Introduction
Plant flower-visiting insect interactions play a critical role in fruit set in many angiosperms (Tasen et al., 2010). These interactions are determined mainly by flower traits, including the type, quality, and quantity of reward offered, and the duration of display that could influence the abundance and composition of flower visitors (Harder & Johnson, 2005; Herrera, 1996; Murillo, 1981; Tangmitcharoen & Owens, 1997). Besides flowering variations in space and time, the abundance and composition of pollinators concurrently affect plant-pollinator dynamics (Beutelspacher & Ramírez, 1973; Ibarra-Cerdeña et al., 2005; Inoue & Kato, 1992; Lau & Galloway, 2004; Sánchez-Lafuente, 2002). The variation in plant-pollinators (and/or flower visitors) dynamics could also occur due to changes in climatic conditions (Crespo & Castelo, 2012; Tasen et al., 2010), because these changes (e.g., temperature, humidity, atmospheric pressure) could influence and shape the functioning of organisms (Begon et al., 2006; Crespo & Castelo, 2012; Hegland et al., 2009; Robinson et al., 2015), the species richness, and the community composition (Dalsgaard et al., 2013). Furthermore, climate can affect plant reproductive success (Herrera, 1995; Tasen et al., 2010), changes in stigma surface (Hedhly et al., 2003, 2004), pollen germination, tube growth (Cuevas et al., 1994; Delph et al., 1997; Hedhly et al., 2004), and fruit set, and it can also increase seed abortion (Cuevas et al., 1994; Hedhly et al., 2004; Slavković et al., 2016). While plant reproductive success can be directly affected by climate, reproductive processes in angiosperms are likewise dependent on plant-animal interactions (Abrol, 1988). Changes in climatic conditions can also affect plants and their pollinators directly via reduced colonization, decreasing populations in areas of non-suitable climate over time, and indirectly via phenological discrepancy or alterations of floral resources (Kuppler & Kotowska, 2021).
Many studies have documented how variations in climatic conditions could affect animal ecology, distribution, feeding patterns, and reproductive success (Begon et al., 2006; Li & Margolies, 1994; Marchand & McNeil, 2000; Martín-González et al., 2009; Robinson et al., 2015) since climatic variations could determine the availability and accessibility of resources (Begon et al., 2006). For insects, temperature and water availability have direct effects on development rate and are crucial in insect population dynamics (Crespo & Castelo, 2012; Gillot, 2005; Hegland et al., 2009; Leskey & Prokopy, 2003; Radmacher & Strohm, 2011). There are studies about the effects of climatic variables, like wind speed -which can influence the pheromone-mediated insect mating systems and reproductive success (Marchand & McNeil, 2000)- or changes in atmospheric pressure -which can affect foraging (Roitberg et al., 1993) and flight behavior of a parasitoid (Steinberg et al., 1992). Variations in atmospheric pressure affected the flight of Aedes aegypti (Haufe, 1954) and two species of Drosophila (Chadwick & Williams, 1949). Other studies found that changes in atmospheric pressure affected the responsiveness of bark beetles to their aggregation attractants (Lanier & Burns, 1978), reduced mating activity in Drosophila pseudoobscura (Ankney, 1984), and odor discrimination and oviposition of plum curculios (Conotrachelus nenuphar) (Leskey & Prokopy, 2003). Recent studies found that microenvironmental variables such as temperature and humidity (Sánchez-Reyes et al., 2016), evapotranspiration, heat index, and atmospheric pressure (Sandoval-Becerra et al., 2017) affect the abundance and diversity of Chrysomelidae beetles.
In pollination systems, diversity, abundance, and pollinator behavior have been found to respond to environmental variations (Abrol, 1988; Slavković et al., 2016; Tasen et al., 2010, 2014), affecting, in turn, the visit rates and the reception and deposition of pollen in flowers (Espíndola et al., 2011; McCall & Primack, 1992; Vanbergen, 2013) by a reduction of pollinator species richness (Settele et al., 2016). Species richness and visitation frequency are very important because frequent and diverse visitations could increase pollination success (Brittain et al., 2013). From the pollinator behavior, the duration of floral visits is important, because it could have positive effects (longer visits could increase visitor contact with, and/or transfer of pollen to, a stigma) (Harder, 1990) or could indicate ‘ineffective’ feeding (excessive grooming, eating pollen or floral tissues, avoiding anther or stigma contacts) (King et al., 2013). Previous studies have found that environmental variables, including temperature, light intensity, solar radiation, soil temperature, and relative humidity, could influence some aspects of pollinator behavior (Bishop et al., 2016; Dalsgaard et al., 2009; Devoto et al., 2005; Olesen & Jordano, 2002; Scaven & Rafferty, 2013; Wang et al., 2009; Welti & Joern, 2015). Despite climate conditions playing a major role in shaping plant-pollinator interactions, biotic variables also could influence the behavior of insects. This is the case of the nurse-protégé association, where this facilitation is a common strategy in arid zones in which plants mitigate the extreme temperature, solar radiation, desiccation, and herbivory of other plants (Muro-Pérez et al., 2009; Withgott, 2000). The effects of nurse plants are considered especially beneficial to the early stages of plant growth (Flores & Jurado, 2003; Ren et al., 2008; Withgott, 2000), but it is not known how these associations affect flower visitors. The visits of animals to plants depend on the accessibility of each plant and most flower visitors prefer plants in open and easily accessible areas. Thus, if plants are under branches of nurse plants, the visitations of animals could be limited due to decreasing visibility of flowers (Grüter & Ratnieks, 2011). Additionally, closed areas could interfere with the flight of approaching insects. The effects of environmental variations and biotic variables could also modify the structure of communities in pollinator interaction networks (Settele et al., 2016).
The dynamics of pollinator behavior can also be analyzed as a network of interactions because these tools help us understand the processes that structure natural ecosystems and their functions through biotic interactions (Dunne et al., 2002). The interaction networks are composed of nodes (individual plants and visitor species) and links (the interactions among plants and flower visitors) (De Almeida & Mikich, 2018; Blüthgen et al., 2008; Martínez-Falcón et al., 2019). In these networks, the species and their interactions are organized in webs that can show distinctive and repetitive patterns (Olesen et al., 2007), where the mutualistic networks often have a nested structure and, to a lesser extent, modular topology (Bascompte et al., 2003; Dupont et al., 2009; Martínez-Adriano et al., 2018; Martínez-Falcón et al., 2019; Olesen et al., 2007). Generally, the studies of interaction networks about flower visitors include the interactions among species in two or more communities or trophic levels (e.g., Díaz-Castelazo et al., 2010, 2013, 2020; Hernández-Yáñez et al., 2013; Martínez-Adriano et al., 2018; Ramos-Robles et al., 2016; Rico-Gray et al., 2012), and the individual-based interaction networks studies (at population level) are commonly neglected. The individual-based interaction networks could help better understand the complex interactions between a plant population and its flower visitors (Dáttilo et al., 2014). For example, for the Opuntia spp. (Cactaceae), a complex flower-visiting insect relationship has been found, including key species constituting the generalist core of the networks created (Tenorio-Escandón et al., 2022). For other cacti, such as Astrophytum spp., flower visitors include a diverse group of insects; however, only some flower visitors are crucial for fruit set and seed production, because only a reduced number of species are efficient pollinators (Blair & Williamson, 2008; Martínez-Adriano et al., 2015).
Astrophytum myriostigma Lem., commonly known as Bishop’s cap cactus, is an endemic and endangered cactus species (Diario Oficial de la Federación [DOF], 2010) distributed in northeastern Mexico. The main cause of this threat is its extraction from wild populations for ornamental use (Romero-Méndez et al., 2013). This species is described as a globose-columnar plant with three morphs: conical, domed, and depressed (Romero-Méndez et al., 2013). It varies in height from 10 cm to 60 cm and from 10 cm to 20 cm in diameter; the plant usually has five ribs (Sánchez-Salas et al., 2004). The flowers are campanulate, from 4 cm to 6 cm in length, and yellow with a variant yellow/red nectar guide (Bravo-Hollis & Sánchez-Mejorada, 1986; Sánchez-Salas et al., 2004). The flowering is asynchronous (only a few individuals present flowers and these have a reduced or null fruit set) throughout the year with one (or rarely two) synchronous flowering events in the rainy season in summer (Martínez-Adriano et al., 2015). This species, like others in the genus, require cross-pollination by animals (as pollen vectors) for production of fruits and seeds (Huerta-Martínez, 1995), so synchronous flowering is necessary for fruit set and production of seeds.
In Astrophytum myriostigma Lem. animal visitors are affected by environmental variables and biotic variables, since the cactus plant often occurs near nurse objects (Muro-Pérez et al., 2009), and nurse plants can limit pollinator access to protected plants or reduce the visibility of flowers to pollinators (Cádiz-Véliz et al., 2021). Thus, it is important to understand how microenvironmental variables and nurse variation affect the number of visitor species, frequency of visits, and duration of each visit. Additionally, it is important to know how the individual-based plant-flower visitor interaction network is structured. In arid and semi-arid regions this knowledge is limited, and the mechanisms that affect foraging activities of flower visitors are poorly understood (Ladd et al., 2019).
Information about interactions between flower visitors and microenvironmental variables could provide important knowledge for the proposal of conservation of pollinators and/or plant-pollinator interactions in arid environments. This study evaluated the effects of microenvironmental variables on mutualistic plant-flower visitor interactions in a population of A. myriostigma (Cactaceae). In this context, the following questions were elaborated: 1) How do microenvironmental variables affect species richness, frequency, and visit duration of flower visitors in a plant-flower visitor system? 2) Does nurse plants or objects affect species richness, frequency of visitors, and visit duration of flower visitors? 3) How is the individual-based plant-flower visitor interaction network of an A. myriostigma population structured?
Variables such as temperature, relative humidity, and atmospheric pressure are expected to affect species richness, frequency, and duration of visit time of flower visitors of A. myriostigma. Plants with flowers in open areas would have more visitors (composition and frequency) and lengthier visits than those covered by branches of nurse plants. Additionally, plants with the highest number of interactions are expected to reflect the preference of flower visitors within the interaction network, and this mutualistic interaction network is expected to have a nested structure.
Materials and methods
Study area
This study was carried out in La Sierra El Sarnoso, near the village Las Palmas in Gómez Palacio municipality, Durango, México (exact location omitted to protect from illegal extraction). The climate is BWhw (very dry and warm with summer rains), according to Köppen modified by García (1981). The annual precipitation ranges from 100 mm to 300 mm, and the average annual temperature is 20.8 °C (INEGI, 2000). The main vegetation type in the area is xerophytic shrubland (González-Elizondo et al., 2007; Rzedowski, 1962, 1986) with rosette subtype (González-Elizondo et al., 2007).
Flower visitors and microenvironmental variables
A site where A. myriostigma was locally abundant was selected and established in six permanent 10mx10m plots. Within these plots, 105 reproductive plants were located and labeled (permanently), where field observations were conducted.
To obtain data of flowering events in the studied population, every two weeks all labeled plants in the population were monitored through 24 consecutive months (from January 2007 to December 2008). During the field observations, several non-synchronous flowerings were recorded, with some rare cases of two individuals flowering simultaneously. However, even in these cases, successful cross-pollination is rare due to the distance that pollinators have to travel to transport pollen from far away flowering plants.
Only two synchronous flowerings in the studied population were recorded (one in June 2007 and one in July 2008, both with only one-day flower opening). Synchronous flowering was considered when several plants (more than two individuals) in the population had flowers at the same time (see Bravo-Hollis & Sánchez-Mejorada, 1986). Since Astrophytum species are strictly outcrossing plants (Strong & Williamson 2007) and the flowers of A. myriostigma have nine hours of anthesis (although they can last up to one day and rarely two) (Martínez-Adriano et al., 2015), synchronous flowering allows the plants of A. myriostigma population to have a successful cross-pollination.
For 15 minutes per plant, all flower visitors (see the list of flower visitors in Table 1) on all blooming individuals within the studied population were recorded. This was carried out every hour until all flowering plants in the population closed their perianth (07:00 hours to approximately 18:00 hours per flowering event). The frequency of visitors, species richness, and duration of visit per flower visitor (in seconds, registered with a digital chronometer) was recorded. When two or more flower visitors were present at the same time, the “lap” option of the timer was used to avoid over or underestimation of the duration of visit of each visitor. Eight microenvironmental variables (atmospheric pressure [ATPR], temperature [TEMP], evaporation point [EVPO], dew point [DEPO], heat index [HEIN], relative humidity [REHU], density altitude [DEAL], and wind speed [WISP]) were recorded with a Kestrel 4000 portable weather station. Microenvironmental data were recorded simultaneously with flower visitors' observations, at a few centimeters (<2cm) next to each flower or group of flowers visited by the insects. Density altitude is the altitude relative to the standard atmospheric conditions at which the air density would be equal to the indicated air density at the place of observation. Density altitude could be considered as pressure altitude adjusted for non-standard temperature (US Department of Transportation and Federal Aviation Administration, 2008). Additionally, the nurse plants or objects (i.e., rocks), or a combination of both, were recorded close to each A. myriostigma plant having at least one flower (Figure 1). Bare soil surrounding the study plants indicated the absence of nurse elements.
Table 1 List of flower visitors of Astrophytum myriostigma (modified from Martínez-Adriano et al., 2015). The visitor acronym and guild to which each visitor belongs (as used in generalized linear models) was included. Potential pollinators (species that had contact with both anthers and stigma) of A. myriostigma flowers are identified with “*”.
| Order | Species | Visitor acronym | Guild of visitor | Visit type |
| Coleoptera | Acmaeodera sp. | ACSP | Acmaeodera sp. | Feeding pollen |
| Diptera | Anthrax irroratus | ANIR | Flying | Feeding pollen |
| Musca domestica | MUDO | Flying | Feeding pollen | |
| Hymenoptera | Ancyloscelis apiformis | ANAP | Flying | Nectarivore * |
| Diadasia olivacea | DIOL | Flying | Nectarivore * | |
| Augochloropsis metallica | AUME | Flying | Nectarivore * | |
| Orthoptera | Phaedrotettix sp. | PHSP | Phaedrotettix sp. | Florivore of stamens and tepals |
Source: Author’s own elaboration.

Source: Author’s own elaboration.
Figure 1 Example of plant-object nurse combination where A. myriostigma plants were found. a) Plant associated with nurse combination of Acacia sp. and rocks; b) A. myriostigma associated with nurse combination of Agave lechuguilla, Jatropha dioica, and rocks; c) A. myriostigma plant with rocks as a nurse object.
Statistical analyses
All statistical analyses were performed with R software version 4.0.2 (R Core Team, 2020). An analysis of variance inflation factor (VIF) with USDM package (Naimi, 2015) was developed to avoid collinearity among microenvironmental variables and, with this, to comply with the assumptions of independence among explanatory variables in the linear models (Jou et al., 2014; Quinn & Keough, 2002). The collinear variables considering a VIF > 10 as a critical threshold were discarded (Quinn & Keough, 2002).
With non-collinear variables, generalized linear models (GLM) with a Poisson distribution were performed to establish which of these microenvironmental variables (independent variables) affect composition (per hour) and frequency of flower visitors (per hour and species) (Dobson & Barnett, 2008; Fox, 2016). For the associated nurse plant and/or object, a separated GLM was developed to avoid the loss of degrees of freedom to zero by the inclusion of this variable in the other GLM. For the duration of visits of flower visitors, the GLM were adjusted to a Gaussian distribution (Dobson & Barnett, 2008; Fox, 2016). To get the simplest linear model, the initial GLM was simplified with the technique of extraction of both single variables or interactions of variables (all variables and interactions were tested). Then both models (the original and the one from which the variable was extracted) were compared with the “anova” function (this function compute an analysis of deviance for one or more fitted models) from “stats” package on R software, version 4.0.2 (R Core Team, 2020), to see if the extraction of this variable (or interaction of variables) had a significant change on the original model. When the extraction showed a significant change from the original model (p < 0.05), the variable (or interaction of variables) was not removed.
The flower visitors were classified according to the way they reach the flowers of A. myriostigma. Flying visitors were those that reached flowers through flight, like bees and flies. It was observed that a group of insect visitors (beetles from Acmaeodera sp., Buprestidae) remained most of the time within the corolla, but they varied in number. For these visitors, a GLM with a binomial distribution was developed (Dobson & Barnett, 2008; Fox, 2016), with the presence/absence in observation events, to see differences in the presence of species on A. myriostigma flowers. In addition, non-flying Phaedrotettix sp. was analyzed separately because it was the only antagonist flower-visiting species (as it is florivorous). It is an apterous species that reaches the plant by jumping, and then it climbs up the stem until it reaches the flower. For this flower visitor, GLM with a Poisson distribution (for frequencies) and Gaussian distribution (for duration of visits) were developed (Dobson & Barnett, 2008; Fox, 2016). The GGPLOT2 package (Wickham, 2009) was used to make graphs. In all GLM of the duration of visits, time duration of beetle Acmaeodera sp. was omitted because this species of beetle is found visiting the flowers of A. myriostigma, even before the corollas open.
Interaction network analysis
A quantitative (given by frequencies) flower visitor-plant matrix of interactions was elaborated. With the interaction matrix, a network analysis was developed to describe the individual-based network structure (network-level analyses), and with species-level analyses, the importance of both flower visitors and plant individuals for network structuration was determined.
For this interaction network, the nestedness was calculated based on overlap and decreasing fill (NODF) (Almeida-Neto et al., 2008) using Aninhado software version Bangu 3.0.3 (Guimarães & Guimarães, 2006). The statistical significance of NODF for our network was obtained by comparing 1000 simulations using the null model Ce (Guimarães & Guimarães, 2006), which corresponds to Null Model II proposed by Bascompte et al. (2003). Additionally, the “network-level” function of bipartite package (Dormann & Gruber, 2009; Dormann et al., 2009) for R software version 4.0.2 (R Core Team, 2020) was used to estimate the following topology or structural metrics: interaction strength asymmetry (ISA), specialization asymmetry (SA), network specialization (H2), and niche overlap (NO) (for both upper and lower trophic levels).
Interaction strength asymmetry (ISA) explains the dependence asymmetry for both trophic levels; positive values indicate higher dependence in the higher trophic level, and negative values mean higher dependence in the lower trophic level (Blüthgen et al., 2007). Specialization asymmetry (SA) calculates the average guild asymmetry of specialization, based on d’ (d’ index calculates the specialization for each species in the entire network) (Blüthgen et al., 2006). Since mean d-value for the lower trophic level is subtracted from the value of the higher trophic level, positive values mean greater specialization of the higher trophic level (Dormann et al., 2009). Network specialization (H2) is an index describing the level of “complementarity specialisation” (or selectiveness) of an entire bipartite network (Blüthgen et al., 2006). It describes to which extent observed interactions differ from those that would be expected given the species marginal totals. The more selective a species is, the larger H2 value for the web will be; it ranges from 0 (no specialization) to 1 (complete specialization). Niche overlap (NO) measures the similarity in interaction pattern among all species in the same trophic level and is calculated by the Horn’s index. Also, the core-periphery network position for each species (on both trophic levels) was defined, where core species are generalists (values ≥ 1), and the peripheral species are those with low-degree (< 1). The core-periphery descriptor was calculated in R software with the function used by Martínez-Adriano et al. (2018) and Díaz-Castelazo et al. (2020) based on the formula proposed by Dáttilo et al. (2013).
At species level, the “species-level” function (Dormann, 2011) from the bipartite package was used. The metrics calculated with species-level function were species strength (SS), interaction push/pull (IPP), pollination service index (PSI), and species specialization index (d). The SS is defined as the sum of all dependencies of the plants visited by flower visitors (or dependence of flower visitors by plants they visit) and provides information on the relevance of each species for the interacting counterpart (Bascompte et al., 2006). IPP describes the direction of interaction asymmetry based on dependencies, where positive values of IPP indicate that a species more strongly affects the species of the other trophic with which it interacts than vice versa (“pusher”), while negative values mean that a species is more strongly affected by its counterpart (“pulled”) (Vázquez et al., 2007). Dependence is defined as the relative interaction strength between two given taxa (Jordano, 1987). The PSI (described by Dorman, 2011) estimates the importance of a pollinator for all plant species.
PSI comprises three calculation steps: first, for each pollinator species, the proportion for each plant individual it visits was calculated. Second, the proportion to which a plant is visited by each visitor species was calculated. Multiplying these two proportions, the portion of own pollen for each plant individual and the plant's specific receptiveness was obtained. Third, the proportions of own pollen delivered across all plant individuals were added. This value is the PSI value. At its maximum, 1, it shows that all pollen is delivered to one individual plant that completely depends on the monolectic pollinator. At its minimum, 0, it indicates that a pollinator is irrelevant to all plant individuals. Finally, the species specialization index (d) describes the specialization of each species based on the discrimination from the random selection of partners (Blüthgen et al., 2008). It calculates the Shannon diversity for each column (delivering raw d-values) and re-ranges them between maximum and minimum theoretical values (ranges from 0 [no specialization] to 1 [perfect specialist]) (Blüthgen et al., 2006, 2008).
Results
Ninety-three records of flower visitors (during 16 hours and 30 minutes of field observations) were recorded during two synchronous flowering events of the studied species -one in June 2007 and the other in July 2008. Microenvironmental variables used for GLM (variables with no collinearity) were atmospheric pressure, evaporation point, dew point, density altitude, wind speed, and associated nurse (plant or object). Eight plants of A. myriostigma were observed having interactions with flower visitors, under different potential nursing conditions, which included seven species of plants and one object type (Table 2).
Table 2 Nurse plants and nurse objects associated with A. myriostigma in the study area. Plant names according to The Plant List web page (available at: http://www.theplantlist.org/).
| Associated nurse | Abbreviation |
| Acacia sp. | As |
| Thelocactus bicolor (Galeotti) Britton & Rose | Tb |
| Jatropha dioica Sessé | Jd |
| Agave lechuguilla Torr. | Al |
| Mammillaria sp. | Ms |
| Opuntia microdasys subsp. rufida (Engelm.) U. Guzmán & Mandujano | Or |
| Rocks | R |
| Rocks with soil | Rs |
| Lippia graveolens Kunth | Lg |
Source: Author’s own elaboration.
Species richness of flower visitors. The microenvironmental variables and nurse association did not have a significant effect on the species richness of flower visitors. However, the ATPRxEVPOxDEPOxWISP interaction (D1,49 = 2.759, p = 0.073) was a marginally positive effect on the species richness. The highest taxonomic richness (six species) of visitors was observed at 11:29 hours, with an atmospheric pressure of 882.5 mb, evaporation point of 21.1 °C, dew point of 14.6 °C, and no wind.
Frequency of flower visitors. The frequency of flower visitors (see Table 1 for visitor species list) per hour was negatively affected by the ATPRxEVPOxDEPOxWISP interaction (D1,35 = 23.152, p = 0.002) and DEALxATPRxEVPOxWISP interaction (D1,3 = 24.916, p = 0.0018). Association of individual nurse plants and objects (AlR, MsTbRs, OrR, OrRs, LgAlR, and LgR) negatively affected the frequency per hour of the visitors (these combinations of nurse plants and objects recorded lower frequencies of flower visitors), while the combination of AsJdR had a positive effect on visitation frequency on flowers (Figure 2a). The frequency per species per hour was positively affected by ATPR (Figure 2b) and DEPO (Figure 2c). The presence of a nurse association did not affect the frequency per species of flower visitors per hour.

Source: Author’s own elaboration.
Figure 2 a) Frequency variation of all flower visitors per hour in relation to the combination of nurse plant and/or nurse object. Variation in frequencies per species each hour in relation to b) atmospheric pressure and c) dew point. We show the tendency lines and standard error (grey shade) for each microenvironmental variable. Nurse plant/object combinations: AsJdR = Acacia sp., Jatropha dioica, and Rocks; AlRs = Agave lechuguilla and rocks with soil; MsTbRs = Mamillaria sp., Thelocactus bicolor, and rocks with soil; OrR = Opuntia microdasys and rocks; OrRs = O. microdasys and rocks with soil; R = Rocks; LgAlR = Lippia graveolens, A. lechuguilla, and rocks; and LgR = L. graveolens and rocks.
Acmaeodera sp. was the most frequent visitor and had a similar abundance of flowers throughout the day. The highest frequency of Acmaeodera sp. was nine visits at the same time; it occurred two times: at 11:29 hours and at 14:31 hours. The frequencies of flying visitors (bees and flies) (Table 1) did not vary with microenvironmental variables. However, the nurse plants/objects AlRs, MsTbRs, PrRs, and LgAlR negatively affected the frequency of flying visitors (Figure 3a). The highest frequency of flying visitors was six individuals registered at 11:29 hours. For non-flying grasshoppers (Phaedrotettix sp.), ATPR negatively affected its frequencies (Figure 3b). In addition, the frequency of non-flying grasshoppers had a positive effect with LgR as nurse plant association (Figure 3c). The highest frequency recorded for grasshoppers was three individuals at 14:43 hours, with an atmospheric pressure of 880.7 mb, and 16:05 hours, with an atmospheric pressure of 879.4 mb.

Source: Author’s own elaboration.
Figure 3 a) Frequency of flying visitors based on microhabitat to nurse plant and/or nurse object; b) Frequency of Phaedrotettix sp. in relation to atmospheric pressure; c) Frequency of Phaedrotettix sp. in relation to microhabitat plant and/or object nurse combination. The tendency line and standard error (grey shade) for each microenvironmental variable are shown. Nurse plant/object combinations: AsJdR = Acacia sp., Jatropha dioica, and Rocks; AlRs = Agave lechuguilla and rocks with soil; MsTbRs = Mamillaria sp., Thelocactus bicolor, and rocks with soil; OrR = Opuntia microdasys and rocks; OrRs = O. microdasys and rocks with soil; R = Rocks; LgAlR = Lippia graveolens, A. lechuguilla, and rocks; and LgR = L. graveolens and rocks.
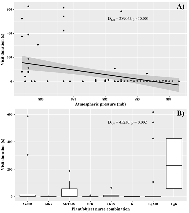
Duration of visits. The duration of visits on the flowers per species per hour was affected negatively by ATPR (Figure 4a), while for nurse association only LgR had a positive effect on the duration of all visits (Figure 4b). The mean duration of visitation on flowers per species per hour was 62.95 s (SD = 155.43). The highest duration of visit observed was 626.8 s at 16:44 hours with an atmospheric pressure of 879.6 mb, and the lowest visit time was 0.33 s, registered at 10:15 hours, with an atmospheric pressure of 883.3 mb.

Source: Author’s own elabroration.
Figure 4 a) Visits duration per individual per hour in relation to atmospheric pressure and tendency line and standard error (grey shade) for each microenvironmental variable; b) Duration of visit per individual per hour in relation to nurse plant and/or nurse object combination. Nurse plant/object combinations: AsJdR = Acacia sp., Jatropha dioica, and Rocks; AlRs = Agave lechuguilla and rocks with soil; MsTbRs = Mamillaria sp., Thelocactus bicolor, and rocks with soil; OrR = Opuntia microdasys and rocks; OrRs = O. microdasys and rocks with soil; R = Rocks; LgAlR = Lippia graveolens, A. lechuguilla, and rocks; and LgR = L. graveolens and rocks.
The visiting duration observed for Coleoptera species throughout the monitoring time was 27 900 s. For beetle Acmaeodera sp., the microenvironmental variables did not affect the duration of visits to flowers. For the flying visitors (Table 1), no effect of microenvironmental variables on the duration of visits was observed. For non-flying grasshoppers (Phaedrotettix sp.), the microenvironmental variable that negatively affected the visit of this guild was ATPR (Figure 5a). In addition, LgR had a positive effect on the visit duration of grasshoppers (Figure 5b).

Source: Author’s own elaboration.
Figure 5 a) Visit duration in relation to atmospheric pressure of non-flying florivorous grasshopper (Phaedrotettix sp.); b) Non-flying grasshopper (Phaedrotettix sp.) visit duration in relation to nurse plant and/or nurse object combination. The tendency line and standard error (grey shade) for each microenvironmental variable are shown. Nurse plant/object combinations: AsJdR = Acacia sp., Jatropha dioica, and Rocks; AlRs = Agave lechuguilla and rocks with soil; MsTbRs = Mamillaria sp., Thelocactus bicolor, and rocks with soil; OrR = Opuntia microdasys and rocks; OrRs = O. microdasys and rocks with soil; R = Rocks; LgAlR = Lippia graveolens, A. lechuguilla, and rocks; and LgR = L. graveolens and rocks.
Individual-based plant-flower visitor interaction network. The flower visitor-individual plant interaction was composed of 166 records. The ecological web consisted of 17 nodes (seven species of flower visitors and 10 individual plants of A. myriostigma) (Figure 6). The interaction network had a marginally nested structure (NODF_total = 64.52, NODF(Ce) = 52.55, p = 0.09). Plants showed higher dependence than flower visitors (ISA = -0.181), and the flower visitors had higher specialization than plants (SA = 0.348). This interaction network had low specialization (H2 = 0.237), and the plants shared higher niche use (NO = 0.772) than flower visitors (NO = 0.394).

Source: Author’s own elaboration.
Figure 6 Individual-based ecological interaction network between flower visitors and plants of A. myriostigma. Species acronyms of flower visitors are shown in Table 1. Flower visitors are yellow nodes and plants are green nodes (number and plot for each plant was represented inside the square nodes). Core species are represented by dark-blue nodes in both trophic levels. Nurse plant/object combinations (outside of square nodes): AsJdR = Acacia sp., Jatropha dioica, and Rocks; AlRs = Agave lechuguilla and rocks with soil; MsTbRs = Mamillaria sp., Thelocactus bicolor, and rocks with soil; OrR = Opuntia microdasys and rocks; OrRs = O. microdasys and rocks with soil; R = Rocks; LgAlR = Lippia graveolens, A. lechuguilla, and rocks; and LgR = L. graveolens and rocks.
For the species-level descriptors, the species with highest importance for the entire network was Acmaeodera sp. (SS = 6.627), followed by Phaedrotettix sp. (SS = 1.942), and Diadasia olivacea (SS = 1.052). For plants, individual 22/III had the highest species strength (ST = 3.099), while the other plant individuals showed low values of importance (ST < 0.88). According to the interaction push/pull index, the species Acmaeodera sp. (IPP = 6.627), followed by Phaedrotettix sp. (IPP = 1.942), and Diadasia olivacea (IPP = 1.052), affected the plants with which they interact, while the other visitor species were affected by the interactions with their counterparts (Table 3). Individual 22/III (IPP = 0.349) was the only node for plant trophic level that affected the flower visitors (Table 3). According to the pollination service index, the flower visitors Acmaeodera sp., Phaedrotettix sp., and Diadasia olivacea were the species with highest pollination service for A. myriostigma plants (Table 3). The species Anthrax irroratus showed the highest specialization index, while 28/III, 49/IV, and 47/IV were the most specialized individual plants of A. myriostigma (based on flower visitors). Acmaeodera sp., Diadasia olivacea, and the individual 22/III (AsJdR nurse combination) (Figure 6) were the core nodes in our interaction network, while the rest of the nodes were peripheral (Table 3).
Table 3 Descriptors at species-level of individual-based flower visitor-plant interaction network. We showed species strength (SS), interactions push-pull (IPP), pollinator service index (PSI), species specialization (d), and core-periphery position for each node in the network.
| Visitors/Plants | Trophic level | SS | IPP | PSI | d | Core-periphery |
| Acmaeodera sp. | High | 6.627 | 0.625 | 0.776 | 0.148 | Core |
| Ancyloscelis apiformis | High | 0.139 | -0.286 | 0.046 | 0.054 | Periphery |
| Anthrax irroratus | High | 0.021 | -0.978 | 0.021 | 0 | Periphery |
| Augochloropsis metallica | High | 0.172 | -0.413 | 0.086 | 0.287 | Periphery |
| Diadasia olivacea | High | 1.052 | 0.006 | 0.149 | 0.115 | Core |
| Musca domestica | High | 0.043 | -0.956 | 0.043 | 0.128 | Periphery |
| Phaedrotettix sp. | High | 1.942 | 0.157 | 0.448 | 0.437 | Periphery |
| 22/III | Low | 3.099 | 0.349 | - - | 0.086 | Core |
| 27/III | Low | 0.617 | -0.127 | - - | 0.099 | Periphery |
| 47/IV | Low | 0.885 | -0.028 | - - | 0.024 | Periphery |
| 28/III | Low | 0.335 | -0.221 | - - | 0.007 | Periphery |
| 23/III | Low | 0.477 | -0.174 | - - | 0.063 | Periphery |
| 40/IV | Low | 0.324 | -0.225 | - - | 0.044 | Periphery |
| 63/V | Low | 0.207 | -0.396 | - - | 0.067 | Periphery |
| 35/IV | Low | 0.665 | -0.111 | - - | 0.126 | Periphery |
| 36/IV | Low | 0.3 | -0.7 | - - | 0.628 | Periphery |
| 49/IV | Low | 0.087 | -0.456 | - - | 0.015 | Periphery |
Source: Author’s own elaboration.
Discussion
Changes in climate conditions could have strong effects on the functioning of organisms (Begon et al., 2006; Hegland et al., 2009; Robinson et al., 2015). Several studies have investigated the effects of the environment on the activity of living organisms (Abrol, 1988; Crespo & Castelo, 2012; Cuevas et al., 1994; Dalsgaard et al., 2013; Delph et al., 1997; Herrera, 1995; Tasen et al., 2010). Insects are very susceptible to variations in environmental conditions (Gillot, 2005). These changes could drive the availability and accessibility of resources (Begon et al., 2006), affecting in turn animal ecology, distribution, feeding patterns, and reproductive success (Begon et al., 2006; Li & Margolies, 1994; Marchand & McNeil, 2000; Martín-González et al., 2009; Robinson et al., 2015). Climatic variations can drive the frequency and diversity of pollinators (Espíndola et al., 2011). However, in this study, the microenvironmental variables did not affect the variation of species richness of flower visitors of A. myriostigma. This difference may be because often one species (maximum six species) visiting the A. myriostigma flowers was observed during most observation periods (15 minutes), or because the climate variation in our study was less than that of the study made by Espíndola et al. (2011), who examined the variation in the proportion of flower visitors of Arum maculatum across the whole plant’s distribution range (in the European continent). These findings are very interesting, but the short period of synchronous flowering of A. myriostigma did limit the sampling size; thus, for future studies, it is recommended an increase in sampling size (either in the number of individuals observed or in the number of populations observed) and the use of technologies such as HD video cameras to simultaneously record several flower visitors.
Several studies (not for pollination systems) highlighted that fluctuation in climate conditions affects insect dynamics (Gillot, 2005; Hegland et al., 2009; Marchand & McNeil, 2000; Radmacher & Strohm, 2011). Likewise, it has been observed that fluctuations in atmospheric pressure have a strong influence on insect foraging (Roitberg et al., 1993), flight behavior (Chadwick & Williams, 1949; Haufe, 1954; Steinberg et al., 1992), reproduction (Ankney, 1984), and oviposition (Leskey & Prokopy, 2003). Similarly, recent studies suggest that microenvironmental variations in atmospheric pressure, in addition to evaporation and heat index, affected the abundance and diversity of Chrysomelid beetles (Sandoval-Becerra et al., 2017). Evenly, the atmospheric pressure was the main variable that influenced (negatively) the flower visitor dynamics (species richness, frequencies, and duration of visits) in A. myriostigma. This could indicate that the fluctuation of atmospheric pressure is a good predictor for flower visitors’ activity in this interaction system. Otherwise, atmospheric pressure across the world is changing because of human-induced climate change (Ball, 2003; Gillette et al., 2003). Additionally, the tendency of progressive increasing of temperature values in the Comarca Lagunera region (Cano-Villegas et al., 2022) could be another factor that affect the dynamics of these systems of ecological interactions. In this way, changes in the atmospheric pressure, provoked by human-induced climate change, could alter visitor behavior and therefore affect the fruit set for A. myriostigma populations.
The nurse plant associations have been studied mainly for the protection of seeds and seedlings (Flores & Jurado, 2003; Muro-Pérez et al., 2009; Ren et al., 2008; Withgott, 2000) but less commonly on how it influences flower visitors and pollinators. In this study, the frequencies of flower visitors per hour were negatively affected by six nurse plants and/or object combinations, but positively by the Acacia sp. X Jatropha dioica X rocks interaction. Perhaps planting native nurse plants such as Acacia sp. and J. dioica near this threatened species populations could increase fruit set in the coming years by mitigating the impacts of climate change on pollinator behavior. The negative results in this study were similar to findings by Grüter & Ratnieks (2011), who found that visibility of flowers under nurse plants decreased for most flying visitors. Thus, if nurse plants decrease the likelihood of occurring herbivores (Muro-Pérez et al., 2009; Withgott, 2000), they may also decrease the possibility of pollinators reaching the flowers, since closed areas could obstruct the flight of approaching animals, including flower visitors and pollinators. Similarly, Cádiz-Véliz et al. (2021) found that nurse shrub species obstruct the access of giant hummingbirds to the flowers of a Patagonian cactus. These findings are similar to the results of this study since flying visitors (including the potential pollinators of A. myriostigma, according to Martínez-Adriano et al., 2015) were limited mainly by the following nurse plant/object combinations: AlRs, MsTbRs, OrRs, and LgAlR that give dense plant cover to the plants of A. myriostigma (especially during the rainy season where synchronous flowering occurs). These limitations of flower visitors’ activity could be due to the plant cover (Totland, 2001), which includes the presence of branches, leaves, and cladodes of nursing plants, which could limit the free flight of flower visitors to reach the flowers. Thus, nurse plant conditions could be a factor that limits the activity of flower visitors, especially those nurse plants that obstruct the flowers from visitor detection of A. myriostigma flowers.
A nurse plant is a mature plant that protects a young one beneath it, by ameliorating harsh microenvironmental conditions and decreasing herbivore attacks (Muro-Pérez et al., 2009; Withgott, 2000), this could include florivorous animals. These findings are similar to those observed in this study, since the frequency and duration of visits of Phaedrotettix sp. and the duration of visits per hour were higher in the plants with LIGR-ROCK as nurse plant/object association. This nurse association was characterized by providing little (or null) coverage to A. myriostigma plants (compared to the other nurse combinations). So, the LIGR-ROCK combination could be promoting easier access for Phaedrotettix sp. to the flowers of A. myriostigma. The nurse plants have high importance in the facilitation of propagules to grow; in the same way, the results of this study showed that associations of nurse plants with adult plants of A. myriostigma could have negative effects on pollination, since the frequency and duration of visits decrease flower visitations in association with nurse plants with dense covering. On the other hand, nurse plants with branches, leaves, and cladodes could limit the exposition of flowers to the florivorous grasshoppers. Therefore, the nursery seems to be fulfilling its role of interfering with the arrival of the herbivores to A. myriostigma flowers; however, it seems that this interaction is also interfering with the activity of floral visitors to reach its flowers, making it an antagonistic interaction for this pollination system.
The general structure of the individual-based interaction network showed a marginal nestedness and no compartments, which could indicate that the studied system also tends to follow the nested pattern that the networks of plant-pollinator mutualistic interactions generally show (Bascompte et al., 2003; Dupont et al., 2009; Martínez-Adriano et al., 2018; Martínez-Falcón et al., 2019; Olesen et al., 2007). Perhaps the results obtained on this study are due to the type of flowering that this species showed, since it has a short floral display time and shows few synchronous flowering plants in the studied population, as described in the literature (Bravo-Hollis & Sánchez-Mejorada, 1986; Martínez-Adriano et al., 2015).
The higher dependence and specialization by flower visitors found in this study have been observed in other studies of plant-flower visitor interaction networks (Martínez-Adriano et al., 2018), where the dependence and specialization are higher for the flower visitors than the plants they are visiting. This may be because (1) the floral nectar constitutes an important part of the diet for these insects (Borror & White, 1970) and (2) the main pollinators in the Chihuahuan desert are mainly solitary bees that generally depend on the reduced feeding resources closer to their areas of activity (McDonald & McPherson, 2005). The low specialization of the entire network is also related to the marginal nestedness pattern observed in this study since the interacting species in nested networks tend to be generalists, and only a few interacting species are specialists (as the nesting concept is defined) (Bascompte et al., 2003, 2006). Additionally, the higher shared niche among plants could be mainly due to the asynchronous flowering of A. myriostigma, which generally occurs during the rainy season (Bravo-Hollis & Sánchez-Mejorada, 1986; Martínez-Adriano et al., 2015), with few available resources for feeding in this semiarid environment during this period.
The individual plant of A. myriostigma with higher importance for the network structure was located among the combination of nurse plants and objects Acacia sp., Jatropha dioica, and rocks. This combination of nurse plants and objects could affect the presence of flower visitors since, depending on the obstacles provided by them, they can reduce the visibility of reproductive structures (flowers and fruits) to avoid herbivory (Grüter & Ratnieks, 2011). Nevertheless, even if these obstacles could ameliorate the fluctuations in microenvironmental conditions (such as wind speed and/or change atmospheric pressure values), these environmental conditions could also modify the flight and approximation of visitors to the flowers. Acmaeodera sp. was the most important flower visitor in the network (according to the network metrics). However, the best potential pollinator was D. olivacea, since it also had high values of SS and was a core species. These results could be because this bee species during flower visitation (together with the other species of bees within the studied system) touches both male and female reproductive structures (Martínez-Adriano et al., 2015). This agrees with previous studies for Astrophytum asterias (a species related to our studied species) and other cactus species where the main pollinators found were bees (Beutelspacher & Ramírez, 1973; Blair & Williamson, 2008; Huerta-Martínez, 1995; Johnson, 1992; McIntosh, 2005; McDonald & McPherson, 2005).
Conclusions
Results show that the frequency and duration of visits of flower visitors of A. myriostigma were mainly affected by changes in atmospheric pressure. Additionally, there were fewer flower visitors on A. myriostigma plants located close to nurse plants and rocks (areas with denser coverage) and more in those A. myriostigma plants in open areas. The general topology of this individual-based interaction network tends to have a nested structure. The most important flower visitor species for this interaction network were Acmaeodera sp. and D. olivacea; however, the latter was also important as a potential pollinator of this flower visitor system. These findings are important since this is the first study that evaluated the effect of multiple microenvironmental variables on flower visitor dynamics of an endangered cactus and describes the main structure of the individual-based ecological interaction network. In the face of the decline of pollinators, these findings help us understand which are the main drivers that limit the flower visitors’ activity. Because the studied species strictly require cross-pollination for successful reproduction, this study increases the knowledge about the factors that affect its reproductive ecology. Most of the microclimate variables that we studied did not impact floral visitors, but the atmospheric pressure was the main variable that influenced flower visitor dynamics in the A. myriostigma pollination system. However, changes in the atmospheric pressure caused by climate change could alter the pollinator behavior, and therefore increase/decrease fruit set for A. myriostigma. These findings could be used to implement management programs for this threatened cactus, considering the nurse plants that benefit the A. myriostigma-pollinator interaction and could mitigate the impact of climate change on pollinator behavior.
Conflicts of interest
All authors declared no conflicts of interest.










nueva página del texto (beta)


