Servicios Personalizados
Revista
Articulo
Indicadores
-
Citado por SciELO -
Accesos
Links relacionados
-
Similares en
SciELO
Compartir
Hidrobiológica
versión impresa ISSN 0188-8897
Hidrobiológica vol.18 no.1 Ciudad de México mar. 2008
Efecto del anabólico acetato de trembolona sobre el crecimiento de Carassius auratus (Pisces: Cyprinidae)
Anabolic effect induced by trenbolone acetate steroid on the Carassius auratus (Pisces: Cyprinidae) growth
Samuel Marañón Herrera1*, Víctor Tijera Demesa1, Héctor Salgado Zamora2 y Eduardo Maya Peña1
1 Laboratorio de Sistemas Acuícolas, Depto. El Hombre y su Ambiente, Universidad Autónoma Metropolitana Xochimilco. Calzada del Hueso 1100, 04960. México.
2 Departamento de Química Orgánica, Escuela Nacional de Ciencias Biológicas, Instituto Politécnico Nacional. Prol. de Carpio y Plan de Ayala s/n, 11340. México.
* Autor para correspondencia:
M. en C. Biol. Samuel Marañón Herrera.
Email: mahs7513@correo.xoc.uam.mx.
Recibido: 23 de septiembre de 2006.
Aceptado:8 de octubre de 2007.
RESUMEN
Se evaluó la eficiencia anabólica del esteroide acetato de trembolona en juveniles de Carassius auratus de 60 días de edad, expuestos durante 120 días a dosis de 300 mg/kg de alimento. Cada dos semanas se registraron las siguientes biometrías: longitud total, longitud patrón, altura y peso. El beneficio del esteroide se caracterizó con un modelo que relacionó el peso en función del tiempo, acoplado a otros dos modelos: uno en donde se relaciona la talla con el tiempo y otro alométrico, que relacionó el peso con la talla. Los modelos estimados mostraron que el crecimiento de los peces tratados con el anabólico fue superior al de los peces del testigo y difieren significativamente (p<0.001), mientras que los modelos alométricos para cada tratamiento indicaron un crecimiento similar (p>0.05). El análisis de la variabilidad de los tres modelos demostró que las estimaciones describieron en forma adecuada el crecimiento, así lo confirma el coeficiente de determinación (r2) que fluctúa entre el 72.9 y 93.5% y el análisis de la distribución de la talla y el peso con diagramas de caja. Se concluye que la aplicación del acetato de trembolona en Carassius auratus fue exitosa, al registrarse una sobrevivencia del 100% y funcionar como un eficiente agente anabólico, ya que se obtuvo una ganancia de biomasa del 48.0% y de talla del 41.3%, con respecto al testigo.
Palabras claves: Anabólico, acetato trembolona, Carassius auratus, modelo de crecimiento y alometría.
ABSTRACT
The anabolic efficiency of steroid trenbolone acetate was evaluated in 60 days old juveniles of Carassius auratus. Fish were exposed during 120 days to steroid at a dose of 300 mg/kg food. Total length, standard length, height and weight were registered every two weeks. The benefit of the steroid was characterized with a model that relates the weight as a function of time, coupled to other two models: one where size is related with time and an alometric one which correlates weight with size. The models showed that growth of steroid treated fish was superior to that of untreated (control) fish, differing significantly (p <0.001), while the alometric model for each treatment, indicated a similar growth (p>0.05). Analysis of the variability of the three models demonstrated that the estimates adequately described the growth. This was further confirmed by the determination coefficient (r2) that fluctuated between 72.9 and 93.5% and by the distribution analysis of size and weight by means of box plots. It was concluded that application of the steroid trenbolone acetate to Carassius auratus was successful. A survival rate of 100% was registered coupled to an efficient anabolic effect, since a 48.0% gain of biomass and 41.3% increase in size were obtained as compared to the control group.
Key words: Anabolic, trenbolone acetate, Carassius auratus, growth model and alometric.
INTRODUCCIÓN
La carpa dorada, Carassius auratus (Linnaeus, 1758), es uno de los peces de ornato más ampliamente cultivado en México (Sánchez, 1994); su calidad comercial está determinada por la forma del cuerpo y las aletas, el tamaño y el color. Una estrategia de producción para garantizar las cualidades mencionadas es hacer eficiente el proceso de absorción del alimento a través del uso de anabólicos (Hirose & Hibiya, 1968; Lone & Matty, 1980; Manzoor & Satyanarayana, 1989; Kuwaye et al., 1993).
La función principal de los agentes anabólicos es promover el crecimiento de la masa muscular y el fortalecimiento de las estructuras óseas, debido a que tienen la propiedad de promover la retención del nitrógeno procedente del alimento con la consecuente aceleración de la tasa de absorción de aminoácidos a través del intestino. Además, favorecen la eritropoyesis (formación de glóbulos rojos) e incrementan la retención de calcio y fósforo que son necesarios para el desarrollo del cartílago en los huesos, ya que ambos factores contribuyen al aumento del peso y de la talla (Weatherley & Gill., 1987; Wilson & Brigstocke, 1987; Mommsen & Moon, 2001).
La aplicación de agentes químicos para promover el crecimiento en los peces se inicia con los trabajos de Pickford (1954) realizados con organismos del género Fundulus hipofisectomizados, recibiendo dosis inyectadas de somatotropina proveniente de otros peces. Weatherley y Gill (1987) demostraron que las hormonas de crecimiento pueden inducir de manera directa o indirecta el crecimiento de los peces.
Los primeros ensayos sobre la aplicación de esteroides como promotores de crecimiento en la carpa son los realizados por Lone y Matty (1980), quienes estimaron incrementos significativos en la tasa de crecimiento de la carpa común, Cyprinus carpio L., con la aplicación de las hormonas: testosterona, 11cetotestosterona, androstenediona y 17ametiltestosterona (17αMT); Manzoor y Satyanarayana (1989) obtuvieron un crecimiento superior al 40% en C. carpio administrándoles 17αMT; Kuwaye et al. (1993) confirmaron que la 17αMT funciona como promotor de crecimiento en la carpa herbívora, Ctenopharyngodon idella Valenciennes in Cuvier & Valenciennes, y en C. carpio. Con respecto a Carassius auratus, Hirose e Hibiya (1968) reportaron un incremento significativo en el peso al aplicarles intramuscularmente cada 4 días, durante un mes, 4clorotestosterona.
El acetato de trembolona (ATB) es un potente esteroide anabólico androgénico con actividad hormonal similar a la 17αMT, pero con una mayor actividad, debido a que actúa directamente sobre el músculo (Bartle et al., 1992; Hayden et al., 1992; Henricks et al., 1997; Devlin & Nagahama, 2002; Guiroy et al., 2002). Su estructura molecular presenta características similares con la 17αMT, pero difiere al presentar tres enlaces dobles conjugados (Rico & Burgat, 1983).
El ATB se ha empleado con éxito en forma comercial en la industria avícola, bovina, porcina y en general en la industria pecuaria (Hoffmann & Evers, 1986). En los bovinos la aplicación del ATB incrementa la tasa de crecimiento diaria y la eficiencia de alimentación, con la reducción de los tiempos de salida al mercado (Hernández et al., 1993; Isaacson et al., 1993; Shireman & Opuszynski, 1995; Schiffer et al., 2001; GómezRequeni et al., 2004).
En la piscícultura, el ATB ha sido aplicado como un agente masculinizante con una eficiencia mayor del 90% en el bagre de canal, Ictalurus punctatus Rafinesque, (Galvez et al., 1995, Davies et al., 2000), la tilapia azul, Oreochromis aureus Steindachner, (Galvez & Morrison 1996) y en la tilapia del Nilo, Oreochromis niloticus L. 1758 (ContrerasSánchez et al., 1997). En ninguno de estos reportes se evaluó la actividad anabólica inducida por el esteroide. Sin embargo, evaluaciones previas a nivel piloto en el Laboratorio de Sistemas Acuícolas, de la Universidad Autónoma MetropolitanaXochimilco, indicaron que el ATB tiene una alta capacidad anabólica (datos no publicados).
El objetivo del presente trabajo fue evaluar la eficiencia anabólica del esteroide acetato de trembolona en el cultivo de Carassius auratus, en condiciones de laboratorio.
MATERIAL Y MÉTODOS
Material biológico. Se obtuvieron 150 juveniles de Carassius auratus, variedad sello rojo, de 60 ± 1 días de edad, provenientes de la granja comercial "Atlacomulco" del Estado de Morelos, los cuales se trasladaron al Laboratorio de Sistemas Acuícolas.
Los peces se mantuvieron y aclimataron por un lapso de 8 días en un acuario de 80 litros, a una temperatura de 23 ± 1°C, una concentración de oxígeno de 6.86 ± 0.05 mg/l y un pH de 8.5 ± 0.5. Diariamente se les suministró a los peces alimento comercial en hojuelas (Wardley, con un mínimo de 40% de proteína cruda y 4% de grasa) a una proporción del 5% de su biomasa corporal, fraccionado en dos raciones.
Del lote inicial se seleccionaron 30 peces con un tamaño uniforme, de 30.0 ± 0.3 mm, los cuales se mezclaron y se dividieron en 6 acuarios de 40 litros, colocando 5 organismos en cada uno, con una densidad de 8 litros por organismo.
Preparación del alimento. Se utilizó el esteroide acetato de trembolona a una concentración de 300 mg/kg de alimento, el cual fue incorporado al alimento por el método de evaporación de alcohol (Guerrero, 1975). La preparación del alimento del grupo testigo se realizó con el mismo procedimiento (incluyendo el alcohol), pero sin el esteroide.
Tratamientos. Se conformaron dos grupos experimentales, con y sin esteroide, cada uno con tres repeticiones. Los juveniles se sometieron durante 120 días a los tratamientos descritos.
Se registró diariamente en cada uno de los acuarios: la temperatura (termómetro digital Corning® con precisión de ± 1°C), el pH (potenciómetro digital Ohaus® con precisión de ± 0.2) y el oxígeno disuelto (oxímetro digital YSI® con precisión de ± 0.1 mg/l). El agua de los acuarios se mantuvo con aireación constante y el volumen perdido por evaporación en los acuarios se repuso, con agua previamente aireada y libre de cloro, con el objeto de conservar las mismas condiciones experimentales.
Los desechos sólidos (heces y alimento remanente) se retiraron con redes comerciales con luz de malla de 0.3 mm y con la ayuda de un sifón, una vez por semana; cada 30 días se aplicaron tratamientos profilácticos para evitar la proliferación de bacterias, con Cyprix® (etanol anhídro, ácido fénico y 1,3 dihidroxibenzol) en las dosis recomendadas, según instrucciones del producto.
Evaluaciones morfométricas. Cada quince días se evaluaron todos los sujetos de experimentación, registrando las siguientes variables: longitud total, longitud patrón, altura y peso. Las mediciones de talla se realizaron con un vernier Scala® con graduación de 120 ± 1 mm y las de peso con una balanza digital OHAUS® con capacidad de 450 ± 0.001 g.
Análisis estadístico: Para establecer a partir de qué quincena se manifestó el efecto anabólico del ATB sobre el peso y la longitud de la carpa dorada, se utilizó la prueba de t2 de Hotelling (p < 0.05) entre dos muestras independientes (Hair et al., 1999). Con objeto de describir el patrón de crecimiento se determinó la distribución de la talla y el peso de los peces por quincena, mediante diagramas de caja (Hoaglin et al., 1991).
El efecto anabólico del ATB sobre los peces, se determinó con un modelo que relaciona el peso en función del tiempo, usando previamente el cálculo del crecimiento longitudinal y en peso mediante el modelo de von Bertalanfy (Ricker, 1975). La relación pesolongitud se estimó a través de un modelo potencial, el que se ha utilizado ampliamente y particularmente en animales de granja, segun Marañon et al. (1994).
La precisión de los modelos se registró por el coeficiente de determinación (r2), que indica qué tanto explica el modelo en base a la variabilidad de los datos (Draper & Smith, 1981). Para probar la igualdad entre las pendientes de la regresión de los dos grupos experimentales se utilizó la prueba de "t" de Student (Zar, 1999), en el modelo de crecimiento longitudinal y el alométrico.
RESULTADOS
El acetato de trembolona (ATB) no dañó a los organismos experimentales, al registrarse una supervivencia del 100% después de aplicar un tratamiento durante 120 días. Los peces control que no estuvieron expuestos al ATB también registraron el 100% de supervivencia.
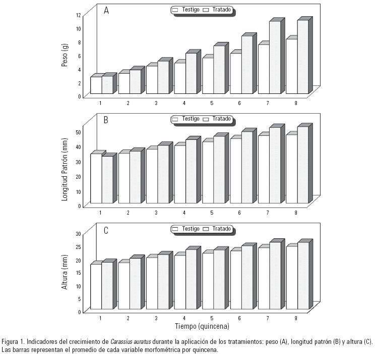
Los resultados indican que el ATB es eficiente como promotor del crecimiento, ya que los peces tratados mostraron un incremento con respecto a los peces del grupo testigo: en peso el 48.0%, longitud patrón 41.3% y altura 15.1% (Tabla 1).
El efecto anabólico de ATB se manifestó en el peso y la talla de los peces, a partir de la primera quincena y hasta el término del experimento, como lo confirma la prueba de t2 de Hotelling (p < 0.001). En la Figura 1 se puede observar que el peso es la variable morfológica que muestra la mayor discrepancia.
Los coeficientes del crecimiento estimados por los modelos se describen en la Tabla 2, los cuales indican que los peces tratados con el anabólico registraron coeficientes más pequeños que los estimados para el testigo, pero la precisión estimada por el coeficiente de determinación (r2) fue mayor en los modelos para los peces tratados, a pesar de que la desviación estándar del coeficiente de crecimiento (Sk) fue menor en los peces del testigo.
La Figura 2 muestra el crecimiento en talla estimado para cada tratamiento; en las dos primeras gráficas se observa que la curva que describe el modelo se localiza dentro de la distancia intercuartil de los diagramas de caja (incluso se encuentra cercana a la mediana), lo que indica que los modelos describen en forma adecuada el crecimiento de los peces.
Los efectos del esteroide comenzaron a manifestarse a partir de los 15 días y al transcurrir el tiempo la divergencia fue más considerable, como se aprecia en la tercera gráfica de la Figura 2. La prueba de "t" confirmó que existen diferencias significativas (p<0.001) entre los coeficientes de crecimiento de los tratamientos.
La Figura 3 presenta el modelo alométrico que relaciona el peso en función de la longitud patrón, de acuerdo con la ecuación 2. Se determinó en los dos primeros gráficos que la variabilidad de los datos observados es alta y se incrementa a medida que transcurre la evaluación.
En el tercer gráfico se observa que las curvas que describen los modelos se sobreponen, debido a que los coeficientes de proporción y la ordenada en el origen son similares. La prueba de "t" confirmó que no hay diferencias significativas (p>0.05) entre las pendientes de los tratamientos.
La Figura 4 muestra el acoplamiento de los dos modelos previamente estimados en un tercero para evaluar el efecto anabólico del ATB sobre la carpa dorada, ya que estima el peso como una función del tiempo; observándose en los dos primeros gráficos que la curva estimada por cada modelo describe de forma fidedigna el aumento del peso en los peces y tiene precisión al interceptar la mayor parte de las medianas que se encuentran dentro de la distancia intercuartil de los diagramas de caja.
Lo anterior indica que el modelo acoplado describe en forma adecuada el crecimiento de los peces y muestra en forma categórica el efecto anabólico del ATB en la carpa dorada, ya que el aumento de peso (con respecto al del grupo testigo) es mayor a medida que se incrementa el tiempo.
DISCUSIÓN
El empleo de esteroides para inducir el sexo, la maduración y el crecimiento se inició originalmente en especies comestibles, pero en la actualidad se aplica en mayor escala con peces de ornato (Pandian & Sheela, 1995). El uso de agentes masculinizantes ha sido reportado para acelerar el crecimiento de los peces (Lone & Matty, 1980; Manzoor & Satyanarayana, 1989; Marañón et al., 1999). El análisis de las fuentes bibliográficas acerca de la aplicación de anabólicos en Carassius auratus es casi nula, es probable que existan pero no son reportadas al tener aplicación comercial.
Con respecto a la utilización de los anabólicos, Lone y Matty (1980) reportaron un incremento significativo en la tasa de crecimiento de Cyprinus carpio, de 30 días de edad, tratados durante 90 días con 17αMT a dosis entre 2.5 a 5 mg/kg de alimento, los peces tratados alcanzaron una ganancia de biomasa del 40.3 y 39%, respectivamente; con concentraciones mayores, entre 5 y 10 mg/kg de alimento, no se promovió una mayor tasa de crecimiento (p > 0.05), pero sí hubo un decremento del 17% en peso con respecto a los peces del testigo.
Manzoor y Satyanarayana (1989) también emplearon C. carpio tratada con 17αMT, pero utilizaron peces de un día de edad con tratamientos cortos de 30 días y altas concentraciones, de 300 y 400 mg/kg, de alimento. Después de 365 días, los resultados indicaron que los peces tratados crecieron mucho mejor que los peces del testigo (p < 0.001), con una ganancia de biomasa de entre el 40.6 y 46.9%. El incremento de masa muscular fue en detrimento del desarrollo de las gónadas, con la consecuente esterilización de los peces tratados. De esa manera los organismos invirtieron energía en el crecimiento y no en la maduración de las gónadas, que ocupan entre el 25 y 35% del peso total de la carpa.
En el presente estudio, la aplicación del ATB a una concentración de 300 mg/kg de alimento en juveniles de la carpa dorada de 60 días de edad fue exitosa, considerando que no causó daño a los peces tratados y funcionó como un eficiente agente anabólico, ya que al finalizar el período experimental los valores de supervivencia fueron del 100% y, como sugieren Wilson y Brigstocke (1987), aumentó la eficiencia para incrementar la tasa de deposición de músculo en el animal y mejoró la eficiencia de la conversión alimenticia, al resultar en una ganancia de biomasa de 48.0% con respecto a los peces que no se les aplicó el esteroide. Incluso, su efecto se manifestó rápidamente al registrarse diferencias significativas (p < 0.001) a partir de la segunda quincena.
El tiempo de duración de la evaluación de 120 días corresponde al tiempo que dura un ciclo de producción en una granja comercial. Sin embargo, el incremento del peso y la talla de los peces tratados disminuyó conforme pasaba la evaluación hasta ser imperceptible al finalizar la evaluación, lo cual sugiere que la evaluación debió terminar 15 días antes, ya que el crecimiento fue limitado por el espacio del acuario.
El modelo en donde se relaciona el peso en función del tiempo, a partir del acoplamiento de las ecuaciones 1 y 2, indicó un mayor crecimiento de los peces tratados con ATB debido a que el peso máximo (W∞) lo alcanzan en menor tiempo, como se puede constataral calcular eltiempo requerido para alcanzar W∞, que es de 72 quincenas (19.55 g), mientras que para los peces del testigo (66.63 g) se necesitaron 140 quincenas.
A pesar de que los modelos de crecimiento registraron un coeficiente de determinación (r2) que fluctúa entre el 72.9 y 74.4%, se consideran aceptables, ya que los valores estimados para cada quincena coinciden con sus respectivas medianas. En los modelos alométricos, por su parte, se registraron coeficientes de determinación con un mayor porcentaje de explicación (fluctuaron entre el 82.2 y el 93.5%), ya que las coordenadas que describen el promedio del peso y la longitud por quincena coinciden con la curva que describe el modelo. Los modelos alométricos estimados para cada tratamiento indicaron un crecimiento similar (p > 0.05).
Se concluye que el modelo de crecimiento de Carassius auratus que se presenta describe en forma adecuada el efecto anabólico del ATB. Sin embargo, no existe ningún documento que presente un análisis similar que permita contrastar el alcance de la aplicación de estos agentes químicos, aún cuando en las granjas de producción de peces la administración oral de hormonas es común (Pelissero & Sumpter, 1992). Por esta razón, es necesario profundizar en el modo de acción del anabólico para deducir la posible estrategia para su aplicación a mayor escala.
De acuerdo a lo anterior, el ATB incrementó la velocidad de crecimiento de la carpa dorada, al mejorar la eficiencia de la conversión alimenticia; asimismo debido a que el tejido adiposo se encuentra asociado a los sitios de recepción de los esteroides, incluso funciona como reservorio de los mismos, como sucede con los adipocitos en el humano y otros mamíferos (Moore et al., 2002), es probable que se halla realizado un aumento de tejido óseo y muscular a expensas de la grasa corporal, de acuerdo con Wilson y Brigstocke (1987) y Ávila et al. (1990).
En los peces no ha sido muy estudiado el papel del tejido adiposo en la regulación esteroidal, a excepción de Moore et al. (2002) quienes aislaron e incubaron el tejido adiposo del mesenterio de la carpa dorada, concluyendo que en este lugar se asimilan los esteroides, e incluso tiene la facultad de transformar la testosterona para convertirla en un compuesto soluble en agua o en un producto aromático en forma de 17βestradiol.
La forma de desencadenar la actividad androgénica de esteroides como la 17αMT y el ATB es por medio de la activación de receptores androgénicos, y su acoplamiento induce una serie de eventos bioquímicos en el núcleo de la célula, debido a que algunos genes son activados en respuesta al mensaje hormonal. Sin embargo, la actividad anabólica parece estar influenciada por diferentes factores entre los que se incluyen la estructura molecular del esteroide, su liposolubilidad y hasta la forma de administración (Holterhus et al., 2002).
El ATB es fácilmente desacetilado en la sangre para producir el componente activo, la trembolona, la cual se une a los receptores de los andrógenos y estrógenos en el músculo esquelético; estos complejos inician eventos que alteran la degradación y síntesis de proteínas, dando como resultado un incremento neto de proteínas en el músculo esquelético (Anderson, 1991).
La aplicación del acetato de trembolona en la carpa dorada es una alternativa en el manejo de técnicas para mejorar el cultivo, considerando el análisis de Menéndez (1985) sobre el proceso productivo de una granja comercial de carpa dorada en el estado de Morelos, cuyo estado financiero indicó que el alimento es el concepto más caro en el costo de operación de la unidad de producción, siendo la proteína el ingrediente más oneroso de la dieta. De lo anterior, se deduce que la mejor estrategia financiera sería que el productor adquiriera alimento comercial con menor cantidad de proteína para disminuir el costo y que al combinarlo con un anabólico, promoviera en la carpa dorada una mayor tasa de absorción. El resultado se reflejaría en el aumento de la rentabilidad de la producción, ya que al acelerar la tasa de crecimiento el pez alcanzará la talla comercial en menor tiempo, con la consecuente disminución del costo de operación y la incertidumbre del comportamiento de la oferta recurrente y una serie de factores incontrolables, casi todos de origen climático, que pueden afectar de manera sensible la producción.
REFERENCIAS
Anderson, T. P. 1991. Trenbolone acetate as growth promotant. Compendium on Continuing Education for the Practing Veterinarian 7(13): 11791190. [ Links ]
Ávila, G., S. Shimada & L. Llamas. 1990. Anabólicos y aditivos en la producción pecuaria. Sistema de educación contínua en producción animal en México A.C. México. 214 p. [ Links ]
Bartle, S., R. Preston, R. Brown & R. Grant. 1992. Trenbolone acetate/estradiol combinations in feedlot steers: doseresponse and implant carrier effects. Journal of Animal Science 70: 13261332. [ Links ]
Davies, K., R. Morrison & J. Galvez. 2000. Reproductive characteristics of adult channel catfish treated with trenbolone acetate during the phenocritical period of sex differentiation. Aquaculture 189: 351360. [ Links ]
Devlin, H. & Y. Nagahama. 2002. Sex determination and sex differentiation in fish. Aquaculture 208: 191366. [ Links ]
Draper, N. & H. Smith. 1981. Applied regression analysis, 2nd Ed. John Wiley and Sons Inc. New York. 628 p. [ Links ]
Galvez, J. & R. Morrison. 1996. Efficacy of trenbolone acetate in sex inversion of the blue tilapia Oreochromis aureus. Journal World Aquaculture Society 4 (27): 483486. [ Links ]
Galvez, J. M. Mazik, P. Phelps & R. Mulvaney. 1995. Masculinization of channel catfish Ictalurus punctatus by oral administration of trenbolone acetate. Journal World Aquaculture Society 4 (26): 378383. [ Links ]
GómezRequeni, P., M. Mingarro, J. CalduchGiner, F. Médale, S Martin, D. Houlihan, D. Kaushik & J. PérezSánchez. 2004. Protein growth performance, amino acid utilization and somatotropic axis responsiveness to fish meal replacement by plant protein sources in gilthead sea bream (Sparus aurata). Aquaculture 232: 493510. [ Links ]
Guerrero, R. 1975. Use of androgens for the production of allmale Tilapia aurea (Steindachner). Transaction of the American Fisheries Society 2: 342348. [ Links ]
Guiroy, P., L Tedeschi, D. Fox & J. Hutcheson. 2002. The effects of implant strategy on finished body weight of beef cattle. Journal of Animal Science 80:17911800. [ Links ]
Hair, F., Anderson, R., Tatham, R. & W. Black. 1999. Análisis Multivariante. 5a. ed. Prentice Hall Iberia, Madrid, España. 832 p. [ Links ]
Hayden, J., W. Bergen & R. Merkel. 1992. Skeletal muscle protein metabolism and serum growth hormone, insulin, and cortisol concentrations in growing steers implanted with estradiol17p, trenbolone acetate, or estradiol17 plus trenbolone acetate. Journal of Animal Science 70:21092119. [ Links ]
Henricks, D., R. Brandt, Jr. Titgemeyer & C. Milton. 1997. Serum concentrations of trenbolone17b and estradiol17b and performance of heifers treated with trenbolone acetate, melengestrol acetate, or estradiol17b1. Journal of Animal Science 75:26272633. [ Links ]
Hernández, J., A. Estrada & J. Avilés. 1993. Comportamiento de Zeranol y Acetato de Trembolona + 17 b Estradiol en la engorda de ovinos en corral. Memorias del VII Congreso Nacional de Producción ovina, AMTEO, UNAM 1517 julio, Toluca, Edo. de México. pp. 7780. [ Links ]
Hirose, K. & T. Hibiya. 1968. Physiological studies on growth promoting effect of protein anabolic steroids on fish. Effects on goldfish. Bulletin Japanese Society Science Fisheries 34 (6): 466472. [ Links ]
Hoaglin, D., F. Mosteller & J. Tukey. 1991. Fundamentals of exploratory analysis of variance. John Wiley and Sons Inc. New York. 527 p. [ Links ]
Hoffman, B. & P. Evers. 1986. Anabolic agents with sex hormonelike activities: Problems of residues. In: E. Rico (Ed.). Drug residues in animals. Veterinary Science and Comparative medicine: A Series. Academic Press, Inc. London, UK. pp 111146. [ Links ]
Holterhus, P. M., S. Piefke & O. Hiort. 2002. Anabolic steroids, testosteroneprecursors and virilizing androgens induce distinct activation profiles of androgen responsive promoter constructs. Journal of Steroid Biochemistry & Molecular Biology 82:269275. [ Links ]
Isaacson, W., S. Jones & R. Krueger. 1993. Testosterone, dihydrotestosterone, trenbolone acetate, and zeranol alter the synthesis of cortisol in bovine adrenocortical cells. Journal of Animal Science 71:17711777. [ Links ]
Kuwaye, T. T., D. K. Okimoto, S. K. Shimoda, R. D. Howerton, Hao Ren Lin, P. K. Pang & E. G. Grau. 1993. Effect of 17 a methyltestosterone on the growth of the euryhaline tilapia, Oreochromis mossambicus, in fresh water and in sea water. Aquaculture 113: 137152. [ Links ]
Lone, K. & A. Matty. 1980. The effect of feeding methyltestosterone on the growth and body composition of common carp (Cyprinus carpio L.) General Comparative Endocrinology 40: 409424. [ Links ]
Manzoor, P. & G. Satyanarayana. 1989. Growth improvement in carp, Cyprinus carpio (Linnaeus), sterilized with 17amethytestosterone. Aquaculture 76:157167. [ Links ]
Marañón, S., A. García & D. Martínez. 1994. Evaluación biológica y económica de dietas con un modelo lineal que relaciona el peso en función del tiempo. Veterinaria México 25(4): 313326. [ Links ]
Marañón, S., E. Maya & H. Salgado. 1999. Masculinización de Xiphophorus helleri (Pisces: Poeciliidae) inducida por los esteroides norgestrel y androstenediona. Hidrobiológica 9(1): 3138. [ Links ]
Menéndez, L. 1985. Evaluación del cultivo de Carassius auratus y su rentabilidad en el criadero de producción ejidal en Atlacomulco, Morelos. Tesis de Licenciatura. Universidad Autónoma Metropolitana, México, D. F. 82 p. [ Links ]
Mommsen, T. & T. Moon. 2001. Hormonal regulation of muscle growth. Fish Physiology 18:251308. [ Links ]
Moore, R., D. Sutton & R. Rosenblum. 2002. In vitro uptake and metabolism of testosterone by goldfish, Carassius auratus, mesenteric adipose tissue. General and Comparative Endocrinology 127: 190197. [ Links ]
Pandian, J. & G. Sheela. 1995. Hormonal induction of sex reversal in fish. Aquaculture 138: 122. [ Links ]
Pelissero, C. & J. P. Sumpter. 1992. Steroids and "steroidlike" substances in fish diets. Aquaculture 107: 283301. [ Links ]
Pickford, G. E. 1954. The response of hyphopysectomized male killifish to purified fish growth hormona, as compared with the response to purified beef growth hormone. Endocrinology 55: 274287. [ Links ]
Ricker, W. E. 1975. Computation and interpretation of biological statistics of fish populations. Department of the Environment Fisheries and Marine Services. Bulletin Fisheries Research Board of Canada 191: 203204. [ Links ]
Rico A. & V. Burgat. 1983. Nueva información sobre el metabolismo de anabólicos. In: E. Rico (Ed.). Anabólicos en Producción Pecuaria. Aspectos de Salud Pública, Métodos de Análisis y Reglamentación. Editeur Scientifique Meissonnier, OIE, París, Francia. pp. 112121. [ Links ]
Sánchez, M. C. 1994. Cultivo de Peces de Ornato. Ed. SepescaCICRO. México. 29 p. [ Links ]
Schiffer B., A. Daxenberger, K. Meyer & H. H. Meyer. 2001. The fate of trenbolone acetate and melengestrol acetate after application as growth promoters in cattle: environmental studies. Environmental Health Perspectives 109: 1115. [ Links ]
Shireman, J. & Opuszynski. 1995. Herbivorous fishes, culture and use for weed management. Department of Fisheries and Aquatic Sciences, Institute of Food and Agricultural Sciences, University of Florida in Cooperation with National fisheries research center. CRC. Press, pp. 2029. [ Links ]
Weatherley, A. H. & H. S. Gill. 1987. Influence of bovine growth hormone on the growth dynamics of mosaic muscle in relation to somatic growth of rainbow trout, Salmo gairdneri Richardson. Journal Fish Biology 20: 165162. [ Links ]
Wilson, P. N. & T. D. Brigstocke. 1987. Avances en la alimentación de vacuno y ovino. Edit. Acribia, S. A. España. 272 p. [ Links ]
Zar, J. 1999. Biostatistical analysis. 4a. ed. Simon and Schuster. New Jersey, EUA. 663 p. [ Links ]













