Introducción
La familia Solanaceae agrupa alrededor de 100 géneros y 2700 especies de plantas. Dentro de esta familia, el jitomate o tomate rojo (Solanum lycopersicum L.) y la papa (Solanum tuberosum L.) son especies de importancia económica mundial (Poczai, 2022). Además, existen especies de Solanaceae que no son cultivadas y son usadas de manera local por los pueblos originarios, especies que recientemente han sido reconocidas como fuentes potenciales de fitofármacos y componentes nutraceúticos (Morris & Taylor, 2017). En México se han reportado 381 especies de la familia Solanaceae; y dentro de ellas, la hierba mora negra (Solanum americanum Mill.), el jaltomate (Jaltomata procumbes (Cav.) J.L. Genry) y otros son reconocidos por su tradición alimenticia (Ralte et al., 2021).
El género Jaltomata (Schltdl.) es nativo de América y las Antillas (Leiva et al., 2017) y cuenta con 72 especies vegetales botánicamente aceptadas (Royal Botanic Gardens, 2023). En México se han reportado seis especies de Jaltomata: J. bohsiana Mione & D.M. Spooner, J. chihuahuensis (Bitter) Mione & Bye, J. darcyana Mione, J. grandiflora B.J. Rob. & Greenm., J. procumbes y J. repandidentata (Dunal) Hunz. Davis (Dirección General de Repositorios Institucionales, 2023; Martínez et al., 2017; Royal Botanic Gardens, 2023). Dentro del género Jaltomata se distinguen dos subgrupos, el de frutos de cáscara negra/purpura y el de frutos de cáscara roja/naranja (Miller et al., 2011).
El jaltomate crece en Estados Unidos de América (Arizona), México, Guatemala, El Salvador, Costa Rica, Nicaragua, Panamá y Ecuador. En México se encuentra principalmente en climas templados (Saldívar-Iglesias et al., 2010), incluidos 27 de los 32 estados del país: Aguascalientes, Baja California Sur, Chiapas, Chihuahua, Ciudad de México, Colima, Durango, Estado de México, Guanajuato, Guerrero, Hidalgo, Jalisco, Michoacán, Morelos, Nayarit, Nuevo León, Oaxaca, Puebla, Querétaro, San Luis Potosí, Sinaloa, Sonora, Tabasco, Tamaulipas, Tlaxcala, Veracruz y Zacatecas (Dirección General de Repositorios Institucionales, 2023; Martínez et al., 2017; Red de Herbarios del Noroeste de México, 2023).
Existe evidencia del uso alimenticio de frutos de jaltomate desde el año 500 A. C. por la civilización Teotihuacana (Zurita et al., 2013). Posteriormente, Fray Bernardino de Sahagún reportó, en el “Codice Fiorentino” (escrito entre 1548 y 1585), el uso de los frutos y raíces de plantas de esta especie por los Aztecas (McClung et al., 2014). Actualmente, en México es considerada una especie semi-cultivada y viable para uso futuro (Flores-Sánchez et al., 2022). Nombres locales de esta especie en el Estado de México y Tlaxcala incluyen “jaltomate”, “pipisco”, “tomate de arena”, “cacapolli (nahualt)”, “xaltomatl (nahuatl)”, “rempe (mazahua)” y “bobes” (Mendoza-Rodríguez et al., 2016; Saldívar-Iglesias et al., 2010).
Es usual encontrar las plantas de jaltomate en las milpas, generalmente de maíz (Zea mays L.), y son toleradas por los maiceros, ya que ellos consumen los frutos frescos (González-Insuasti et al., 2008). Los frutos de jaltomate son redondos, jugosos, de cáscara color morado a negro, de sabor agridulce (Saldívar-Iglesias et al., 2010). En la literatura existen reportes sobre el proceso de transformación de frutos de jaltomate a salsa (Mendoza-Rodríguez et al., 2016), pero, hasta nuestro conocimiento, hay poca información sobre la calidad de cosecha y comportamiento postcosecha de los frutos. Por ello, el objetivo del presente trabajo fue determinar la calidad del fruto de jaltomate cosechado en octubre y noviembre de 2019, y su comportamiento postcosecha a dos temperaturas, con o sin cobertura comestible.
Materiales y métodos
Se cosecharon frutos de jaltomate de plantas creciendo de manera tolerada en una huerta de higo (Ficus carica L.) ubicada en Santa María Tlalmimilolpan, Lerma, Estado de México, México. La huerta se encuentra a 2700 m de altitud, en las coordenadas 19.391948 L. N. y 99.473862 L. O. La localidad registra una temperatura anual de 8.9 °C, 16 °C promedio de temperatura máxima y 1.7 °C promedio de temperatura mínima. Particularmente, en 2019, en los 30 días (d) previos a ambas cosechas, la temperatura máxima fue de 21 °C, mientras que la temperatura mínima para septiembre fue de 10 °C (afectando la cosecha de octubre), pero en octubre bajó a 4 °C (afectando la cosecha de noviembre). La precipitación anual es de 821.9 mm, y el clima se clasifica como templado sub-húmedo con lluvias en verano (Franco-Mora et al., 2010).
Santa María Tlalmimilolpan es una población otomí, presenta pequeñas parcelas generalmente cultivadas con maíz, en ocasiones asociado con haba (Vicia faba L.), frijol (Phaseolus vulgaris L.) y calabaza (Cucurbita pepo L.). En otras áreas, dedicadas a los cultivos perennes, o no cultivadas, se encuentran capulines (Prunus serotina Ehrh.), tejocotes (Crataegus mexicana Moc. & Sessé, ex. DC.), magueyes (Agave salmiana Otto ex Salm-Dick) y especies forestales (Abies religiosa (Kunth) Schltdl. & Champ., Quercus L., Pinus spp., Alnus acuminata Kunth, etc). En ambas áreas, cultivadas y no cultivadas, es posible encontrar especies toleradas por ser comestibles, entre ellas, jaltomates y chivatitos (Calandrinia ciliata (Ruiz & Pav.) DC).
Los frutos de jaltomate normalmente se cortan cuando la cáscara presenta color morado oscuro o negro brillante. Con dicho índice de cosecha, en 2019, se cosecharon los frutos el 15 de octubre y en una segunda ocasión el 15 de noviembre. Los frutos se trasladaron por carretera, aproximadamente 30 min al Laboratorio de Horticultura de la Facultad de Ciencias Agrícolas de la Universidad Autónoma del Estado de México. En cada fecha, se eliminaron los frutos que presentaban daño mecánico, y los frutos sin daño se lavaron con agua corriente, dejándolos secar sobre toallitas de papel a temperatura ambiente por 2 h.
La cobertura comestible se preparó y aplicó como se indica en Martínez-Mendoza et al. (2020). De manera breve, se disolvieron en 50 ml de agua destilada los siguientes compuestos: 12 ml de una solución acuosa de hojas de Cissus tiliacea Kunth, 0.3 ml de glicerol, 12 ml de aceite de semilla de vid silvestre (Vitis sp.), 10 g de pectina de tejocote y 1.3 g de cloruro de calcio. Después de mezclar perfectamente, la solución se llevó a 100 ml. La solución se mantuvo 2 h a temperatura ambiente previo a su uso.
Los frutos de jaltomate se pesaron, registrando el peso fresco inicial y, posteriormente, se dividieron en cuatro lotes homogéneos. Los frutos de dos lotes se sumergieron en la solución de la cobertura comestible por 20 s, y al terminar dicho periodo, los frutos se secaron a temperatura ambiente. Así, se tuvieron lotes de frutos con cobertura y sin cobertura para almacenarlos a 20 °C ± 4 °C o 4 °C. De esta manera, el experimento implicó los factores: fecha de corte (2), aplicación de cobertura comestible (2) y temperatura de almacenamiento (2). Cada tratamiento se realizó con tres repeticiones de 250 frutos cada una. Posteriormente, se incluyó en el análisis estadístico un cuarto factor, los días de almacenamiento, siendo de 2 d a 7 d, dependiendo de la vida postcosecha observada.
A partir del día inicial de almacenamiento, a 50 frutos por repetición se le determinó diariamente el peso fresco (g) (siempre los mismos frutos para obtener la tasa de pérdida de peso), mientras que a 15 frutos por repetición se les midió el color de la cáscara con un fotocolorímetro (Minolta, Japón). Por otro lado, en 15 frutos por repetición se cuantificó el contenido de sólidos solubles totales (SST) y la acidez titulable (Martínez-Mendoza et al., 2020; Salomon-Castaño et al., 2022).
Resultados
La duración del periodo de almacenamiento fue diferente en cada fecha de corte (Tabla 1). Los frutos cosechados en octubre, en ningún tratamiento, alcanzaron 5 d en almacenamiento; por el contrario, 5 d de almacenamiento fue el periodo de almacenamiento mínimo que presentaron los frutos cosechados en noviembre. Estadísticamente, el almacenamiento de los frutos cosechados en noviembre a 4 °C, con o sin cobertura comestible, fue mayor al periodo registrado para los frutos cosechados en octubre. Para ambas fechas, la refrigeración a 4 °C no generó síntomas que pudieran atribuirse a daños por frío, y estadísticamente (0.05) incrementó los días de almacenamiento de los frutos cosechados en noviembre, con o sin cobertura comestible, en comparación con el almacenamiento a 20 °C.
Tabla 1 Periodo de vida postcosecha de frutos de jaltomate (Jaltomata procumbes) cosechado en octubre o noviembre de 2019 y almacenado a dos temperaturas con o sin cobertura comestible.
| Mes | Condición de
almacenamiento |
Periodo de
almacenamiento (d) |
|
| Octubre | Cobertura | 4 °C | 4.0 cd |
| 20 °C | 2.3 de | ||
| Sin cobertura | 4 °C | 4.0 cd | |
| 20 °C | 2.0 e | ||
| Noviembre | Cobertura | 4 °C | 7.0 ab |
| 20 °C | 5.0 c | ||
| Sin cobertura | 4 °C | 7.3 a | |
| 20 °C | 5.3 bc | ||
Nota. Los datos son la media de tres repeticiones, 30 frutos por repetición. Los valores con la misma letra no son estadísticamente diferentes con la prueba de Tukey (0.05).
Fuente: Elaboración propia.
El análisis estadístico con cuatro factores (mes de cosecha [M], temperatura de almacenamiento [T], presencia de cobertura comestible [C] y días en almacenamiento [D]) determinó que el mes de cosecha influyó en el factor a* del color de cáscara, el peso fresco relativo, la acidez titulable y la firmeza del fruto. Para los días de almacenamiento se presentaron diferencias estadísticas significativas en las mismas variables influenciadas por el factor mes de cosecha y, además, en el valor Hue del color y el contenido de sólidos solubles totales (Tabla 2).
Tabla 2 Valores de F y su significancia estadística para variables evaluadas en cosecha y periodo postcosecha de frutos de jaltomate (Jaltomata procumbes) cosechados en octubre o noviembre de 2019 y, posteriormente, almacenados a 4 °C o 20 °C, con o sin cobertura comestible.
| Color de
la cáscara |
Peso
fresco relativo |
Sólidos
solubles totales |
Ácidez
titulable |
Firmeza
fruto |
|||||
| Factor | a* | b* | L* | C* | Hue | ||||
| Mes de cosecha (M) | 13.9 *** | 1.6 ns | 1.1 ns | 1.7 ns | 3.0 ns | 5.3 * | 1.6 ns | 6.1 * | 4.1 * |
| Temperatura de almacenamiento (T) | 1.0 ns | 0.1 ns | 0.8 ns | 0.2 ns | 0.2 ns | 73.0 *** | 29.0 *** | 4.2 * | 0.6 ns |
| Presencia de cobertura (C) | 0.4 ns | 0.2 ns | 1.9 ns | 0.1 ns | 0.1 ns | 0.9 ns | 24.2 *** | 7.0 ** | 63.3 *** |
| Días de almacenamiento (D) | 5.1 *** | 0.7 ns | 2.0 ns | 0.5 ns | 2.4 * | 76.9 *** | 30.7 *** | 4.2 *** | 1.4 ns |
| M×T | 0.6 ns | 1.6 ns | 0.1 ns | 1.8 ns | 0.4 ns | 9.1 ** | 35.9 *** | 2.1 ns | 0.1 ns |
| M×C | 0.2 ns | 2.3 ns | 0.2 ns | 2.0 ns | 2.2 ns | 0.7 ns | 0.4 ns | 0.1 ns | 5.4 * |
| M×D | 11.4 *** | 0.7 ns | 3.9 ** | 0.6 ns | 6.6 ** | 2.1 ns | 25.9 *** | 2.0 ns | 2.0 ns |
| T×C | 0.4 ns | 0.1 ns | 0.3 ns | 0.1 ns | 0.1 ns | 2.3 ns | 2.8 ns | 0.1 ns | 0.4 ns |
| T×D | 0.5 ns | 1.2 ns | 1.3 ns | 1.1 ns | 0.3 ns | 10.0 *** | 7.5 *** | 0.8 ns | 1.6 ns |
| C×D | 0.8 ns | 0.7 ns | 2.1 ns | 0.7 ns | 2.7 * | 1.3 ns | 20.9 *** | 1.6 ns | 1.8 ns |
| M×T×C | 2.5 ns | 2.1 ns | 0.7 ns | 2.1 ns | 0.1 ns | 0.8 ns | 99.8 *** | 4.8 * | 0.6 ns |
| M×T×D | 0.2 ns | 2.3 ns | 0.5 ns | 2.0 ns | 0.1 ns | 9.1 *** | 37.0 *** | 1.4 ns | 1.5 ns |
| T×C×D | 2.1 ns | 1.1 ns | 1.4 ns | 1.1 ns | 0.1 ns | 1.5 ns | 8.9 *** | 1.2 ns | 1.6 ns |
| M×T×C×D | 0.1 ns | 2.0 ns | 2.0 ns | 2.4 ns | 0.1 ns | 0.8 ns | 7.2 *** | 9.4 ** | 0.2 ns |
*** significativo a 0.001; ** significativo a 0.01; * significativo a 0.05; ns = no significativo.
Fuente: Elaboración propia.
Al momento de la cosecha y durante el almacenamiento, los frutos presentaron color negro, con valor promedio del ángulo Hue de 260° (Figura 1). Los factores a* y b* del color mostraron valores cercanos a 0 (entre -2 y 2.5, y entre -6.2 y 1.5, respectivamente). Los valores de luminosidad de la cáscara de los frutos cosechados en octubre presentaron valores cercanos a 0, mientras que la luminosidad en los frutos cosechados en noviembre se incrementó a 5 (Figura 2).

Fuente: Elaboración propia.
Figura 1 Ángulo Hue del color de la cáscara de frutos de jaltomate (Jaltomata procumbes) cosechados en octubre (OCT) o noviembre (NOV) de 2019, y los valores de a* y b* durante su almacenamiento con (Cub) o sin (No) cobertura comestible y almacenamiento a 4 °C o 20 °C.

Fuente: Elaboración propia.
Figura 2 Cinética de los valores de luminosidad del color de la cáscara de frutos de jaltomate (Jaltomata procumbes) cosechados en octubre (OCT) o noviembre (NOV) de 2019 y almacenados con (Cub) o sin (No) cobertura comestible a 4 °C o 20 °C. Los datos son la media de tres repeticiones, 15 frutos por repetición ± D. E.
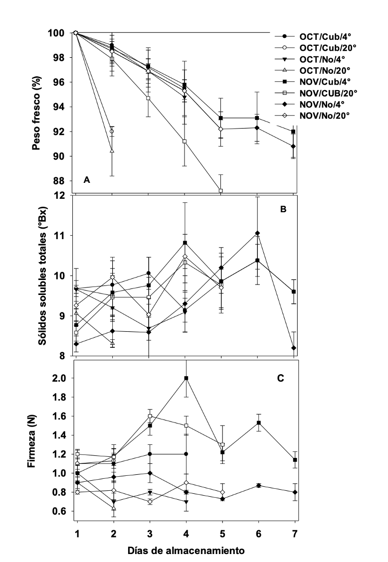
La refrigeración a 4 °C disminuyó la pérdida de peso fresco; por ejemplo, los frutos cosechados en noviembre perdieron 6% de peso fresco menos cuando se almacenaron a 4 °C, en comparación con los frutos almacenados a 20 °C. Por otro lado, la cobertura comestible redujo entre 1% y 4% la pérdida de masa fresca a 4 °C y 20 °C, respectivamente (Figura 3). Con relación a los sólidos solubles totales, a la cosecha 70% de los frutos de noviembre presentaron menos de 9 °Bx, mientras que el mismo porcentaje de los frutos cosechados en octubre presentaron 9.5 °Bx (Figura 3).

Fuente: Elaboración propia.
Figura 3 Cinética del (a) peso fresco, (b) contenido de sólidos solubles totales (SST) y (c) firmeza de frutos de jaltomate (Jaltomata procumbes) cosechados en octubre (OCT) o noviembre (NOV) de 2019 y almacenados con (Cub) o sin (No) cobertura comestible a 4 °C o 20 °C. Los datos son la media de tres repeticiones, 50 (peso fresco) y 15 (SST y firmeza) frutos por repetición ± D. E., respectivamente.
En ambas fechas de cosecha, la aplicación de la cobertura comestible incrementó la firmeza del fruto (Figura 3).
Discusión
Al observarse mayor periodo de almacenamiento en los frutos cosechados en noviembre, en comparación con los cosechados en octubre, es factible suponer que hay efecto de los factores ambientales presentes en los días previos a la maduración y cosecha. Particularmente, se sabe que la temperatura ambiental presente durante el desarrollo del fruto afecta su calidad, modulando varias rutas metabólicas, entre ellas la respiración y la transpiración (Koshita, 2015).
Entre los factores afectados por la fecha de corte se encuentra la luminosidad de la cáscara, la cual posteriormente se asoció a la vida de almacenamiento. La luminosidad de la cáscara de los frutos de jaltomate cosechados en octubre presentó valores cercanos a 0, implicando color negro, mientras que los frutos de noviembre tuvieron valores cercanos a 5. Incluso, los valores de a* fueron menores en octubre que en noviembre. El color negro de los frutos de jaltomate, al igual que en otras especies de Solanaceae (Ralte et al., 2021), está relacionado con el contenido de antocianinas y otros compuestos fenólicos. Particularmente, las antocianinas se acumulan en las vacuolas, especialmente al término de la maduración del fruto; su acumulación responde a la radiación del rango espectral ultravioleta y visible (Lonher et al., 2022), así como a la temperatura diurna y nocturna (Koshita, 2015; Lin-Wang et al., 2011).
En tomate cherry, el incremento de los valores de luminosidad de la cáscara, presente en los meses de mayo a junio, se explicó por la modulación que ejercieron en esos meses los factores climáticos (Tsouvaltzis et al., 2023). De manera similar, la temperatura ambiental presente en los meses previos a la cosecha moduló el color de la cáscara en persimonio (Diospyros kaki L.f.) (Lonher et al., 2022). Los pigmentos antocianicos disminuyen en jitomate y manzana (Malus domestica (Suckow) Borkh.) por efecto del incremento de temperatura, mientras que en fresa (Fragaria sp.) la reducción en la biosíntesis de estos pigmentos ocurre por la presencia de bajas temperaturas (Lin-Wang et al., 2011; Mao et al., 2022; Tsouvaltzis et al., 2023). Aunque en este trabajo no se determinó el contenido de antocianinas, las diferentes temperaturas observadas en el mes previo a cada cosecha pudieron modular dicha pigmentación, de manera directa o a través del tiempo e intensidad de la luminosidad.
La diferencia en los valores encontrados en los componentes del color de la cáscara de jaltomate podría explicarse por el posible uso de diferentes índices de maduración. Pero es importante indicar que, para nuestra experiencia y la del propietario del terreno, a simple vista no se notó diferencia en el color de la cáscara de los frutos colectados en ambos meses. En jitomate y jitomate cherry se ha indicado que el ojo humano puede separar claramente diferentes tipos de madurez de fruto. Sin embargo, para un consumidor promedio, es muy difícil diferenciar dentro del mismo estadio de maduración, o bien establecer más estadios de maduración, los cuales ocurren y se determinan a nivel de laboratorio (López & Gómez, 2004; Tsouvaltzis et al., 2023).
En especies frutales de importancia económica (por ejemplo, la manzana), la calidad del fruto y su potencial postcosecha puede ser monitoreado por métodos no destructivos (Biegert et al., 2021). Sin embargo, en especies no cultivadas o toleradas, como el jaltomate, estas tecnologías no están disponibles para los productores y consumidores. La presente investigación sugiere que la luminosidad de la cáscara del fruto de jaltomate puede servir para determinar su potencial postcosecha, ya que el fruto maduro de esta especie presenta cáscara de color oscuro o negro, y el ojo humano no puede diferenciar los niveles de luminosidad. La luminosidad del color de la cáscara fue recientemente establecida como auxiliar en la homogenización del grado de madurez y calidad de frutos de jitomate (Jha & Arul, 2020).
En ambas fechas de corte, la refrigeración a 4 °C incrementó el periodo de almacenamiento, además de reducir la pérdida de peso fresco, y no se observaron daños por frío. Estas observaciones han sido previamente reportadas para jitomate almacenado por 2 d a 5 °C (Sugino et al., 2022). Por otro lado, al igual que en frutos de capulín (Martínez et al., 2022), la adición de la cobertura comestible no incrementó la vida postcosecha de frutos de jaltomate. Pero su aplicación sí redujo la pérdida de peso fresco y firmeza del fruto, similar a lo observado previamente en tihuixocote (Ximenia americana L.), ilama (Annona macroprophyllata Donn.Sm.) y capulín (Martínez et al., 2022; Martínez-Mendoza et al., 2020; Salomon-Castaño et al., 2022).
Conclusiones
El estado de madurez del fruto de jaltomate (Jaltomata procumbes) se relacionó con la luminosidad de su cáscara, asociándose así con su potencial de almacenamiento. Los frutos de esta especie no presentaron daños por frío después de 7 d de almacenamiento a 4 °C. La aplicación de una cobertura comestible basada en pectina de tejocote no incrementó la vida postcosecha, pero redujo las tasas de pérdida de peso y firmeza del fruto.
Conflicto de interés
Los autores declaran no tener conflicto de interés.










nueva página del texto (beta)


