Servicios Personalizados
Revista
Articulo
Indicadores
-
Citado por SciELO -
Accesos
Links relacionados
-
Similares en
SciELO
Compartir
Problemas del desarrollo
versión impresa ISSN 0301-7036
Prob. Des vol.38 no.150 Ciudad de México jul./sep. 2007
Artículos
"Marcas" o "monopolio del conocimiento": la naturaleza del trabajo en la nueva economía
Jesús Lechuga Montenegro* y Jorge Bustamante Torres**
* Profesor-investigador del Departamento de Economía de la Universidad Autónoma Metropolitana-Azcapotzalco. Correo electrónico: jlmo@correo.azc.uam.mx
** Egresado de la Universidad Autónoma Metropolitana-Azcapotzalco en la licenciatura en Economía y becario de la Maestría en Economía en la Universidad Nacional Autónoma de México, Acatlán. Correo electrónico: alonsobt@yahoo.com.mx
Fecha de recepción: 24 de enero de 2007.
Fecha de aceptación: 31 de mayo de 2007.
Resumen
El propósito de este estudio es analizar, desde ¡a perspectiva de ¡a teoría objetiva del valor, cómo el predominio del trabajo complejo entendido como conocimiento genera monopolios. Dicho conocimiento permite a las empresas realizar innovaciones que se manifiestan en forma de derechos de propiedad (intangibles) que permiten concentrar un mayor segmento de mercado. También se explica por qué las marcas y los derechos de propiedad son puntos clave en la diferenciación del producto (know how) en estructuras monopólicas, reafirmando que en el proceso productivo actual el conocimiento conforma una fuente de poder en la valorización del capital, en un marco en donde de manera relevante el trabajo físico (simple) tiene una menor ponderación que el trabajo intelectual (complejo). Además profundiza en las características particulares de los intangibles en términos de valor.
Palabras clave: intangibles, trabajo complejo, trabajo productivo, derechos de propiedad, diferenciación del producto.
Abstract
This study aims to analyze, from a perspective of objective value theory, how the predominance of complex work understood as knowledge generates monopolies. This knowledge enables the company to realize innovations that are manifested in the form of property rights (intangibles) that make it possible to concentrate a major segment of the market. It also explains why brands and property rights are the key points in product differentiation (know-how) in monopolistic structures, reaffirming that in the present production process knowledge represents a source of power in the valorization of capital, within a framework where physical (simple) labor has a significantly lower weighting than intellectual (complex) labor. It also deepens the particular characteristics of intangibles in terms of value.
Key words: intangibles, complex labor, productive labor, property rights, product differentiation.
Résumé
Le but de cette étude est d'analyser, sous l'angle de la théorie objective de la valeur, comment laprédominance du travail complexe - entendu comme connaissance - génère des monopoles. La dite connaissancepermet aux entreprises de réaliser des innovations qui se concrétisent sous forme de droits depropriété (inviolables), lesquellespermettent de concentrer une plus grande part du marché. Cela explique aussi pourquoi les marques et les droits de propriété déterminent la différence du produit (know how) de structures monopolistiques, confirmant que dans le processus productif actuel, où le travail physique (simple) a un poids considérablement plus faible que le travail intellectuel (complexe), la connaissance constitue une source depouvoir de valorisation du capital. En outre, on approfondira les caractéristiques particulières en termes de valeur des droits inviolables.
Mots clés: inviolables, travail complexe, travail productif, droits de propriété, différenciation du produit.
Resumo
O propósito deste estudo é analisar, da perspectiva da teoria objetiva do valor, como o predominio do trabalho complexo entendido como conhecimento gera monopólios. Esse conhecimento permite que as empresas realizem inovações que se manifestam em forma de direitos de propriedade (intangíveis) que permitem concentrar um maior segmento de mercado. Também se explica por que as marcas e os direitos de propriedade sao pontos clave na diferenciação do produto (know how) em estruturas monopólicas, reafirmando que no processo produtivo atual o conhecimento conforma uma fonte de poder na valorização do capital, num contexto no qual de maneira relevante o trabalho físico (simples) tem uma menor ponderação que o trabalho intelectual (complexo). Além disso aprofunda nas características particulares dos intangíveis em termos de valor.
Palavras chave: Intangíveis, Trabalho complexo, Trabalho produtivo, Direitos de propriedade, Diferenciação do produto.
Introducción
En la Era Industrial, caracterizada por los rendimientos a escala, el trabajo requerido para la producción tendía a ser cada vez más especializado, pues a mayor producción se reducen costos, lo que a su vez destaca el trabajo físico en la medida en que el trabajador prácticamente se mimetiza con la maquinaria en la línea de producción.1 El paso a la Era de la Información ha hecho que en la actual forma de producción predomine el trabajo que genera conocimiento; el trabajo intelectual, con base en la revolución digital, significa construir una nueva base material del capitalismo.
Hoy día el valor de las empresas está cada vez menos relacionado directamente con el aumento de la producción; por el contrario, está más enfocado a un mercado cautivo que responde a la lealtad del consumidor al producto, a la historia de la empresa, a un símbolo o un eslogan y, lo más importante, a un derecho de propiedad.2
Lo relevante en estas nuevas condiciones económicas es determinar cómo el conocimiento y la diferenciación del producto (know how) se han convertido en clave para la monopolización de un mercado. De aquí que en el presente texto se realice un análisis del trabajo que participa en la valorización del capital encarnado en el conocimiento y en donde se trata de explicar por qué situaciones intangibles como marcas y derechos de propiedad son determinantes desde la perspectiva del trabajo que los creó. Para tal fin es conveniente precisar ciertas categorías debido al predominio del trabajo intelectual sobre el físico; por ejemplo, el trabajo que realiza un abogado, un ingeniero, un administrador, un diseñador, un cantante, etcétera, no necesariamente se materializa en algo físico y, sin embargo, es considerado como productivo. El enfoque aquí utilizado es el de la teoría objetiva del valor correspondiente a la teoría marxista. Así, en la primera parte conceptual se retoman las categorías necesarias para discutir el actual alcance del trabajo complejo, el cual es determinante en el funcionamiento del sistema productivo moderno, a fin de hacer una reinterpretación de la función del sector servicios en el proceso de acumulación y del concepto de trabajo productivo. En la segunda, se aborda el tema del conocimiento como base de los monopolios en la nueva economía, centrando el análisis en la creación de intangibles por el trabajo complejo, y se resaltan las implicaciones de la combinación de conocimiento y capital en un nuevo paradigma de producción en donde los derechos de propiedad se vuelven fundamentales.3
Hacia una nueva concepción del trabajo productivo: servicios, intangibilidad y trabajo complejo
Hay muchas discusiones acerca del concepto de trabajo productivo, pero no existe un acuerdo de lo que debe ser considerado como tal, además dicha cuestión se complica cuando se hace referencia a los servicios; sin embargo, los servicios y el trabajo complejo son determinantes en la actual competencia capitalista. Al respecto, aquí se exponen algunas ideas a fin de responder las siguientes interrogantes: ¿de cuáles servicios se trata? y ¿en qué circunstancias dichos servicios pueden ser considerados como resultado de un trabajo productivo? Para ello es necesario remitirnos al análisis de categorías como mercancía, valor y valor de uso, trabajo concreto y abstracto, trabajo simple y complejo, trabajo útil y productivo, intangibilidad y servicios.
Mercancía e intangibilidad. La naturaleza de los servicios
Desde el punto de vista de la teoría marxista, el valor representa el quantum o magnitud de trabajo objetivado en la mercancía: es el tiempo de trabajo que la mercancía requiere para su producción. El valor en la mercancía es generado sólo por el trabajo humano incorporado en ella, aunque no basta con que sólo dicha mercancía contenga trabajo, pues debe ser útil y su magnitud de valor estará dada por el tiempo de trabajo socialmente necesario para su producción, 4 de aquí que el análisis de la mercancía sea obligado en tanto que es el continente por excelencia del valor.
La mercancía en sí es un valor de uso y un valor, además de que el objetivo último del bien es haber sido creado para la venta; es un valor de uso, pues "es, en primer lugar, un objeto exterior, una cosa que, merced a sus propiedades, satisface necesidades humanas del tipo que fueran. La naturaleza de esas necesidades en que se originen, por ejemplo, en el estómago o en la fantasía en nada modifica el problema".5 La utilidad es el soporte material del valor, pues una mercancía es producida por excelencia para el tráfico, y si no es útil, no podrá realizar su valor, ya que nadie tendrá interés en adquirirla; es un valor porque contiene una cantidad de tiempo de trabajo objetivado en ella y, de manera más precisa, porque contiene una cantidad (quantum) de trabajo socialmente necesario. Es el valor social medio incorporado en una mercancía individual.
De lo anterior podemos derivar que todas las mercancías son un valor de uso, pero no todos los valores de uso son mercancías.6 En suma, la característica de una mercancía es que posee ambas propiedades valor de uso y valor y cualquier bien que carezca de alguna de ellas nunca adquiere tal condición. Sin embargo, este carácter bifacético de la mercancía surge de una dualidad del trabajo relacionada con los conceptos de trabajo concreto y abstracto.
El trabajo concreto crea el valor de uso de la mercancía; es decir, en los términos más simples un zapatero hace zapatos, el carpintero hace mesas, el panadero hace pan. El trabajo concreto se plasma en objetos específicos cualitativamente distintos un coche, una joya, una soda, etcétera, independientemente del trabajo objetivado en cada uno de ellos. En cambio, el valor se sustenta en el trabajo abstracto. En palabras de Marx, "todo trabajo es, por un lado, gasto de fuerza humana de trabajo en un sentido fisiológico, y es en esta condición de trabajo humano igual, o de trabajo abstractamente humano, como constituye el valor de la mercan-cía".7 Este trabajo abstracto con un grado técnico medio hace referencia a la cantidad o magnitud de valor contenido en la mercancía, la cual contendrá más valor cuando se objetive en ella una mayor cantidad de trabajo humano abstracto y menos en el caso contrario. Esta característica cuantitativa determina las proporciones del intercambio entre dos mercancías cualitativamente distintas, pues lo que guardan en común, abstrayendo su carácter útil es decir, el de ser valor de uso, es el valor o forma de expresión del trabajo humano.
Intangibilidad versus materialidad de las mercancías
Para nuestros propósitos es necesario un análisis de la intangibilidad de la mercancía para explicitar las características que ella puede poseer. Por un momento hagamos abstracción del valor para examinar la especificidad del valor de uso. Marx no acota el valor de uso las propiedades naturales de la mercancía a determinadas características.8 Por ende, el análisis de este concepto no está restringido sólo a cosas captables por los sentidos, pues podemos clasificar los distintos valores de uso como valores tangibles (materiales) duraderos o de consumo instantáneo, pero también intangibles. Por ejemplo:
i) Un individuo en un restaurante pide cualquier menú para satisfacer su apetito. El objeto de consumo se puede palpar, olfatear, visualizar y saborear; por medio de los sentidos se verifica la materialidad o corporeidad de la mercancía. Es un consumo a totalidad, es una mercancía de consumo inmediato.
ii) Un auto puede visualizarse, tocarse, y se puede cerciorar su existencia mediante los sentidos (materialidad o corporeidad) al igual que en el caso anterior. Sin embargo, no es una mercancía que perece en el instante de la compra.
En la línea del mismo razonamiento, se puede hacer una segunda clasificación de los valores de uso en donde éstos pueden ser intangibles duraderos y de consumo inmediato, por ejemplo:
iii) En un disco de música puede reproducirse una melodía mediante un aparato adecuado y escucharse repetidamente; además puede comprobarse la existencia de la música con el sentido auditivo, pero sólo mediante la reproducción en un aparato ad hoc, pues no se puede palpar la melodía, olfatearla y menos visualizarla.9 Sin embargo, esta mercancía no perece en el instante en que se consume. Por tanto, es un valor de uso intangible de consumo duradero, al igual que el auto.
iv) ¿Qué sucede si una mercancía es energía contenida en una pila alcalina? Aquí la mercancía no es en sí la pila, pues lo que le da valor a dicho recipiente es la cantidad de energía que contiene, la cual no se puede palpar, olfatear o visualizar y, sin embargo, no se cuestiona su existencia. En este caso la energía específica es un valor de uso intangible de consumo inmediato e irreproducible.
Los servicios
De acuerdo con lo antes planteado consideremos la siguiente cuestión no trivial: ¿el trabajo que realiza un peluquero, un médico, un abogado, no es un valor de uso? La respuesta inmediata es que su trabajo es útil, pero no se materializa en ninguna mercancía. La materialidad de dicho trabajo se obtiene mediante un resultado: el peluquero vende su habilidad para realizar cortes de pelo y el desenlace se traduce en un trabajo manual, el cual perdura un determinado tiempo; el médico vende su habilidad para tratar enfermedades y la conclusión de su trabajo es la mejora en la salud del paciente; el abogado vende su capacidad para solucionar determinados conflictos cuyo resultado es la solución del litigio.
En esta explicación, el resultado en sí es un valor de uso. El que un paciente sane, un nuevo corte de pelo y que una persona gane un litigio es consecuencia del trabajo del especialista en cuestión, sea abogado, estilista, médico, psicólogo, profesor, etcétera. El trabajo de cada uno de ellos es en sí mismo la mercancía. No puede argumentarse lo contrario por el hecho de que no tenga condiciones para almacenarlo, pues se adquiere para un fin específico por un tiempo determinado, y el resultado de este trabajo puede o no perdurar. Hay quien diga que dicho trabajo no queda contenido en algún objeto que después pueda intercambiarse, pues se consume a cada instante y al final sólo queda su resultado pero sin ninguna señal del valor. En términos generales nos remitimos al concepto de mercancía, pues este tipo de trabajo se plasma en un servicio que cae dentro de dicha categoría, ya que posee tanto valor como valor de uso. Por tanto ¿qué diferencia radical habría entre el trabajo de un zapatero y el de un abogado? El primero produce un bien concreto y el segundo un resultado, llámese adopción, intestado, divorcio, etcétera. Sin embargo, los zapatos contienen tanto valor de uso y valor, y pueden ser intercambiados por otros bienes de igual magnitud de valor. En el caso del abogado el resultado sólo refleja el valor de uso que su trabajo produce, pero no puede ser intercambiado por otro de igual valor, pues al momento de comprar o contratar el servicio ahí mismo inicia su consumo y al llegar el resultado esperado finaliza el mismo, pues no puede intercambiarse o venderse un divorcio. De lo anterior se deriva el esquema siguiente:
i) Trabajo
Trabajo del zapatero: Proceso de trabajo producto Zapatos (valor y valor de uso)
Trabajo del abogado: Proceso de trabajo (se consume el valor) Resultado: Divorcio (valor de uso)
ii) Consumo
• Duración del consumo del trabajo del zapatero: es la vida útil del producto.
• Duración del consumo del trabajo del abogado: es el lapso entre la contratación de los servicios y la consecución o resultado de su trabajo.10
Podemos observar que en el primer caso el consumo inicia con el resultado del trabajo (el par de zapatos); y en el caso del abogado el consumo comienza en el mismo instante en que presta sus servicios y termina con el resultado de su trabajo. Así, una mercancía cualquiera contiene valor, como que cualquier servicio contratado es en sí mismo un valor. Reafirma dicho planteamiento el que tanto el productor de un bien concreto como el prestador del servicio reciben un pago por la venta de los productos de su trabajo. En este sentido, que una mercancía contenga valor es indiferente de sus propiedades físicas tangibles o intangibles.
Por otro lado, en última instancia dichos bienes son intercambiados por dinero, que es la representación social del valor, lo que da lugar a la realización de dichas mercancías y servicios, así como a la reproducción de la fuerza de trabajo que las crea. En otras palabras, la forma M-D-M explica de manera detallada cómo se reproduce este tipo de trabajo, lo cual es factible en la medida en que las mercancías o servicios contienen valor. Por ejemplo, el médico tiene capacidad y habilidad, en general fuerza de trabajo especializada, la cual es la mercancía con la que cuenta (M primera fase); al vender dicha capacidad obtiene el equivalente de su trabajo en forma dineraria (D) y con ello adquiere los medios necesarios para reproducir su fuerza de trabajo (M). De lo anterior puede observarse claramente que tanto el trabajo que crea mercancías como el que realiza un servicio finalmente se representan en su forma dineraria, permitido por la única razón de ser valores producidos por el trabajo humano, independiente de la forma física que revistan.
La confusión radica en que los resultados de cada tipo de trabajo son distintos en el sentido anteriormente expuesto: el resultado del servicio sólo conserva el valor de uso y no se puede vender ni intercambiar,11 empero el resultado del trabajo plasmado en un bien que conserva tanto el valor como el valor de uso se puede vender o intercambiar por algún otro objeto de igual valor.
Analogías y diferencias entre el trabajo independiente que genera mercancías y servicios, y el trabajo asalariado
Los aspectos referentes a creación de valor y servicios se pueden aclarar mediante su comparación con el trabajo asalariado. Para ello primero cabe clasificar lo que llamaremos trabajo independiente que genera mercancías (TIGM) en condiciones no capitalistas en la forma m-d-m, por ejemplo el trabajo del sastre, carpintero, herrero, etcétera; también llamaremos trabajo independiente que genera servicios (TIGS) en condiciones no capitalistas en la forma Servicios-Dinero-Mercancías (S-D-M), por ejemplo el trabajo del abogado, contador, estilista, profesor, etcétera. Respecto del trabajo asalariado, la característica fundamental de la clase obrera es la no posesión de los medios de producción, por lo que la única posibilidad para su reproducción es vender su fuerza de trabajo por un pago salarial.
El trabajador asalariado, al igual que el TIGM, genera valor materializado en las mercancías creadas, y la diferencia radica en la propiedad de las mismas. El TIGM obtiene sus ingresos con la venta de los productos de su propiedad y el asalariado con la venta de su fuerza de trabajo. Otra cuestión importante es la forma y el momento cuando se consume la mercancía que se vende: en el caso del TIGM, el producto es consumido por el adquirente; en el caso del trabajador asalariado, la mercancía fuerza de trabajo es consumida por el capitalista en el proceso de producción. Así, la diferencia con estas mercancías es que la del TIGM es un objeto del cual deben desprenderse para realizar su valor; en el caso del asalariado, no puede desprenderse de su mercancía, pues es parte de su corporeidad.12
De otra parte, tanto el trabajador asalariado como el TIGM venden su fuerza de trabajo en el sentido de que ambos la poseen y a cambio reciben un pago: en el primer caso un salario y en el segundo un determinado ingreso por la venta de su producto, y la diferencia entre ellos radica en la propiedad de lo producido. El trabajador asalariado no es dueño de las mercancías que produce, en cambio el TIGM sí, pues no vende su fuerza de trabajo para reproducirse, vende el producto de su trabajo; sin embargo el trabajador asalariado vende su capacidad para valorizar al capital. De lo anterior podemos decir que la forma como el asalariado vende el ejercicio de su facultad creativa es equiparable a decir que presta sus servicios al capital; por ende, se puede establecer que la mercancía fuerza de trabajo es la prestación de un servicio, consistente en la capacidad para producir bienes y valorizar el capital.13
Aquí cabría una breve reflexión: ¿podríamos llamar servicio a la fuerza de trabajo en lugar de mercancía? Para contestar debemos considerar lo siguiente: el valor de uso de este servicio peculiar representa la capacidad para producir mercancías, valorizar al capital y generar un excedente, y el valor de ella es el salario que percibe;14 sin embargo, esta mercancía no se materializa en algo almacenable, pues reside en cada individuo. De lo anterior puede extenderse el razonamiento a comparar esta fuerza de trabajo con la del médico, estilista, abogado, etcétera; pues cada una de estas distintas capacidades, independientemente de que en una predomine una labor física y en otra una intelectual, proporcionan un servicio particular y son mercancías en tanto que poseen valor y valor de uso.
Así, hay la posibilidad de considerar la fuerza de trabajo como una mercancía y un servicio, pues se vende como una capacidad para producir: en la misma forma en que el abogado vende su capacidad para solucionar litigios, el médico lo hace con su capacidad para sanar, y el jardinero para podar el césped, entre otros.
Especificidades del concepto de trabajo. Las diferencias entre trabajo simple y trabajo complejo
En Marx "el valor de una mercancía representa trabajo humano puro y simple, gasto de trabajo humano en general [...] Éste es gasto de trabajo simple que, en término medio, todo hombre común posee en su organismo corporal [...] El carácter del trabajo medio simple varía, por cierto, según los diversos países y épocas culturales, pero está dado para una sociedad determinada".15 Y el trabajo complejo se define como trabajo simple potenciado.16 Para Marx la categoría de trabajo simple era fundamental para facilitar el análisis del capital productivo. Sin embargo, en la actualidad se hace necesario discutir a mayor profundidad el trabajo complejo en la medida en que los servicios ocupan un lugar privilegiado dentro de los ingresos de las empresas, así como otro tipo de intangibles también producto de un trabajo intelectual.
Tanto el trabajo simple como el complejo generan valor, la diferencia fundamental es el grado de calificación, destreza, conocimientos y habilidades. En definitiva vale más el trabajo del médico que el del zapatero, pues se trata de un especialista de la medicina en tanto que el zapatero mecanizó un procedimiento hasta perfeccionarlo.17 El trabajo complejo es el producto de un número considerable de horas de capacitación y estudio, es un trabajo físico e intelectual especializado con un gran valor, "es la manifestación de una fuerza de trabajo en la cual entran costos de adiestramiento superiores, cuya producción cuesta más trabajo, y que por ello posee un valor más elevado que la fuerza de trabajo simple".18 Esta diferencia se comprueba en el salario que recibe cada tipo de trabajo.
De lo anterior se desprende que ciertos servicios altamente especializados tengan un gran valor en general, pues son producto de un trabajo complejo, por lo cual hay diferencias en la expresión monetaria de los distintos tipos de servicios, debido a la complejidad que cada uno de ellos representa.
Cualidad del trabajo complejo
Cada producto tiene características específicas, particularidades que lo diferencian de sus sustitutos cercanos, peculiaridad que podemos llamar cualidad del trabajo complejo. Por ejemplo, un carpintero puede producir mesas con una mejor calidad que sus competidores, pues ha innovado o inclusive las realiza con una característica peculiar perceptible para el consumidor; su trabajo pasó de simple a complejo ya que emplea la misma cantidad de tiempo que los demás, el mismo tiempo de trabajo abstracto, y aunque dichas mesas salieran al mercado al mismo precio que las demás, se venderían más rápidamente, pues ha innovado. Aunque cada mesa haya sido producida en el mismo tiempo que el de sus competidores, contiene un trabajo intelectual adicional al físico, pues en ella resalta la habilidad e ingenio del productor, ya que "el valor de esa fuerza superior también se manifiesta empero en trabajo superior y objetiva en consecuencia, en idénticos lapsos, en valores relativamente superiores".19 Lo anterior revela que el know how es fundamental en el mercado: no sólo el hecho de producir más a menor costo, sino producir mejor al menor costo. La calidad es lo que importa para el mercado cuando se trata de sustitutos cercanos.
Esta cualidad del trabajo complejo es lo fundamental en cualquier esfera. Por ejemplo, un vendedor con habilidad natural para realizar su trabajo puede lograr ventas por encima de cualquier otro y lo hace más valioso, aunque no necesariamente se refleje en su salario. Sin embargo, el capital tiende a reconocer este tipo de talentos y los premia, pues son elementos funcionales para la valorización. El gerente o administrador que muestra habilidades para el manejo de la empresa o el abogado que es muy eficiente en los litigios, si bien tienen sustitutos, prestan una calidad de servicio diferente. La cuestión de fondo es una capacidad que es propia de un ser humano individual, es una cuestión subjetiva, un intangible que no puede ser copiado, una habilidad física o sensorial que le permite hacer las cosas mejor que otros. Es la genialidad o particularidad con que se hacen ciertas cosas y en términos de valor es muy difícil de percibir directamente, de ahí su condición de intangibilidad; esta cualidad del trabajo complejo es distinta (e inclusive única de un individuo) en actividades similares, lo que en muchas ocasiones hace una diferencia fundamental en el éxito del capital.
Trabajo Productivo. Un concepto siempre polémico
Sobre la discusión entre lo que debe ser trabajo productivo hay muchas posturas, tanto desde la perspectiva de la teoría objetiva del valor como desde la teoría subjetiva. Por ejemplo, desde los fundamentos de la economía, para Jean Baptiste Say todo trabajo capaz de generar alguna utilidad debía ser considerado productivo. Sostenía que "la producción no era creación de materia, sino creación de utilidad (entendida ésta) como la facultad que tienen las cosas de poder satisfacer las diferentes necesidades de los seres humanos. [...] Cuando un hombre vende a otro un producto cualquiera le vende la utilidad que hay en dicho producto; el comprador no lo compra más que debido a su utilidad [...]".20 Más adelante agrega:
[...] cualquiera que sea la operación a la que el trabajo se aplica, éste resulta productivo pues concurre a la creación de un producto. Así pues, el trabajo del sabio que hace experiencias y las consigna en libros es productivo, el trabajo del empresario, aunque no ponga inmediatamente manos a la obra, es productivo; en fin, el trabajo del peón, desde el jornalero que labra la tierra hasta el marinero que maneja un barco, es también productivo. Es raro que alguien se dedique a realizar un trabajo que no sea productivo, es decir, que no participe en los productos de una u otra industria.21
Para este autor el concepto de trabajo productivo se reducía a la idea de utilidad, por tanto todo trabajo útil sería un trabajo productivo. En la opinión de Mill al refutar a Say:
[...] es absolutamente cierto que todas esas clases de trabajo producen una utilidad; y el problema que nos ocupa no hubiera sido nunca tal problema, si la producción de utilidad bastara para satisfacer la idea común que la humanidad se ha formado del trabajo productivo. Producción y productivo son, bien entendidas, expresiones elípticas, que entrañan la idea de algo producido, pero ese algo, en sentido ordinario, lo concibo yo no como utilidad sino como riqueza. Trabajo productivo quiere decir trabajo que produce riqueza.22
Y la riqueza, para Mill, la constituyen los productos materiales. Y de acuerdo con este argumento, se encuentra la posición de Adam Smith: el trabajo productivo
[...] añade valor al objeto en que se emplea [...] se incorpora y realiza en algún objeto concreto o mercancía vendible, que dura algún tiempo tras la finalización del trabajo. En cierta forma es como una cantidad de trabajo almacenada y conservada para su empleo cuando se necesite para alguna ocasión. Posteriormente, este objeto, o lo que es lo mismo, el precio de tal objeto, puede poner en funcionamiento una cantidad de trabajo igual a la que originariamente lo produjo.23
Smith toma como ejemplo de esta clase de trabajo el que realizan los obreros de las manufacturas y lo contrasta con el trabajo de los sirvientes domésticos. Este tipo de trabajo, afirma,
[...] no añade valor a nada [...] no se incorpora ni realiza en ninguna mercancía vendible u objeto específico. Sus servicios perecen, por lo general, en el mismo instante de su ejecución, y raramente dejan tras ellos huella o valor alguno por los que se pueda conseguir, posteriormente, una misma cantidad de servicios.24
Es decir, el trabajo improductivo es el que genera servicios intangibles que no añaden valor de manera directa y que difícilmente pueden almacenarse. Por tanto, desde el punto de vista de Mill y Smith, el trabajo productivo es todo aquel que produce riqueza material y, por ende, los servicios al no producir ningún tipo de producto tangible son considerados trabajo improductivo. Sin embargo, la postura de McCulloch siguiendo el punto de vista utilitario de Say es la siguiente: toma como ejemplo el trabajo que realizan los músicos, los cantantes de ópera y, en general, todo tipo de artistas y afirma:
[...] la afición por los entretenimientos que todos ellos proporcionan tiene la misma influencia sobre la riqueza nacional que la afición por el tabaco, el champán y otros mercancías de lujo. Nosotros deseamos acudir a sus exhibiciones y, consecuentemente, tenemos que pagar el precio requerido [...] De aquí se sigue que los entretenimientos en cuestión [...] crean nuevas necesidades y, al hacerlo, incentivan nuestra industria para procurar la recompensa por tales servicios.25
De aquí que, al rebatir a Smith, establezca que todo lo que produzca utilidad es considerado como productivo.
Es claro el debate sobre el concepto de trabajo productivo y el debate implícito acerca de los servicios. Pero desde el punto de vista marxista, el problema no tiene nada que ver con una cuestión de materialidad, sino con una cuestión de funcionalidad al capital, es decir:
Trabajo productivo no es más que una expresión sucinta que designa la relación íntegra y el modo en que se presenta la capacidad de trabajo y el trabajo en el proceso capitalista de producción. Por consiguiente, si hablamos de trabajo productivo, hablamos pues de trabajo socialmente determinado, de trabajo que implica una relación netamente determinada entre el comprador y el vendedor de trabajo. El trabajo productivo se intercambia directamente por dinero en cuanto capital, esto es por dinero que en sí es capital, que está destinado a funcionar como capital y que como capital se contrapone a la capacidad de trabajo. Trabajo productivo, en consecuencia, es aquel que para el obrero reproduce solamente el valor previamente determinado de su capacidad de trabajo, mientras que en su condición de actividad generadora de valor valoriza al capital y en cuanto capital opone al obrero los valores creados por ella misma. La relación específica entre el trabajo objetivado y el trabajo vivo, relación que transforma al primero en capital, convierte al segundo en trabajo productivo.26
En otras palabras, "es productivo el trabajador que ejecuta un trabajo productivo, y es productivo el trabajo que genera directamente plusvalía, esto es, que valoriza al capital".27 Desde el punto de vista de Marx, la tangibilidad de los bienes nada tiene que ver con que el trabajo sea productivo o improductivo. En este sentido, tanto la afirmación de Say como las de Smith y Mill, respecto al concepto de trabajo productivo, carece de un fundamento adecuado, pues Marx argumenta:
Sólo la estrechez mental burguesa, que tiene la forma capitalista de la producción por la forma absoluta, y en consecuencia, por la única forma natural de la producción, puede confundir la cuestión de qué es trabajo productivo y trabajador productivo desde el punto de vista del capital, con la cuestión de qué es trabajo productivo en general, contentándose así con la respuesta tautológica de que es productivo todo trabajo que produce, en general, o que redunda en un producto, o en algún valor de uso cualquiera, resumiendo: en un resultado.28
Por tanto, el concepto de trabajo productivo remite a la idea de aquel que es funcional al capital, que por ende lo valoriza y genera un excedente; es el trabajo que genera plusvalía independientemente de que se utilice para producir mercancías o servicios, pues:
El proceso capitalista de producción no es meramente producción de mercancías. Es un proceso que absorbe trabajo impago, que torna a los medios de producción en medios para succionar trabajo impago [...] De lo que precede resulta que ser trabajo productivo es una determinación de aquel trabajo que en sí y para sí no tiene absolutamente nada que ver con el contenido determinado del trabajo, con su utilidad particular o el valor de uso peculiar en el que se manifiesta [.] Por ende un trabajo de idéntico contenido puede ser productivo e improductivo. 29
La convicción de productivo o improductivo de una misma clase de trabajo dependerá de la forma como se presente la actividad realizada. Por ejemplo, al hablar del trabajo que se manifiesta en la forma M-D-M O D-D', nos referimos a trabajo improductivo, pero en condiciones capitalistas (D-M-D') hablamos de trabajo productivo. Es conveniente especificar: en trabajadores independientes un sastre y un zapatero sus labores se presentan de la forma M-D-M y serían trabajos "improductivos" en la medida en que no valorizan ningún capital, sólo reproducen sus condiciones materiales mediante su trabajo; empero, si el sastre y el zapatero se emplearan en una fábrica a cambio de un salario, ambos trabajos serían productivos pues valorizan un capital al generar un excedente para su empleador. Ambos trabajadores venden su fuerza de trabajo al capital al entrar como insumos al proceso de producción, pero como un insumo especial que "crea valor" y genera plusvalía. Por tanto, esta relación se manifiesta como D-M-D' en donde el capital adquiere tanto fuerza de trabajo como medios de producción que generan una mercancía con un valor incrementado, cuya realización se traduce en un capital también incrementado. En el caso del capital dinerario hablamos de trabajo improductivo por excelencia, ya que no crea plusvalía, pues sólo la extrae del sector productivo, aunque su función es necesaria para impedir que se interrumpa el ciclo del capital. Por ende, aunque funcional para la reproducción del capital este tipo de trabajo es improductivo, ya que su objetivo es la ganancia por medio de la transferencia (o extracción) de plusvalía del sector productivo.
En el caso de los servicios (s), como ya hemos visto, también pueden ser considerados como productivos e improductivos, dependiendo de su situación concreta:
si se manifiesta como S-D-M, será improductivo; lo inverso ocurrirá si el resultado es D-S-D'. Por ejemplo, si un médico trabaja por su cuenta se encontrará bajo la primera forma, ya que mediante la prestación de sus servicios obtiene un ingreso con el cual puede adquirir los bienes para reproducir sus condiciones materiales de existencia; pero si se emplea en una clínica a cambio de un salario, el capital para el cual se empleó revestiría la forma D-S-D', pues obtiene una ganancia con el trabajo de los médicos contratados. Sin embargo, será trabajo o servicio productivo siempre y cuando en sí mismo sea el objeto de dicha producción, ya que si entra como un trabajo funcional sólo participa de una parte del plusvalor generado. Verbigracia, el vendedor de una empresa no genera plusvalía, sólo permite realizar el valor del producto, lo mismo que el abogado que ayuda en la cobranza; ambos trabajos aunque no son productivos son funcionales. El caso es distinto cuando el abogado se emplea para una consultoría jurídica y mediante su trabajo ésta obtiene una ganancia. El trabajo del abogado es en sí mismo el producto que vende la consultoría, o el del médico que se emplea para una clínica particular; estos tipos de trabajo son productivos en la medida en que son los productos (servicios) principales que vende la empresa y mediante los cuales valoriza su capital.
En el caso del capital dinerario el trabajo empleado no genera plusvalía, pues sólo es una labor que le permite apropiarse de una cantidad mayor de la plusvalía generada por el sector productivo. sin embargo, la existencia del capital dinerario no tiene nada que ver con que sea productivo, sino que su relación es funcional al capital.
Empresas del conocimiento: la producción de intangibles (marcas y derechos de propiedad)
Después de rescatar cuestiones conceptuales fundamentales para nuestros propósitos y luego de haber denotado que el trabajo complejo materializado en servicios genera valor, supeditado a que sea productivo o funcional, cabe ahora aplicar el razonamiento al análisis de las marcas y los derechos de propiedad.
En la actualidad la producción de conocimiento es fundamental para la competencia en todos los ámbitos. De acuerdo con Drucker, "el conocimiento se ha convertido en el recurso principal, así como en la fuente dominante y, quizá, única de la ventaja competitiva";30 argumento válido tanto para el conocimiento científico aplicado a la producción material como para el que se resuelve en la generación de ideas en sí mismo. sin embargo, es la propiedad de dicho conocimiento lo que permite a las empresas explotarlo, y la cuestión jurídica aquí se vuelve fundamental, pues sólo el que produce el conocimiento puede comerciar con él. Desde este punto de vista es como opera la empresa capitalista. Como establece Kelly, "la nueva economía negocia o comercializa entidades sutiles como información, relaciones, derechos de autor; espectáculos, valores o títulos, y derivados".31 La producción ya no es predominantemente estandarizada e idéntica, sino cada vez más diferenciada y dirigida a cubrir los gustos particulares del consumidor; y en algunos casos es el mismo consumidor quien decide las características del producto antes de adquirirlo.32 Los productos "geniales" y "únicos" son los que tienen un mayor mercado y aceptación por los usuarios: el teléfono celular pasó de ser un medio de comunicación a medio de entretenimiento en tiempo real y las empresas además de competir por prestar el mejor servicio compiten por la producción del mejor teléfono, el que tenga más cualidades, el multifuncional.33 Hoy día lo que importa en sí es lo cualitativo del producto o servicio, perdiendo importancia el precio.34 Por ejemplo, en la década de los ochenta "la gestión para la calidad total llegó a ser una de las características más extendidas de la gestión de empresas. Las firmas centraron la atención en la mejora continua para alcanzar la excelencia de los servicios. Los especialistas en calidad, como Joseph M. Juran y W. Edwards Deming, pensaban que para ser competitivos la calidad debe ser la base de todas las actividades de las empresas".35 En cambio, en la actualidad los derechos de propiedad son determinantes para las empresas (marcas o patentes), y son resultado de una genialidad de un trabajo complejo, el cual puede realizar un diseño, modelo, invención, eslogan, software, logotipo, procedimiento, innovación, etcétera, con características únicas. Lo determinante en última instancia es esa cualidad del trabajo complejo, habilidad o actitud específica e inclusive la imagen de cada persona. La empresa monopoliza la habilidad de cada trabajador para crear, vender, administrar, etcétera, y mediante un derecho de exclusividad puede explotar dicho trabajo, pues esta cualidad del trabajo complejo le otorga ventajas frente a sus competidores más cercanos e incluso le permite conservar una posición privilegiada en el mercado, ya que dicha capacidad individual introduce una diferencia determinante que hace que ciertas empresas sean más exitosas que otras. Así:
La innovación tecnológica demanda capacidad de adaptación del capital humano. Ya no es suficiente la obtenida antes de incorporarse al mundo laboral, es necesario el aprendizaje continuo: no sólo asimilar fundamentos técnicos, sino también la capacidad para crear, analizar y transformar información e interactuar de forma efectiva con los demás. Es el mantenimiento de la proximidad entre la creación de conocimiento, la investigación y su difusión, por medio de las más amplias modalidades de formación profesional, el que garantiza la necesaria adecuación de las empresas a las condiciones creadas por la nueva economía.36
Si bien las empresas tratan de generar ideas innovadoras que diferencien sus productos, en lo fundamental es el derecho de propiedad lo que les permite el uso exclusivo de tal o cual conocimiento y de tal o cual trabajo complejo. En general, en un sistema de fuerte protección jurídica ha sido ampliamente reconocido que "una patente acorazada o protección de derechos de autor, o donde la naturaleza del producto es tal que los secretos comerciales efectivamente niegan a los imitadores acceso al conocimiento relevante, el innovador está casi asegurado de transferir su innovación hacia un valor de mercado por algún periodo de tiempo".37 Y aún más enfáticamente, "una patente confiere, en teoría, perfecta apropiabilidad (monopolio de la invención) por un limitado tiempo a cambio de hacerlo público, lo que asegura, nuevamente en teoría, una amplia difusión de los beneficios cuando la patente expira".38
Los derechos de propiedad son los siguientes:
Marca. "se entiende por marca a todo signo visible que distinga productos o servicios de otros de su misma especie o clase en el mercado."39
Patente. Es el derecho que salvaguarda las invenciones, es decir, "toda creación humana que permita transformar la materia o la energía que existe en la naturaleza, para su aprovechamiento por el hombre y satisfacer sus necesidades concretas".40 Procesos productivos y secreto industrial. Los procesos productivos son procedimientos o las formas mediante los cuales se combina capital y trabajo en una determinada empresa para organizar la producción, son formas de organización y procedimientos desarrollados al interior de la empresa que implican desde el tipo de tecnología utilizada hasta la organización del trabajo a actividades específicas para realizar la producción, es el know how de la empresa e incluye ciertas patentes.
Exclusividad. Son prohibiciones a ciertas personas para realizar trabajos o compartir información fuera de cierta organización, en la medida en que son parte de una empresa.
Imagen. Es el derecho exclusivo de las personas a explotar sus características físicas.
En general, las empresas que lideran los mercados se preocupan por realizar todo tipo de innovaciones únicas para convertirlas en un derecho de propiedad o, más bien, en un derecho de explotación, así como motivar a su capital humano para la creación de ideas. Por lo cual invierten una gran cantidad de recursos en investigación y desarrollo (id), siendo lo más importante el ser producto de un trabajo complejo, el cual genera intangibles de un gran valor. Finalmente, las marcas signos distintivos de las empresas no son más que un dibujo, logotipo o eslogan, producto del ingenio.
Sin embargo, el éxito de una marca o patente está asociado al éxito del producto; es decir, depende en gran medida de la historia del producto que la ostenta, aunque posteriormente la marca se vuelva más importante que el producto.
El éxito del producto, a su vez, depende en gran medida del conocimiento; es decir, depende de una innovación que se manifiesta como una patente. Por ejemplo, lo que permitió a Coca Cola ser exitosa como marca fue su fórmula, ya que su producto era único y diferente a los demás. Aunque el predominio que ahora tiene dicha empresa ya no se basa solamente en su patente, sino en el derecho de propiedad de la marca; la cual es sinónimo de éxito y ahora la firma obtiene sus mayores ganancias de la administración de su intangible y de la diversificación de distintos productos que, sin ser refrescos de cola, ostentan su logotipo. Todo este poderío de mercado tiene sus orígenes en el conocimiento basado en un trabajo complejo que genera una nueva forma de hacer las cosas. Hay muchos otros ejemplos que revelan la forma en cómo pocas marcas llegan a ser hegemónicas. Todos estos procesos tiene como denominador común el hecho de que el predominio depende de una innovación y de alguna patente que resguarda la propiedad de una forma de hacer las cosas, ya sea una fórmula o un proceso, conocimiento que a fin de cuentas es una genialidad humana expresada en un trabajo complejo que se monopoliza mediante una ley o derecho de propiedad.
Marx estableció la preponderancia del capital sobre el trabajo al considerarlo subsumido por el capital, un trabajo incluso como parte de la máquina sometida a los ritmos de dicho capital era una labor mecanizada. Sin embargo, ahora el trabajo complejo al generar conocimiento aparece como un insumo mucho más importante que la propia empresa: el trabajo complejo se convierte en la empresa. Así, este producto intangible se vuelve más importante que la producción material. Este trabajo si bien es funcional al proceso de producción capitalista, es el que inconscientemente toma las riendas del proceso y lo hace propio, volviéndose él mismo el capital.
Es un proceso simbiótico, pues el trabajo complejo depende del capital para reproducir y desarrollar sus aptitudes, porque sin esta relación es no productivo, genera ideas y conocimiento no indispensable para los intereses capitalistas.41 Este trabajo complejo crea y desarrolla ideas para la venta y concentración de los mercados; sin embargo, no vende exclusivamente ideas al capital, sino la capacidad para crearlas. Aquí el empleador muestra más interés por el trabajador que por el producto inmediato que pueda generar, a diferencia del trabajo asalariado medio, que el capitalista integra de manera directa a la producción, pues es relativamente fácil de adquirir. Por tanto, el trabajo complejo con características distintivas sobre la media es lo que lo hace imprescindible para el capital.
El trabajo del cantante o del actor se hace por medio de imagen y talento que permiten valorizar al capital.42 El trabajo del ingeniero es crear e innovar; el administrador genera estrategias para incrementar el valor de la empresa; el vendedor aplica su habilidad y conocimiento del mercado para realizar las mercancías; el químico y el biólogo modifican el genoma para patentarlo y venderlo; el informático crea el software único que permita generar un consumo masificado a fin de monopolizar un mercado, crear un derecho de propiedad y mediante un código impedir que alguien robe o participe de su mercado, etcétera. Labores que dependen de y son conocimiento que genera intangibles, los cuales se convierten en un derecho de propiedad que permiten a un determinado capital dominar a los competidores.
Monopolio y conocimiento43
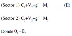
Si bien es cierto que un monopolio consolidado es un adversario difícil para empresas que crean sustitutos cercanos, la innovación relativiza esta situación. Marx aborda este tema cuando explica que dada una tasa media de ganancia, existen sectores que absorben parte del valor generado por las menos productivas, en función de una composición orgánica alta (θ):

La composición orgánica θ1 permite a este capital producir más mercancías con menos valor individualmente, con lo cual, por medio del mercado, se transfiriere valor del sector menos productivo (Sector 2) al más productivo (Sector 1). Aquí se observa un tipo de trabajo complejo en la medida en que el capital utilizado en adquisición de maquinaria y equipo puede contener una mejor tecnología o, bien, en la compra de mayor cantidad de maquinaria para duplicar la escala de la producción. En esta situación, la tecnología es vista como el producto del trabajo complejo.
Sin embargo, en este ejemplo el conocimiento entra como insumo directo en el proceso de producción como una máquina con mejor tecnología, lo que permite a la empresa obtener una posición superior en el mercado. Pero el conocimiento puede entrar también como una mejora del proceso, al hacer que, incluso con menos capital, se produzca más o lo mismo con una mayor calidad. Aquí el ejemplo clásico es el proceso de producción Kan-Ban japonés en la organización de la empresa y que hace la diferencia entre eficiencia e ineficiencia; pues, además de la producción en sí misma, es importante la calidad de la producción, los tiempos de entrega (just in time) y el menor desperdicio de insumos, incluida la fuerza de trabajo.44 Y aquí, empero, el conocimiento aún entra como insumo indirecto en el proceso productivo, al provocar que dicho proceso sea más rentable para el capitalista, ya sea al modernizar la maquinaria o simplemente al mejorar la estrategia e incluso modificando el proceso de producción. Lo importante no es la cantidad de máquinas sino el tipo de maquinaria para realizar un mismo tipo de producción y la forma como se usan. Así que en dos empresas similares con los mismos costos y tecnología (máquinas cualitativamente iguales) lo que hace la diferencia es la organización, pues ello permite dos cosas: aumentar la producción o la calidad del producto, lo cual se reflejaría en una mayor concentración de mercado.45 Gráficamente:

Aunque esta mejora ya no sería perceptible si se sigue pensando que el capital es exclusivamente maquinaria y equipo, pues dentro de este capital hay una parte que no se destina a insumo directo en el proceso; por ejemplo, la administración, que si bien está incluida en C1 y C2, es un elemento fuera del proceso de trabajo en el sentido de que es un trabajo complejo que determina la forma de producir, y que hace la diferencia entre dos capitales similares; de ello dependerá que el capital (1) domine al (2) o viceversa.
Estos dos ejemplos (I, II) pueden explicar la cuestión del trabajo complejo dentro de la producción de mercancías y su influencia para hacer que una empresa se vuelva dominante. pero cuando la firma produce conocimiento o se vale de un intangible para dominar el mercado, la problemática adquiere otra dimensión.
En los esquemas anteriores el trabajo complejo entra en la producción en (C) como insumo (está implícito en la maquinaria y en la organización), pero cuando el capital produce conocimiento o intangibles primero entra en (V) como trabajo complejo y después como un producto del mismo, y con base en un derecho de propiedad se incorpora nuevamente en (C) y se convierte de manera fundamental en la base de poder de mercado de la empresa. Aunque, como se comentó, el éxito de estos intangibles depende del éxito del producto, como se observa en la gráfica siguiente:

En la primera etapa (A) se da a conocer el producto al mercado, posteriormente aumenta la demanda dada su aceptación, y si no existe otro igual se consolida al garantizar el monopolio a la empresa.46 Es decir, "la aparición de posiciones de monopolio es una consecuencia necesaria de la propia introducción de innovaciones en los productos o en los procesos, de forma que, por tanto, las ganancias obtenidas por una posición de monopolio relativo en un mercado son el resultado de la adquisición, del monopolio y de la aplicación de un nuevo conocimiento tecnológico".47
Un producto exitoso lleva siempre consigo un derecho de propiedad y una marca. Cualquier innovación o invento generado por el intelecto humano y respaldado en una patente atribuye la propiedad a la empresa. El éxito garantiza un monopolio que hace fiel a un segmento del mercado hacia el producto y la marca, pues bienes que sin ser los originales de la empresa ostentan su marca y se venden con cierta preferencia sobre aquellos que son sustitutos cercanos. Por ejemplo, el caso de Microsoft con su Xbox, o Yamaha que realiza desde teclados hasta motocicletas.48 Marcas sinónimos de éxito y calidad.
Sin embargo, en la situación de un mercado oligopólico, una empresa seguidora puede cambiar su posición si realiza una innovación desplazando a una competidora que tuviese una cuota similar de mercado.49 Pero cabe establecer que las innovaciones se concentran en las empresas grandes, dada su mayor capacidad para financiar id. Así, una empresa que produce conocimiento de alta calidad y que ha alcanzado un grado de monopolio difícilmente aunque no imposible puede perder su hegemonía.
Lo fundamental en este proceso es que las marcas una vez consolidadas permiten a la empresa concentrar una parte del mercado e incluso dejar de producir y encargarse solamente de la gestión de su logo. Por ejemplo, la firma Nike concesiona la marca a aquellas empresas que reúnan ciertos requisitos que ella impone; ya no produce sino que gracias a su logotipo y carácter monopólico obtiene ganancias, las cuales no son más que extracción de valor, un intangible basado en un producto que tuvo como origen una idea y un derecho de propiedad.
Hay marcas basadas tanto en productos tangibles como intangibles, y el caso del software es el ejemplo por excelencia de lo anterior. El trabajo complejo que genera el programa computacional innovador permite hegemonía en un mercado, al vender e imponer la marca (su derecho de propiedad) sobre las demás, y al asegurar el monopolio hasta que aparezca otro superior. Por ejemplo, en el caso de la competencia de los sistemas operativos de Microsoft y Linux, el primero mantiene cautivo al mercado gracias a su programa Microsoft Windows, y mediante sus códigos impide a Linux o a otros competidores participar en su mercado (aunque incluso Linux sea mejor que Windows). Así el derecho de propiedad es fundamental, pues monopoliza el conocimiento en lugar de socializarlo, por lo cual el sistema capitalista está plagado de asimetrías de información como factor determinante en la competencia hoy día. E incluso el derecho de propiedad se ve como un derecho a los propios mercados (en el nivel región), como es el caso de los bloques económicos que protegen a sus economías de la invasión de productos que pueden quebrantar la estabilidad de su planta productiva.
Y debido a que el sistema parte de una concepción individual de la apropiación de los medios de producción, es lógica la tendencia a ser un sistema monopólico basado en derechos de propiedad que ocultan a la vista algo fundamental: la propiedad de los medios de producción incluye ahora la propiedad del conocimiento, es la monopolización del trabajo complejo, pues éste es la esencia del funcionamiento del actual modo de producción capitalista.
El valor del conocimiento (marcas y patentes): el carácter fetichista de la mercancía
Una cuestión fundamental en este análisis es la medición del valor del conocimiento, pues todos los productos están respaldados por trabajo, que es en esencia el valor.
Sin embargo, el trabajo complejo presenta una diferencia radical en términos del trabajo simple, pues el cálculo de sus equivalencias se complica cuando se parte de una habilidad única o exclusiva o un intangible. Por ejemplo, la relación de valor de la hora de trabajo de un abogado con respecto a la de un obrero; aun más, no vale lo mismo la hora de trabajo si un abogado pertenece a una firma reconocida o si incluso con buena reputación trabaja por cuenta propia. Como se observa, el cálculo del valor se complica a partir de la dificultad para determinar el valor del intangible. Por término medio existe un precio para una asesoría jurídica, una consulta médica, la instalación de una red, etcétera. También hay productos intangibles similares como el software que en algunas partes en la red es gratuito, etcétera. ¿Qué es lo que hace que una marca o una habilidad tenga valor y que en última instancia determine el precio de la mercancía o servicio? La respuesta directa sería el hecho de que es producto de un trabajo complejo, aunque también depende de las características cualitativas de cada producto o servicio y de que sea único. Hay espacios muy específicos que se explican en seguida.
Al hacer abstracción del capital constante supondremos a un ingeniero en sistemas con cualidades superiores a las comunes contratado por una empresa para desarrollar un software durante un año. El ingeniero realiza un material único, una genialidad, que se traduce para la empresa en una patente o derecho de propiedad y posteriormente en una marca (x). En este supuesto el producto valdrá un año de trabajo complejo. Debido a que es un producto único de alta calidad es rápidamente aceptado por el mercado, y en poco tiempo la compañía puede constituirse en monopolio y prescindir del ingeniero, pues la marca y la patente le pertenecen.50 Supongamos también que la empresa obtiene ingresos por 3 000 euros en el primer año, 5 000 en el segundo; y en el tercero una vez que se consolida como monopolio obtiene 10 000 euros; y que el costo de la creación del software fue de 2 000 euros (el pago al ingeniero durante el primer año). Dado lo anterior, la firma estaría obteniendo una ganancia de 1 000 euros en el primer año; en el segundo y tercero la ganancia sería equivalente a ingresos de 5 000 y 10 000 euros respectivamente, pues ya ha prescindido de los servicios del ingeniero; y al consolidarse el producto obtendría sucesivamente 10 000, mientras la empresa mantenga el monopolio de este conocimiento. No es trivial inferir que el valor de un trabajo complejo único puede ser comparado con una obra de arte,51 pues es invaluable o por lo menos tiene un valor muy grande, es una genialidad de un trabajo humano cualitativamente distinto al de los demás y que también se alimenta de una cuestión fetichista.
Ahora supongamos que la misma empresa que ostenta la marca (x) optara por realizar otro software sin aquel ingeniero con cualidades superiores. Entonces generaría un bien que podría ser realizado por sus competidores, lo cual no le daría ninguna ventaja. Lo fundamental es que la empresa lanza al mercado el software con su nombre (x), lo cual hace la diferencia, pues se sabe que realiza productos de muy buena calidad, aunque ello no fuese del todo cierto. De esta manera podrá extraer plusvalía de sus competidores mediante la marca que ostenta. Si bien es cierto que una patente se fundamenta en una genialidad, la cual podría ser invaluable, también es cierto que hay marcas que se fundan en un fetiche de la mercancía, de una creencia de la gente a veces errónea de que todo lo que lleve cierto nombre es superior a lo demás. Esta creencia o lealtad se da incluso por estatus de superioridad.52 Por ejemplo, hay la creencia de que los mejores autos son estadounidenses, cuando los mejores son los alemanes y japoneses. Estas creencias son reforzadas por la historia de la empresa, una exitosa campaña de mercadotecnia o por ciertas cuestiones psicológicas de grupo e ideológicas que se relacionan con un eslogan, nombre o logotipo.53 En el actual proceso de producción no se habla de productos sino de marcas, pues en la competencia lo importante es diversificar y ello no tiene que ver de manera directa con satisfacer las distintas preferencias del consumidor, sino que es el medio por el cual se asegura un lugar monopólico para obtener una cuota mayor de ganancia a costa de los menos innovadores y tecnológicamente atrasados. En este proceso, el más innovador es el que crea necesidades tecnológicas: computadora, teléfono celular, Internet, hasta el robot que se convertirá en mascota o hará las labores domésticas el día de mañana, entre otros.
¿Piratería o socialización del conocimiento y bienestar?
El hecho de que el trabajo complejo pueda generar creaciones inigualables lleva a considerarlos como desarrollos o innovaciones fundamentales para la humanidad; y van desde el teorema de Pitágoras, la rueda, el fuego, la energía eléctrica y nuclear, pasando por La Gioconda de Da Vinci, etcétera, hasta llegar a Internet. Sin embargo, lo criticable es que inventos de la misma naturaleza sean apropiados para beneficio propio. Por ejemplo, hoy día salta a discusión el tema de piratería versus libertad de información, tópico eminentemente jurídico pues implica la cuestión de patentes, marcas, uso exclusivo y derechos de explotación de ciertos productos. 54 Las copias abundan por doquier: ropa, zapatos, videos, música, diseños, entre otros. Pero el ejemplo más evidente de esta controversia es la copia de software y todo lo que se encuentre bajo soporte informático.55 Hay un alto porcentaje de copias porque el producto original tiene un precio muy elevado y además el propio desarrollo tecnológico facilita la clonación.56 El hecho es que el precio y la piratería reflejan un estado monopólico del producto y una transferencia de valor del sector privado al sector social reflejado en dicho ilícito.
La piratería es un delito por violar la propiedad intelectual pero permite a la sociedad el acceso a productos de un trabajo complejo que genera innovaciones sociales. Sin embargo, la piratería atenta contra el monopolio, y dada una estructura legal que protege la propiedad intelectual es necesario penalizar la copia y la distribución de productos ilegales. Pero también estas copias generan empleos y se reasigna la riqueza monopolizada, es decir, la piratería extrae valor de dicha empresa en favor de la sociedad.
Por ejemplo, si una empresa o laboratorio, mediante un trabajo complejo, llega a encontrar la cura para el VIH, ¿sería coherente lucrar con este descubrimiento?; ¿no es la cura de esa enfermedad un bien público que sería un gran descubrimiento para la humanidad? Desde que la empresa puede patentar e impedir el acceso a un conocimiento, esta cuestión se vuelve fundamental en el ámbito social.
Así, por una parte, debido a la existencia de talentos privilegiados, básicamente trabajos complejos con cualidades especiales, aunado a que los derechos de propiedad posibilitan su explotación para que las empresas innovadoras obtengan un lugar privilegiado en el mercado monopolio, se presenta el hecho de que en algunos casos este conocimiento sólo puede ser socializado por la piratería. 57
Por otra, si bien el trabajo complejo monopolizado permite la concentración de los mercados, también es cierto que de otra forma la innovación no podría realizarse, pues dichas empresas del conocimiento se ven alentadas a innovar en la medida en que ello les permita asegurar su posición en el ámbito comercial. Además: "Los productos de alta tecnología son complicados, contienen muchos conocimientos. Es decir, si analizamos el costo de uno de ellos, gran parte de los costos son costos iniciales de investigación y desarrollo."58 En la misma tónica, interpretando a Shumpeter, Vence señala:
[...] la introducción de nuevos métodos y nuevos productos es tan costosa y arriesgada que difícilmente puede conciliarse con ella la competencia perfecta desde un principio, que equivaldría a una llegada sin restricciones de nuevos competidores. La posición de monopolio ofrece una cierta protección a las empresas innovadoras que les permiten así obtener ganancias extraordinarias durante un cierto periodo de tiempo, siendo éste un incentivo necesario para que las empresas acometan iniciativas innovadoras".59
También puede decirse que una compañía que genera conocimiento por ejemplo, la cura del VIH podrá lucrar con él en su calidad de monopolio, lo cual no negará la invaluabilidad de este descubrimiento en términos sociales. Además de que cierto tipo de innovaciones necesitan enormes gastos que sólo las grandes empresas pueden enfrentar. Por ende, es fundamental la innovación, pues la id permite a la sociedad evolucionar, ya que como señala Shumpeter "la fuerza fundamental, que mueve la producción capitalista, y al sistema como un todo, la causante de sus procesos de transformación constante, en una palabra, de su desarrollo, es el fenómeno tecnológico y con él el proceso de innovación tecnológica",60 pues se perfecciona el propio conocimiento, aun cuando el objetivo último del trabajo complejo que genera esta innovación o conocimiento tenga para la empresa como propósito fundamental el monopolio y la obtención de ganancia.61
Si bien es cierto que lo anterior presentaría una visión contradictoria con la concepción tradicional del monopolio, debido a que es concebido como una situación perjudicial para el bienestar social, sin embargo con la innovación pudiera darse una situación diferente. En forma gráfica tenemos:

El supuesto fundamental del equilibrio general es que el mercado de competencia perfecta es el único que puede generar bienestar, ya que en el largo plazo dichas empresas aumentan su beneficio (obtienen ganancias normales), en el punto en donde su costo marginal (CMG) iguala al precio o ingreso marginal (IMG). Así ofrece una cantidad (QCP) a un precio dado (PCM). Sin embargo, el monopolio ofrece una cantidad (QM) a un precio (Pm) donde eleva su ganancia en el punto en donde su costo marginal iguala al ingreso marginal (punto B), lo cual lleva a una pérdida de bienestar por disminuir el excedente del consumidor, pues reduce la cantidad y aumenta el precio. Empero, ceteris paribus, si el monopolio realizara una innovación que le permitiera disminuir su costo marginal por debajo del de competencia perfecta [línea de Cmg (MI)], podría crecer su producción en el punto donde su nuevo costo marginal se cruzara con la curva de ingreso marginal (punto C). Lo importante aquí es el hecho de que esta innovación sólo puede ser realizada por un gran capital, lo cual podría incluso rebasar los niveles del mercado competitivo (tanto una mayor cantidad como un menor precio), generando una mejor situación que la de competencia perfecta al haber aumentado la producción a QMI y reducir el precio a PMI. De aquí que esta hegemonía del conocimiento cuestione la concepción tradicional del monopolio como un mal per se.62 Como establece Kutzman:
[...] las autoridades deben ser muy cuidadosas cuando se trata de intervenir en las actividades de algunas empresas de alta tecnología, cuyo predominio se debe a sus grandes beneficios. Si se restringen sus actividades destruirán la innovación: en la alta tecnología, la innovación es incesante. Se crean y se lanzan nuevos productos con la convicción de que si llegan a predominar en el mercado, las empresas se enriquecerán mucho, y si no, lo perderán todo. Por eso arriesgan mucho. [...] la alta tecnología es una cultura distinta. Está de cara al futuro. Siempre está buscando la próxima gran novedad. Es parecido a un casino.
Otra metáfora que yo empleo es la del reparto de tierras de la década de 1880. Las empresas están en el punto de salida, y el que llegue primero, gana. No creo que debamos preocuparnos por ello, porque ése es su premio. No es mucho por el riesgo que implican las innovaciones".63
El hecho de que la innovación se concentre en las empresas con alta capacidad para enfrentar los costos que la id implican, es una consecuencia inmediata del proceso de acumulación del sistema capitalista de producción en su búsqueda de mayores ganancias. Sin embargo, en este proceso de competencia monopólica, la innovación puede ser vista como un bien social, independientemente de que por determinado tiempo el acceso a estas nuevas tecnologías, procesos, productos, etcétera, esté restringido. En estas circunstancias la acción del Estado es relevante, pero no para prohibir este tipo de estructura del mercado y su obtención de ganancias extraordinarias (lo que podría desalentar la actividad innovadora), sino más bien en su capacidad para negociar que dichas innovaciones sean rápidamente difundidas en la sociedad, lo que podría darse mediante algún tipo de subsidio a los sectores directamente beneficiados de estos desarrollos y a los cuales en los inicios el acceso fuese privativo.
El punto nodal aquí es el conocimiento. Como se vio, una monopolización del trabajo complejo puede generar bienes que tienen un valor social, por lo cual deben evaluarse estas circunstancias para establecer un juicio adecuado. El hecho de que en el sistema predomine una competencia monopólica no es una cuestión sólo de mercados con información asimétrica, sino consecuencia de un proceso de concentración de capital y de innovaciones del proceso productivo y del conocimiento. En donde una ausencia del Estado hace que los únicos entes capaces de realizar innovaciones sean aquellas empresas que realizan inversiones en id, trabajo complejo; y que gracias a los derechos de propiedad se convierte en un trabajo que genera y hace hegemónico a un monopolio.
Conclusiones
La preponderancia del trabajo complejo y los servicios sobre el trabajo simple en el sistema competitivo actual produce innovaciones que permiten a la empresa generar derechos de propiedad que le posibilitan concentrar el mercado. Desde el enfoque de la teoría objetiva, esto presenta nuevas interrogantes respecto a la generación de valor y, por ende, al concepto de trabajo productivo. Las mercancías no tienen que ser necesariamente objetos materiales en el sentido de su tangibilidad, ya que para ello basta con que sean productos del trabajo útil, en general poseer tanto valor como valor de uso. En este contexto, los servicios también generan valor, pues son resultado de un trabajo humano complejo muy específico, cuyo resultado es su valor de uso.
La diferencia entre el trabajo que genera servicios y el que genera mercancías radica en que el resultado del primero sólo conserva el valor de uso, pues el valor se consume en el lapso de la contratación, y por esta situación no puede intercambiarse por algo equivalente; en cambio, el resultado del trabajo que genera mercancías es un objeto que conserva tanto valor como valor de uso.
De la discusión sobre el carácter de lo productivo e improductivo concluimos con las palabras de Marx en el sentido de que sólo es productivo lo que genera plusvalía. Y que tanto el trabajo que genera servicios como el que genera mercancías pueden ser considerados como productivos dependiendo de la forma que revistan, ya sea M-D-M, M-S-M (caso improductivo); o D-M-D', D-S-D' (caso productivo).
Las patentes llevan consigo la creación de una marca distintiva de su derecho de propiedad, la cual dependiendo del éxito del producto que la ostente puede hacer que la empresa aumente su participación en el mercado y llegue a legitimarse como un monopolio, por lo menos hasta que sus competidores superen su innovación. Dicha marca o intangible puede monopolizar procesos productivos debido a que es un sinónimo de éxito para los consumidores, de aquí que la propia marca pueda valer más que el producto que la ostenta.
Así, las empresas del conocimiento procuran monopolizar el trabajo complejo que genera conocimiento e invierten en él generando id, lo cual se traduce posteriormente en algún invento o innovación única, lo que en última instancia les permite asegurar una mayor cuota del mercado mediante los derechos de propiedad. La marca y el derecho de propiedad son determinantes para la monopolización, y al ser producto de un trabajo complejo único generan un valor difícil de medir, que podría ser comparado con el de una obra de arte, por lo cual en algunos casos dichos intangibles podrían considerarse invaluables. Y también en algunos casos, dado el éxito, el valor de la marca puede reforzarse por un fetiche mercantil, lo cual dificulta aún más la medición del valor.
Hay una interrogante con respecto a los monopolios en términos sociales: convencionalmente se les cuestiona, pues disminuyen el bienestar que podría generar el sistema en competencia perfecta al restringir la libre competencia y disminuir el excedente del consumidor. Sin embargo, por otro lado, dichas empresas de alta tecnología son las que lideran la innovación, además de que con el cambio tecnológico pueden generar más beneficio social que el equilibrio competitivo, por lo cual es conveniente evaluar el bienestar no en términos de concentración, sino de avance tecnológico, eficiencia y posibilidades de socialización del conocimiento.
Bibliografía
Bustamante Torres, Jorge y Lechuga Montenegro, Jesús, "Derecho de las nuevas tecnologías: la contratación por Internet", en Jesús Lechuga Montenegro (coordinador), Reflexiones acerca de la Era de la Información (New Economics), México, Universidad Autónoma Metropolitana Azcapotzalco, 2005. [ Links ]
Coriat, Benjamín, El taller y el cronómetro. Ensayo sobre el taylorismo, el fordismo y la producción en masa, México, Siglo XXI, 1991. [ Links ]
De Altube, Ramiro Sebastián. "El fetichismo capitalista en la organización de la producción: control tecnológico y organización del trabajo en el siglo XX", 26-05-2005, [En línea] http://www.rebelion.org/docs/15669.pdf . [ Links ]
Dell, Michael y Fredman, Catherine, Directo de Dell: las estrategias que revolucionaron la industria de la computación, Buenos Aires, Granica, 2001. [ Links ]
Drucker, Peter, Conferencia de Knowledge Advantage 1997, en Rudy Ruggles y Dan Holtshouse, La ventaja del conocimiento, México, CECSA, 2000, p. 1. [ Links ]
Gibbons, R., Game Theory for applied economist, Princeton, Princeton University Press, 1992. [ Links ]
González Martínez, Jaime. La producción en serie y la producción flexible: principios, técnicas organizacionales y fundamentos del cambio, México, Universidad Autónoma Metropolitana-Azcapotzalco, 2003. [ Links ]
Hart Oliver, Firms Contracts and Financial Structure, Oxford, Clarendon Press Oxford University Press, 1995. [ Links ]
Kelly, Kevin, Las nuevas reglas para la nueva economía, Granica, México, 1998. [ Links ]
Kermally, Sultan, Cuando economía significa oportunidad, Madrid, Prentice Hall, 2000. [ Links ]
Kutzman, Joel, "Though Leader: W. Brian Arthur", en Strategy and Bussines, Nueva York, Segundo trimeste de 1998. [ Links ]
Ley de Propiedad Industrial, Diario Oficial de la Federación, México, 27 de junio de 1991. [ Links ]
Marx, Karl, El capítulo VI (inédito), México, Siglo XXI, 2000. [ Links ]
----------, El Capital, México, Siglo XXI, 2001. [ Links ]
McCulloch, John Ramsay, The Principles of Political Economy, Nueva York, A. M. Kelley, 1965. [ Links ]
Mill, John Stuart, Principios de economía política, México, FCE, 1951. [ Links ]
Ontiveros, Emilio. La economía en la red, Madrid, Taurusesdigital, 2001. [ Links ]
Potts, Jason, Knowledge and market (2001), Journal of Evolutionary Economics, Springer. vol. 11 (4), pp. 413-431. [ Links ]
P. W. Daniels y J. R. Bryson, "Manufacturing Services and Servicing Manufacturing: Knowledge-based Cities and Changing Forms of Production", Urban Studies, vol. 39. issue 5 y 6. Mayo 2002, pp. 971-991. Routledge, Taylor and Francis Group. [ Links ]
Ricardo, David, Principios de economía política y tributación, México, FCE, 1985. [ Links ]
Rosdolsky, Roman, Génesis y estructura de El Capital de Marx (estudios sobre los grundrisse, México, Siglo XXI, 1978. [ Links ]
Salgado, Víctor, Bustamante Torres, Jorge y Varela Orozco, Mauricio. "El valor de los intangibles en la nueva economía", en Jesús Lechuga Montenegro (coordinador), Reflexiones acerca de la era de la información (New Economics), México, Universidad Autónoma Metropolitana. Azcapotzalco, 2005. [ Links ]
Say, Jean Baptiste, Tratado de economía política, México, FCE, 2001. [ Links ]
Shumpeter, Joseph, Teoría del desenvolvimiento económico, México, FCE. 1978, p. 75. [ Links ]
Smith, Adam, La riqueza de las naciones, México, FCE, 1990. [ Links ]
Varian, Hal R., Microeconomía intermedia: un enfoque actual, 5a ed. México, McGraw Hill, 2003. [ Links ]
Referencias bibliográficas
MasColell, Andrew, Michael Whiston, y Jerry Green, Microeconomic Theory, New York, Oxford University Press, 1995. [ Links ]
Cristiano Antonelli, "Localized technological change, new information technology and the knowledge-based economy: The European evidence", Journal of Evolutionary Economics, vol. 8, Issue 2, Springer, Berlin / Heildelberg. [ Links ]
Bowman, Cliff, The Essence of Strategic Management, Hemel Hempstead Prentice Hall, 1990. [ Links ]
Smiers Joost, Un mundo sin copyright. Artes y medios en la globalización, Barcelona, Gedisa, 2006. [ Links ]
1 Jaime González Martínez, La producción en serie y la producción flexible. Principios técnicos organizacionales y fundamentos del cambio, Universidad Autónoma Metropolitana Azcapotzalco, México, 2003; Benjamín Coriat, El taller y el cronómetro. Ensayo sobre el taylorismo, el fordismo y la producción en masa, México, Siglo XXI, 1991.
2 Oliver Hart, Firms, Contracts and Financial Structure, Oxford, Clarendon Press, 1995.
3 La arquitectura del nuevo paradigma de acumulación se construye alrededor de la convergencia integración de la microelectrónica (nanotecnología), computación, software y nuevos materiales. La construcción de una nueva coherencia sistémica lleva a la teorización de lo que constituye el cambio tecnológico con la revolución digital.
4 Condición social media que determina la cantidad de trabajo necesario para la producción de una mercancía individual.
5 Karl Marx, El Capital, tomo I, vol. 1, México, Siglo XXI, 2001, p. 43.
6 Por ejemplo el aire tiene un infinito valor de uso, pero un valor nulo, esto es así porque no hay trabajo invertido para producirlo. Podría darse el caso de que el aire se convirtiera en mercancía, por ejemplo cuando se utiliza fuera del espacio.
7 Ibid., p. 57.
8 "Ese algo común no puede ser una propiedad natural -geometría, física, química o de otra índole- de las mercancías". Karl Marx, op. cit., p. 46.
9 El disco es un soporte informático (puede contener voz, datos y video). Véase Víctor Salgado, Jorge Bustamante Torres y Mauricio Varela Orozco. "El valor de los intangibles en la nueva economía", en Jesús Lechuga Montenegro (coordinador), "Reflexiones acerca de la era de la información (New Economics)", México, Universidad Autónoma Metropolitana-Azcapotzalco, 2005.
10 Sin embargo, como se verá, si el trabajo complejo genera un intangible (una idea o un derecho de propiedad), éste contiene valor y puede venderse; es decir, no perece el valor en el consumo del servicio prestado por el trabajo complejo.
11 Ello puede modificarse en el caso de los derechos de propiedad como se verá más adelante.
12 En otras palabras, "la fuerza de trabajo sólo existe como facultad del individuo vivo. Su producción, pues, presupone la existencia de éste", Karl Marx, op. cit., p. 207.
13 "Por fuerza de trabajo o capacidad de trabajo entendemos el conjunto de las facultades físicas y mentales que existen en la corporeidad, en la personalidad viva de un ser humano y el que pone en movimiento cuando produce valores de uso de cualquier índole", Karl Marx, op. cit., p. 203.
14 O en otros términos, "se resuelve en el valor de determinada suma de medios de subsistencia", Ibid., p. 209.
15 Ibid., p. 54.
16 Ibid., pp. 54, 55.
17 Hay que considerar que ciertas labores se consideran como artesanales y por lo mismo en algunas circunstancias también contienen más valor que las labores meramente mecánicas.
18 Karl Marx, El Capital, en Roman Rosdolsky, Génesis y estructura de El Capital de Marx (estudios sobre los Grundrisse), México, FCE, 1978, p. 569.
20 Jean Baptiste Say, Tratado de Economía Política, México, FCE, 2001, op. cit., pp. 46-47.
21 Ibid, p. 72.
22 John Stuart Mill, Principios de economía política, México, FCE, 1951, p. 64.
23 Adam Smith, La riqueza de las naciones, México, FCE, 1990. Op. cit., vol. I, libro segundo, capítulo 3, p. 387.
24 Ibidem.
25 John Ramsay McCulloch, The Principles of Political Economy, Nueva York, Reimpreso en 1968 por, A. M. Kelley, p. 506.
26 Karl Marx, El capítulo VI (inédito), México, Siglo XXI, 2000, p. 83.
27 Ibid., p. 78.
28 Ibid.
29 Ibid., p. 84.
30 Peter Drucker, Conferencia de Knowledge Advantage (1997). Citado en Rudy Ruggles y Dan Holtshouse, La ventaja del conocimiento, México, CECSA, 2000, p. 1.
31 Kevin Kelly, Las nuevas reglas para la nueva economía, México, Granica, 1998, pp. 22, 24.
32 Ver Kelly, op. cit. p. 210; y Michael Dell, Catherine Fredman, Directo de Dell: las estrategias que revolucionaron la industria de la computación, Buenos Aires, Granica, 2001.
33 La versión "Blackberry 8700g", memoria 64 MB, es un celular que incorpora transmisión de voz, imagen, video y acceso a Internet. Además de verificar los archivos adjuntos de los correos en los formatos más comunes como: Word, Excel, PowerPoint, Corel, WordPerfect, PDF y HTML. Soporte de red de banda cuádruple para redes inalámbricas GSM™/GPRS y EDGE a velocidades de 850/900/1800/1900 MHz, que permite la itinerancia internacional entre América del Norte, Europa y la zona del Pacífico asiático.
34 El precio pierde importancia entre sustitutos cercanos, pues lo que genera la competencia es la diferenciación y calidad en el mismo margen del precio o nicho del mercado.
35 Sultan Kermally, Cuando economía significa oportunidad, Madrid, Prentice Hall, 2000, p. 140.
36 Emilio Ontiveros, La economía en la red, Madrid, Tauruses digital, 2001, p. 106.
37 David Teece, "Profiting from technological innovation: implications for integrations, collaboration, licensing and public policy", en Research Policy, núm. 15, North Holland, junio 1986, p. 290.
38 Richard Levin, et al., "Appropriating the Returns from Industrial Research and Development", en Brookings papers on Economic Activity, 1987, pp. 783-784.
39 Artículo 15 de la Ley de Propiedad Industrial, Diario Oficial de la Federación, México, 27 de junio de 1991.
40 Artículo 88 de la Ley de Propiedad Industrial, Diario Oficial de la Federación, México, 27 de junio de 1991.
41 Piénsese en un filósofo, cuyo trabajo intelectual puede considerarse inmensamente valioso para el conocimiento en sí, pero no aporta nada para los intereses del capital. Por lo cual dicho trabajo, sin contar con el apoyo del capital, puede ser marginado, pues sólo el conocimiento que se aplica a la producción es el que encuentra apoyos para su desarrollo.
42 "Una cantante que canta como un pájaro es una trabajadora improductiva. En la medida en que vende su canto, es una asalariada o una comerciante. Pero la misma cantante, contratada por un empresario (entrepreneur) que la hace cantar para ganar dinero, es una trabajadora productiva, pues produce directamente capital". Karl Marx, El Capital, libro I, capítulo VI (inédito), México, Siglo xxi, 1975, p. 84.
43 Se hace abstracción de los monopolios estatales y naturales para referirnos exclusivamente a los que se basan en una razón tecnológica, aun cuando algunos pueden considerarse como "naturales" por los montos de capital para realizar tal o cual innovación; por ejemplo, en la construcción de aviones.
44 Ramiro Sebastián de Altube. "El fetichismo capitalista en la organización de la producción: Control tecnológico y organización del trabajo en el siglo XX". 28.05.05. [En línea] http://www.rebelion.org/docs/15669.pdf.
45 Hal R. Varian, Microeconomía intermedia: un enfoque actual, México, McGraw-Hill, 2003.
46 Para el segmento A-B véase Cliff Bowman, The Essence of Strategic Management, Hemel Hempstead, Prentice Hall, 1990.
47 Vence Xavier Deza, Economía de la innovación y del cambio tecnológico, Madrid, Siglo XXI de España Editores, 1995, p. 122.
48 Xbox es un sistema de videojuegos de 128 bits basado en la arquitectura X86, diseñado y desarrollado por la empresa multinacional Microsoft. Fue anunciado por primera vez a principios de 2000, y lanzado al mercado el 15 de noviembre de 2001. Utiliza una versión recortada del sistema operativo Windows 2000. Por lo tanto, en ambos ejemplos, los bienes caen fuera de la línea original de las empresas.
49 R. Gibbons, Game Theory for applied economy. Princeton University Press, 1992.
50 De hacer esto, la empresa corre el riesgo de que este trabajo complejo sea usado por los competidores o incluso perder a un talento único.
51 Es un problema ya planteado desde la economía clásica. Por ejemplo, citando a Ricardo,"]... ] Existen ciertos bienes cuyo valor está determinado tan sólo por su escasez. Ningún trabajo puede aumentar la cantidad de dichos bienes, por tanto, su valor no puede ser reducido por una oferta mayor de los mismos. Ciertas estatuas y cuadros raros, libros y monedas escasos, vinos de calidad peculiar que sólo pueden elaborarse con uvas cosechadas en un determinado suelo, del cual existe una cantidad muy limitada, todos ellos pertenecen a este grupo. Su valor es totalmente independiente de la cantidad de trabajo originalmente requerido para producirlos, y varía con la diversa riqueza y las distintas inclinaciones de quien desea poseerlos", David Ricardo, Principios de economía política y tributación, México, FCE, 1985, p. 9.
52 Un ejemplo es el caso de los Bienes Giffen (Bienes superiores), en los cuales el aumento del precio aumenta la demanda. Veáse Andrew MasColell, Michael Whiston and Jerry Green. Microeconomic Theory. New York, Oxford University Press, 1995.
53 Staton Etzel. "Fundamento de marketing", 11a edición. [En] www.ilustrados.com/publicaciones/EeZppZlyEEOokVWSrJ.php. (17 de novienbre de 2006) .
54 Veáse Jorge Bustamante Torres y Jesús Lechuga Montenegro. "Derecho de las Nuevas Tecnologías: La Contratación por Internet". [En] Jesús Lechuga Montenegro (coordinador). Reflexiones acerca de la Era de la Información (New Economics). Universidad Autónoma Metropolitana-Azcapotzalco. México, 2005.
55 Veáse Salgado, Bustamante y Varela, op. cit.
56 El original del programa Windows vale 1500 pesos, cuando la copia sólo 50.
57 Hay que mencionar también el espionaje industrial.
58 Rudy Ruggles, op. cit., 203.
59 Vence, op. cit., pp. 122-123.
60 Joseph Shumpeter, Teoría del desenvolvimiento económico, México, FCE, 1978, p. 75.
61 Es menester destacar que lo que se pretende tan sólo es explicar la lógica de funcionamiento de la empresa capitalista, y no el justificar su funcionamiento.
62 El hecho que un monopolio pueda generar innovaciones que le permitan generar productos con una mayor calidad posibilita presentarse, como en el ejemplo, en un abaratamiento de los costos; o de otra forma, en un aumento de la calidad del producto que aunque no se refleje en el precio, el bienestar proviene de la calidad, pues los consumidores prefieren calidad sobre el precio.
63 Joel Kutzman, "Though leader: W. Brian Arthur", en Strategy and Bussines, Nueva York, segundo trimeste de 1998, pp. 100-101.













