SciELO - Scientific Electronic Library Online

 
vol.29 número2Impacto de la proporción de sexos en aspectos reproductivos del acocil Cambarellus montezumaeCrecimiento y actividad de las enzimas digestivas de la trucha arcoíris (Oncorhynchus mykiss) alimentadas con probióticos autóctonos índice de autoresíndice de materiabúsqueda de artículos
Home Pagelista alfabética de revistas  

Servicios Personalizados

Revista

Articulo

Indicadores

Links relacionados

  • No hay artículos similaresSimilares en SciELO

Compartir


Hidrobiológica

versión impresa ISSN 0188-8897

Hidrobiológica vol.29 no.2 Ciudad de México may./ago. 2019  Epub 05-Mar-2021

 

Artículos de investigación

Efectos del diclofenaco en el rotífero dulciacuícola Lecane papuana (Murray, 1913) (Monogononta: Lecanidae)

Effects of diclofenac on the freshwater rotifer Lecane papuana (Murray, 1913) (Monogononta: Lecanidae)

Gabriela Ivonne Tovar-Aguilar1 

Mario Alberto Arzate-Cardenas2  * 

Roberto Rico-Martínez3 

1Escuela de Ciencias de la Salud. Universidad del Valle de México Campus Toluca. Avenida de las Palmas Poniente 439, San Jorge Pueblo Nuevo, C.P. 52164, Metepec, México. México.

2Cátedras CONACYT. Consejo Nacional de Ciencia y Tecnología. Av. Insurgentes Sur 1582, Crédito Constructor, Del. Benito Juárez, C.P. 03940, Ciudad de México. México.

3Laboratorio de Toxicología Acuática, Departamento de Química, Centro de Ciencias Básicas. Universidad Autónoma de Aguascalientes. Av. Universidad 940, Ciudad Universitaria, C.P. 20131, Aguascalientes, Ags. México.


RESUMEN

Antecedentes:

El diclofenaco (DCF) es un antiinflamatorio no esteroideo (AINE) que ha sido encontrado en aguas superficiales y subterráneas, derivado de su consumo en salud humana y veterinaria. Además, ha sido estudiado en diferentes modelos animales dulciacuícolas y se ha demostrado que tiene efectos perjudiciales en cladóceros, peces y anfibios, pero la información disponible aún es escasa en cuanto a las alteraciones inducidas en organismos que son base de los niveles tróficos como los rotíferos.

Objetivo:

En el presente trabajo se evaluó el efecto del DCF en respuestas agudas y crónicas en el rotífero Lecane papuana (Murray, 1913).

Métodos:

Se llevaron a cabo pruebas de toxicidad aguda en las que se determinó la concentración letal media del DCF (CL50 = 128.82 mg/L). Después, se seleccionaron cinco concentraciones subletales (1/160, 1/80, 1/40, 1/20 y 1/10 de la CL50) con sus respectivos testigos negativos (agua dura reconstituida), a las que fueron expuestos huevos amícticos para evaluar el efecto en la eclosión y también neonatos para pruebas de inhibición de la fecundidad y crecimiento poblacional, este último expresado en términos de r.

Resultados:

Se observó que el DCF reduce la tasa r a través de la inhibición de la eclosión de huevos amícticos y de la fecundidad de las hembras expuestas (menor cantidad de huevos/hembra) en concentraciones de 0.80 mg/L y superiores. Las concentraciones efectivas medias (CE50) fueron hasta 700 veces más bajas que la correspondiente CL50.

Conclusiones:

Estos resultados muestran que el DCF puede afectar a las poblaciones de rotíferos a concentraciones que, aunque son superiores a las concentraciones ambientales, su incorporación continua a los ambientes acuáticos tendría un efecto significativo en las poblaciones expuestas.

Palabras clave: antiinflamatorio no esteroideo; contaminantes emergentes; inhibición de la fecundidad; toxicidad crónica; zooplancton

ABSTRACT

Background:

The diclofenac (DCF) is a non-steroidal anti-inflammatory drug (NSAID) that has been found in groundwater and superficial water, as a result of its high consumption in animal and human health. Moreover, DCF toxicity has been studied in different fresh-water animal models and it has been shown to have harmful effects on cladocerans, fish and amphibians, but the available information is still scarce in terms of induced alterations in organisms that are the basis of trophic levels such as rotifers.

Goals:

The present work assessed the effect of DCF on acute and chronic responses of the freshwater rotifer Lecane papuana (Murray, 1913).

Methods:

Acute toxicity tests were carried out to determine the LC50 of DCF (128.82 mg/L). Then, five sublethal concentrations were selected (1/160, 1/80, 1/40 y 1/20, y 1/10 of the corresponding LC50), and a control group (reconstituted hard water), to which amictic eggs were exposed to determine the effect on hatching and neonates were exposed to evaluate the effects on further fecundity and population increase in terms of r.

Results:

DCF diminished the r rate through the inhibition of eggs hatching and reduced fecundity of exposed females (fewer eggs per female) at 0.80 mg/L and higher concentrations. The effective median concentrations were about 700-fold lower than the corresponding LC50.

Conclusions:

These results indicate that DCF can affect rotifer populations at concentrations, that despite being higher than environmental concentrations, and due to the continuous release of DCF to the aquatic systems, would eventually have a negative impact on the exposed populations.

Keywords: chronic toxicity; emergent contaminants; fecundity inhibition; non-steroideal anti-inflammatory drug; zooplankton

INTRODUCCIÓN

Debido a las actividades humanas, una gran cantidad de compuestos diversos han sido liberados al ambiente y sin ser el objetivo para el cual fueron diseñados, se han incorporado a las tramas tróficas, principalmente en cuerpos de agua por ser empleados en muchos casos como vertederos (Cizmas et al., 2015). Entre estos nuevos contaminantes se encuentran fármacos y productos de cuidado y aseo personal, muchos de los cuales no son degradados por los métodos convencionales de tratamiento de aguas residuales (Capodaglio et al., 2018).

Entre los fármacos más empleados en el mundo se encuentran los antiinflamatorios no estereoideos (AINEs), muchos de los cuales pueden conseguirse sin prescripción médica; además, también se encuentran entre los fármacos de mayor consumo por el sector salud por su efecto analgésico y antipirético (Katzung, 2007). Estas prácticas, sumadas a la falta de manejo adecuado de residuos y su uso veterinario, han logrado que este heterogéneo grupo de fármacos sea cuantificado con mayor frecuencia en efluentes (hospitalarios e industriales) y en diversos cuerpos de agua (Gómez-Olivan et al., 2014a, 2014b).

El diclofenaco (DCF) es un AINE que se ha cuantificado en cuerpos de agua naturales y aguas subterráneas alrededor del mundo en niveles desde el orden de unos cuantos nanogramos por litro (ng/L), mientras que en efluentes hospitalarios las concentraciones pueden ser de hasta 1.9 µg/L (Nieder et al., 2018). Las concentraciones de este fármaco en el ambiente pueden ser bajas debido a que tiende a degradarse por fotólisis; no obstante, su continua liberación al medio por el alto consumo de medicamentos que lo incluyen en su fórmula, tanto en medicina humana como veterinaria, podría ocasionar una exposición crónica a las especies dulciacuícola (Saucedo-Vence et al., 2015). Además, se ha demostrado que este compuesto tiene un logKow entre 4.01 y 4.51 (Lefebvre et al., 2010), y que puede acumularse en tejidos de diversos organismos (Schwaiger et al., 2004, Świacka et al., 2019), aunque es muy probable que por mecanismos de transformación este fármaco posea un bajo potencial de transferencia a través de las tramas tróficas (Xie et al., 2015)

El DCF actúa como un inhibidor irreversible de las ciclooxigenasas, que son enzimas relacionadas con la síntesis de prostaglandinas (Dorne et al., 2007). En organismos no diana se han reportado diversos efectos, como alteraciones del metabolismo, modificación de la actividad de enzimas antioxidantes, disminución de la fecundidad y bajas tasas de crecimiento poblacional y supervivencia, entre otras (Schwarz et al., 2017; Majewska et al., 2018; Yokota et al., 2018).

A la fecha se han ocupado diferentes modelos animales para estudiar el efecto del DCF, entre los cuales pueden mencionarse a invertebrados como los rotíferos Brachionus koreanus (Hwang, Dahms, Park & Lee, 2013) (Rhee et al., 2013) y Plationus patulus (Müller, 1786) (Sarma et al., 2014; Martínez-Gómez et al., 2015) y los cladóceros Ceriodaphnia dubia (Richard, 1894) y Daphnia magna (Straus, 1820) (Ferrari et al., 2003; Haap et al., 2008; Gómez-Oliván et al., 2014a)., s 0

Entre los modelos de vertebrados más empleados se encuentra el pez Danio rerio (Hamilton, 1822) (Praskova et al., 2011; Cunha et al., 2017), cuya fase embrionaria tiene una gran aplicación en estudios ecotoxicológicos pues permite identificar con gran facilidad alteraciones en el desarrollo durante esta etapa del ciclo de vida. Siguiendo esa misma tendencia, se cuenta hoy día con estudios de alteraciones morfológicas en embriones de Lithobates catesbaianus (Shaw, 1802) y Xenopus leavis (Daudin, 1802) (Cardoso-Vera et al., 2017). Sin embargo, no existen protocolos en los cuales se identifiquen estos mismos patrones en invertebrados dulciacuícola.

La Agencia de Protección Ambiental de los Estados Unidos de Norteamérica (USEPA) presenta un listado de los organismos de prueba para ensayos de toxicidad; sin embargo, también sugiere el uso de modelos alternativos cuando no se cuenta con aquellos recomendados por la USEPA cuando no es posible importarlos y cuando los organismos autóctonos presenten una sensibilidad igual o mayor a los modelos convencionales (USEPA, 2002). Debido a que la mayoría de los protocolos para evaluación de la toxicidad son llevados a cabo con organismos limnéticos, existe aún la falta de información en organismos litorales, como los de la familia Lecanidae, que es una de las más diversas entre los rotíferos (Segers, 1995).

El género Lecane (Rotifera: Monogononta) es uno de los mayores representantes entre los rotíferos de agua dulce en territorio mexicano llegando a ocupar hasta el 45% de las especies de rotíferos, teniendo presencia en los estados del centro y sur de México (Quiroz-Vazquez, 2012). Además, diversos autores han confirmado la presencia de Lecane papuana (propuesto como organismo de prueba) en cuerpos de agua dulce (Sarma y Elías-Gutierrez, 1997, 1999; Vazquez-Sánchez et al., 2014, Saucedo-Ríos et al., 2017); además, de la amplia distribución que presenta esta especie, pudiendo encontrarse desde Estados Unidos hasta Brasil (Green, 1986; Lucena et al., 2015).

Por lo anterior, el objetivo de este trabajo es presentar evidencia de que el DCF disminuye el crecimiento poblacional de Lecane papuana al inhibir por una parte la fecundidad y por otra la eclosión de huevos amícticos expuestos a este fármaco.

MATERIALES Y MÉTODOS

Los cultivos de Lecane papuana fueron mantenidos en el laboratorio por múltiples generaciones a través de hembras partenogenéticas. Los lotes reproductores se mantuvieron con una densidad de 5 individuos/ mL, alimentados con 106 células/mL de la microalga Nannochloropsis oculata (Hibberd, 1981) cultivada en medio basal de Bold (Stein, 1973), fotoperiodo de 16 h luz por 8 h de oscuridad, y renovación total del medio al menos dos veces por semana. Previo al inicio de los bioensayos, se separaron los huevos de Lecane que se encontraban en el fondo de cajas de Petri, se transfirieron a medio EPA fresco sin alimento y se conservaron hasta su eclosión. Para todos los bioensayos se emplearon organismos menores de 24 h (USEPA, 2002).

Ensayos de toxicidad aguda. En placas de poliestireno de 24 pozos se colocaron al menos cinco concentraciones nominales diferentes de DCF (1, 3, 6, 13, 25 y 50 mg/L) en medio EPA y sus respectivos grupos control. El DCF se preparó a una concentración inicial de 2500 mg/L en agua desionizada; todas las diluciones posteriores fueron realizadas en medio EPA, teniendo en la concentración mayor (50 mg/L) sólo el 2% de agua desionizada con respecto al volumen final (1 mL). En cada pozo se colocó 1 mL de las soluciones de DCF, se depositaron 10 organismos de menos de 24 h de edad. Las placas fueron incubadas por 48 h a 25 ± 2ºC con un fotoperiodo de 16 h luz por 8 h de oscuridad, sin alimento ni renovación del medio durante el bioensayo. Al término de la prueba se contabilizaron los organismos inmóviles y/o muertos en cada concentración. Todas las concentraciones contaron con ocho réplicas. Con los datos de mortalidad se calculó la concentración letal media (CL50), y las concentraciones letales al 1 y 10% (CL1, CL10) mediante el paquete estadístico drc en R (Ritz et al., 2015).

Bioensayos de toxicidad crónica. Se evaluaron cinco concentraciones diferentes que consistieron en fracciones de la CL50 de DCF para L. papuana, siendo 1/160, 1/80, 1/40 y 1/20 y 1/10, que corresponden a 0.82, 1.64, 3.28, 6.56, y 13.12 mg/L (concentraciones nominales), respectivamente. Cada una de las concentraciones contó con ocho réplicas (n = 8), para lo cual fue necesario el empleo de dos microplacas de poliestireno de 24 pozos cada una. Al inicio de la prueba fueron colocados 5 rotíferos menores de 24 h en cada pozo (réplica). Como alimento se suministraron 106 células/mL de N. oculata cultivada en medio basal de Bold. Se incubaron por un periodo de 120 h con fotoperiodo de 16 h luz por 8 h de oscuridad, a 25ºC. El volumen final para las pruebas fue de 2 mL. Cada 24 horas se adicionaron 100 µL de agua destilada para evitar pérdida de volumen por evaporación. Al final del bioensayo se contaron los organismos de cada réplica. Con estos datos se estimó la tasa intrínseca de crecimiento poblacional de cada réplica en cada tratamiento a través de la fórmula (Krebs, 1985):

r = [Ln(Nf) - Ln(Ni)]·t-1

en donde r es la tasa de crecimiento poblacional, Ln representa el logaritmo natural de Nf y Ni, número final e inicial de organismos por réplica, respectivamente, y t el tiempo que duraron las pruebas de toxicidad.

Efecto del diclofenaco en la fecundidad de Lecane papuana. Del mismo modo que las pruebas de toxicidad crónica, se emplearon cinco concentraciones nominales de DCF (0.82, 1.64, 3.28, 6.56 y 13.12 mg/L) y un testigo sin fármaco. En una microplaca de poliestireno transparente de 24 pozos se colocaron 5 organismos por réplica, cuatro réplicas por tratamiento (n = 4), en 2 mL de medio con 106 células de N. oculata y se incubaron a 25°C con un fotoperiodo de 16 horas luz por 8 horas de oscuridad. Cada 12 h se revisaron los diferentes tratamientos y se contabilizaron los huevos producidos en cada réplica durante tres días. Los resultados se reportan como huevos amícticos producidos por hembra por día.

Efecto del diclofenaco en la eclosión de huevos de L. papuana. Se llevó a cabo la renovación completa del medio de todos los lotes reproductores de L. papuana la noche previa a la selección de huevos amícticos, que fueron separados en un tiempo menor a 12 h posteriores al mantenimiento de los lotes reproductores y 2 h previas al inicio de las pruebas. Éstas consistieron en la exposición de huevos amícticos de L. papuana a las mismas concentraciones subletales que fueron empleadas en las pruebas crónicas (0.82, 1.64, 3.28, 6.56, y 13.12 mg DCF/L), además de los testigos correspondientes. Se incubaron a 25ºC, con fotoperiodo 16 h de luz por 8 h de oscuridad, sin alimento, sin renovación del medio, en 2 mL de medio EPA. Se expusieron un total de 100 huevos por cada concentración (tratamiento) divididos en bloques de 20 por cada réplica (n = 5). Se contabilizaron los huevos eclosionados después de 24 h y 48 h de exposición. Con estos datos se calculó el porcentaje de eclosión en cada tratamiento.

Análisis Estadístico. Para los resultados de los diferentes ensayos se realizaron los correspondientes análisis de varianza (ANDEVA) de un solo factor y pruebas de comparación múltiple de Tukey. Las diferencias significativas entre los tratamientos se establecieron con un nivel de significancia P<0.05. Estos análisis se llevaron a cabo con ayuda del paquete ggplot2 en el software estadístico R.

RESULTADOS

En la tabla 1 se presentan los resultados de las pruebas de toxicidad aguda, en la que se observan los valores de concentración letal media (CL50) y los valores de CL1 y CL10, en sustitución de la concentración de efecto no observado (CENO, o por sus siglas en inglés, No Observed Effect Concentration (NOEC) y la menor concentración de efecto observado (MCEO), o del inglés LOEC, Lowest Observed Effect Concentration.

Tabla 1 Resultados de las pruebas agudas (48 h) de Lecane papuna (Murray, 1913) expuestos a diclofenaco. 

Media EEM LI LS
CL1 (mg/L) 59.262 6.569 46.386 72.137
CL10 (mg/L) 88.869 5.502 78.084 99.653
CL50 (mg/L) 128.823 3.630 121.708 135.939

CLx, concentración letal a diferentes proporciones (1%, 10%, 50%); EEM, error estándar de la media; LI, límite inferior del intervalo de confianza, LS, límite superior del intervalo de confianza. Los valores de CLx se obtuvieron a partir de los datos de mortalidad de ocho (n = 8) pruebas de toxicidad, calculados mediante el paquete drc del software estadístico R.

En los ensayos de toxicidad crónica, en las cuales se expusieron a los rotíferos por un periodo de cinco días, se encontró que el aumento en la concentración de DCF disminuyó la tasa reproductiva de L. papuana (Fig. 1), siendo significativa en todos los tratamientos, desde la concentración más baja (0.82 mg/L) que representa el 0.6% de la CL50 de DCF (128.82 mg/L) y que está dentro del intervalo correspondiente a la CE10 para estas pruebas de toxicidad (tabla 2).

Figura 1 Efecto de la concentración de diclofenaco (DCF, mg/L) en el rotífero dulciacuícola Lecane papuana (Murray, 1913) expuesto durante 5 días (pruebas crónicas). El eje ordenado presenta la tasa de crecimiento poblacional (r, d-1) calculada a partir de la fórmula de Euler-Lotka. Diferentes letras minúsculas sobre las cajas representan diferencias significativas entre los tratamientos, que fueron establecidas con un nivel de significancia de 0.05 a través de ANDEVA de un factor y pruebas de comparación múltiple de Tukey (n = 8). 

Tabla 2 Respuestas poblacionales de Lecane papuana (Murray, 1913) expuestos a diclofenaco. 

Respuesta Parámetro Promedio EEM LI LS
Tasa de crecimiento poblacional (5 días) CE50 9.582 1.109 7.349 11.814
CE10 0.734 0.227 0.277 1.191
CE1 0.090 0.049 -0.008 0.189
Tasa de crecimiento poblacional (24 h exposición) CE50 11.429 1.626 8.147 14.710
CE10 1.320 0.626 0.056 2.584
CE1 0.227 0.191 -0.158 0.613
Tasa de crecimiento poblacional (48 h exposición) CE50 8.066 0.521 7.014 9.119
CE10 4.436 0.799 2.823 6.049
CE1 2.724 0.814 1.101 4.347
Eclosión (24 h) CE50 10.325 2.017 6.281 14.369
CE10 0.666 0.224 0.218 1.115
CE1 0.071 0.047 -0.024 0.167
Eclosión (48 h) CE50 10.809 2.212 6.373 15.244
CE10 0.590 0.207 0.176 1.005
CE1 0.055 0.038 -0.022 0.132

CEx, concentración efectiva a diferentes proporciones (1%, 10%, 50%); EEM, error estándar de la media; LI, límite inferior del intervalo de confianza, LS, límite superior del intervalo de confianza, que fueron calculados mediante el paquete drc del software estadístico R. Todos los valores están expresados en mg/L.

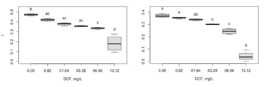
En la Figura 2 se presentan los resultados de la exposición por 24 y 48 horas a DCF; la tasa de crecimiento poblacional en ambos casos se vio afectada significativamente conforme se incrementaba la concentración del fármaco. En los grupos expuestos durante 24 h hubo diferencias significativas con respecto al control en los rotíferos a partir de 1.64 mg/L mientras que en los grupos cuya exposición fue de 48 h pueden observarse diferencias estadísticamente significativas a partir de 3.28 mg/L. En los grupos de 48 h se aprecia una meseta entre los grupos que se encuentran a la izquierda de la gráfica, del testigo hasta 1.64 mg DCF/L, que difiere de los organismos expuestos por 24 h en los que la tendencia a disminuir el valor de r es más evidente desde las primeras concentraciones. Es importante señalar que la tasa de crecimiento de los controles de 48 h fue menor que la de los de 24 h, muy probablemente por la falta de alimento en este periodo.

Figura 2 Efecto de la concentración de diclofenaco (DCF, mg/L) en Lecane papuana (Murray, 1913) expuestos durante 24 h (izquierda) y 48 h (derecha). El periodo de crecimiento del rotífero fue de cinco días sin DCF. El eje ordenado presenta la tasa de crecimiento poblacional (r, d-1) calculada a partir de la fórmula de Euler-Lotka. Las letras minúsculas sobre las cajas representan diferencias significativas entre los tratamientos, que fueron establecidas con un nivel de significancia de 0.05 a través de ANDEVA de un factor y pruebas de comparación múltiple de Tukey (n = 8). 

En la Figura 3 se presentan los datos de fecundidad de las hembras de L. papuana, en la que puede observarse que el DCF, a concentraciones iguales o mayores a 0.82 mg/L, disminuye significativamente la cantidad de huevos que pueden producir estos rotíferos, siendo hasta menos de la mitad con respecto al control en concentraciones de 6.56 y 13.12 mg/L.

Figura 3 Efecto de la concentración de diclofenaco (DCF, mg/L) en la fecundidad (número de huevos por hembra) de Lecane papuana (Murray, 1913). Los huevos depositados en cada réplica fueron retirados y contabilizados cada 12 horas, dejando en los pozos de la microplaca sólo los organismos iniciales. Las letras minúsculas sobre las cajas representan diferencias significativas entre los tratamientos, que fueron establecidas con un nivel de significancia de 0.05 a través de ANDEVA de un factor y pruebas de comparación múltiple de Tukey (n = 4). 

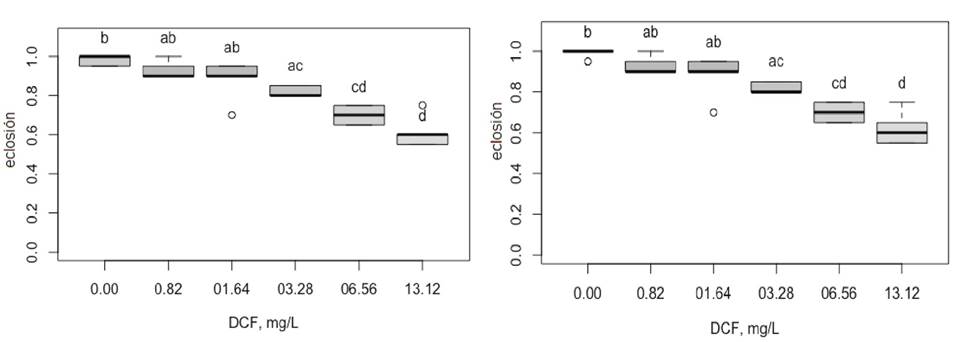
En la Figura 4 se presentan los resultados de la eclosión de huevos de L. papuana expuestos a diferentes concentraciones de DCF. Se evaluaron dos tiempos diferentes, 24 y 48 h, aunque la mayoría de los huevos habían eclosionado a las 24 h, por lo cual no se encontraron diferencias significativas con respecto al tiempo dentro del mismo tratamiento. El factor significativo en estos ensayos fue la concentración de DCF, que a partir de 3.28 mg/L disminuyó el porcentaje de eclosión de los huevos de L. papuana.

Figura 4 Efecto de la concentración de diclofenaco (DCF, mg/L) en la eclosión de huevos de Lecane papuana (Murray, 1913) expuestos durante 24 h (izquierda) y 48 h (derecha). Las letras minúsculas sobre las cajas representan diferencias significativas entre los tratamientos, que fueron establecidas con un nivel de significancia de 0.05 a través de ANDEVA de un factor y pruebas de comparación múltiple de Tukey (n = 5). 

En la tabla 2 se presentan las concentraciones efectivas para diferente nivel de efecto, 1, 10 y 50 % (CE50, CE10, y CE1) para las pruebas de toxicidad crónica. Además, se obtuvieron los valores de concentración del tóxico máxima aceptable (CTMA), o por sus siglas en inglés, MATC (Maximum Acceptable Toxicant Concentration), que de acuerdo con la respuesta evaluada puede variar entre 0.820 y 2.319 mg/L cuando se consideran valores de NOEC y LOEC, mientras que al considerar los valores de CE1 y CE10 se obtuvieron CMAT entre 0.180 y 3.476 mg/L (tabla 3).

Tabla 3 Comparación del efecto del DCF en respuestas de intoxicación aguda y crónica, expresada como la relación entre toxicidad aguda/crónica (RTAC) 

Valores definidos por ANDEVA (arbitrarios) Valores obtenidos por regresión lineal
Respuesta evaluada CNEO MCEO CMPT RTAC CE1 CE10 CMPT RTAC
r, 5 días <0.820 0.820 0.820 157.101 0.090 0.734 0.257 501.215
r, 24 h 0.820 1.640 1.160 111.087 0.227 1.320 0.547 235.339
r, 48 h 1.640 3.280 2.319 55.544 2.724 4.436 3.476 37.059
eclosión, 24 h 1.640 3.280 2.319 55.544 0.071 0.666 0.217 592.416
eclosión, 48 h 1.640 3.280 2.319 55.544 0.055 0.590 0.180 715.132

CNEO, concentración de no efecto observado; MCEO, mínima concentración a la que se observó efecto tóxico; CMPT, concentración máxima permitida de un tóxico; RTAC, relación entre toxicidad aguda y crónica; CE, concentración efectiva al 1% o 10%; r, tasa de crecimiento poblacional (d-1). Todas las concentraciones están expresadas en mg/L.

DISCUSIÓN

La sensibilidad del rotífero Lecane papuana a diclofenaco es muy semejante a la que se encuentra en otros miembros del zooplancton, como Moina macrocopa (Straus, 1820) (CL50 = 142.6 mg/L; Lee et al., 2011) y Daphnia magna (CL50 = 94.1 mg/L; Ra et al., 2008). Sin embargo, existen también datos con D. magna que sitúan los valores de CL50 entre 40 y 70 mg DCF/L, que son significativamente menores a los obtenidos con L. papuana. No obstante, consideramos que los datos aquí generados son de importancia por la escasa información que se tiene acerca de contaminantes emergentes, como fármacos, en organismos que no son usados convencionalmente en pruebas de toxicidad acuática, principalmente en México, en el que la normativa vigente incluye el uso de D. magna, una especie holártica que no se distribuye de manera natural en territorio mexicano. Por lo tanto, es necesaria la búsqueda de alternativas sensibles a diversos contaminantes, que incluyan diferentes niveles tróficos, y que sean de fácil cultivo y acceso (Martínez-Jerónimo et al., 2008).

En la Tabla 1, dados los valores de CL10 (88.869 mg/L) y CL1 (59.262 mg/L), se observa que L. papuana parece no representar a una especie sensible al DCF (en pruebas de toxicidad aguda), en comparación con otras especies zooplanctónicas como en los rotíferos de la familia Brachionidae, con valores de LOEC y NOEC más bajos (12.5 y 25 mg/L, respectivamente; Ferrari et al., 2003) o en D. magna con la que se encuentran valores de CL10 de 15.2 mg/L (Cleuvers, 2004). Reportes previos con organismos de la familia Lecanidae mencionan que estos rotíferos poseen una lórica más gruesa en comparación con los rotíferos de la familia Brachionidae y que ésta podría funcionar como una barrera en contra de los tóxicos que se presentan en el ambiente y por esta razón disminuir su sensibilidad en pruebas de toxicidad aguda (Hernández-Ruiz et al., 2016). Aunque aún no se ha determinado el mecanismo exacto para dicha barrera, con iones metálicos (cromatos con carga negativa) se ha observado que pueden depositarse en la lórica de Lecane quadridentata en mayor proporción que en Brachionus calyciflorus Pallas, 1766 (Hernández-Ruiz et al., 2016). Entonces, es probable que el DCF en forma aniónica se deposite en la lórica; sin embargo, es necesario confirmar estas suposiciones mediante estudios dirigidos a elucidar el mecanismo de toxicidad del DCF en rotíferos.

A la fecha, la información publicada con respecto al efecto de fármacos en rotíferos es aún escaza, en especial aquellos que evalúan respuestas de intoxicación crónica. Por lo tanto, es de destacar los trabajos de Martínez-Gómez et al. (2015), quienes expusieron por seis días al rotífero P. patulus al analgésico acetamidofenol, encontrando que la fecundidad de los rotíferos se veía disminuida a partir de concentraciones de 10 mg/L y superiores, así como el de Sarma et al. (2014), quienes reportaron que concentraciones iguales o mayores a 12.5 mg de DCF/L inhibieron la reproducción de P. patulus. Por otra parte, González-Pérez et al., (2016) evaluaron el efecto del ibuprofeno (AINE) en Brachionus calyciflorus y B. havanensis (Rousselet, 1911) mostrando que la concentración mínima a la que se observa disminución de la fecundidad es a partir de 12.5 mg/L. En el caso de L. papuana (este trabajo), la reproducción fue significativamente disminuida a partir de 0.820 mg de DCF/L (Fig. 1) y se registró una CE50 de 9.582 mg/L (LOEC = 0.820 mg/L) (tabla 2), denotando una mayor sensibilidad de L. papuana en respuestas de intoxicación crónica en comparación con los otros rotíferos; sin embargo, el valor de CE50 es muy parecido a las concentraciones mínimas a las que los otros autores encontraron efectos adversos significativos.

Dada la escasez de datos de la toxicidad del DCF hacia los rotíferos, se han comparado con otros miembros del zooplancton, particularmente con cladóceros; en C. dubia el valor de CENO para reproducción fue 1 mg/L (Ferrari et al., 2003), en M. macrocopa se reportó en 16.7 mg/L (Lee et al., 2011) y para D. magna de 10 mg/L (Han et al., 2006). Aunque la sensibilidad de L. papuana es menor que la de las especies de cladóceros para las respuestas de intoxicación aguda, se observa que al evaluar respuestas crónicas (Fig. 2) el rotífero L. papuana es hasta diez veces más sensible que los mismos cladóceros arriba mencionados.

La alta sensibilidad de L. papuana con respecto a la inhibición del crecimiento poblacional, generó dos preguntas: a) ¿El bajo crecimiento poblacional de Lecane se debe a que el DCF disminuye la fecundidad de las hembras expuestas?; o b) ¿La disminución del crecimiento poblacional se debe a que el DCF afecta la eclosión de los huevos amícticos de L. papuana? Para contestar la primera pregunta se contaron los huevos depositados por hembras expuestas a DCF a las 24 y 48 h de exposición (Fig. 3), encontrando una menor cantidad de huevos conforme se incrementó la concentración de DCF. Por lo tanto, el fármaco alteró la respuesta reproductiva de L. papuana reduciendo el número de huevos por hembra desde el inicio de la prueba, evento que podría deberse a que el DCF actúa como inhibidor de las ciclooxigenasas, enzimas que están relacionadas con la síntesis de prostaglandinas (Gan, 2010) y cuya baja actividad se ha visto relacionada con la extensión del promedio de vida en B. koreanus a expensas de la fecundidad, que se ve reducida por alteraciones en el metabolismo de lípidos (Lee et al., 2018).

La tasa de crecimiento poblacional de L. papuana al exponerse al DCF fue menor que la de los testigos, que puede explicarse parcialmente por la baja fecundidad de las hembras por la ya mencionada alteración del metabolismo de lípidos. Otro factor que influyó en los bajos valores de r se debió a la disminución del porcentaje de eclosión de los huevos expuestos a DCF (Fig. 4). En el pez Danio rerio se tiene información de que el DCF se adhiere a las membranas de los embriones expuestos (alrededor del 5% de la concentración en el medio), mientras que otra parte (alrededor del 50% del material que asociado a la membrana) se internaliza hacia el citosol; en donde causa diferentes anormalidades en los embriones; además de disminuir la capacidad motriz del mismo organismo, lo que en cierta forma disminuye su potencial para eclosionar (Chen et al., 2014). Consideramos que un mecanismo semejante puede estar actuando en los embriones de L. papuana, dado que el DCF tiene una carga negativa, éste podría asociarse con las diferentes estructuras polares, como los grupos carbonilo en las proteínas y alterar procesos metabólicos importantes en el desarrollo embrionario.

De acuerdo con los datos de De Felice et al. (2012), la toxicidad del DCF en embriones de D. rerio se debe a la falta de regulación de enzimas que participan en la gluconeogénesis y en el metabolismo de lípidos, la generación de estrés oxidativo y al incremento de procesos apoptóticos, lo que conlleva a la generación de disfunción mitocondrial y desórdenes metabólicos; que entre otros efectos, pueden observarse malformaciones en los embriones expuestos (ausencia de hígado, degeneración muscular, hidroedema, pigmentación anormal, entre otros) (Chen et al., 2014). También en modelos de anfibios (embriones de Xenopus leavis) se han observado efectos teratogénicos y alteraciones del desarrollo embrionario ocasionadas por la exposición a DCF (Chae et al., 2015); evidencia que indica que el efecto tóxico de este fármaco no es exclusivo de peces y por lo tanto, podría observarse en otros modelos animales, como el de L. papuana, que para esta especie se argumenta que generaría retrasos en el tiempo de eclosión y como consecuencia, disminución de la tasa de crecimiento poblacional, efecto observado experimentalmente en este trabajo.

Los resultados de las pruebas de toxicidad agudas, subletales, y crónicas, sirvieron para calcular valores como CEx y CLx, derivados de análisis matemáticos y que de acuerdo con Laskowski (1995) son de mayor trascendencia que los valores CENO y MCEO (que también fueron obtenidos). Al observar la tabla 3 encontramos que al emplear los valores CENO y MCEO se tiene una relación máxima de 157 entre las respuestas agudas y las respuestas crónicas, siendo la tasa de crecimiento poblacional el parámetro más sensible, mientras que la eclosión de los huevos partenogenéticos resultó tres veces menos susceptible al efecto del DCF. Sin embargo, al emplear los valores de CEx, donde x es igual al 1% o 10%, la respuesta más susceptible fue la eclosión a las 48 h (ACR = 715.132), en segundo lugar la eclosión a las 24 h (ACR = 592.416) y en tercer lugar la tasa r (ACR = 501.215), que puede estar indicando que la baja en crecimiento poblacional se debe primeramente al retraso en la eclosión de los huevos expuestos a DCF, efecto que ha sido discutido en párrafos previos.

La exposición de 24 h y 48 h afectaron significativamente la fecundidad de L. papuana reduciendo la tasa de crecimiento poblacional, pero sus valores son muy diferentes entre sí, obteniéndose los valores más altos para la CMAT en los organismos que estuvieron expuestos por 48 h. Dado que la comparación se realizó con respecto al control, cuya fecundidad también se vio afectada, es muy probable que sea el resultado de la falta de alimento durante este periodo en combinación con el efecto tóxico del DCF, del cual se ha discutido que reduce el número de huevos que producen las hembras expuestas. Cuando las condiciones del medio son desfavorables (baja cantidad de alimento, presencia de depredadores o de tóxicos en el ambiente), los organismos del zooplancton pueden destinar la energía almacenada hacia la supervivencia, pero no al crecimiento o a la reproducción (Arzate-Cárdenas & Martínez-Jerónimo, 2012), disminuyendo así la tasa de crecimiento poblacional, del mismo modo que el DCF ha actuado en L. papuana.

Las concentraciones de DCF en aguas superficiales se encuentran generalmente alrededor de unos cuantos microgramos por litro y en algunos casos alcanzaron valores cercanos a los 4.7 μg/L (Vieno & Sillanpää, 2014). Sin embargo, los estudios a escala laboratorio son llevados a cabo con concentraciones superiores a las detectadas en ambientes naturales. No obstante, se han justificado estos trabajos por la necesidad de conocer cuáles son los posibles mecanismos de toxicidad de los contaminantes emergentes, entre ellos diversos fármacos, cuyo consumo va incrementándose con el tiempo (Lonappan et al., 2016). Además, aunque el DCF no es considerado un compuesto persistente, los organismos acuáticos pueden estar expuestos a éste y otros fármacos por tiempos prolongados dada su incorporación al medio por la liberación continua a partir de aguas residuales hospitalarias y municipales, en las cuales la concentración de fármacos suele ser más alta (Heberer & Feldman, 2005).

A pesar de la rápida fotodegradación del DCF, sus metabolitos son oxidados hacia intermediarios de la benzoquinonimina, que son más persistentes en el ambiente y sumamente tóxicos para los organismos acuáticos; pueden además depositarse en los sedimentos o adsorberse en la materia orgánica en solución y a partir de ahí ser consumidos por los invertebrados acuáticos (Oviedo-Gómez et al., 2010). Por lo anterior, la intoxicación de L. papuana en exposiciones crónicas podría deberse tanto al fármaco en su forma original o por algún producto de su oxidación. No obstante, esto genera una hipótesis cuya exploración escapa por ahora los objetivos de este trabajo, que implicaría la extracción y cuantificación del DCF (y metabolitos) en rotíferos, que por su pequeño tamaño y escasa cantidad de biomasa, representaría un reto para el desarrollo de métodos analíticos.

Consideramos que este trabajo aporta evidencias importantes en las afectaciones que pueden sufrir los organismos del género Lecane, un grupo de rotíferos del cual a la fecha se cuenta con poca información sobre su susceptibilidad a contaminantes diversos. Además, los contaminantes emergentes como los fármacos (entre ellos el DCF) han adquirido mayor relevancia al encontrarse concentraciones crecientes en cuerpos de agua e incluso en agua para uso y consumo humano (Heberer, 2002). Por estos motivos, es necesario contar con modelos para la evaluación de la toxicidad, que sean representativos de los cuerpos de agua de la zona de acuerdo con su distribución natural y cuya sensibilidad sea comparable con la de los modelos convencionales de los que se tiene una gran base de datos como D. magna (USEPA, 2002).

En conclusión, la exposición a DCF disminuye la fecundidad de L. papuana muy probablemente por alteración del metabolismo de lípidos, además de retrasar la eclosión de huevos amícticos de este rotífero cuando se expone a concentraciones entre 500 y 700 veces menores que la CL50 correspondiente, siendo inferiores a las reportadas para otros organismos del zooplancton de agua dulce en pruebas de toxicidad crónica. Por lo anterior, podría establecerse el uso de huevos amícticos de rotíferos como una prueba estándar de toxicidad al ser lo suficientemente sensible y rápida (<48h).

AGRADECIMIENTOS

MAAC agradece al Programa de Cátedras CONACYT (ID 811). Los autores, MAAC y RRM, agradecen al Sistema Nacional de Investigadores por el apoyo otorgado.

REFERENCIAS

Arzate-Cárdenas, M.A. & Martínez-Jerónimo, F. 2012. Energy resource reallocation in Daphnia schodleri (Anomopoda: Daphniidae) reproduction induced by exposure to hexavalent chromium. Chemosphere. 87 (4): 326-332. DOI: 10.1016/j.chemosphere.2011.12.014 [ Links ]

Capodaglio, A.G., Bojanowska-Czajka, A. & Trojanowicz, M. 2018. Comparison of different advanced degradation processes for the removal of the pharmaceutical compounds diclofenac and carbamazepine from liquid solutions. Environmental Science and Pollution Research 25(28): 27704-27723. DOI: 10.1007/s11356-018-1913-6 [ Links ]

Cardoso-Vera, J.D., Islas-Flores, H., Sanjuan-Reyes, N., Montero-Castro, E.I., Galar-Martínez, M., García-Medina, S., Elizalde-Velázquez, A., Dublán-García, O. & Gómez-Oliván, L.M. 2017. Comparative study of diclofenac-induced embryotoxicity and teratogenesis in Xenopus laevis and Lithobates catesbeianus, using the frog embryo teratogenesis assay: Xenopus (FETAX). Science of the Total Environment 574: 467-475. DOI: 10.1016/j.scitotenv.2016.09.095. [ Links ]

Chae, J.P., Park, M.S., Hwang, Y.S., Min, B.H., Kim, S.H., Lee, H.S. & Park, M.J. 2015. Evaluation of developmental toxicity and teratogenicity of diclofenac using Xenopus embryos. Chemosphere. 120: 52-58. DOI: 10.1016/j.chemosphere.2014.05.063 [ Links ]

Chen, J.B., Gao, H.W., Zhang, Y.L., Zhang, Y., Zhou, X.F., Li, C.Q. & Gao, H.P. 2014. Developmental toxicity of diclofenac and elucidation of gene regulation in zebrafish (Danio rerio). Scientific Reports 4: 4841. DOI: 10.1038/srep04841 [ Links ]

Cizmas, L., Sharma, V.K., Gray, C.M. & Mcdonald, T.J. 2015. Pharmaceuticals and personal care products in waters: occurrence, toxicity, and risk. Environmental Chemistry Letters 13 (4): 381-394. DOI: 10.1007/s10311-015-0524-4 [ Links ]

Cleuvers, M. 2004. Mixture toxicity of the anti-inflammatory drugs diclofenac, ibuprofen, naproxen, and acetylsalicylic acid. Ecotoxicology and Environmental Safety 59 (3): 309-315. DOI: 10.1016/S0147-6513(03)00141-6 [ Links ]

Cunha, V., Burkhardt-Medicke, K., Wellner, P., Santos, M.M., Moradas-Ferreira, P., Luckenbach, T. & Ferreira, M. 2017. Effects of pharmaceuticals and personal care products (PPCPs) on multixenobiotic resistance (MXR) related efflux transporter activity in zebrafish (Danio rerio) embryos. Ecotoxicology and Environmental Safety 136: 14-23. DOI: 10.1016/j.ecoenv.2016.10.022 [ Links ]

De Felice, B., Copia, L. & Guida, M. 2012. Gene expression profiling in zebrafish embryos exposed to diclofenac, an environmental toxicant. Molecular Biology Reports 39(3): 2119-2128. DOI: 10.1007/s11033-011-0959-z [ Links ]

Dorne, J., Skinner, L., Frampton, G., Spurgeon, D. & Ragas, A. 2007. Human and environmental risk assessment of pharmaceuticals: differences, similarities, lessons from toxicology. Analytical and Bioanalytical Chemistry 387: 1259-1268. DOI: 10.1007/s00216-006-0963-7 [ Links ]

Ferrari, B., Paxéus, N., Lo Giudice, R., Pollio, A. & Garric, J. 2003. Ecotoxicological impact of pharmaceuticals found in treated wastewaters: study of carbamazepine, clofibric acid, and diclofenac. Ecotoxicology and Environmental Safety 55(3): 359-370. DOI: 10.1016/S01476513(02)00082-9 [ Links ]

Gan, T.J. 2010. Diclofenac: an update on its mechanism of action and safety profile. Current Medical Research and Opinion 26 (7): 1715-1731. DOI: 10.1185/03007995.2010.486301 [ Links ]

Gómez-Oliván, L.M ., Galar-Martínez, M. , García-Medina, S. , Valdés-Alanís, A., Islas-Flores, H. & Neri-Cruz, N. 2014a. Genotoxic response and oxidative stress induced by diclofenac, ibuprofen and naproxen in Daphnia magna. Drug and Chemical Toxicology 37 (4): 391-399. DOI: 10.3109/01480545.2013.870191 [ Links ]

Gómez-Oliván, L.M ., Neri-Cruz, N. , Galar-Martínez, M. , Islas-Flores, H. & García-Medina, S. 2014b. Binary mixtures of diclofenac with paracetamol, ibuprofen, naproxen, and acetylsalicylic acid and these pharmaceuticals in isolated form induce oxidative stress on Hyalella azteca. Environmental Monitoring and Assessment 186 (11): 7259-7271. DOI: 10.1007/s10661-014-3925-0 [ Links ]

González-Pérez, B.K., Sarma, S.S.S. & Nandini, S. 2016. Effects of selected pharmaceuticals (ibuprofen and amoxicillin) on the demography of Brachionus calyciflorus and Brachionus havanaensis (Rotifera). The Egyptian Journal of Aquatic Research 42 (3): 341-347. DOI: 10.1016/j.ejar.2016.09.003 [ Links ]

Green, J. 1986. Associations of zooplankton in six crater lakes in Arizona, Mexico and New Mexico. Journal of Zoology 208 (1): 135-159. DOI: 10.1111/j.1469-7998.1986.tb04715.x [ Links ]

Haap, T., Triebskorn, R. & Köhler, H.R. 2008. Acute effects of diclofenac and DMSO to Daphnia magna: immobilisation and hsp70-induction. Chemosphere 73(3): 353-359. DOI: 10.1016/j.chemosphere.2008.05.06 [ Links ]

Han, G.H., Hur, H.G. & Kim, S.D. 2006. Ecotoxicological risk of pharmaceuticals from wastewater treatment plants in Korea: occurrence and toxicity to Daphnia magna. Environmental Toxicology and Chemistry 25 (1): 265-271. DOI: 10.1897/05-193R.1 [ Links ]

Heberer, T. 2002. Tracking persistent pharmaceutical residues from municipal sewage to drinking water. Journal of Hydrology 266 (3-4): 175-189. DOI: 10.1016/S0022-1694(02)00165-8 [ Links ]

Heberer, T. & Feldmann, D. 2005. Contribution of effluents from hospitals and private households to the total loads of diclofenac and carbamazepine in municipal sewage effluents--modeling versus measurements. Journal of Hazardous Materials 122 (3): 211-218. Erratum in: Journal of Hazardous Materials 127 (1-3): 249. [ Links ]

Hernández-Ruiz, E., Alvarado-Flores, J., Rubio-Franchini, I., Ventura-Juárez, J. And Rico-Martínez, R. 2016. Adverse effects and bioconcentration of chromium in two freshwater rotifer species. Chemosphere 158: 107-115. DOI; 10.1016/j.chemosphere.2016.05.067 [ Links ]

Katzung, B. 2007. Farmacología Básica y Clínica (9a ed.). Mexico: Manual Moderno. [ Links ]

Krebs, C.J. 1985. Ecology: The Experimental Analysis of Distribution and Abundance. 3a Ed. Harper and Row, New York. 67 pp. [ Links ]

Laskowski, R. 1995. Some good reasons to ban the use of NOEC, LOEC and related concepts in Ecotoxicology. OIKOS 73: 140-144. DOI: 10.2307/3545738 [ Links ]

Lee, J., Ji, K., Lim Kho, Y., Kim, P. & Choi, K. 2011. Chronic exposure to diclofenac on two freshwater cladocerans and Japanese medaka. Ecotoxicology and Environmental Safety 74(5): 1216-1225. DOI: 10.1016/j.ecoenv.2011.03.014 [ Links ]

Lee, M.C., Park, J.C., Yoon, D.S., Han, J., Kang, S., Kamizono, S., Om, A.S., Shin, K.H., Hagiwara, A. & Lee, Js. 2018. Aging extension and modifications of lipid metabolism in the monogonont rotifer Brachionus koreanus under chronic caloric restriction. Scientific Reports 8(1):1741. DOI: 10.1038/s41598-018-20108-7 [ Links ]

Lefebvre, O., Lee, L.Y. & Yong, N.H. 2010. Physico-chemical treatment of Micropollutants: coagulation and membrane processes. In: Virkutyte, J., Jegatheesan, V., & Varma, R.S. (Ed). Treatment of Micropollutants in Water and Wastewater. IWA Publishing, London, UK. [ Links ]

Lonappan, L., Brar, S.K., Das, R.K., Verma, M. & Surampalli, R.Y. 2016. Diclofenac and its transformation products: Environmental occurrence and toxicity A review. Environment International 96:127-138. DOI: 10.1016/j.envint.2016.09.014. [ Links ]

Lucena, L.C.A., Melo, T.X., & Medeiros, E.S.F. 2015. Zooplankton community of Parnaíba River, Northeastern Brazil. Acta Limnologica Brasiliensia 27 (1): 118-129. DOI: 10.1590/S2179-975X3214 [ Links ]

Majewska, M., Harshkova, D., Guściora, M. & Aksmann, A. 2018. Phytotoxic activity of diclofenac: Evaluation using a model green alga Chlamydomonas reinhardtii with atrazine as a reference substance. Chemosphere 209: 989-997. DOI: 10.1016/j.chemosphere.2018.06.156. [ Links ]

Martínez-Gómez, D.A., BACA, S. & Walsh, E.J. 2015. Lethal and sublethal effects of selected PPCPs on the freshwater rotifer, Plationus patulus. Environmental Toxicology and Chemistry 34 (4): 913-22. DOI: 10.1002/etc.2873 [ Links ]

Martínez-Jerónimo, F., Rodríguez-Estrada, J. & Martínez-Jerónimo, L. 2008. Daphnia exilis Herrick, 1895 (Crustacea: Cladocera): Una especie zooplanctónica potencialmente utilizable como organismo de prueba en bioensayos de toxicidad aguda en ambientes tropicales y subtropicales. Revista Internacional de Contaminación Ambiental 24(4): 153-159. DOI: S0188-49992008000400001 [ Links ]

Nieder, R., Benbi, D.K. & Reichl, F.X. 2018. Occurrence and Fate of Human and Veterinary Medicinal Products. In: Nieder, R., Benbi, D.K. & Reichl, F.X. 2018. Soil Components and Human Health. Springer, Dordrecht. pp. 659-721. DOI: 10.1007/978-94-024-1222-2_12 [ Links ]

Oviedo-Gómez, D.G., Galar-Martínez, M. , García-Medina, S. , Razo-Estrada, C. & Gómez-Oliván, L.M . 2010. Diclofenac-enriched artificial sediment induces oxidative stress in Hyalella azteca. Environmental Toxicology and Pharmacology 29 (1): 39-43. DOI: 10.1016/j.etap.2009.09.004. [ Links ]

Praskova, E., Voslarova, E., Siroka, Z., Plhalova, L., Macova, S., Marsalek, P., Pistekova, V. & Svobodova, Z. 2011. Assessment of diclofenac LC50 reference values in juvenile and embryonic stages of the zebrafish (Danio rerio). Polish Journal of Veterinary Sciences 14(4): 545-549. DOI: 10.2478/v10181-011-0081-0 [ Links ]

Quiroz-Vázquez, P. 2012. Base de datos de la colección de zooplancton de agua dulce de ECOSUR, Chetumal. El Colegio de la Frontera Sur. Bases de datos SNIB-CONABIO proyecto No. HC001. México D. F. [ Links ]

Ra, J.S., Oh, S. Y., Lee, B. C. & Kim, S. D. 2008. The effect of suspended particles coated by humic acid on the toxicity of pharmaceuticals, estrogens, and phenolic compounds. Environment International 34 (2): 184-192. DOI: 10.1016/j.envint.2007.08.001 [ Links ]

Rhee, J. S., Kim, B. M., Jeong, C. B., Park, H. G., Leung, K. M., Lee, Y. M. & Lee, J. S. 2013. Effect of pharmaceuticals exposure on acetylcholinesterase (AchE) activity and on the expression of AchE gene in the monogonont rotifer, Brachionus koreanus. Comparative Biochemistry and Physiology Part C Toxicology and Pharmacology 158 (4): 216-224. DOI: 10.1016/j.cbpc.2013.08.005 [ Links ]

Ritz, C., Baty, F., Streibig, J. C. & Gerhard, D. 2015. Dose-Response Analysis Using R. PLoS One. 10(12): e0146021. DOI: 10.1371/journal.pone.0146021 [ Links ]

Sarma, S. S. S. & Elías-Gutiérrez, M. 1997. Taxonomic studies of freshwater rotifers (Rotifera) from Mexico. Polish Archives of Hydrobiology 44: 341-357. [ Links ]

Sarma, S.S.S. & Elías-Gutiérrez, M. 1999. Rotifers (Rotifera) from four natural water bodies of Central Mexico. Limnologica 29: 475-483. [ Links ]

Sarma, S. S. S., González-Pérez, B. K., Moreno-Gutiérrez, R. M. & Nandini, S. 2014. Effect of paracetamol and diclofenac on population growth of Plationus patulus and Moina macrocopa. Journal of Environmental Biology 35 (1): 119-126. [ Links ]

Saucedo-Ríos, S., Santos-Medrano, G.E. & Rico-Martínez, R. 2017. Life table analysis reveals variation in thermal tolerance among three species of the Lecane genus (Rotifera: Monogononta). Annales of Limnologie - International Journal of Limnology 53: 253-259. DOI: 10.1051/limn/2017009 [ Links ]

Saucedo-Vence, K., Dublán-García, O. , López-Martínez, L.X., Morachis-Valdes, G., Galar-Martínez, M. , Islas-Flores, H. & Gómez-Oliván, L.M. 2015. Short and long-term exposure to diclofenac alter oxidative stress status in common carp Cyprinus carpio. Ecotoxicology 24: 527-539. DOI: 10.1007/s10646-014-1401-9 [ Links ]

Schwarz, S., Schmieg, H., Scheurer, M., Köhler, H.R. & Triebskorn, R. 2017. Impact of the NSAID diclofenac on survival, development, behaviour and health of embryonic and juvenile stages of brown trout, Salmotrutta f. fario. Science of the Total Environment 607-608: 1026-1036. DOI: 10.1016/j.scitotenv.2017.07.042. [ Links ]

Schwaiger, J., Ferling, H., Mallow, U., Wintermayr, H. & Negele, R. D. 2004. Toxic effects of the non-steroidal anti-inflammatory drug diclofenac. Part I: histopathological alterations and bioaccumulation in rainbow trout. Aquatic Toxicology 68(2):141-50. DOI: 10.1016/j.aquatox.2004.03.014 [ Links ]

Segers H., 1995. Guides to the Identification of the Microinvertebrates of the Continental Waters of the World: Volume 2: Rotifera: The Lecanidae (Monogonota), SPB Academic Publishing, Leyden, The Netherlands, 226 p. [ Links ]

Stein, J. R. 1973. Handbook of phycological methods. Culture Methods and growth measurements, Cambridge at the University Press, London, New York, 1973. pp. 448. [ Links ]

Świacka, K., Szaniawska, A., & Caban, M. 2019. Evaluation of bioconcentration and metabolism of diclofenac in mussels Mytilus trossulus laboratory study. Marine Pollution Bulletin 141: 249-255. DOI: 10.1016/j.marpolbul.2019.02.050 [ Links ]

USEPA. 2002. Methods for measuring the acute toxicity of effluents and receiving waters to freshwater and marine organisms. 5a Ed. U.S. Environmental Protection Agency. EPA-821-R-02-012. [ Links ]

Vázquez-Sánchez, A., Reyes-Vanegas, G., Nandini, S. & Sarma, S. S. S. 2014. Diversity and abundance of rotifers during an annual cycle in the reservoir Valerio Trujano (Tepecoacuilco, Guerrero, Mexico). Inland Waters 4: 293-302. DOI: 10.5268/IW-4.3.564. [ Links ]

Vieno, N. & Sillanpää, M. 2014. Fate of diclofenac in municipal wastewater treatment plant a review. Environment International 69: 28-39. DOI: 10.1016/j.envint.2014.03.021. [ Links ]

Xie, Z., Lu, G., Liu, J., Yan, Z., MA, B., Zhang, Z. & Chen, W. 2015. Occurrence, bioaccumulation, and trophic magnification of pharmaceutically active compounds in Taihu Lake, China. Chemosphere 138: 140-147. DOI: 10.1016/j.chemosphere.2015.05.086 [ Links ]

Yokota, H., Taguchi, Y., Tanaka, Y., Uchiyama, M., Kondo, M., Tsuruda, Y., Suzuki, T. & Eguchi, S. 2018. Chronic exposure to diclofenac induces delayed mandibular defects in medaka (Oryzias latipes) in a sex-dependent manner. Chemosphere 210:139-146. DOI: 10.1016/j.chemosphere.2018.07.016 [ Links ]

Recibido: 18 de Noviembre de 2018; Aprobado: 05 de Julio de 2019; Publicado: 01 de Agosto de 2019

*Corresponding author: Mario Alberto Arzate-Cárdenas: e-mail: marzatc@gmail.com

To cite as:

Tovar-Aguilar G. I., M. A. Arzate-Cardenas y R. Rico-Martínez. 2019. Efectos del diclofenaco en el rotífero dulciacuícola Lecane papuana (Murray, 1913) (Monogononta: Lecanidae). Hidrobiológica 29 (2): 63-72.

Creative Commons License Este es un artículo publicado en acceso abierto bajo una licencia Creative Commons