% des poussées inflationnistes.
Mots clés: analyse multivariée de séries de temps, simulation et pronostique, niveau de prix, détermination du taux d'intéret et argent.
Resumo
A teoria monetária convencional valida a hipótese de Fisher que considera que a taxa de interesse real só varia a curto prazo e que a longo prazo o dinheiro é neutro. Com modelos multivariados de séries temporais, em específico VAR e VER, em que se incluem variáveis para o México e os Estados Unidos (EU) durante o período 1994-2006, estuda-se a relação dinâmica a curto prazo por meio da decomposição da variância e funções de resposta ao impulso, e a relação de equilíbrio de longo prazo entre essas variáveis. Mostra-se que no período de estudo a hipótese de Fisher se verifica parcialmente para a economia mexicana mas não para a economia dos EU. Por sua parte, a inflação do México tem um forte componente inercial que dura quatro meses e explica quase 80% das variações inflacionárias.
Palavras-chave: análise multivariada de séries temporais, simulação e prognóstico, nível de preços, determinação da taxa de interesse e dinheiro.
Introducción
En México la tasa de interés líder en los mercados financieros es la de CETES a 28 días y en Estados Unidos es la de los bonos del Tesoro. Se le conoce como tasa líder porque es la tasa piso o libre de riesgo que sirve de referencia para realizar operaciones financieras y para el otorgamiento de créditos. Debido a que los bancos como intermediarios financieros al otorgar un crédito crean dinero, la tasa de interés de bonos públicos es uno de los principales instrumentos de política monetaria. Si el gobierno aumenta la tasa de interés de referencia, las empresas y los consumidores disminuirán su cantidad demandada de crédito, por lo que un aumento en la tasa de interés de bonos públicos significa una política monetaria restrictiva. Por el contrario, una disminución en esta tasa de interés implica un aumento en la cantidad demandada de crédito, en cuyo caso se trata de una política monetaria expansiva. Sin embargo, de acuerdo con la hipótesis de Fisher (1930), si la tasa de interés nominal baja, como se trata de una política monetaria expansiva, los agentes esperarán una mayor inflación futura; en consecuencia, la tasa de interés nominal de bonos públicos se ajustará nuevamente al alza, es decir, a las variaciones de la tasa esperada de inflación. Y viceversa, si la tasa de interés nominal aumenta.
El trabajo de Fama (1975) y el desarrollo del concepto de expectativas racionales hicieron que resurgiera la hipótesis de Fisher, y que el efecto Fisher volviera a ocupar un lugar destacado en la agenda de investigación. Para Fama, la evidencia empírica obtenida por Fisher no es coherente con la hipótesis de un mercado financiero eficiente, que corresponde a un mercado en el que los agentes utilizan óptimamente toda la información disponible al momento de fijar los precios. Por tanto, no se puede rechazar la hipótesis de que el rendimiento real esperado de los bonos del Tesoro de Estados Unidos durante el periodo 1953-1971 fue constante, lo que supondría que el mercado de bonos habría sido eficiente. Haliassos y Tobin (1990) muestran que estos resultados equivalen a confirmar la versión más extrema de la hipótesis de Fisher, por lo que cuestionaron los hallazgos iniciales de Fama.
La aparición de la literatura sobre cointegración y raíces unitarias significó un gran avance para el contraste empírico de la hipótesis de Fisher. Si la tasa de interés nominal y la tasa de inflación exhiben tendencias estocásticas, es decir, que poseen una raíz unitaria, los contrastes de la hipótesis de Fisher realizados hasta entonces serían el resultado de regresiones espurias en el sentido de Granger y Newbold (1974). Uno de los primeros trabajos que aplicó los contrastes de raíz unitaria a las series de la tasa de interés nominal e inflación, de nuevo para el caso de Estados Unidos, fue el de Rose (1988), quien concluyó que si bien la tasa de interés nominal posee una raíz unitaria, la tasa de inflación es estacionaria, por lo que la tasa real de interés no es estacionaria. Mishkin (1992) cuestionó estos resultados y, al aplicar unos valores críticos diferentes a los utilizados por Rose, obtuvo que la tasa de inflación de EU es no estacionaria y que se encuentra cointegrada con la tasa de interés nominal, lo que significa el cumplimiento de la hipótesis de Fisher en el largo plazo.
No obstante, y a pesar de la indudable aportación que provino del empleo de las técnicas de cointegración, la evidencia empírica acerca del cumplimiento del efecto Fisher sigue produciendo resultados dispares, como lo muestran, entre otros, los trabajos de MacDonald y Murphy (1989), Bonham (1991), Moazzami (1991), Peláez
(1995), Crowder (1997) o Bajo y Esteve (1998). Otros trabajos que buscaron probar empíricamente la hipótesis de Fisher encontraron que la relación entre tasa de interés e inflación depende de la política monetaria. Por ejemplo, Lanne (2001) estableció que la evolución de la tasa de interés nominal es una señal para que los agentes económicos formulen sus expectativas sobre la inflación futura. Carmichael y Stebbing (1983) mostraron que los agentes prefieren sustituir dinero por títulos financieros cuando la inflación es alta, y que ello es determinante para que la inflación tenga algún efecto sobre la tasa de interés nominal.
Por su parte, Peng (1995) encontró que la hipótesis de Fisher se cumple para Francia, Estados Unidos y Reino Unido y débilmente para Alemania y Japón, pues estos dos países mantienen una política monetaria antiinflacionaria. Choi (2002) halló evidencia, por una parte, de que la hipótesis de Fisher inversa (que relaciona inflación con tasa de interés real y no con tasa de interés nominal) se cumple para Estados Unidos cuando la inflación esperada o proyectada está por debajo de un cierto nivel (threshold) y se presenta la sustitución entre dinero y títulos; y por otra, encontró consistencia con el argumento de que cuando la inflación es persistente se registra una sustitución entre títulos y activos de capital, y no entre dinero y títulos, por lo que en este caso se cumple dicha hipótesis.
Asimismo, Arguedas (2003) descubrió que en Bolivia se cumple la hipótesis de Fisher inversa y que no se verifica la hipótesis de Fisher. Muchos otros autores han utilizado la metodología multivariada de series de tiempo y han encontrado relación de corto o largo plazo entre tasa de interés y nivel de precios de una economía, véase Brennan-Wang-Xia (2004), Lettau y Wachter (2007), Bansal y Shaliastovich (2007) y Lustig-Van Nieuwerburgh-Verdelhan (2008).
Así, en todos estos estudios las diferencias encontradas en la verificación del efecto Fisher se originaron en la forma en que la autoridad monetaria enfrentó los shocks inflacionarios. Si la autoridad monetaria adopta metas de inflación, e incluso metas cambiarias, que incrementen la credibilidad en los agentes económicos sobre la política monetaria, se reduce la inflación persistente y se cumple la hipótesis de Fisher inversa. Por el contrario, si los agentes económicos no creen que se alcancen los objetivos de inflación, o no tienen confianza en la política monetaria, se cumple la hipótesis de Fisher.
En este trabajo se busca probar la hipótesis de Fisher para las economías de México y de Estados Unidos durante el periodo 1994-2006. Por tanto, se estudia la respuesta del nivel de precios en ambos países ante variaciones en la tasa de interés nominal de México como de Estados Unidos y viceversa. Para ello, la organización del presente análisis es como sigue: en el primer apartado se plantea la hipótesis teórica de Fisher; en el siguiente se establece la metodología que se habrá de seguir. Después se presentan las pruebas de cointegración; luego el modelo VAR y las relaciones dinámicas de corto plazo. Posteriormente se hace un análisis de descomposición de la varianza; en seguida se muestra el modelo VEC y las relaciones dinámicas de largo plazo, las pruebas de causalidad de Granger. Finalmente, se presentan las conclusiones.
La hipótesis de Fisher
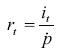
La hipótesis de Fisher sostiene que en el largo plazo la tasa de interés real es relativamente constante, dado que los movimientos en la tasa de interés nominal compensan en su totalidad las variaciones de la inflación. Ello significa que la tasa de interés real no varía de manera permanente. Así, Fisher define la tasa de interés real como
rt=it-πt+1
(1)
donde r es la tasa de interés real, it es la tasa de interés nominal, y πt+1 es la inflación esperada para el periodo siguiente que equivale al plazo de las tasas. Esto implica que en el largo plazo la tasa de interés nominal y la inflación guardan una relación de equilibrio, lo que lleva a que la tasa de interés real sea un precio relativo intertemporal que no se ve afectado por las variaciones inflacionarias y que sólo está en función de las características paramétricas de la economía, es decir, de las dotaciones iniciales de los agentes, de sus gustos y preferencias por consumo presente o futuro, y de la restricción tecnológica de las empresas. Por tanto, la neutralidad del dinero se cumple, pues las variaciones en la cantidad de dinero únicamente afectan a los precios nominales, incluyendo a la tasa de interés nominal, pero no a la estructura de precios relativos, por lo que la tasa de interés real no varía con la política monetaria.
En consecuencia, se cumple que

(2)
Cuando la tasa de interés nominal i varía, en el periodo siguiente el nivel de precios p varía en la misma proporción y sentido, por lo que la tasa de interés real, r, se mantiene constante en el mediano y largo plazos, y sólo tiene variaciones marginales en el corto plazo. Ello equivale a decir que el dinero es neutral en el mediano y largo plazos, lo que valida la ecuación cuantitativa, y que no es neutral en el corto plazo, por lo que el dinero es neutral, pero no superneutral (el dinero es superneutral sólo cuando es neutral a cualquier plazo, y neutral únicamente si lo es en el largo plazo).
El mismo Fisher (1930) encontró que empíricamente esta hipótesis se cumple sólo de manera parcial y que la tasa de interés nominal responde a variaciones de la inflación, en el sentido y magnitud predichos por la teoría, sólo bajo ciertas circunstancias y con notable retraso. Para Fisher, ello se debe a la existencia de ilusión monetaria por parte de los agentes, que los lleva a confundir o no distinguir entre cambios en magnitudes nominales y cambios en magnitudes reales. La verificación de la hipótesis de Fisher significa la existencia o no de una relación de largo plazo entre tasa de interés nominal y tasa de inflación. Al respecto, Malliaropulos (2000) encontró evidencia de que aun cuando la inflación y la tasa de interés nominal no estén cointegradas, esto no necesariamente indica que la tasa de interés real no sea estacionaria. Por ello, este autor propone, como la prueba más apropiada para el efecto Fisher, establecer una relación estacionaria entre la inflación y la tasa de interés nominal que consiste en permitir ajustes dinámicos entre estas variables. Esto es porque la inflación esperada determina la tasa de interés nominal y, a su vez, la tasa de interés nominal es una señal de la inflación esperada.
En este sentido, Koustas y Serletis (1999) hacen referencia a la doble causalidad que debiera existir entre la tasa de interés nominal y la inflación. Ello lleva a que cuando existe sustitución entre títulos y activos de capital la hipótesis de Fisher se verifica, e incluso esta sustitución se ve motivada cuando la inflación es alta. Sin embargo, cuando la sustitución es entre títulos y dinero, la tasa de interés nominal no necesariamente sigue el comportamiento de la inflación y la hipótesis de Fisher no se verifica, pues la tasa de interés nominal no se ajusta a la inflación y, por tanto, la tasa de interés real se modifica inversamente con la inflación. Cuando ello ocurre, se dice que se presenta un efecto Fisher inverso o que se tiene la hipótesis de Fisher inversa.
Estrategia metodológica
El objetivo principal de este trabajo es probar la hipótesis de Fisher para la economía mexicana en el periodo 1994-2006. Sin embargo, como este periodo corresponde al de una gran integración comercial y financiera de la economía mexicana con la de Estados Unidos, se ha considerado pertinente incluir en el diseño del modelo seleccionado tanto a la inflación como a la tasa de interés nominal de EU para probar esta relación. Se esperaría que variaciones en la tasa de interés nominal estadounidense provoquen variaciones en el mismo sentido en la tasa de interés nominal de México.
Así, adicionalmente, este modelo permitirá probar la hipótesis de Fisher para la economía de Estados Unidos en el periodo de estudio, y analizar de manera empírica el impacto de los cambios o las variaciones en el nivel de precios y en la tasa de interés nominal estadounidenses en los correspondientes de la economía mexicana. Para cumplir con estos objetivos, en la presente investigación se analizan empíricamente los efectos de diferentes perturbaciones sobre la tasa de interés nominal de bonos públicos y el nivel de precios de cada país. La metodología que se consideró adecuada para este tipo de análisis empírico es la modelación VEC o de modelos de corrección de error. Esto es porque, de acuerdo con la hipótesis de Fisher, se considera que la tasa de interés nominal y la tasa de inflación guardan una relación de equilibrio de largo plazo. Para ello, se requieren pruebas de cointegración para verificar que en efecto estas variables comparten una relación de largo plazo, es decir, que están cointegradas.
El modelo VEC que se especificará no tiene fines de pronóstico, sino de estudiar la relación dinámica de corto y largo plazos entre las variables, lo que se realiza por medio de las funciones de respuesta al impulso (FIR) y de las descomposiciones de varianza. Este análisis econométrico se realizó con el paquete E-views 4.1. Éste, sin embargo, tiene una limitación, y es que las FIR que reporta no incluyen los intervalos de ± 2 desviaciones estándar que permiten conocer si su valor es estadísticamente representativo, es decir, si tal intervalo excluye al cero.
Patterson (2000) propone resolver este problema con dos modelos. Un modelo VAR estacionario por diferencias, que permita modelar la relación dinámica entre las variables sólo en el corto plazo. Evidentemente, si las variables incluidas en el modelo están cointegradas, se va a tener un error de especificación, pues hay relaciones de largo plazo que no se están considerando. Pero como este primer modelo no se hace con fines de pronóstico, sino únicamente de análisis empírico y para estudiar la dinámica de corto plazo, es pertinente estimar un modelo VAR con variables estacionarias.
Patterson considera que cuando los efectos de los choques se diluyen con el paso del tiempo, un modelo VAR estacionario permite conocer los efectos de corto plazo debidos a choques o cambios inesperados en las variables, aun cuando las variables se encuentren cointegradas. Lo importante es que el modelo propuesto sea un VAR estacionario, pues no es válido proponer un VAR en niveles cuando se tienen variables cointegradas.
El segundo modelo corresponde a un vector de corrección de error (VEC). Como las variables están cointegradas, las relaciones dinámicas de largo plazo solamente pueden estudiarse con este tipo de modelos, ya que permiten ajustar los desequilibrios que se presentan en el corto plazo con respecto a las relaciones de largo plazo, incorporando parámetros de ajuste que permiten que las variables retornen o converjan a su relación de equilibrio de largo plazo.
Las variables endógenas incluidas en cada modelo son la tasa de interés nominal (Km) de bonos públicos de México (CETES a 28 días), la tasa de interés nominal (Rusa) de Estados Unidos (bonos del Tesoro), el Índice Nacional de Precios al Consumidor (Pm) de México y el Índice de Precios al Consumidor (Pusa) de Estados Unidos (Consumer Price Index). El periodo de estudio de estas variables va de enero de 1994 a octubre de 2006, con frecuencia mensual, por lo que en las series en niveles existen 154 observaciones. Los datos para México se obtuvieron del Banco de Información Económica (BIE) del Instituto Nacional de Estadística y Geografía (INEGI); para Estados Unidos, el Índice de Precios al Consumidor se obtuvo del banco de datos de la Oficina de Estadísticas Laborales del Departamento del Trabajo (Bureau of Labour Statistics) y la serie de tasas de interés nominales de bonos del Tesoro se obtuvo del Consejo de Gobernadores del Banco de la Reserva Federal (Board of Governors).
Pruebas de cointegración
La prueba de cointegración de Johansen es una prueba iterativa que se basa en un modelo VAR; para comprobar cointegración por medio de ella se requiere incorporar series no estacionarias. Al aplicar la prueba Dickey-Fuller de raíces unitarias para cada una de estas variables se encontró no estacionariedad, es decir, existencia de raíz unitaria. Asimismo, dicha prueba mostró que las series en primeras diferencias ya son estacionarias. Para la realización de las pruebas de raíces unitarias se siguió el criterio de Hamilton (1994) que establece que la especificación de la prueba debe hacerse de acuerdo con el comportamiento que mejor describa las características de cada serie, tanto bajo la hipótesis nula como bajo la hipótesis alternativa.
Las pruebas de raíces unitarias realizadas muestran que las cuatro series son I(1) en niveles, e I(0) en primeras diferencias. La prueba que se utilizó fue el contraste de cointegración de Johansen, que se trata de dos pruebas estadísticas que permiten determinar el número de relaciones de cointegración por medio de la prueba de la Traza de Johansen y de la prueba del máximo valor, también de Johansen, las cuales se presentan en el cuadro 1.
Como se aprecia, existe una relación de cointegración entre las variables.
El modelo VAR
Para fines didácticos y de simplicidad en las expresiones y cuadros que se mostrarán, a continuación se presenta la especificación, la estimación y la evaluación del modelo VAR (3) que corresponde al número óptimo de rezagos obtenido con el uso de criterios automáticos. Matricialmente el modelo VAR (3) queda expresado en su forma reducida como
yt=C0+Γ1yt-1+Γ2yt-1+Γ3yt-2+Γ4yt-3+εt
(3)
Las características de la metodología VAR permiten estimar cada ecuación de manera individual por mínimos cuadrados ordinarios (Meo), debido a que se supone que los términos de perturbación estocástica son ruido blanco y se distribuyen normalmente: no hay autocorrelación serial entre los errores ni correlación contemporánea evitando simultaneidad en las variables. La condición suficiente para que un modelo VAR (p) sea estable y estacionario consiste en que los eigenvalores de las matrices de coeficientes sean inferiores a uno, ello equivale a que las raíces invertidas, tanto reales como imaginarias del polinomio característico autorregresivo, tengan un módulo inferior a uno. La gráfica 1 muestra dicho comportamiento del VAR estimado en donde el eje horizontal es la parte real y el eje vertical es la parte imaginaria.
Nótese que todas las raíces caen dentro del círculo unitario, por lo que se satisfacen las condiciones suficientes de estabilidad y estacionariedad. Los resultados de estimación para el modelo VAR (3) especificado se reportan a continuación:
Por tanto, se rechaza Ho por lo que no todos los parámetros estimados en cada una de las ecuaciones son simultáneamente cero. Una vez que el modelo especificado y estimado ha resultado adecuadamente evaluado, se procede a utilizarlo sólo con fines de análisis empírico para estudiar la relación dinámica de corto plazo entre las variables. No se olvide que estas variables están cointegradas, por lo que al proponer un modelo VAR (p) se tiene un error de especificación, ya que no se está considerando la relación de largo plazo entra las variables.
Relación dinámica de corto plazo entre las variables
Debido a que tres rezagos no permiten capturar de manera adecuada la dinámica de la economía, se ha decido determinar la estructura de rezagos empíricamente, encontrándose que 11 rezagos para cada variable endógena en cada ecuación permiten capturar de forma correcta la dinámica de la economía sin consumir los grados de libertad requeridos para una estimación eficiente de parámetros. Además, la estimación del modelo VAR (11) satisface las condiciones suficientes de estabilidad y estacionariedad, y de que los residuales sean ruido blanco y se distribuyan normalmente.
Una de las aplicaciones más importantes de la metodología VAR es la posibilidad de realizar análisis empíricos, es decir, estudiar relaciones dinámicas en el corto plazo. Ello se hace mediante las funciones de respuesta al impulso (FIR) y la descomposición de la varianza. Las FIR permiten conocer la manera en que las variaciones o choques inesperados en una variable del modelo afectan a las demás. Sin embargo, tienen la desventaja de que tales impactos dependen del ordenamiento de las variables en el modelo. Para evitar esa situación Pesaran y Shin (1998) propusieron el uso de funciones generalizadas de respuesta al impulso (FGIR) que tienen la gran ventaja de que el valor de la función no depende del orden de las variables en el modelo. Además, por las características de la metodología VAR se tiene que los choques o innovaciones son de una desviación estándar y duran un periodo, en este caso un mes. Cuando el intervalo de confianza de ± 2 desviaciones estándar excluye al cero en las FGIR, el valor de la FGIR es estadísticamente significativo.
Por su parte, Cuevas (2007) establece que las FGIR permiten conocer la respuesta dinámica de una variable frente a cambios o choques inesperados en otra. Como el modelo corresponde a un contexto multivariado, un cambio inesperado en una variable afecta a las demás con toda una estructura compleja de rezagos. La magnitud de este impacto, su significancia y duración es posible conocerlas por medio de las FGIR. Como el objetivo de este análisis es probar la hipótesis de Fisher para México y Estados Unidos, a continuación se presentan las FGIR que describen los efectos de un choque en la tasa de interés nominal sobre el nivel de precios en ambas economías.
El periodo de análisis es de 12 meses, ya que esta metodología sólo permite estudiar la dinámica de corto plazo. Peng (1995) encontró, para un periodo de estudio anterior, que la hipótesis de Fisher se verificaba en la economía de Estados Unidos. Por su parte, Choi (2002) mostró, para periodos más recientes, que se verifica la hipótesis de Fisher inversa, es decir, que la relación de largo plazo no es entre la tasa de interés nominal y el nivel de precios, sino entre la tasa de interés real y el nivel de precios. Esta hipótesis inversa sólo se cumple cuando la inflación está por debajo de cierto nivel.
En la gráfica 2 se observa que cuando aumenta la tasa de interés nominal en México se tiene un efecto inflacionario que dura cuatro meses, ello parece verificar parcialmente el efecto Fisher. Sin embargo, no se verifica en la economía de EU, ya que, como se ve en la gráfica 3, aumentos en la tasa nominal de interés de bonos públicos no producen incrementos en el nivel de precios.
La hipótesis de Fisher también establece que para que el dinero sea neutral en el largo plazo, se requiere que cambios inesperados en el nivel de precios signifiquen un cambio futuro en el mismo sentido y magnitud de la tasa nominal de interés. Nuevamente, se observa que las FGIR validan parcialmente la hipótesis de Fisher para la economía mexicana, sólo que ahora cuando se tiene un aumento inesperado en el nivel de precios, las tasas de interés nominales crecen durante los siguientes tres meses, pero cada vez menos. Como se observa en la gráfica 4, el efecto desaparece después del tercer mes. La economía de Estados Unidos (gráfica 5) muestra que a un aumento inesperado en el nivel de precios no le sigue un crecimiento en la tasa de interés nominal, lo que lleva a una disminución en la tasa de interés real, es decir, a modificar los precios relativos.
Las FGIR permiten analizar otras relaciones dinámicas de corto plazo, por ejemplo, si la inflación en ambos países tiene o no un carácter inercial. La gráfica 6 muestra que la inflación en México tiene un componente inercial, ya que cuando se produce un aumento inesperado en el nivel de precios se generan nuevos aumentos, cada vez menores, por los siguientes cuatro meses sobre los mismos.
Por su parte, Estados Unidos también presenta un componente inercial, debido a que un incremento inesperado en el nivel de precios conduce a nuevos aumentos, cada vez menores, durante dos meses, tal como se observa en la gráfica 7. Después se tienen varios meses en que el choque inicial no influye en el nivel de precios, sin embargo, a partir del mes 11 nuevamente el choque inicial original repercute en nuevos aumentos de precios.
Respecto al componente inercial en la tasa de interés nominal en ambas economías, la gráfica 8 muestra que la tasa de interés nominal en México tiene un componente inercial que dura dos meses. Ello significa que aumentos inesperados en la tasa de CETES a 28 días provocan incrementos sucesivos cada vez menores durante dos meses. En Estados Unidos (gráfica 9) existe un fuerte componente inercial con duración de 11 meses, es decir, una variación no anticipada en la tasa de interés de bonos del Tesoro repercutirá durante 11 meses sobre la tasa de interés nominal de los mismos, por medio de variaciones en el mismo sentido.
Contrario a lo esperado, una variación no anticipada en el nivel de precios de Estados Unidos produce un impacto de signo contrario en el nivel de precios de México, con rezago de siete a nueve meses (gráfica 10). Ello puede deberse a que los bienes que México importa de Estados Unidos son, en su mayoría, insumos de la industria manufacturera de exportación, por lo que aumentos inesperados en el nivel de precios de EU no significan aumentos en el nivel de precios de México. Por otro lado, variaciones no anticipadas en el nivel de precios de EU no tienen impacto alguno sobre la tasa de interés nominal de México (véase la gráfica 11).
Análogamente, cambios no anticipados en la tasa de interés de bonos del Tesoro no afectan el nivel de precios de México (gráfica 12); sin embargo, estos shocks sí influyen en la tasa de interés de CETES a 28 días como lo muestra la gráfica 13. El aumento de la tasa de interés nominal de Estados Unidos repercute durante dos meses con aumentos en la tasa de interés nominal en México, y viceversa si en Estados Unidos se presenta una disminución no anticipada de la tasa de interés nominal.
Descomposición de la varianza
Las descomposiciones de varianza permiten conocer, para diferentes horizontes de tiempo, qué porcentaje de la variación en una variable está explicada por modifi caciones no anticipadas en otra. A diferencia de las FGIR, en las descomposiciones de varianza el resultado depende del orden de las ecuaciones en el modelo. En este trabajo se siguió un orden arbitrario, aunque de cierta manera inspirado en Litterman (1980), quien en su tesis doctoral propuso ordenar las variables de la más exógena a la menos exógena.
En el apartado anterior se encontró que el nivel de precios de México responde durante los primeros cuatro meses en el mismo sentido ante cambios inesperados en la tasa de interés nominal. La descomposición de la varianza (cuadro 3) de esta variable muestra que la variación en el nivel de precios se explica en 15.08 %, 23.77%, 28.35% y 32.85% durante cada uno de esos cuatro meses por las variaciones de la tasa de interés nominal, lo que verifica parcialmente la hipótesis de Fisher en la economía mexicana. Respecto a la tasa de interés nominal en México, el impacto es menor a 2% en cada uno de estos meses. Por otro lado, más de 50% de la inflación en México se debe a su componente inercial durante los cuatro meses posteriores a la ocurrencia del shock de precios.
Finalmente, en el cuadro 4 se muestran que las variaciones en la tasa de interés nominal de México, CETES a 28 días, se explican en casi 8% por cambios no an ticipados en la tasa de interés nominal de Estados Unidos, durante los dos meses posteriores. Análogamente, en EU más de 80% de la variación en la tasa de interés nominal se explica por variaciones no anticipadas en la propia tasa de interés nominal. Después de la variación inesperada en el nivel de precios de EU, los precios en México responden de siete a nueve meses después con un cambio de signo contrario entre 15% y 20%. Como las FGIR mostraron que la hipótesis de Fisher no se verifica en la economía de EU, no es necesario analizar la descomposición de la varianza de las demás variables.
El modelo VEC
La modelación VEC, propuesta inicialmente por Sims (1980), requiere incorporar series cointegradas, ello significa que sean no estacionarias, integradas del mismo orden y que compartan relaciones de largo plazo. En la prueba de cointegración de Johansen antes realizada se mostró que éste es el caso de las series consideradas aquí, por lo que el modelo VEC (p) queda expresado de la forma siguiente:

(4)
Nótese que a pesar de que en el VEC se incorporan series no estacionarias, el modelo se mueve en espacio estacionario, ya que todos los términos del lado derecho de (4), es decir ΔYt,ΔYt-1ΔYt-2,Δt-(p-1)son estacionarios por diferenciación, el término BXt es estacionario por cointegración, mientras que los residuales son estacionarios al ser ruido blanco. El número de rezagos en el modelo VEC no afecta el número de relaciones de cointegración, ya que el número de rezagos incluidos en el modelo sólo tiene que ver con la dinámica a corto plazo y no con las relaciones de largo plazo. Así cada modelo VEC propuesto sólo variará en el número de rezagos que se consideren en la dinámica de corto plazo, pero cada ecuación incluirá la relación de largo plazo identificada. De manera similar al modelo VAR (p), en donde se estudió la relación dinámica de corto plazo, se ha considerado que 11 es un número apropiado de rezagos que permite capturar la dinámica de la economía sin consumir los grados de libertad.
Nótese que como todas las raíces caen dentro del círculo unitario, entonces se satisfacen las condiciones suficientes de estabilidad y estacionariedad.
Relación dinámica de largo plazo entre las variables
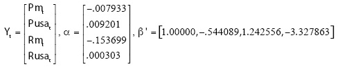
La ecuación relevante para efectos de este trabajo es la ecuación de cointegración normalizada para el nivel de precios en México. Esta relación de equilibrio de largo plazo no varía, aunque se modifique el orden p del modelo VEC (p). Dicha relación de largo plazo es:
Como se puede apreciar, todos los coeficientes de la ecuación de cointegración resultan ser estadísticamente significativos. Así, la ecuación de cointegración o ecuación de relación de largo plazo queda expresada como:
Pmt-1.678717 - 1.242556Rmt + .544089Pusat + 3.327863Rusat = 0
(5)
Equivalentemente,
Pmt =1.678717 + 1.242556Rm,-.544089Pusat -3.327863Rusat
(6)
En el largo plazo se observa que un aumento en la tasa de interés nominal de México provoca un aumento en el nivel de precios de México, lo que es consistente con la hipótesis de Fisher. Cuando se presentan shocks no anticipados en alguna de estas variables, la relación de equilibrio de largo plazo se ve alterada, por lo que la igualdad a cero en la ecuación (5) no se verifica, en consecuencia se requiere incorporar en el modelo coeficientes de ajuste, dados por la matriz a. En el siguiente cuadro se presentan los valores de dicha matriz.
Por tanto, el vector Yt y las matrices α y β respectivamente son

(7)
Pruebas de causalidad de Granger
Una de las aplicaciones más importantes de la metodología VAR y VEC es la posibilidad de realizar pruebas de causalidad de Granger. Una variable causa en el sentido de Granger a otra cuando sus rezagos son estadísticamente significativos para explicar los valores de otra variable, lo que significa que una variable tiene poder de predicción sobre los valores futuros de otra. Las pruebas de causalidad de Granger se realizaron para el modelo VEC, ya que incorpora tanto las relaciones de largo plazo como la dinámica de corto plazo. En esta prueba, la hipótesis nula es que los rezagos no tienen poder de predicción sobre los valores de la variable en cuestión.
Por otra parte, las pruebas de exogenidad de bloque indican si una variable es causada o explicada por los rezagos de todas las demás. Aquí, la hipótesis nula es que los coeficientes de todos los rezagos de todas las demás variables son simultáneamente cero, y la hipótesis alternativa, que al menos uno no es cero. Los resultados correspondientes se presentan en el cuadro 7.
Los principales resultados de estas pruebas son: la tasa de interés nominal de México (Rm) causa en el sentido de Granger al nivel de precios de México (Pm), lo que es consistente con la hipótesis de Fisher; el nivel de precios de México causa en el sentido de Granger a la tasa de interés nominal de México, lo que también es consistente con la hipótesis de Fisher. Por tanto, las variables nivel de precios y tasa de interés nominal de México son endógenas en este modelo. Por otro lado, la tasa de interés nominal de EU no causa en el sentido de Granger a la tasa de interés nominal de México, a un nivel de significancia de 5%. Sin embargo, existe la causalidad si se considera un nivel de significancia de 10%. El nivel de precios de Estados Unidos (Pusa) no causa en el sentido de Granger al nivel de precios de México (Pm). La tasa de interés nominal de Estados Unidos (Rusa) no causa en el sentido de Granger al nivel de precios de EU (Pusa), así como tampoco el nivel de precios de EU causa en el sentido de Granger a la tasa de interés nominal de Estados Unidos. Todo lo anterior lleva a establecer que en la economía de EU no se verifica la hipótesis de Fisher.
Respecto al nivel de precios de Estados Unidos, ninguno de los rezagos de las otras tres variables, Pm, Rm, y Rusa, tiene poder de predicción sobre éstos, por lo que se considera que esta variable es débilmente exógena. Análogamente, la tasa de interés nominal de EU no puede ser explicada por ninguno de los rezagos de las otras tres variables, Pm, Rm, y Pusa, por tanto se considera que esta variable es débilmente exógena. En consecuencia, no es conveniente que el nivel de precios y la tasa de interés nominal de Estados Unidos entren en las funciones de respuesta al impulso (FIR), ni en las funciones generalizadas de respuesta al impulso (FGIR), ni en las descomposiciones de varianza. Debido a lo anterior, este reporte sólo es un avance parcial de investigación, ya que con estos nuevos hallazgos se tendrían resultados más robustos estimando nuevamente las FIGR y las descomposiciones de varianza, excluyendo las variables débilmente exógenas.
Conclusiones
En el presente análisis se mostró que la hipótesis de Fisher se verifica parcialmente para la economía mexicana en el periodo de estudio, ya que un aumento en la tasa nominal de interés provoca un incremento en el nivel de precios. Sin embargo, el efecto es temporal y parcial, es decir, no es en la magnitud que predice la teoría monetaria de Fisher. La inflación de México tiene un fuerte componente inercial que dura cuatro meses y explica casi 80% de las variaciones en el nivel de precios. Por otro lado, la hipótesis de Fisher no se verifica en la economía de Estados Unidos en el periodo de estudio, lo que significa que una variación inesperada en la tasa nominal de interés no se ve compensada por un aumento proporcional en el nivel de precios, de manera que la tasa real de interés se mantenga constante. Esto lleva a que variaciones en la tasa nominal de interés impliquen cambios en la estructura de precios relativos, pues modifica la tasa real de interés y que esta variación tenga por tanto efectos redistributivos.
A estos resultados se llegó con la metodología VAR y VEC para la modelación multivariada de series de tiempo y análisis empírico. Con esto queda en evidencia que los modelos VAR y VEC no sólo pueden utilizarse con fines de pronóstico, sino que también son una herramienta muy útil para analizar la relación dinámica entre las variables económicas.
Respecto a futuros desarrollos, queda pendiente un análisis similar incluyendo a diversos países, por ejemplo Canadá, para verificar la dinámica de la tasa de interés dentro del marco del Tratado de Libre Comercio de América del Norte, o un bloque de países de América Latina para realizar el análisis por medio de datos panel. Sin duda, la agenda pendiente deberá seguir este camino.
Bibliografía
Arguedas, C., "Las tasas de interés en moneda nacional y la inflación: una revisión de la hipótesis de Fisher para Bolivia", Working Paper, Banco Central de Bolivia, 2003. [ Links ]
Bajo, O., y V., Esteve, "¿Existe un Efecto Fisher en el Largo Plazo? Evidencia para la Economía Española, 1962-1996", Revista Española de Economía, 15 (2), 1998, pp. 149-166. [ Links ]
Bansal, Ravi e Ivan Shaliastovich, "Risk and Return on Bond, Currency and Equity Markets: A Unified Approach", Working Paper, Duke University, 2007. [ Links ]
Bonham, C. S., "Correct Cointegration Tests of the long-run Relationship between Nominal Interest and Inflation", Applied Economics, 23, 1991, pp. 1487-1492. [ Links ]
Brennan, M., A., Wang y Y. Xia, "Estimation and Test of a Simple Model of Intertemporal Capital Asset Pricing", Journal of Finance, 59, 2004, pp. 1743-1775. [ Links ]
Bureau of Labour Statistics, 7-XII-2006: http://data.bls.gov/PDQ/servlet/SurveyOutputServlet.
Carmichael, J. y P Stebbing, "Fisher's Paradox and the Theory of Interest", The American Economic Review, 73 (4), septiembre, 1983. [ Links ]
Choi, W. G., "The Inverted Fisher Hypothesis: Inflation Forecastability and Asset Substitution", IMF Staff Papers, vol. 49, núm. 2, 2002. [ Links ]
Crowder, W. J., "The Long-run Fisher Relation in Canada", Canadian Journal of Economics, 30, 1997, pp. 1124-1142. [ Links ]
Cuevas, V. M., "Tipo de Cambio, Política Monetaria y Fluctuaciones Macroeconómicas en Brasil y México: un enfoque dinámico comparativo", 2007, inédito. [ Links ]
Fama, E., "Short-term Interest Rates as Predictors of Inflation", American Economic Review, 65, 1975, pp. 269-282. [ Links ]
Federal Reserve Bank, 7-XII-2006: www.federalreserve.gov/datadownload.
Fisher, I., "The Theory of Interest", Nueva York, Macmillan, 1930. [ Links ]
Granger, C. W. J. y P. Newbold, "Spurious Regression in Econometrics", Journal of Econometrics, 2, 1974, pp. 111-120. [ Links ]
Halliassos, M. y J. Tobin, "The Macroeconomics of Government Finance", en B. M. Friedman y F. Hahn (eds.), Handbook of Monetary Economics, vol. 2. Amsterdam: North-Holland, 1990, pp. 889-959. [ Links ]
Hamilton, J., "Time Series Analysis", Princeton University Press, 1994. [ Links ]
INEGI, 7-XII-2006: http://dgcnesyp.inegi.gob.mx/cgiwin/bdieintsi.exe/Consultar.
Koustas, Z. y A. Serletis, "On the Fisher Effect", Journal of Monetary Economics, 44 (1), agosto de 1999. [ Links ]
Lanne, M., "Near unit root and the relationship between inflation and interest rates: a reexamination of the Fisher effect", Empirical Economics, 26 (2), 2001. [ Links ]
Lettau, M. y J., Wachter, "Why is Long-horizon Equity less Risky? A Duration-based Explanation of the Value Premium", Journal of Finance, 62, 2007, pp. 55-92. [ Links ]
Litterman, R. B., "Techniques for Forecasting with Vector Autoregressions", Ph. D. Thesis & Dissertation. University of Minnesota, 1980. [ Links ]
Lustig, H., S., Van Nieuwerburgh, y A., Verdelhan, "The Wealth-Consumption Ratio", Working Paper, Boston University, New York University y UCLA, 2008. [ Links ]
Malliaropulos, D., "A Note on Nonstationarity, Structural Breaks, and the Fisher Effect", Journal of Banking and Finance, vol. 24, núm. 5, 2000. [ Links ]
McDonald, R. y P. D., Murphy, "Testing for the long Run Relationship Between Nominal Interest Rates and Inflation Using Cointegration Techniques", Applied Economics, 21, 1989, pp. 439-447. [ Links ]
Mishkin, F. S., "Is the Fisher Effect for Real? A Re-examination of the Relationship between Inflation and Interest Rates", Journal of Monetary Economics, 30, 1992, pp. 195-215. [ Links ]
Moazzami, B., "The Fisher Equation Controversy Re-examined", Applied Financial Economics, 1, 1991, pp. 129-133. [ Links ]
Patterson, K., "An Introduction to Applied Econometrics: a time series approach", Londres, Macmillan, 2000. [ Links ]
Peláez, R. F., "The Fisher Effect: Reprise", Journal of Macroeconomics, 17, 1995, pp. 333-346. [ Links ]
Peng, Wensheng, "The Fisher Hypothesis and Inflation Persistence-Evidence from Five Major Industrial Countries", IMF Working Paper, wp/95/118, noviembre de 1995. [ Links ]
Pesaran, M. y Y. Shin, "Impulse Response Analysis in Linear Multivariate Models", Economic Letters, 58, 1998, pp. 165-193. [ Links ]
Rose, A. K., "Is the Real Interest Rate Stable?", Journal ofFinance, 43, 1988, pp. 1095-1112. [ Links ]
Sims, C., "Macroeconomic and Reality", Eco-nometrica, 48 (1), 1980, pp. 1-48. [ Links ]













