Servicios Personalizados
Revista
Articulo
Indicadores
-
Citado por SciELO -
Accesos
Links relacionados
-
Similares en
SciELO
Compartir
Revista mexicana de ingeniería biomédica
versión On-line ISSN 2395-9126versión impresa ISSN 0188-9532
Rev. mex. ing. bioméd vol.31 no.1 México jul. 2010
Artículo de investigación
Modelación dinámica de lactato en isquemia para atletas de alto rendimiento
M. A. Leminszka*, G. Dieck-Assad*, S. O. Martínez*, J. E. Garza**
* Departamento de Ingeniería Eléctrica y Computacional.
** Departamento de Educación Física y Medicina del Deporte.
ITEMS Instituto Tecnológico y de Estudios Superiores de Monterrey, Monterrey Campus.
Correspondencia:
M. A. Leminszka.
Ave. E. Garza Sada Num. 2501 Sur, Monterrey,
N.L. México.
E-mail: graciano.dieck.assad@itesm.mx
Artículo recibido: 15/noviembre/2009.
Artículo aceptado: 25/marzo/2010.
RESUMEN
El presente trabajo propone un modelo dinámico para la medición de ácido láctico para atletas de alto rendimiento en isquemia, es decir cuando hay reducción de flujo sanguíneo (fuente de oxígeno). Se presenta una introducción al proceso de regulación de lactato en isquemia para describir los parámetros involucrados en la modelación dinámica. Los resultados indican que el modelo dinámico predice en forma efectiva la cantidad de lactato en las pruebas físicas aplicadas a tres atletas. Al comparar los resultados del modelo con mediciones de muestras de sangre en un analizador electrónico, el modelo dinámico obtiene una eficiencia (exactitud) máxima del 96.46% con un margen de error de alrededor de entre 3.5% y 11.8%. Estos resultados mejoran las predicciones presentadas por un modelo ideal básico que obtiene una eficiencia de 90.61%. Las eficiencias son un indicativo de qué tan cerca está el modelo con respecto a la medición de un analizador electrónico de muestras de sangre.
Palabras clave: Ácido láctico, isquemia, lactato.
ABSTRACT
The following article proposes a dynamic model to measure lactic acid for high performance athletes in ischaemia, in other words, when there is a blood flow reduction (source of oxygen). An introduction to the lactate regulation in ischaemia is presented to describe the parameters involved in the dynamic modeling. The results indicate that the dynamic model predicts effectively the amount of lactate in physical tests performed to three athletes. When comparing the model results with samples of blood measurements from an electronic analyzer, the dynamic model obtains an maximum efficiency (accuracy) of 96.46% having an error range between 3.5% to 11.8%. Those results improve the predictions from an ideal model, where an efficiency of 90.61% is obtained. The efficiencies are indicative of how close the model can be to measurements performed by an electronic blood sample analyzer device.
Key words: Lactic acid, ischaemia, lactate.
INTRODUCCIÓN
En el entrenamiento deportivo de atletas de alto rendimiento es de mucho interés el conocer el estado del ácido láctico al entrenar, pues es el mejor indicador de esfuerzo físico que puede determinar la dosificación de carga o intensidad de trabajo. Este trabajo incorpora un modelo matemático para poder predecir el nivel de ácido láctico en la sangre que tiene una persona en todo momento, centrándose especialmente en la producción anaeróbica. Se pretende concretar un modelo dinámico para incorporarlo a un sistema de instrumentación electrónica que permita desplegar la información, preferentemente en forma de un reloj de pulsera. El enfoque es totalmente deportivo centrándose en pruebas de atletismo y eventualmente ciclismo. Se hace una breve descripción de la bioquímica involucrada1 en la regulación de lactato en isquemia y luego se procede a desarrollar el modelo. El trabajo culmina con un modelo dinámico representado por funciones de transferencia derivadas usando la teoría de sistemas lineales.
Se ha demostrado ampliamente que un entrenamiento en base a muestras de lactato lleva a los atletas a mejorar notablemente sus rendimientos como lo publica Janssen en su obra Lactate Pulse-Rate2. Si un entrenador pudiera conocer el nivel de ácido láctico de sus atletas a la hora de hacer ejercicio, podría entrenarlos de manera mucho más eficiente y sus resultados se traducirían en mejoras de rendimientos físicos. Un beneficio adicional es facilitar la identificación de talentos para el deporte. Una persona mal entrenada pero apta para el deporte genera grandes cantidades de lactato.
Actualmente no existen modelos ni dispositivos no invasivos de medición o predicción de ácido láctico. Los medidores convencionales requieren que el atleta se detenga en su entrenamiento para realizar una medición de lactato, lo cual requiere extraer sangre, algo que resulta incómodo y doloroso. El problema es definir una forma de medir o predecir el nivel de lactato de manera no invasiva correlacionando diversos parámetros físicos para encontrar la concentración de ácido láctico en la sangre esperando obtener un resultado de por lo menos 80% de efectividad comparado con los resultados de los medidores convencionales invasivos. Los médicos y entrenadores sugieren que una medición no invasiva de utilidad, debe de hacerse con estos números de efectividad. La eficiencia se define en términos de qué tan cerca estaríamos de una medición confiable y de utilidad para la medicina deportiva y para los entrenadores que dosifican el ejercicio.
El objetivo de este trabajo es encontrar una forma apropiada de correlacionar diversos parámetros físicos medibles en forma no invasiva para determinar el ácido láctico, es decir, sintetizar un modelo. La contribución científica en el mundo del deporte propone a los atletas de alto rendimiento una mejora de su desempeño al poder conocer el nivel de ácido láctico en su sangre al hacer ejercicio.
En un estudio bibliográfico elaborado por Lemiszka et al.1 muestra las contribuciones más importantes sobre el tema. Esta misma referencia muestra un estudio del fenómeno de producción de lactato al igual que la modelación estática y dinámica de este comportamiento en atletas de alto rendimiento. Peter Janssen2 aporta todo el conocimiento en materia del punto de deflexión, de las pruebas existentes para localizarlo y de todos los factores externos que pueden influir en la alteración de los niveles de lactato. Zhou et al.3 ilustra la forma de la curva de producción y acumulación de lactato, así como la forma en que se consume el glucógeno, recurso principal para la generación de lactato en la sangre. El proceso bioquímico se detalla con las contribuciones de Trudy, McKee y James R. McKee4. Finalmente el estudio de la gluconeogénesis lo describen Vázquez-Contreras5, Marco6 y Domach7. Estas referencias se citan durante el desarrollo del modelo en las siguientes secciones.
DESCRIPCIÓN DEL PROBLEMA
La metodología seguida para la modelación dinámica empieza con una descripción sencilla del proceso de regulación de lactato en isquemia para ilustrar los parámetros críticos en la predicción dinámica del valor de lactato. Se hace referencia a factores externos que pueden influir en la predicción final de lactato, particularmente la altitud. Para los otros factores el punto de deflexión ha de ser modificado para compensar el modelo. Finalmente, se realiza una validación inicial del modelo dinámico mostrando resultados experimentales al comparar las predicciones del modelo propuesto con el valor producido por un analizador de lactato electrónico de muestras de sangre. El presente desarrollo describe un modelo inicial que se continúa verificando usando métodos estadísticos en grupos de atletas de alto rendimiento.
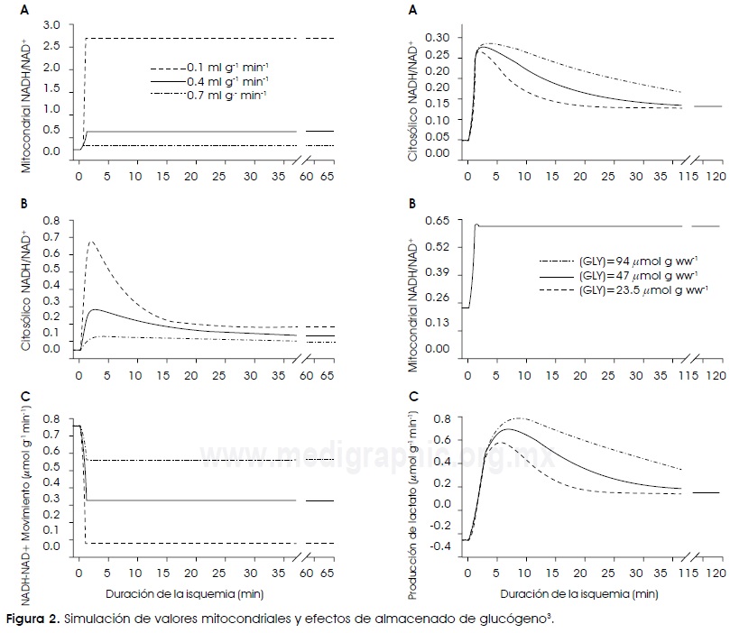
En condiciones isquémicas‡ (reducción de flujo sanguíneo, fuente de oxígeno) la oxidación de NADH mitocondrial decrece, se activa la glucólisis y hay producción de lactato. En condiciones normales, el NADH es generado por la glucólisis y la oxidación de lactato es transportada a la mitocondria a través de la vía «malate-aspartate» y oxidada por la cadena de transporte del electrón. Con el flujo sanguíneo y la entrega de oxígeno reducido, el consumo de oxígeno es menor, generando un NADH/NAD+ mitocondrial más elevado. La isquemia también activa la interrupción del glucógeno, acelera la glucólisis e incrementa la producción de lactato, resultando en un NADH citosoidal. El mecanismo que controla el NADH/NAD+ no es muy claro§. En la actualidad no existen métodos de medición de NADH/NAD y flujo metabólico en el citosol|| y la mitocondria. Como alternativa se usan modelos computacionales que representan las respuestas dinámicas en el citosol y la mitocondria3.
Zhou desarrolla un modelo computacional multimodal del metabolismo de la energía cardiaca en animales grandes que distingue el transporte y los procesos metabólicos en la sangre, el citosol y la mitocondria. El modelo simula condiciones isquémicas normales. Posteriormente las simulaciones predijeron respuestas dinámicas de especies químicas y flujos en el citosol y la mitocondria durante la isquemia. El modelo no distingue los pasos elementales de la cadena de transporte del electrón ni fosforilización oxidante. Las simulaciones permitieron diferenciar el NADH/NAD+ mitocondrial del citosoidal y el mecanismo de regulación de lactato durante la isquemia, del mismo modo permitieron enfatizar los tiempos de procesos clave de concentraciones del metabolismo (NADH, NAD+, glucógeno, lactato, etc.), y flujos (consumo de oxígeno, glucólisis, vía «malate-aspartate») de poca, media y severa isquemia3.
Resultados del modelo de Zhou. Cuando el flujo sanguíneo miocardial fue reducido de un valor inicial de 1.0 ml g-1 min-1 a 0.7 ml g-1 min-1, 0.4 ml g-1 min-1 y 0.1 ml g-1 min-1 (isquemia ligera, moderada y severa), el consumo de oxígeno miocardial fue reducido 19, 48 y 86% respectivamente3. La isquemia resultó en una reducción en las concentraciones de ATP y fosfocreatina mientras que la concentración de ADP¶ citosoidal y ADP/ATP mitocondrial incrementó de su valor preisquémico. El incremento en el ADP/ATP citosoidal con isquemia activó la interrupción de glucógeno y activó la glicólisis. La razón de la glicólisis depende de la severidad de reducción de flujo, en la simulación incrementó al inicio de la isquemia (valor pico de 3 min) y luego regresó a un estado estable después de 40 min. La glicólisis acelerada durante la isquemia resultó en producción y acumulación de lactato. Lo anterior se resume considerando la Figura 18.
La razón de interrupción de glucógeno es la causante mayor en la producción de NADH/NAD+ y producción de lactato en el inicio de la isquemia. Sin embargo, en la Figura 2 no se observa el metabolismo mitocondrial o valores constantes de producción de lactato. La capacidad de transferir NADH del citosol a la mitocondria es clave en la producción de lactato, tanto en la fase de isquemia como en el estado estable8.
La aportación más importante de este modelo es que la producción de lactato durante el periodo inicial de isquemia no está determinado directamente por el NADH/NAD+ mitocondrial, sino por el NADH/NAD+ citosólico. Además, la transferencia de NADH a la mitocondria por la vía «malate-aspartate» es un regulador clave en el NADH/NAD+ citosólico y producción de lactato8. En la Figura 2 a la izquierda se muestran valores mitocondriales de NADH-NAD+. En (A) NADH-NAD+ mitocondrial, en (B) NADH-NAD+ citosólico y en (C) la razón de la vía «malate-aspartate», durante isquemia ligera (0.7 ml g-1 min-1), moderada (0.4 ml g-1 min-1) y severa (0.1 ml g-1 min-1). A la derecha de la misma Figura se muestran los efectos de almacenamiento de glucógeno en la dinámica del NADH/NAD+ citosólica (A). En (B) se muestra el NADH/NAD+ mitocondrial y en (C) la producción de lactato en respuesta de isquemia moderada (0.4 ml g-1 min-1)8. En cada una de las gráficas mostradas en la Figura 2, cada línea (una continua y dos punteadas corresponde) a distintos valores de isquemia: leve, moderada y severa, respectivamente.
Estas simulaciones demuestran que con una isquemia moderada hay un decremento exponencial de concentración de glucógeno, rápida acumulación de NADH y un cambio de absorción a acumulación de lactato. El comportamiento de la producción neta de lactato en respuesta a la isquemia es similar a la del NADH/NAD+ citosólico, implicando que la razón de producción de lactato está en gran medida controlada por las razones de glicólisis y gluconeogénesis y modulada por el NADH/NAD+ citosólico. La curva mostrada en línea continua de la Figura 3 muestra la dinámica de la producción de lactato en respuesta a isquemia moderada (0.4 ml g-1 min-1)3.
El resultado del estudio realizado por Zhou implica que durante la isquemia, el NADH/NAD+ mitocondrial y citosoidal tienen un comportamiento diferente controlado por diversos procesos metabólicos. Mientras que el NADH/NAD+ mitocondrial es determinado por la cantidad de oxígeno, el NADH/ NAD+ citosoidal es determinado principalmente por la interrupción de glucógeno y glucólisis y en forma secundaria por el consumo de oxígeno. Ambos juegan papeles importantes pero diferentes; mientras que el NADH/NAD+ mitocondrial afecta el piruvato, el NADH/NAD+ citosoidal modula la razón del metabolismo de lactato3.
ADAPTACIÓN A UN MODELO DINÁMICO
El modelo presentado por Zhou et al.3 funciona a partir de variables fisiológicas bioquímicas (volumen, flujo sanguíneo, concentración arterial de especies y razón de transporte de masa de la sangre al citosol). El problema es que para tener un estimador de nivel de lactato no-invasivo es necesario poder calcular cada una de sus variables en forma no invasiva. Por ello, se descarta el uso de las ecuaciones de la referencia3 pero no se le resta importancia a los resultados de sus simulaciones.
Si bien no es posible usar el modelo en sí, lo que sí se puede hacer es retomar y analizar la curva de lactato que obtiene. Esta curva tiene un comportamiento diferente a la que muchos autores expresan en sus libros argumentando que el lactato tiene un crecimiento siempre exponencial. Como se puede ver en la Figura 3, la curva de lactato cambia de forma con el tiempo. La contribución de Zhou al modelo desarrollado en este artículo es aportar la forma de la curva de lactato para ser comparada con las formas conocidas. A partir de esta curva y de un análisis de una muestra significativa de curvas de diversos atletas, es posible obtener la expresión matemática de la curva de lactato y adaptar las ecuaciones a un modelo dinámico.
Síntesis del modelo dinámico. Las variables químicas que más intervienen en la cantidad de lactato son principalmente la cantidad de oxígeno, la demanda de energía y de la cantidad de glucógeno. La Figura 4 muestra las variables involucradas en el modelo dinámico de lactato. La cantidad de glucógeno, oxígeno (VO2) y energía demandada son los principales determinantes de la generación de lactato.
A continuación se hace un análisis a cada una de estas variables para llegar a tener un conjunto de ecuaciones para obtener la curva de lactato.
Cantidad de VO2. Una variable determinante que es necesario considerar es la cantidad de oxígeno presente en la sangre, pues dependiendo de la cantidad de este recurso será la rapidez o pendiente con que se genera el lactato. Es importante distinguir que el oxígeno en la sangre es diferente a la cantidad de oxígeno en la atmósfera, por lo cual es imprescindible tener una forma y un indicador de O2 en el torrente sanguíneo. Aquí es donde encuentra su definición el concepto de VO2, que es un indicador de la cantidad de oxígeno en la sangre. VO2 es una fracción de VO2Max. De acuerdo a la literatura del deporte1, VO2Max corresponde a PRMax (pulso máximo). Si VO2Max es a PRMax , entonces VO2 es un porcentaje de VO2Max que depende de PR.

La expresión (1) corresponde a un indicador teórico del contenido de oxígeno en la sangre del atleta. Además, el valor de VO2 Max estaría definido por la ecuación de Fick10.

donde Q es el flujo cardiovascular, Ca[O2] es el contenido arterial de oxígeno, y Cv[O2] es el contenido de oxígeno venal.
Existen diversas pruebas para conocer el valor de VO2Max. La forma más apropiada de medir VO2Max es haciendo una prueba directa, esto es mediante una prueba de laboratorio que puede ser realizada en un centro médico. La prueba consiste en correr a incrementos constantes de velocidad y mantener esa velocidad por un tiempo. Se conecta un aparato en la boca, el cual calcula la cantidad VO2Max para lo cual se vele del uso de sensores que miden la cantidad de CO2 que es espirada y miden la cantidad de oxígeno presente en el aire. VO2Max es alcanzado cuando el consumo de oxígeno permanece en estado constante11.
Otras formas de realizar la medición son indirectas, se hace mención de algunas. La prueba de Rockport Fitness Walking Test (RFWT) consiste en caminar una milla y al final tomarse el pulso. Para determinar el VO2Max se puede usar la siguiente ecuación10, la cual se basa en un estudio desarrollado para un grupo de atletas:

Las consideraciones de la fórmula son: Peso en libras, edad en años, sexo (masculino = 1, femenino = 0), tiempo (expresado en minutos) y el pulso es de (latidos/minuto tomado al final de la competencia)10. Esta ecuación se puede sustituir por un estimador más apegado a un grupo específico de atletas y dependiendo del deporte analizado.
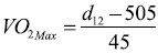
Otra prueba es la del Dr. Kenneth H. Cooper llevada a cabo en la Fuerza Aérea de los Estados Unidos al final de los 60. Uno de los resultados que obtuvieron de sus pruebas es que la estimación de VO2Max (en ml/min/kg) es11:

donde d12 es distancia (en metros) recorrida, corriendo, en 12 min11. Existen también otros métodos para calcular este indicador. Algunos de ellos son directamente de pruebas como la de Kinderman o Conconi. Para la prueba de Conconi:

Donde PR17[Km/h] y PR12[Km/h] son los pulsos medidos cuando el atleta alcanza velocidades de 17 km/h y 12 km/h, respectivamente.
VO2 a partir de la dilatación del pecho. Cuando una persona respira, su pecho o sección abdominal se dilata por la inhalación de aire. Este hecho es de gran utilidad para deducir el valor de VO2 pues se puede usar una banda en el pecho o abdomen que dé el valor a partir de la dilatación presentada. El pulso se puede medir usando una banda, queal hacerle una modificación pudiera mandar una señal de dilatación.
Contenido de oxígeno en la sangre. El haber inhalado mucho oxígeno no necesariamente quiere decir que toda esa cantidad de O2 será absorbida por el organismo. La Figura 5 resume el ciclo de la respiración.
El contenido de oxígeno en la sangre varía dependiendo de la habilidad del cuerpo de una persona en asimilar ese oxígeno. Por lo tanto, la cantidad de oxígeno que se usa en la glucólisis es sólo un porcentaje de VO2Max respirado que varía de persona a persona. Entonces para calcular la cantidad de oxígeno que llega a la sangre se debe de usar un factor de oxigenación, Hp, y un factor externo de altitud, A, que se describe más adelante. Esto es:

La ecuación (5) propone un modelo sencillo1 donde se agregan los factores Hp y A, que ilustran las diferentes capacidades de los atletas para lograr un aprovechamiento al máximo de la cantidad de oxígeno disponible.
El modelo dinámico aparece ahora en la Figura 6.
Factores externos, el factor de altitud A. Existe un factor muy importante que es la altitud, A, el cual debe ser incorporado al modelo, pues influye de manera significativa en la cantidad de oxígeno que llega a la sangre. Los demás factores se asumen que están incorporados al reflejar su comportamiento en el pulso.
Todo deportista sabe que en un cambio de altitud existe una baja en el rendimiento posterior a las 2 horas de llegada, pero después de alrededor de 3 días el cuerpo vuelve a su estado habitual. La altura es un factor de mucho peso. Como cifras de muestra, entre 1903 y 1912, sólo 42 montañeros intentaron alcanzar la cima de 6,218 metros, del monte McKinley, en Alaska, y ninguno lo consiguió; de 1988 a 1990 hubo 2,923 conatos, y 1,659 éxitos12.
El desafío de la altura en la actividad física es causado por la presión parcial disminuida del oxígeno ambiental, y no por la presión barométrica total reducida. Esta reducción de la pO2, y la acompañante hipoxia arterial es la que precipita los ajustes fisiológicos inmediatos, además del proceso a largo plazo de la aclimatación12.
El modelo presentado hasta ahora, Figura 6 y haciendo A = 1, funciona con una altitud a nivel del mar, ya que no se han considerado variaciones atmosféricas en la concentración de este recurso. A será el factor de compensación por la altura y toma valores de entre 0 y 1 donde 1 es el 100% corresponde a una altura del nivel del mar. Una correlación del factor A en términos de altitud, h, se desarrolló en [1] y se describe con la siguiente ecuación:

donde A es el factor de altura del modelo y h es la altitud a la que se encuentra el atleta. Debido a la variable A el dispositivo electrónico deberá tener un altímetro integrado.
Consumo de glucógeno. El glucógeno es la variable que determina la cantidad de lactato que se produce debido a que es el recurso del cual empieza todo el proceso de glucólisis. Hasta ahora el modelo propuesto describe la ecuación de salida sin considerar el consumo de glucógeno. Sin embargo extendemos el modelo para analizar esta variable.
De acuerdo al experimento de Zhou3, el consumo de glucógeno se aproxima a una curva exponencial decreciente como la ilustrada en la Figura 7(a). Esta curva coincide con la propuesta por Domach7.
De las gráficas de Zouh y Domach se sugiere una función de tiempo elevado a un exponente negativo como t-2 como la ilustrada en el recuadro de la Figura 7(b) y aplicada en la concentración de glucógeno (Figura 7(c)). El exponente de esta curva determina la inclinación o pendiente de la misma, o en los términos del modelo determina la rapidez de consumo de glucógeno. Esta variable está definida por la velocidad del atleta, pues a mayor demanda de energía mayor consumo de glucógeno.
De acuerdo a Janssen B.F.8, la concentración máxima de glucógeno en el músculo es de 4 g por cada 100 g de músculo. Cabe mencionar que Janssen argumenta que después de un arduo ejercicio se reconoce la disminución en la concentración de glucógeno pero aclara que 3 días con una dieta rica en carbohidratos se puede incrementar el valor a 3 o 4 g por cada 100 g. Con esta información se inicializa la curva en 4 g. Nótese que éste es un valor diferente al identificado en Zhou. Sin embargo, es posible convertir de una escala a otra sin perder la dinámica del proceso.
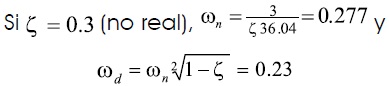
Como la función t-2 no tiene un valor en cero, se procede a hacer un corrimiento en tiempo para que empiece en cero. Se propone un retardo de 2 para ajustar la respuesta a la curva del modelo presentado por Zhou3. De esta forma, la función en términos de nuestras variables queda:

donde 4 g es el valor inicial de la función (glucó-geno)7 (4 g por cada 100 g de músculo), v es la velocidad en m/s y F es un factor de ajuste de la función. Se prueba para valores de velocidad de 4 m/s sabiendo que a mayor velocidad, la cantidad de glucógeno se consume más rápidamente (por el momento se supone un valor de ajuste F de 10 en la Figura 7). Por lo pronto es necesario obtener el valor exacto de F regresando a la gráfica de concentración. La forma de hallar F es asignando una velocidad para la única curva válida en [3] y usarla en la fórmula para luego obtener valores de F y encontrar la forma de la curva de [3] para esa velocidad.
De las curvas de glucógeno observadas, en el modelo de lactato de Zhou, la de menor nivel llega a 12 µMol/g 3. De acuerdo a la literatura del deporte éste es un valor de lactato muy alto observado solamente en condiciones anaeróbicas severas. Sin embargo, el tiempo propuesto en esta referencia no es tolerable para un deportista. De acuerdo a la referencia [7], un ácido de niveles de 6 µMol/g a 8 µMol/g es posible que sea tolerado de 2 a 5 minutos. Sin embargo, hay atletas que sí pueden llegar a niveles superiores de hasta 20 µMol/g por un periodo corto, y algunos pueden tolerar niveles de 12 µMol/g en forma prolongada.
Si se prueban diferentes valores de F para una velocidad, es posible notar que un valor de 20 resulta congruente con los valores que uno espera observar. Cabe mencionar que el valor de F es particular para cada atleta, aunque este valor es una buena aproximación para ser usado como referencia. Posteriormente esta función de glucógeno será usada para determinar la función de transferencia del músculo, para lo cual es necesario evaluar su transformada de Laplace. Con el corrimiento en tiempo realizado, la transformada se dificulta.
Para F = 20 y una velocidad de 4 m/seg, la Figura 8 muestra la gráfica del consumo típico de glucógeno con respecto al tiempo.
Hasta ahora el análisis de la función de glucógeno se ha limitado a corredores. Para ciclistas el exponente queda determinado por la cadencia (frecuencia de pedaleo), Ca , y el paso, Gear, variables que corresponden a la demanda de energía en las piernas de un ciclista. La ecuación queda de la siguiente forma:

donde Ca es el delta de cadencia medido en vueltas por minuto (v/min), Gear es la fuerza de pedaleo que el ciclista ha seleccionado y Fc es el factor de ajuste (factor de cadencia). La variable Gear será una constante que depende de la velocidad manual que el ciclista ha seleccionado, por lo cual en la implementación del modelo únicamente se debe integrar un interruptor o potenciómetro en el seleccionador de velocidades de la bicicleta.
Forma esperada de la curva de lactato. A partir del estudio de Zhou3 se sabe que la curva de lactato debe tener la forma ilustrada por la Figura 9. Varios autores concuerdan que el crecimiento en la concentración de lactato es exponencial. Sin embargo esta suposición está sujeta solamente a un incremento gradual de demanda de energía. Este pensamiento coincide con A, la primera parte de la gráfica de la Figura 9(b). Sin embargo, para esfuerzos extremos los resultados coinciden más con la parte B y manteniendo una velocidad constante se ve que se comporta como C. Estas observaciones coinciden en forma con el modelo simulado de Zhou3.
Zhou3 demuestra que la concentración de lactato tiene un comportamiento muy parecido al NADH/NAD+ citosoidal. Aunque él propone un modelo bioquímico donde a partir de sus ecuaciones simula la glucólisis y grafica el NADH/ NAD+ citosoidal, es posible reproducir su curva usando funciones conocidas que se aproximen a la forma encontrada siguiendo la lógica del modelo fisiológico propuesto. En su equivalencia con un modelo ideal, la gráfica de Zhou es el resultado del consumo de glucógeno dada una limitación de oxígeno (producida por isquemia), y el proceso de gluconeogénesis. Entonces el modelo dinámico podría representarse ahora como la Figura 10.
Considerando ahora el efecto de gluconeogénesis y los procesos bioquímicos que intervienen en la amortización o metabolización del lactato, hay que agregar estos procesos de modo que la curva de la nueva ecuación sea muy parecida a la del modelo de Zhou.
Escalamiento de curvas de lactato. Es importante notar que en la gráfica de Zhou aparece la concentración en /vMol/g en función del tiempo sometido a tres condiciones de isquemia. La literatura del deporte propone niveles de lactato en mMol/l, por lo cual como primer paso una conversión de unidades es adecuada. Para ello se usa el siguiente factor de conversión1: 1 µMol/g = 1.0601 mMol/l. Con este valor se conoce la equivalencia de esta gráfica con el valor normalmente expresado en mMol/l. La equivalencia es casi de uno a uno (Figura 11).
Como ya se hizo mención, en la teoría del deporte no es común observar niveles de lactato superiores a 20 mMol/l (de hecho 12 mMol/l ya es un valor muy alto), por lo tanto, de las tres condiciones de isquemia mostradas en la Figura 11, se analiza la de (C). A continuación se propone un modelo cuya respuesta será de segundo orden que reproduce la dinámica del comportamiento de la concentración de lactato para diferentes condiciones de isquemia.
ECUACIÓN DEL PROCESO DE LACTATO
Analizaremos ahora la función de transferencia del proceso de lactato a partir de la curva presentada en [3].
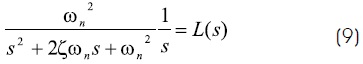
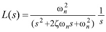
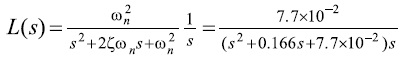
Ecuación de salida. En la teoría de control clásico el identificar la función de transferencia supone dividir la salida entre la entrada estando en el dominio de la frecuencia. Se eligió un modelo lineal para modelar la curva de lactato como un primer intento en el desarrollo de modelos más sofisticados que emplean técnicas de redes neurales y lógica difusa, entre otros. En este modelo la salida es el lactato (cuya inclinación de la curva está en función de Z) y la entrada es la función de glucógeno. Este comportamiento puede representarse como la curva de la respuesta a una entrada escalón de una función de segundo orden que tiene la siguiente forma:

donde ζ (factor de amortiguamiento) determina la inclinación y el pico máximo de la curva, y ωd y ωn se miden en [rad/min] y son la frecuencia de oscilación amortiguada y la frecuencia natural, respectivamente y definen el tiempo de estabilización. Para su equivalente en tiempo se obtiene su transformada inversa de Laplace. El polo en el origen proviene de la transformada de Laplace de una entrada escalón. La respuesta impulsional es (sin el término agregado, 1/s):

Donde:

A continuación se analiza la gráfica del modelo de Zhou para obtener ωn ωd y ζ usando los métodos gráficos de la teoría de sistemas lineales.
Obtención de parámetros de la ecuación. Se desea obtener el máximo porcentaje de sobretiro o sobreimpluso Mp, el tiempo de estabilización ts, el tiempo de retraso td, el tiempo pico tp y el tiempo de rizo tr. Los valores de la gráfica de Zhou son: Mp = 136.6>% , t = 2.5 min, y t = 8.21 min. Para la! obtención de ts se idealiza trazando una línea recta en el intervalo perdido. Obteniendo la pendiente de la recta es posible saber en qué momento la curva llega a un valor 5% antes de estabilizarse. Haciendo este procedimiento1 se obtiene ts = 36.04 min.
Obtención del factor de amortiguamiento ζ. En teoría de control la pendiente de la curva de tercer orden la determina el factor de amortiguamiento Z. En la gráfica de Zhou esto depende del grado de isquemia aplicado. Se estima el valor de ζ a partir de condiciones cercanas a la curva (C) de Zhou pues las otras dos no son casos reales. El valor de ζ es el valor de CO2 presente en el músculo para sintetizar el piruvato. A menor oxígeno menor el valor de ζ. Así pues, ζ está determinado por VO2 Hp A donde VO2 es el volumen máximo de oxígeno respirado por la fracción de la tasa de latidos máxima que hay presente en el momento, así como por la demanda de energía (Figuras 6 y 8). En este punto se hace uso de un modelo ideal presentado en [1] donde la cantidad de lactato generado correspondía a la diferencia entre las curvas de pulso y velocidad. La Figura 12 ilustra este proceso de obtención del factor de amortiguamiento. Nótese que VO2Max %PRMax determina ζ cuando no hay diferencia de linealidad entre velocidad v y pulso PR.
En la Figura 12, Δvn - Δpn es la diferencia aritmética normalizada de los incrementos de las curvas y φ es el factor de ajuste de esta diferencia (se puede usar igual que β). Cuando se pierde linealidad en esta diferencia es cuando el bloque arroja algún resultado. Para saber si se cumple con linealidad o no, se deben tomar en cuenta muestras anteriores. Si el incremento de la diferencia de la muestra presente con respecto a la muestra anterior no sigue un incremento lineal, entonces el valor de ζ se empieza a disparar correspondiendo a una diferencia entre la cantidad de oxígeno presente y la cantidad de oxígeno requerida por la demanda de energía.
Procedimiento para determinar ζ:
1. Obtener las primeras n muestras para velocidad y pulso.
2. Obtener la pendiente de las primeras muestras. La pendiente no debe cambiar al principio. Obtener la pendiente de cada muestra (para cada incremento) usando la muestra anterior.
3. Para cada pendiente que se obtiene es necesario normalizarla.
4. Se comparan las pendientes de velocidad y pulso. Habrá una muestra de pulso cuya pendiente m habrá disminuido. La comparación se hace con la siguiente resta.

Una forma más sencilla es normalizar la velocidad y el pulso (PR) al punto de deflexión y obtener la diferencia en el tiempo o punto que se quiere analizar.

donde vn y pn es la velocidad y el pulso normalizados al punto de deflexión respectivamente.
5. Estimación de Z con el modelo de la Figura 15.

φ es un factor de ajuste de la diferencia de curvas, Fz es el factor de ajuste de ζ. Después de haber experimentado los valores óptimos fueron de entre 1 y 80 para φ y de 0.01 a .002 para Fz, dependiendo del atleta. Para tener valores realizables, ζ debe estar entre 0.2 y 2 en casos muy extremos, normalmente no debe ser menor a 0.2.

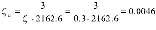
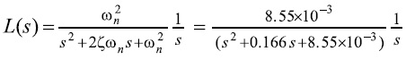
El valor de ζ determina los coeficientes ω y ωd del modelo dinámico. Por ejemplo, cuando el valor de ζ es de 0.3, entonces tenemos:

para calcular en segundos, o bien 0.28 para minutos.

para rad/min, o bien 0.004388 para rad/seg.
Función de transferencia para proceso de lactato. La función de transferencia para modelar el proceso de generación de lactato se obtiene a continuación. Ésta es:

donde G(s) es la función de glucógeno y L(s) es la función de salida o de lactato, ambas en el dominio de la frecuencia.
Resumen del modelo dinámico. A continuación se muestra el conjunto de ecuaciones que forman el modelo dinámico.
Ecuación principal

Para el ajuste del valor final se incorpora E y D
Ecuaciones intermedias

C1 C2 C3 resultan de la transformada inversa de Laplace.
Parámetros

Φ = 1 (pero de acuerdo a los experimentos puede ser un poco mayor, dependiendo del valor que se le asigne a Fz)
F z = de 0.01 a 0.002 (de acuerdo a los experimentos realizados)

Evaluación del oxígeno en el atleta

para la prueba de Conconi ecuación (4)
o bien,
para la prueba de Cooper ecuación (3),
(de acuerdo a los experimentos realizados),
si hacemos el cálculo en segundos, si hacemos el cálculo en minutos,
ecuación (11),
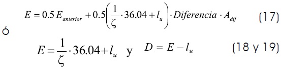
e. Ponderación de la constante E.
Para el valor final E se puede también hacer una ponderación a fin de amortiguar los descensos de los niveles.
Para obtener el resultado ponderado usar:

Adif se ajusta de la diferencia de curvas de velocidad y pulso, el cual se ha encontrado experimentalmente que es igual a 0.071.
Ejemplos del modelo dinámico
Ejemplo 1 - Caso de un atleta típico. A continuación se presenta un ejemplo para una cantidad particular de oxigenación que define a ζ dada su velocidad constante de 4 m/seg. Los datos son incorporados en las fórmulas de ωn y ωd para obtener estos valores.
i. Frecuencias natural y amortiguada.
Si ζ = 0.9 y la velocidad del atleta es de 4 m/s, entonces:

ii. Entrada: función de glucógeno.
Para el consumo de glucógeno se retoma el modelo g(t) y se sustituyen los valores de velocidad y F para obtener la función de glucógeno en términos de la frecuencia compleja s. Suponer velocidad = 4 m/s y F = 20.1.

Donde el operador Γ representa la transformación del dominio t al dominio de Laplace.
iii. Salida, función de lactato.
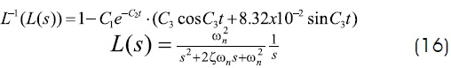
La salida corresponde a la forma conocida de segundo orden analizada anteriormente en respuesta a una entrada escalón. Al tener una entrada escalón y sacar la función de lactato, se llega a una función de tercer orden debido a que se tiene que multiplicar por la función escalón. Así,
L(s) = S(s)E(s)
Donde S(s) es la salida de segundo orden y E(s) es una entrada escalón cuya transformada es

De esta manera la función de función de lactato, ecuación (9), queda:

se sustituyen los valores de ωn y ωd en la función de tercer orden y la función representará la forma que tiene la curva de salida. Para este caso siempre se está calculando el tiempo de estabilización ts para 36.04 minutos, pues ése fue el resultado del análisis gráfico realizado para la curva de lactato en la referencia [3]. Nótese los tres polos de la ecuación. Sustituyendo los parámetros, la función de lactato queda como sigue:

Para conocer el progreso de la curva de esta función transformamos la expresión al dominio del tiempo haciendo una transformada inversa de Laplace de L(s). La curva aparece en la Figura 13.

iv. Función de transferencia, H(s).
De la función de glucógeno (entrada) y la función de salida (lactato) en el dominio de la frecuencia obtenemos la función de transferencia del organismo. Esta función se entiende como la respuesta que tendría el glucógeno al ser procesado por la ruta glucolítica en función de las condiciones de oxigenación, velocidad y todos los factores del modelo. Así, se procede a obtener esta función haciendo una división en frecuencia.
Ejemplo 2 - Caso extremo. Para hacer notar el cambio en las curvas debido a condiciones reducidas de oxígeno, se ejemplifica exagerando el valor de ζ presentando un caso extremo (grado alto de isquemia). Se realizan los mismos cálculos del ejemplo anterior. Primero se obtienen los valores de ωn y ωd dadas las condiciones de velocidad y oxigenación.
i. Frecuencias natural y amortiguada

ii. Entrada: función de glucógeno
Nuevamente se sustituye n los valores de velocidad y F para la función de glucógeno. Es necesario recordar que esta función describe el consumo del «combustible» usado en la glucólisis. Se hace un cambio del valor de F para este ejemplo a 8.1. La velocidad es de 5 m/seg.

iii Salida, función de lactato
De nuevo se sustituyen los valores de ωn y ωd en la función de tercer orden explicada anteriormente. Como se mencionó anteriormente esta función representa la forma que habrá de tener la curva de salida y es bien conocida en teoría de control. El valor de z determina el sobreimpulso o pico que tendrá la curva al llegar a su máximo valor. Para este caso es más pronunciado el pico debido a la reducción de este valor. De igual forma para este ejemplo los valores de ωn y ωd definen la frecuencia natural y la frecuencia de oscilación; ambos definen el tiempo de estabilización. Para este caso siempre se sigue calculando para 36.04 minutos.

Para ver la forma de la curva de lactato es necesario transformar del dominio de la frecuencia al del tiempo como se procedió en el ejemplo 1. La Figura 14(a) muestra la respuesta dinámica de lactato en forma normalizada.

iv. Función de transferencia, H(s).
Nuevamente se obtiene la función de transferencia del cociente L(s)/G(s):

v. Ajuste del valor final
Dos términos son agregados a la ecuación en tiempo para fijar en nivel inicial en el valor del umbral (muchas veces 4 mMol/l) y para ajustar el valor final de estabilización. El primer término se cambia por el término de E que es el valor final de estabilización y es función de ζ. En la gráfica de la referencia3 se observa que el valor final de estabilización no es el mismo para cada curva. La constante D se refiere al valor inicial del umbral y es la diferencia de E al valor de lactato en el umbral. Así, en el ejemplo anterior se tiene:

Si ζ el valor de lactato en el umbral lu es 4 mMol/l:

La figura 14(b) muestra la forma ajustada que es muy parecida a la del modelo de Zhou3.
DISCUSIÓN Y VALIDACIÓN CON ATLETAS
A continuación se mostrarán una serie de experimentos realizados a 3 atletas con la finalidad de validar el modelo mediante la comparación de los resultados con las mediciones que presenta un analizador convencional electrónico de lactato con muestras de sangre (Accutred©)1,13,14. Se hicieron diversas pruebas para obtener los datos que requieren los modelos. En el primer día se llevaron a cabo las pruebas de Conconi en un ambiente controlado usando una caminadora a 25°C, humedad relativa de 34% y una altitud de 800 m sobre el nivel del mar. Las demás pruebas se realizaron en pista con las mismas características. Para el segundo día las características eran de 22°C, una humedad relativa del 40% y a la misma altitud. Cada tabla ilustra el lactato medido (primera columna) y la predicción del modelo (antepenúltima columna) que se obtiene usando los parámetros dinámicos (ζ, wn, wd, Gluc(g), etc.). Con estas estimaciones se obtienen las últimas dos columnas porcentuales, el error y la eficiencia. Finalmente se promedian los valores de error y eficiencia obtenidos y el resultado se muestra en el último renglón. Otras pruebas se realizaron para validar otros modelos no presentados en este artículo1.
Atleta No. 1. La primera prueba que se realiza es la de Conconi, con la información obtenida se extraen los datos para alimentar el modelo y comparar los resultados. El atleta No. 1 tiene una edad de 19 años y un peso de 45 kg. Datos: PRmax = 192, VO2Max (de la prueba de Conconi) = 58.41, Hp = 1, A = 1, Fz = 0.015 (factor de ajuste de ζ), φ = 70 (factor ajuste de la diferencia de curvas de velocidad y pulso), Fe = 0.065 y Adif = 0.07. El Cuadro 1 muestra los resultados del modelo dinámico para el atleta No. 1.
Atleta No. 2. Tiene una edad de 20 años y un peso de 65 Kg. Datos: PRmax = 192, VO2Max (de la prueba de Conconi) = 58.41, Hp = 1, A = 1, Fz = 0.012 (factor de ajuste de ζ), φ = 1 (factor ajuste de la diferencia de curvas de velocidad y pulso), Fe = 0.065, Adif = 0.07. El Cuadro 2 muestra los resultados del modelo dinámico para el atleta No. 2.
Atleta No. 3. Al igual que los otros atletas, la primera prueba que se realiza es la de Conconi, con la información obtenida se extraen los datos para alimentar el modelo y comparar los resultados. El atleta No. 3 tiene una edad de 19 años y un peso de 56 kg. Datos: PRmax = 193, VO2Max (de la prueba de Conconi) = 59.24, Hp = 1, A = 1, Fz = 0.0151 (factor de ajuste de ζ), φ = 1 (factor ajuste de la diferencia de curvas de velocidad y pulso), Fe = 0.065, Adif = 0.07. El Cuadro 3 muestra los resultados del modelo dinámico para el atleta No. 3.
Resumen de resultados y discusión. El Cuadro 4 compara la eficiencia del modelo dinámico usando los errores porcentuales y eficiencia (exactitud) que fueron calculados como sigue: Error[%]= | (predicción/medición) 100-100| y Eficiencia[%]=100-Error[%]. El modelo dinámico produce buenos resultados, notando menor eficiencia en el atleta No. 2. El modelo dinámico presenta muy buenos resultados (errores menores a 11.1%) en las predicciones, a pesar de la dificultad de diversos ajustes y cálculos. Este primer modelo establece una excelente plataforma para continuar con el desarrollo de un dispositivo no invasivo para la medición de lactato en atletas de alto rendimiento. El siguiente paso involucra hacer pruebas con una muestra más grande de atletas y desarrollar experimentos estadísticos para validar exhaustivamente el modelo.
CONCLUSIONES
El presente artículo describe un modelo dinámico para estimación de lactato en atletas de alto rendimiento. A excepción del atleta No. 2, el modelo dinámico muestra un buen desempeño al registrar aproximadamente menos del 6% de error en su predicción al momento de compararlo con la lectura de un analizador electrónico de muestras de sangre. Este error es bastante aceptable para entrenar atletas. La exactitud de la predicción depende mucho de los valores usados en los factores de ajuste de los modelos. El enfoque de este trabajo se centró en corredores pero la misma teoría puede ser usada en otras disciplinas, con algunas modificaciones. Los resultados de este trabajo son independientes del deporte realizado, sin embargo es necesario realizar pruebas más exhaustivas con atletas de otros deportes para determinar si existen dependencias específicas en cuanto al esfuerzo físico desempeñado (por ejemplo: pesas, lanzamiento de bala, fútbol americano, etc.). Asimismo, es necesario realizar más pruebas físicas en atletas de alto rendimiento para tener una muestra lo suficientemente grande para desarrollar un estudio estadístico que valide de manera más contundente el modelo. El presente trabajo busca apoyar las necesidades del deporte para conocer el nivel de lactato en atletas y poder dosificar sus cargas de entrenamiento.
REFERENCIAS
1. Lemiszka MA. Modelación del nivel de ácido láctico para atletas de alto rendimiento. Tesis de maestría, Tecnológico de Monterrey, Tecnológico de Monterrey, campus Monterrey, Mayo del 2007. [ Links ]
2. Janssen P Technical Report, Training Lactate Pulse-Rate, Finlandia: Enero 1989. [ Links ]
3. Zhou L, Stanley WC, Saidel GM, Yu X, Cabrera ME. Regulation of lactate production at the onset of ischaemia is independent of mitochondrial NADH/NAD+: insights from in silico studies. The Journal of Physiology 2005; 569: 925937. Abstract disponible: http://jp.physoc.org/cgi/content/abstract/jphysiol.2005.093146v1. [ Links ]
4. McKee T, McKee JR, McKee T, McKee JR. Bioquímica, la base molecular de la vida, Mc Graw-Hill (España), Tercera edición, 2003. [ Links ]
5. Vázquez-Contreras E. Reporte Técnico, Precursores Gluconeogénicos. Bioquímica y Biología Molecular en Línea, Comité asesor de publicaciones, Facultad de Medicina e Instituto de Química, UNAM, Octubre 2003. [Online]. Disponible en: http://laguna.fmedic.unam.mx/~evazquez/0403/sustratos%20gluconeogenesis1 .html. [ Links ]
6. Marco F. Gluconeogénesis. Universidad Valencia, Departamento de Bioquímica y Biología Molecular, 2006. [Online]. Disponible en: http://www.uv.es/marcof/Tema17.pdf. [ Links ]
7. Domach MM. Introduction to Biomedical Engineering, Pearson Prentice Hall, 2004. [ Links ]
8. Janssen P. Technical Report. Lactate Threshold Training. USA: 2001. [ Links ]
9. Lactate.com, [CD Room]. 2007.
10. Ben S. Technical Report, "VO2Max - a Measure of Athletic Fitness. bbc.co.uk, Enero de 2002. [Online]. Disponible en: http://www.bbc.co.uk/dna/h2g2/A660223. [ Links ]
11. Seiler S. Technical report. Maximal Oxygen Consumption-The VO2Max, 2005. [Online]. Disponible en: http://home.hia.no/~stephens/vo2max.htm. [ Links ]
12. Hernández-Cortés R, Cebrián G, Fernández-Ruiz A, Ruiz-Cabello Jiménez Ma A. Technical Report. Patología de la Altitud. UNINET, 2006. [Online]. Disponible en: http://www.uninet.edu/tratado/c090502.html. [ Links ]
13. Litebol SRL. Technical Report. Tabla de conversiones Internacionales de Pesos, Volúmenes, Líquidos, Longitudes, Superficies y Temperaturas. Línea Terrestre Boliviana, Santa Cruz Bolivia, 2004. [Online]. Disponible en: http://www.litebol.com/imagenes/informacion/conversiones/conversiones.htm. [ Links ]
14. Lactate.com, Technical Report, "Lactate Testing -Basic Concepts", Diciembre 30, 1998. [Online]. Disponible en: http://www.lactate.com/pitesbas.html. 1998. [ Links ]
Este artículo también puede ser consultado en versión completa en: http://www.medigraphic.com/ingenieriabiomedica/
‡ Sufrimiento celular causado por la disminución transitoria o permanente del riego sanguíneo y consecuente disminución del aporte de oxígeno de un tejido biológico.
§ Zhou et al. 2005.
|| El citosol es el medio acuoso del citoplasma en el que se encuentran inmersos los orgánulos celulares. Representa aproximadamente la mitad del volumen celular. En el citosol se llevan a cabo las reacciones de la y las de la biosíntesis de azúcares, de ácidos grasos, de aminoácidos y de nucleótidos.
¶ El adenosin difosfato (ADP) es un nucleótido, es decir, un compuesto químico formado por un nucleósido y dos radicales fosfato. En este caso el nucleósido lo componen una base púrica, la adenina, y un azúcar del tipo pentosa que es la ribosa.


























