Introduction
The first models of the cochlea considered the mechanics of fluids within the scala vestibuli, the scala media and the scala tympani to obtain approximations of wave motion on the basilar membrane and the displacement on the outer hair cells generated in the organ of Corti, the most significant works has been developed by Peterson and Bogert 1 from a hidrodinamical theory, Lesser and Berkeley 2 using fluid mechanics, Zweig, Lipes and Pierce 3 considering the response of the cochlea transmition line and Allen 4 modeling the behavior of the fluid within the cochlea in two dimensions. Later Steele and Taber 5 6 developed calculations by the method of finite differences for models in two dimensions of the cochlea and impedance analysis for models in three dimensions, a more comprehensive solution was proposed by Neely 7 with the same previous methodology, a detailed description of these models and their solution using resonance analysis have been developed by Jiménez 8 9. These models show good agreement with the observations of the relation distance frequency along of the basilar membrane determined experimentally by Békésy 10, however its main disadvantage is that not model the mechanics present in the organ of Corti.
The solution to this problem was developed by Neely and Kim 11, in their model they propose a micromechanical system with two degrees of freedom that models the displacement of the outer hair cells in the organ of Corti and present mechanical parameters for the cochlear mechanics in cats, the solution proposed to his model uses the impedance method and numerical solutions by Gaussian elimination. A solution using feedback and analysis of state space was developed by Elliott, Ku and Lineton 12, later themselves conducted a study of the statistics of instabilities in the model of Neely and Kim and propose new values for the original mechanical parameters 13. Analysis to the model of Neely and Kim and its parameters for the human cochlea were conducted by Ku 14 15 obtaining satisfactory results respect to the observations made by Békésy. The studies of cochlear micromechanics have been used to solve problems of hearing for otoacoustic emissions by Berlin and Bobbin 16 17 and recent studies have proposed solutions for the problems of level effects, combination tones and delay effects by Duifhuis 18.
This paper presents a new solution to the model of the micromechanics of the cochlea proposed by Neely and Kim using Lagrange's equation, the main advantage of this new solution over existing is that it provides a system of equations for determining the displacement of each degree of freedom. The physical interpretation of the sum of both displacements is determined the total displacement in the system where the maximum force is generated on the outer hair cells along the cochlea. This general solution considers that the value of the amplitude of the excitation force is normalized and has complex shape, the particular solution is given as a phasor being the real displacement the sum of each modules. This new solution not requires the use of recursion, numerical analysis or feedback, being single necessary to know the physical parameters of the mass, stiffness and damping of the system. For the evaluation of the model the parameters of the human cochlea proposed by Ku are used, the results are compared with the obtained for the impedance method proposed by Neely and Kim, the analysis of state space developed by Elliott, Ku and Lineton and the physiological measurements obtained by Békésy, in all the experiments are used the same set of frequencies reported in the original papers.
Micromechanics in the Cochlea
The principal element of the inner ear is the cochlea, it is divided into three comparted: the scala vestibuli, the scala tympani and the scala media. The Reissner's membrane separates the scala vestibuli from the scala media which is separated from the scala tympani by the basilar membrane. The scala vestibuli and the scala tympani are filled with a fluid similar to extracellular fluid named perilymph, while the scala media is filled with a fluid with a high K+ concentration and a low Na+ concentration named endolymph. The transduction of sound into electrical impulses is performed by the outer hair cells inside the organ of Corti, this is connected on top of the basilar membrane and the outer hair cells are connected with the tectorial membrane, the sounds waves are transmitted through the oval window in the scala vestibuli creating complementary waves on the basilar membrane and the scala tympani. This waves on the basilar membrane create a force on the outer hair cells that causes a change in the potential, this is trasmitted to auditory nerves and from there to the brain 19 20, the figure 1 shows the main components of a cross section of the cochlea and the organ of Corti is marked within a frame.
Neely and Kim propose in his paper 11 that the physical behavior of a partition of the cochlea can be modeled by active mechanics elements simulating the movement of the basilar membrane, these elements consider the mechanical characteristics of mass, stiffness and damping to model the response of the coupling between the tectorial membrane and the reticular lamina, the force generated in each of this elements is produced by the wave on the basilar membrane and allows the activation of the outer hair cells in the organ of Corti, this gives the relation between the general behavior of the cochlea and the micromechanics present in the organ of Corti.
The model developed by Neely and kim describes the behavior of the micromechanics in the cochlea system of two degrees of freedom, the figure 2 shows the original micromechanical model proposed by Neely and Kim.
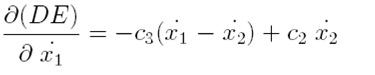
The first mass m 1 represents a cross section of the organ of Corti which is attached to rigid bone by stiffness and damping components k 1 and c 1, the second mass m 2 represents a cross section of the tectorial membrane which is attached to rigid bone by k2 and c 2, and both masses are coupled by k 3 and c 3. Also it is considered that the displacement in a section of the organ of Corti can be defined in terms of the difference in pressure of the fluid inside the cochlea P d and the pressure located within the outer hair cells P a. The existence of a gain level gƐ b between the displacement of the organ of Corti and the radial displacement of the reticular lamina and a second gain level Ɛ t in the movement of the tectorial membrane are proposed. The micromechanical model has two degrees of freedom for each position of displacement x, in the frequency domain the equation of motion for the first degree of freedom given by Neely and Kim is specific by
The term Ɛ c is defined as
Where Z 1 represents the mechanical impedance of the organ of Corti and Z 2 represents the mechanical impedance of the tectorial membrane. The equation of motion for the second degree of freedom is given by
Where Z3 represents the coupling between the organ of Corti and the tectorial membrane.
Solution using Lagrange's equation
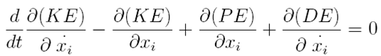
This paper proposes the solution to Neely and Kim model using Lagrange's equation, it is considered that the pressure of fluid within the cochlea and the pressure generated in the outer hair cells can be modeled by a single force, obtaining a system of two equations for the two degrees of freedom. First the general Lagrange's equation for mechanical systems is presented, then the equations of potential energy, kinetic energy and dissipation energy are defined for each element of the system obtaining two equations of motion for both displacement, next is considers that the external force and the displacement are in complex form for to give solution to the system of equations and removed the complex terms. After the variables are factored and the system is solved using the Cramer's rule, obtaining the general determinant and the determinants for both displacement. The solution of the system is the sum of two equations for both displacement, next the mathematical procedure is shown. If defined the kinetic energy as KE, the potential energy as PE and the dissipative energy as DP, the Lagrange's equation in its fundamental form for a mechanical system is given as follows
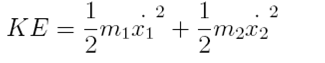
For the system of two degrees of freedom developed by Neely and Kim the kinetic energy is defined by the next equation
The potential energy is in the form
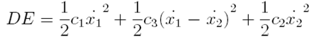
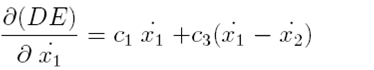
And the dissipation energy is
Solving the terms of the Lagrange's equation for the first equation of motion is obtained
For simplicity the next terms are defined
Rearranging the terms and considering the force of excitation in the system, the first equation of motion is:
In similar form the terms of the Lagrange's equation for the second equation of motion are obtained.
Anew for simplicity the next terms are defined
And the second equation of motion is obtained
The proposed solution considers that the displacements and the force of excitation in the system have complex shape
It is necessary to replace the complex terms in the equations of the system and subsequently removing the exponential terms for obtaining a system of two equations.
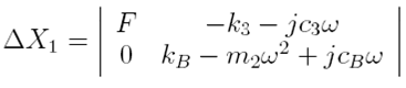
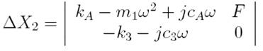
The solution considers terms defined by the Cramer's rule, the general term is in the form:
The term for the displacement in the first degree of freedom is thus
And the term for the displacement in the second degree of freedom is
The total displacement in the outer hair cells is the sum of the real parts of the displacements of each degree of freedom.
Experiments and results
For the evaluation of the solution of Lagrange's equation it is compared with the methodologies of the impedance method and its numerical solution proposed by Neely and Kim 11, the analysis of space state of the cochlea developed by Elliot, Ku and Lineton 12 13 and the measurements physiological made by Bekesy 10. For to get the relationship between the values of frequency and distance where is the maximum amplitude of excitation on the outer hair cells, in the equation 29 the results of the terms defined by the equations 27 and 28 are placed, in the resulting equation the parameters of Ku are evaluated. The set of parameters defined by Ku 14 15 of mass, damping and stiffness are shown in the Table I.
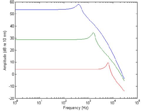
The interval frequency of evaluation for the equation is defined from 1 Hz to 28000 Hz with the objective of comparing the results obtained at high frequencies of the other models. In all experiments the value of the magnitude of the excitation force is considered normalized, this is because the variation of the magnitude does not change the position along of the cochlea where the maximum value of amplitude is obtained, the amplitude of the graphs is normalized to decibels respect to a relative value of displacement of the basilar membrane and the horizontal axis shows the frequency interval of evaluation logarithmically. The graphics of the solution using Lagrange's equation considers the origin of the axis x as the distance near to the apex where are the low frequencies and at the other end the distance to the oval window where the high frequencies are presented. In the table 2 is presented the comparison between the results of the new model using Lagrange's equation and the results obtained by the impedance method and its numerical solution proposed by Neely and Kim, exists correspondence between the results of these two different methodologies for the frequencies of 400 Hz, 1600 Hz and 6400 Hz, however the solution using Lagrange's equation is limited to frequencies below 18000 Hz because it is not possible to obtain response for the frequency of 25600 Hz.
The figure 3 shows the graph obtained using the model of Lagrange's equation for the corresponding frequencies of 400 Hz (Blue), 1600 Hz (Green) and 6400 Hz(Red), in them it is observed that the behavior exhibited is similar to that reported by Neely and Kim in their research.
In the table 3 is presented the comparison with the frequencies reported in the work of Ku using the methodology developed by Elliot, Ku and Lineton for the frequencies of 200 Hz, 900 Hz, 3700 Hz and 16000 Hz, it shows that the solution to the model of Neely and Kim using Lagrange's equation provides similar results without considering the use of feedback.
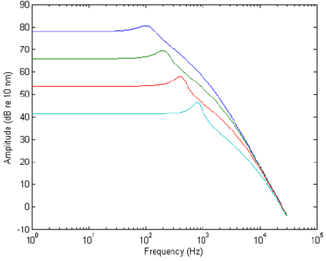
The figure 4 shows the graphs obtained for the corresponding frequencies of 200 Hz (Blue), 900 Hz (Green), 3700 Hz (Red) and 6400 Hz (Cyan), similarly to the previous case there are correspondences between the graphs obtained with the Lagrange's equation and those reported in the work of Ku.
Finally the table IV shows the comparison between the values obtained by the solution of Lagrange's equation and the results of the physiological measurements made by Békésy, in this case it should be noted the absolute agreement between both values, which provides full validity for the new solution presented in this paper.
In the figure 5 is shows the graphs for the frequencies of 100 Hz (Blue), 200 Hz (Green), 400 Hz (Red) and 800 Hz (Cyan), an interesting aspect of the behavior of the graphs is the consistent with the curves shown in the work of Békésy. Also the previous study of the cochlear mechanics using resonance analysis developed by Jiménez are also fully consistent with all the experiments presented.
Conclusions
The solution using Lagrange's equation to the model of cochlear micromechanics proposed by Neely and Kim has the advantage over previous solutions do not require the use of recursion, numerical analysis or feedback. For to evaluate the proposed solution only is required to know the values of mass, stiffness, damping and the excitation frequency of the micromechanical system. The variation of the value of the amplitude of the excitation force does not provide changes in the results of the distance excitation system, therefore a normalized force excitation is proposed.
The new solution using Lagrange's equation is satisfactory compared with the impedance method of the cochlear behavior and its numerical solutions by Gaussian elimination developed by Neely and Kim (Table II), the analysis of space state using feedback developed by Elliot, Ku and Lineton (Table III) and the physiological measurements made by Békésy (Table IV) having satisfactory results in all experiments.
The graphics of amplitude vs. frequency obtained from the solution using Lagrange's equation are consistent with those obtained by Békésy in their physiological measurements (Figures 3, 4 and 5), the amplitude of the envelope is a peaks closer which moves toward the base of the cochlea when the excitation frequency increases and moves towards the apex when the frequency decreases, whereby the amplitude of the envelope is a two dimensional function between the distance along the cochlea and the frecuency of excitation.
A contribution of the solution using Lagrange's equations regarding previous developments is to obtain the equations of movement for each degree of freedom independently, however the disadvantage of this solution is that physical system response only is valid for frequencies below to 18000 Hz because the mechnical parameters proposed by Ku only consider the response of the human ear from 20 Hz to 20,000 Hz.
The proposed solution is applicable to the biomedical field in the positioning of the electrodes for a cochlear implant in the methodologies of multiple intracochlear comparmental electrodes, system of multiple intracochlear monopolar electrodes, multiple intracochlea bipolar electrodes and multiple modiolar monopolar electrodes 21, these methods require multichannel stimulation to excite a different set of auditory peripheral nerves where the complex tones are discriminated according to the positioning of the electrodes along the cochlea.










nueva página del texto (beta)











































