Los peces pelágicos menores forman grandes cardúmenes que soportan pesquerías a escala mundial, éstos poseen ciclos de vida cortos, alta fecundidad, varios desoves al año, con alta movilidad vertical y horizontal en las zonas costeras (Fréon et al., 2005). Se tiene evidencia de que las fluctuaciones de las capturas comerciales en sus principales áreas de pesca están asociadas a su vez a grandes fluctuaciones en la abundancia poblacional de las principales especies objetivo (p.ej. Engraulis mordax (Girard, 1854), Sardinops sagax (Jenyns, 1842)), atribuidas a fenómenos climáticos a diferentes escalas espacio-temporal (Lluch-Belda et al., 1989; Lluch-Belda et al., 1992; Lluch-Cota et al., 1999; Schwartzlose et al., 1999; Chávez et al., 2003) y al esfuerzo pesquero (Cisneros-Mata et al., 1995). Entre los fenómenos climáticos atribuibles a las variaciones en las capturas comerciales de los pelágicos menores que se han estudiado, resaltan los eventos de El Niño (Lluch-Belda et al., 1986), índice de circulación atmosférica (Klyashtorin, 2001) y la Oscilación Decadal del Pacifico (Cárdenas-Quintana et al., 2015).
En particular, en el Golfo de California (GC), México, la pesquería de sardina Monterrey S. sagax (Jenyns, 1842) es la más importante a nivel nacional y sus capturas se llevan a cabo en embarcaciones pesqueras con red de cerco y jareta (DOF, 2012). Esta pesquería ha experimentado cinco fases a lo largo de su desarrollo en el Golfo de California: 1) Exploración y establecimiento (1969/70-1975/76); 2) desarrollo y crecimiento (1976/77-1981/82); 3) expansión y estabilización (1982/83-1988/89); 4) declinación (1989/90-1993/94); 5) recuperación (1994-Presente) (DOF, 2012). En el periodo actual se observa un aumento en las fluctuaciones de las capturas, con los registros más altos de toda la serie y los más bajos desde la fase de expansión. En este trabajo se analiza la evolución temporal histórica de la captura comercial de sardina Monterrey en el GC durante el periodo 1969 al 2016, con la finalidad de determinar una tendencia clara y la presencia de componentes que se relacionen con la variabilidad ambiental que origina las fluctuaciones de las capturas de este recurso a diferentes escalas temporales.
Se utilizó una serie temporal con resolución anual de 48 registros de capturas de sardina Monterrey, recabados de las estadísticas oficiales de desembarcos realizados por la flota comercial de Guaymas y Yavaros, en el estado de Sonora, México, durante el periodo de 1969 a 2016, obtenidos de los informes del Instituto Nacional de la Pesca y Acuacultura (INAPESCA). Para identificar los periodos dominantes de la serie de capturas, se usó el espectro de potencia utilizando un método espectral no paramétrico, basado en la trasformación de Fourier de la función de autocovariaza de la serie de tiempo, descrita en el software estadístico InfoStat (Di Rienzo et al., 2008). Este método se utilizó debido a su alta confiabilidad para obtener las frecuencias (Salas-Pérez et al., 2012). El análisis de la estructura de la serie temporal de capturas de sardina Monterrey se hizo por el método “Singular Spectrum Analysis” (SSA) utilizando el software Caterpillar 1.00 (Gistat Group, 1996). Esta técnica no paramétrica de análisis de series de tiempo se basa en principios de estadística y geometría multivariada, sistemas dinámicos y procesamiento de señales, que descompone la serie de tiempo original en un conjunto de componentes aditivos independientes o separables (ortogonales), siguiendo el procedimiento de análisis de componentes principales (ACP), ayudando a predecir a corto y mediano plazo las capturas a partir de la estructura de la serie temporal y la contribución de sus principales componentes aditivos. El resultado de la descomposición permite identificar la tendencia de la captura y diferentes componentes armónicos, así como cuantificar el porcentaje de la varianza con el que contribuye cada uno de los componentes en la serie original (Golyandina et al., 2001). Para establecer la relación entre los componentes armónicos identificados con la variabilidad ambiental, se obtuvieron los valores anuales de 1969 a 2016 del Índice de Oscilación del Sur (IOS) como un indicador de la variabilidad ambiental relacionada con condiciones de El Niño (datos disponibles en http://www.bom.gov.au), la Oscilación Decadal del Pacífico (ODP) como un patrón de variabilidad climática del Pacífico norte similar a El Niño (datos disponibles en https://www.ncdc.noaa.gov) y con la actividad solar como un indicador de la variabilidad solar (interna o externa), el cual en promedio aumenta y disminuye con un ciclo aproximado de 11 años, que origina cambios en el patrón climático, corrientes superficiales y el clima global (datos disponibles en https://www.esrl.noaa.gov). Finalmente, se utilizó el análisis de correlación para comparar los armónicos obtenidos con cada una de las variables ambientales. Todas las correlaciones reportadas se consideraron significativas si P<0.05.
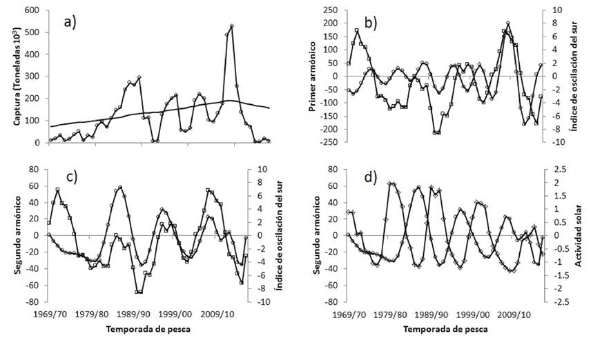
La densidad espectral de potencia de la serie de capturas de sardina Monterrey mostró dos picos a 7 y 11 años (Fig. 1). Se observó una tendencia lineal creciente de las capturas a partir del año 1969 hasta 2008, posterior a este año se observó un comportamiento decreciente hasta el año 2016 (Fig. 2a). El porcentaje de la varianza total que es explicado por la tendencia fue del 67.46%. Se obtuvieron dos componentes armónicos de diferente frecuencia de oscilación. El primer armónico fue de 7 años con un porcentaje de contribución a la varianza explicada del 14.58% (Fig. 2b) y el segundo armónico fue de 11 años, con un porcentaje de contribución a la varianza explicada del 5.44% (Fig. 2c). En conjunto la tendencia y los dos componentes armónicos explicaron el 87.49% de la variabilidad total de la serie original de capturas de sardina Monterrey. Se obtuvieron correlaciones positivas entre el primero y segundo armónico con el IOS (r= 0.2921, r= 0.3870 (Figs. 2b, 2c) respetivamente) y una correlación negativa entre el segundo armónico y la actividad solar (r= -0.5313) (Fig. 2d). Ningún componente armónico presentó una correlación significativa con la ODP. Los coeficientes de correlación entre los armónicos y las variables ambientales se presentan en la tabla 1.

Figura 1 Densidad espectral de potencia de la serie temporal de capturas de sardina Monterrey en el Golfo de California.

Figura 2 Evolución temporal de la sardina Monterrey (Sardinops sagax (Jenyns, 1842)) capturada por la flota de Sonora (México), durante 1969-2016 ((). (a) Se representa la tendencia (-), (b) componente armónico de 7 años (() e Índice de Oscilación del Sur ((), (c) componente armónico de 11 años (() e Índice de Oscilación del Sur y (d) componente armónico de 11 años (() y actividad solar ((). La tendencia y armónicos fueron estimados con el método Singular Spectrum Analysis (SSA).
Tabla 1 Coeficientes de correlación entre componentes armónicos y la variabilidad ambiental.
| Primer armónico | Segundo armónico | IOS | ODP | Actividad solar | |
| Primer armónico | 1 | ||||
| Segundo armónico | 0.2639 | 1 | |||
| IOS | 0.2921 | 0.3870 | |||
| (P= 0.0440) | (P= 0.0066) | 1 | |||
| -0.4077 | |||||
| ODP | 0.0720 | 0.1836 | (P= 0.0040) | 1 | |
| -0.5313 | -0.5194 | ||||
| Actividad solar | -0.2807 | (P= 0.0001) | (P= 0.0002) | -0.0619 | 1 |
Los resultados sugieren que el comportamiento de la tendencia y su porcentaje de contribución son consistentes con el rápido incremento de las capturas de sardina Monterrey durante el desarrollo de esta pesquería en el GC. Cisneros-Mata et al. (1995) mencionan que los cambios en la captura son debidos al aumento de la captura por unidad de esfuerzo (CPUE) relacionado con el incremento en el poder de pesca y experiencia de los pescadores. Sin embargo, las fluctuaciones en las capturas también se encuentran sujetas a factores que actúan directa o indirectamente sobre la abundancia de los peces, ya sean de origen antropogénico, ambiental y/o biológico (Pedraza-García & Cubillos, 2008).
Para la serie de captura de sardina Monterrey las fluctuaciones se ven reflejadas en el primer periodo armónico identificado, el cual se correlaciona con los cambios en la intensidad del IOS en el Océano Pacífico, como un indicador de la ocurrencia de fases cálidas de eventos de El Niño con una periodicidad 3 a 7 años (White & Tourre, 2003). En este sentido, se tiene evidencia que los cambios físicos derivados del fenómeno de El Niño en el GC, afectan la biomasa fitoplanctónica, nutrientes y productividad primaria (Barber & Chávez, 1983), alterando el entorno del desove, el hábitat larvario de la sardina Monterrey (Sánchez-Velasco et al., 2000), el reclutamiento de juveniles a la población y por ende la disponibilidad de adultos para la pesquería (Hammann et al., 1988). Niquen y Bouchon (2004) mencionan que la intensidad del fenómeno de El Niño es directamente proporcional con los cambios en la distribución espacial de los organismos, su concentración y su estructura de tallas. Otros autores como Martínez-Aguilar et al. (2009) han reportado cambios en la estructura de tallas en la captura de sardina Monterrey en el GC relacionados con El Niño y la Niña. De esta manera, estos eventos pueden cambiar las condiciones donde se distribuyen los organismos en las áreas de pesca y por ende reflejarse en las fluctuaciones de las capturas.
De acuerdo a los resultados obtenidos para el segundo armónico, las fluctuaciones en las capturas de sardina Monterrey también responden en menor medida a forzamientos a escala inter-decadal. Se ha establecido que los forzamientos climáticos a escala inter-decadal en el océano Pacífico del Norte son asociados principalmente a la ODP, el cual presenta una ocurrencia aproximada de 20-30 años (Mantua et al., 1997). Sin embargo, los resultados indican que no hay una correlación significativa entre el segundo componente armónico y los cambios de largo periodo en la ODP. Este resultado coincide con lo obtenido por MacClatchie (2012) quien demostró de forma cualitativa que la abundancia de la sardina Monterrey en el océano Pacifico se correlaciona pobremente con la ODP, por lo que es probable que en esta región se estén presentando procesos que interactúen de manera externa sobre las fluctuaciones de las capturas de sardina Monterrey o en el ambiente oceánico donde se distribuyen los organismos. Se ha documentado que aproximadamente cada 11 años la actividad solar presenta periodos de mínimos y máximos solares, que tienen efectos sobre la atmósfera, la superficie de la tierra, y el clima global (Muñoz-Jaramillo & Vaquero 2018), por lo que es factible que el segundo componente armónico sea un reflejo del ciclo de la actividad solar al presentar una periodicidad similar de 11 años. Bajo este contexto los resultados sugieren una correlación significativa entre el segundo componente armónico con el IOS como una evidencia de la relación entre la actividad solar con el IOS. La relación de la actividad solar y el IOS también ha sido documentada por Zhai (2017) quien reporta que hay una clara variación temporal entre ambas cada 11 años, lo que implica la influencia de la actividad solar sobre el IOS, y que dependiendo del nivel de actividad solar puede correlacionarse de manera positiva o negativa con el IOS. En este sentido los resultados sugieren que el segundo componte armónico se relacionan de manera inversa con la actividad solar, es decir a mayor actividad solar menor fluctuación en la captura de sardina Monterrey y viceversa. Se ha documentado que los desembarques de la sardina europea Sardina pilchardus varía en función de la actividad solar, al cambiar el transporte de agua hacia la costa lo que favorece o perjudica la retención de larvas en zonas cerca de la costa, lo que se refleja en las capturas de sardina (Guisande et al., 2004). Así mismo autores como Patterson et al. (2004) encontraron que el ciclo solar de Gleissberg, con un periodo de 75 a 90 años, tuvo una influencia en las fluctuaciones de las poblaciones de anchoveta del Norte y arenque del Pacífico durante el Holoceno en América del Norte. De esta manera, se puede apreciar que la actividad solar con una ocurrencia de 11 años, coincide con una de las frecuencias de la sardina Monterrey para la pesquería en el GC, sin embargo esta coincidencia aún debe ser validada.
En conclusión, las fluctuaciones en la captura de sardina Monterrey en el GC son dadas en mayor medida por el incremento de las capturas, por la influencia de eventos de escala interanual como el evento de El Niño y por eventos externos de escala inter-decadal, el cual tiene una influencia sobre el ambiente donde se distribuye la sardina Monterrey.










nueva página del texto (beta)


