Introducción
La ciudad de Puebla y municipios como Amecameca, Cuautla, Cholula y Atlixco están ubicados en las cercanías del volcán Popocatépetl, que se ubica a una distancia de 71 km al sureste de la Ciudad de México y 40 km al oeste de la ciudad de Puebla (Macías & Siebe, 2005), perteneciente al cinturón volcánico transmexicano (Campos-Enríquez et al., 2015). Por lo tanto, es importante evaluar, a través del estudio de las partículas emitidas por el volcán, el riesgo a la salud que este pudiera representar para las poblaciones cercanas debido a su actividad que periódicamente se incrementa, la cual se caracteriza por fragmentos balísticos, emisión de gases y cenizas (Grutter, 2008; Schiavo et al., 2020; Taquet et al., 2019). Además, podría haber afectaciones debido a sus lixiviados que incrementan la concentración de metales en el ambiente, pudiéndose integrar a los ciclos biológicos causando toxicidad (Armienta et al., 2010; Zhang et al., 2021).
Atlixco es uno de los 18 municipios cercanos al volcán Popocatépetl que pertenecen al estado de Puebla. Es de gran importancia por su desarrollo turístico, ya que fue integrado en el año 2015 en el programa de Pueblos Mágicos. Es un municipio con alto crecimiento demográfico cuya población de 100 000 habitantes frecuentemente se ve expuesta a la caída de ceniza (Ward et al., 2021).
Los patrones de las corrientes de viento y la dirección de propagación de la pluma de contaminación juegan un papel muy importante en la distribución de los productos piroclásticos del volcán, la cual aumenta el alcance de la pluma de contaminación que pudiera afectar a la salud humana y el ecosistema (Macías & Siebe, 2005; Schiavo et al., 2020). La caída del material particulado se deposita sobre las hojas de las plantas y árboles, provocando la inhibición de la transpiración y disminución de la fotosíntesis, afectando la nutrición de las plantas. En el suelo causa cambios fisicoquímicos, modificando su composición, incrementando elementos inorgánicos, la conductividad y modifica el pH con tendencia a alcalino, disminuyendo la disposición de nitrógeno y fósforo, alterando sus procesos biológicos (Gupta et al., 2002).
El reporte de emisiones volcánicas del Centro Nacional de Predicción de Desastres (Cenapred) indicó que el número de exhalaciones del Popocatépetl fueron de 119 exhalaciones el día 29 de marzo y 89 exhalaciones el 31 de marzo en 2019. Se identificó que en la zona de influencia del Popocatépetl el viento presenta variaciones a diferentes altitudes y épocas del año, siendo a 10 000 m.s.n.m. en los meses de octubre a mayo en dirección al este (Martín Del Pozo & Alatorre, 2018); por otro lado, la velocidad promedio del viento por debajo de los 20 000 m.s.n.m. fue de 5 m/s. Conocer esto nos permite predecir las zonas más afectadas (Delgado-Granados et al., 2001).
La ceniza volcánica se compone de dos tipos de fragmentos, los amorfos (vidrios) y los cristalinos (minerales) (Damby et al., 2018). De acuerdo a lo reportado por Ivlev et al. (1996), las cenizas del Popocatépetl en 1994 presentaban cristales en forma de paralelepípedos mayores a 10 (m y en menor proporción de 0.4 ((m, acompañados de agua y dióxido de azufre, y en su composición silicio 28.0%, calcio 4.22%, aluminio 9.4%, fierro 4.44%, cromo 0.032%, níquel 0.004%, cobre 0.004%, zinc 0.01% y plomo 0.013%. Durante los años 2016-2019 se reportó la mayor conformación por sílice cristalina (SiO2), cristobalite y plaglioclasa (Secretaría de Educación, Ciencia, Tecnología e Innovación [SECTEI], 2020). Novelo-Casanova et al. (2022) reportaron las cenizas finas del volcán Popocatépetl menores a 2.5 (m en un 5.7% con forma de cristales de plagioclasa, líticos, vidrio, cristales de piroxeno, cristobalita, así como cantidades menores de titanomagnetita y sublimados con una composición de SiO2 18%-33%, Al2O3 6.7%-10.7%, Fe2O3 2.1%-2.9% y K2O 0.08%-0.78%, lo cual afectó la calidad del aire de la Ciudad de México (Hernández et al., 2020).
Esta investigación tuvo como objetivo principal caracterizar el material particulado emitido durante las erupciones del volcán Popocatépetl los días 29 y 31 de marzo de 2019 en el trayecto de Atlixco a Puebla, aunado con el material presente por actividades antropogénicas propias de la región, determinando el tamaño, concentración de metales y composición elemental. Además, se conoció el porcentaje de metales capaces de ser lixiviados, cuya disponibilidad puede afectar el equilibrio ecológico.
Materiales y métodos
Muestreo y cuantificación de partículas
Se recolectó MP (ceniza) volcánica expulsada los días 29 y 31 de marzo del año 2019, en ocho sitios diferentes ubicados en el trayecto Atlixco-Puebla, la recolección se realizó en un horario de 12:00 horas a 16:00 horas (Figura 1; Tabla 1). El monitoreo de las partículas suspendidas fue realizado con un contador de partículas modelo DT-9880, marca CEM, con seis canales de medición de 0.3 µm, 0.5 µm, 2.5 µm, 5.0 µm, 7.5 µm y 10 µm y una tasa de flujo de 2.83 L/min. Para el monitoreo de material particulado se mantuvo encendido el contador de partículas durante 1 min. Las muestras analizadas para metales totales y lixiviados fueron obtenidas al caer mediante contenedores de polipropileno, en una cantidad aproximada de 10 g-30 g por sitio (United States Environmental Protection Agency [USEPA], 1996).

Fuente: Elaboración propia con base en Google.
Figura 1 Identificación de los sitios de muestreo en trayecto Puebla-Atlixco de la cuenca a Atlixco.
Tabla 1 Coordenadas de los ocho puntos de muestreo.
| Sitios de muestreo |
Localización Coordenadas |
ID Lugar | ||
| Latitud* | Longitud* | Altitud (m)* | ||
| M1 | 19° 01' 33.0" N | 98° 17' 23.8" W | 1 830 | Atlixco-gasolinera |
| M2 | 19° 00' 02.3" N | 98° 19' 52.3" W | 1 840 | Atlixco-cementera |
| M3 | 18° 56' 40.0" N | 98° 23' 32.0" W | 1 965 | Atlixco-Molinos |
| M4 | 18° 55' 24.3" N | 98° 24' 49.1" W | 1 837 | Entrada Atlixco |
| M5 | 18° 54' 58.6" N | 98° 27' 27.0" W | 2 165 | Metepec-CFE |
| M6 | 18° 56' 59.6" N | 98° 28' 28.9" W | 2 180 | Atlixco-Ovni |
| M7 | 18° 59' 13.3" N | 98° 28' 47.8" W | 2 100 | San Martín Tlapa |
| M8 | 18° 58' 36.3" N | 98° 28' 52.4" W | 2 137 | San Baltazar Atlimeyaya |
Fuente: Elaboración propia con base en Google Earth*.
Adicionalmente, se compararon muestras de ceniza recolectadas en los años 1994, 2012 y 2019, correspondiente al mismo punto de muestreo (M8), zona de Atlimeyaya (18° 58' 36.3" N; 98° 28' 52.4" O), Puebla, México, bajo las mismas técnicas de recolección.
Cuantificación de metales totales
La caracterización de MP (cenizas) en la determinación de metales totales fue bajo la NOM-147-SEMARNAT/SSA1-2004. Se trataron las muestras de los ocho sitios de muestreo, homogenizando y tomando 1 g de ceniza recolectada. Además, se digestó con ácido nítrico concentrado marca Merck en parrilla durante 2 h a ebullición dentro de campana de extracción de vapores, se filtró y aforó a 50 ml con agua destilada. El análisis de cada muestra fue por triplicado en un equipo de espectrofotometría de absorción atómica AAnalyst 400 (Perkin Elmer), equipado con un sistema de atomización por flama.
El espectrofotómetro fue previamente calibrado con curvas de calibración para los metales Cu, Cr, Fe, Mg, Mn, Ni y Zn, a partir de soluciones estándar certificados de 1000 ppm (Perkin Elmer) y se diluyeron con HNO3 al 5% v/v (Diario oficial de la Federación [DOF], 2007). Todos los reactivos usados fueron grado reactivo analítico, a menos que se especifique otro grado.
Cuantificación de metales lixiviados
Se realizó la lixiviación a las muestras de los ocho sitios muestreados con base al apartado AS-14 de la norma NOM-021-SEMARNAT-2000. Se pesaron 5 g de MP (cenizas) en vasos de precipitado de 50 ml de solución de ácido etilendiamino tetracético (EDTA) 0.005M. Cada vaso se colocó en un baño ultrasónico durante 25 min y se filtró con papel filtro No. 44 (23 µm). Posteriormente, se digestó con ácido nítrico concentrado marca Merck. Las soluciones se usaron para cuantificación de metales lixiviados (DOF, 2000).
Caracterización de las cenizas 1994, 2012 y 2019
Se compararon las cenizas de los años 1994, 2012 y 2019 muestreados en el área de Atlimeyaya (sitio de muestreo M8). Los espectros de infrarrojo se obtuvieron por el método de espectroscopia de infrarrojo (FTIR-ATR) con accesorio de reflectancia total atenuada (ATR). Se utilizó un espectrofotómetro marca Perkin Elmer, Spectrum One. La muestra de 20 mg de ceniza se colocó en un plato de acero inoxidable sobre un cristal ATR, se escaneó de 4000 cm-1 a 650 cm-1con el software Spectrum One y se obtuvo el perfil en transmitancia.
Para la caracterización por análisis de difracción de rayos X (DRX) en polvos se utilizó un difractómetro D8 Bruker Discover serie 2 con radiación Cu Kα. Las fases cristalinas se identificaron mediante la base de datos del comité conjunto de estándares de difracción de polvo (JCPDS). Se determinó la composición química elemental de las muestras mediante la técnica de espectroscopia de energía dispersada (EDS), verificando el espectro obtenido de seis repeticiones por cada muestra. La morfología se realizó por microscopía electrónica de barrido (SEM) en un microscopio marca JEOL modelo JSM-5610LV con un voltaje de aceleración de 20 keV (Kato et al., 2022).
Análisis de datos
Los datos obtenidos de metales totales y metales lixiviados se evaluaron mediante el programa estadístico R Project for Statistical Computing para analizar la concentración de MP por predicción de interpolación por el método de distancia inversa ponderada para estudiar la interrelación entre los metales en la ceniza volcánica del Popocatépetl. Se evalúo el modelo por sus residuales a un nivel de confianza al 95%. Los resultados se consideraron significativamente diferentes cuando el valor de las medias difiere a una p < 0.05 por la prueba de Tukey.
Resultados
Distribución de partículas
En la Figura 1 se observan los ocho sitios muestreados en el trayecto Atlixco-Puebla en dirección al volcán Popocatépetl. Las ubicaciones de las muestras recolectadas se indican por sus coordenadas en la Tabla 1.
La ceniza en su forma más limpia como partícula se encontró en el sitio conocido como Atlixco-Ovni (M6), que es característica del volcán, ya que el viento deposita las cenizas con mayor facilidad debido a su altitud de 2180 m y bajo impacto antropogénico, a diferencia de los demás sitios que se encuentran a una altitud entre 1830 m-2165 m (Topographic-map, 2020).
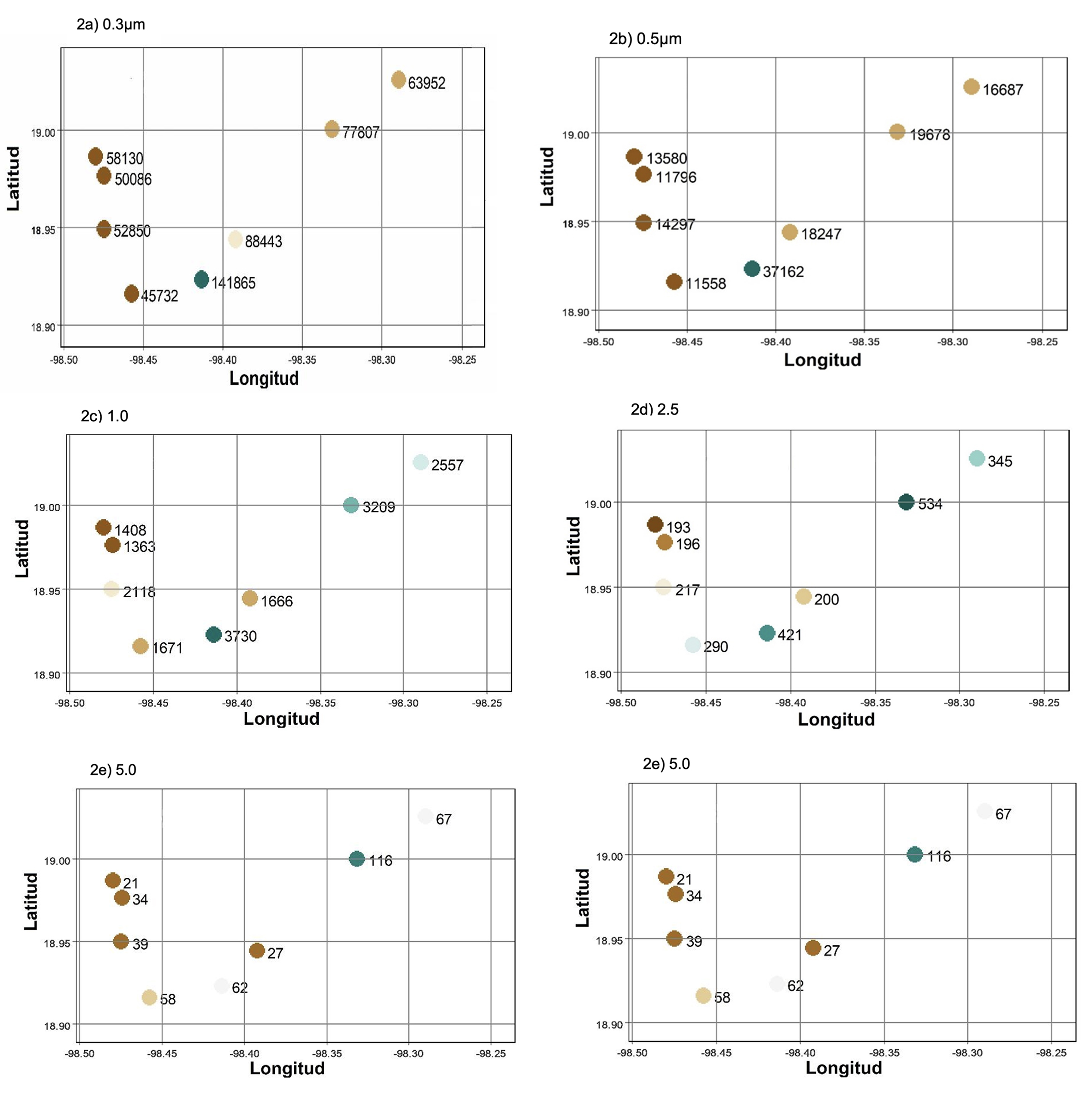
En la Figura 2 (a-f), se puede observar que el mayor número de partículas/min de tamaño 0.3 µm se encuentra en los sitios Entrada Atlixco (M4) con 141 865 y Atlixco-Molinos (M3) con 88 443; para las partículas de 0.5 µm fueron Entrada Atlixco (M4) con 37 162 y Atlixco-cementera (M2) con 19 678; con partículas de 1 µm fueron Entrada Atlixco (M4) con 3730 y Atlixco-Cementera (M2) con 3209; con partículas de 2.5 µm fueron Atlixco-cementera (M2) con 534 y Entrada Atlixco (M4) con 421; para las partículas de 5.0 µm fueron Atlixco-Cementera (M2) con 116 y Atlixco-Gasolinera (M1) con 67; las partículas de 10.0 µm se encontraron con mayor presencia en Atlixco-Cementera (M2) con 73 y Entrada Atlixco (M4) con 38.

Fuente: Elaboración propia.
Figura 2 (a-f) Cuantificación de MP en el contador de partículas de los ocho diferentes sitios de muestreo, reportando seis tamaños diferentes de partículas en un rango de 0.3 µm a 10 µm por minuto. Colores iguales por gráfica indican que no existe diferencia significativa en su valor a un nivel de confianza del 95%.
La Figura 3 muestra la distribución total de partículas monitoreadas. Se puede observar que las zonas con valor promedio menor de 70 000 partículas/min son Metepec (M5, 59 345), San Martín Tlapa (M7, 63 501) y Atlixco-Ovni (M6, 69 554), seguido por los sitios con promedio mayor a 70 000 partículas/min como Metepec-CFE (M8, 73 348) y Atlixco-cementera (M1, 83 639). Los sitios con promedio mayor a 100 000 partículas/min fueron Atlixco-cementera (M2, 101 417) y Atlixco molinos (M3, 108 606). El sitio M4 Entrada Atlixco mostró la mayor distribución total de partículas con 183 278 partículas/min, siendo el sitio con mayor riesgo por presencia de partículas respirables entre 0.5 µm y 10 µm. Esto favorece el desarrollo de afectaciones a la salud como apnea obstructiva y menor saturación de oxígeno durante el sueño en humanos (DOF, 2014), así como la deposición sobre el material vegetal y fácil interacción con los cuerpos acuíferos de la zona (Gupta et al., 2002).
Presencia de metales pesados
En la Tabla 2 se reportan los resultados obtenidos en la cuantificación de los metales totales, siendo el Fe (2061.667 ppm ± 9.86 ppm) el de mayor concentración en las cenizas, seguido por el Mg (99.923 ppm ± 0.93 ppm) y Zn (39.650 ppm ± 0.85 ppm). El sitio que presentó mayor concentración de metales pesados fue Atlixco-Ovni (M6), con Fe 2061.667 ppm ± 9.86 ppm, Mn 10.273 ppm ± 0.29 ppm, Mg 99.923 ppm ± 0.93 ppm y Cu 0.61 ppm ± 0.02 ppm; seguido por Atlixco-Molinos (M3), el cual presentó mayor contenido de Zn con 39.650 ppm ± 0.09 ppm y Ni 0.330 ppm ± 0.010 ppm, siendo estos dos sitios los que presentan mayor contenido de metales totales. La presencia de Cr total en todos los sitios no presentó una diferencia significativa entre los sitios, encontrándose en un promedio de 8.510 ppm ± 0.01 ppm. En Metepec (M5) y Atlimeyaya (M8) no se detectó Mn, además de tener baja concentración de metales comparados con los otros sitios.
Tabla 2 Concentración de metales totales de las muestras por sitio de estudio (ppm).
| METALES TOTALES (ppm) |
Ni | Cr | Fe | Zn | Mn | Mg | Cu |
| Prom/DS | Prom/DS | Prom/DS | Prom/DS | Prom/DS | Prom/DS | Prom/DS | |
| Atlixco-gasolinera (M1) | 0.066 ± 0.000b | 8.500 ± 0.000a | 392.433 ± 0.058e | 20.197 ± 0.015d | 1.35 ± 0.01d | 67.567 ± 1.08e | 0.43 ± 0.002bc |
| Atlixco-cementera (M2) | <LDc | 8.497 ± 0.015 a | 908.200 ± 5.456c | 15.247 ± 0.05e | 3.183 ± 0.62c | 71.953 ± 0.422d | 0.32 ± 0.003d |
| Atlixco-Molinos (M3) | 0.330 ± 0.010a | 8.537 ± 0.055 a | 1468.467 ± 31.93b | 39.650 ± 0.000a | 5.75 ± 0.062b | 90.753 ± 1.083b | 0.37 ± 0.003cd |
| Entrada Atlixco (M4) | 0.066 ± 0.002 b | 8.490 ± 0.010 a | 933.133 ± 15.43c | 10.550 ± 0.501f | 2.847 ± 0.248c | 80.567 ± 0.893c | 0.36 ± 0.003cd |
| Metepec (M5) | 0.066 ± 0.002 b | 8.510 ± 0.010 a | 314.433 ± 6.149e | 9.3170 ± 0.189g | <LDe | 50.883 ± 0.533f | 0.50 ± 0.002b |
| Atlixco-Ovni (M6) | 0.068 ± 0.002 b | 8.533 ± 0.058 a | 2061.667 ± 9.865a | 28.333±0.666b | 10.273 ± 0.299a | 99.923 ± 0.935a | 0.61 ± 0.002a |
| San Martín Tlapa (M7) | 0.067 ± 0.002 b | 8.497 ± 0.006 a | 505.013 ± 3.835d | 23.190 ± 0.072c | 1.31 ± 0.036d | 88.31 ± 0.056b | 0.42 ± 0.001cd |
| Atlimayaya (M8) | 0.067 ± 0.003 b | 8.500 ± 0.020 a | 225.663 ± 0.289f | 1.370 ± 0.026h | <LDe | 29.43 ± 0.675g | 0.35 ± 0.005d |
DS = desviación estándar; <LD = Menor al límite de detección. Valores con letras diferentes son significativamente diferentes. En negritas los valores de mayor concentración. Letras diferentes (a,b,c,d,e,f) representan los valores asociados de acuerdo a la prueba de Tukey para concentración de cada metal.
Fuente: Elaboración propia.
Concentración de metales en lixiviados
La importancia de medir la concentración del metal capaz de lixiviarse se debe a su capacidad de movilización al entrar en contacto con el agua, incrementando su biodisponibilidad para integrase a los ciclos biológicos (Armienta et al., 2010). La Tabla 3 muestra la cuantificación de metales obtenidos por lixiviación de las cenizas de los ocho sitios muestreados. Los metales de mayor presencia en los lixiviados son Fe (1.87 ppm ± 0.124 ppm), seguido por Zn (0.241 ppm ± 0.001 ppm), Cu (0.097 ppm ± 0.001 ppm), Mg (0.051 ppm ± 0.000 ppm), Mn (0.018 ppm ± 0.000 ppm) y Cr (0.011 ppm ± 0.001 ppm). Finalmente, el metal de menor migración es el Ni, lo cual corresponde también a la baja concentración que inicialmente se detectó, con un límite de detección (LD) menor a 0.001 ppm. Estos elementos coinciden con lo encontrado y reportado en un estudio previo (Shruti et al., 2018). Se puede observar en la Tabla 3 que el sitio San Martín Tlapa (M7) presentó el mayor contenido de metales lixiviados; por el contrario, el de menor concentración fue el sitio Atlixco-Molinos (M3). El Fe en un rango de 0.136 ppm a 1.87 ppm y el Zn de 0.004 ppm a 2.41 ppm presentaron la mayor solubilidad en comparación con los demás metales.
Tabla 3 Determinación de metales lixiviados por espectroscopia de absorción atómica (ppm).
| METALES LIXIVIADOS (ppm) |
Ni | Cr | Fe | Zn | Mn | Mg | Cu |
| Prom/DS | Prom/DS | Prom/DS | Prom/DS | Prom/DS | Prom/DS | Prom/DS | |
| Atlixco-Gasolinera (M1) | <LDa | 0.009 ± 0.001abc | 0.469 ± 0.016c | 0.029 + 0.000c | 0.003 + 0.000c | 0.049 ± 0.000c | 0.080 ± 0.060c |
| Atlixco-Cementera (M2) | <LDa | 0.008 ± 0.001cd | 0.223 ± 0.012d | 0.004 + 0.000e | 0.001 + 0.000e | 0.045 ± 0.000d | 0.078 ± 0.001c |
| Atlixco-Molinos (M3) | <LDa | 0.011 ± 0.001a | 0.136 ± 0.026e | 0.002 + 0.000e | <LDMa | 0.050 ± 0.000b | 0.088 ± 0.003c |
| Entrada Atlixco (M4) | <LDa | 0.008 ± 0.000cd | 0.206 ± 0.010d | <LDMa | 0.001 + 0.000e | 0.048 ± 0.000c | 0.087 ± 0.008c |
| Metepec-CFE (M5) | <LDa | 0.009 ± 0.000bcd | 0.806 ± 0.066b | 0.066 + 0.00b | 0.003 + 0.000b | 0.049 ± 0.000c | 0.014 ± 0.002d |
| Atlixco-Ovni(M6) | <LDa | 0.007 ± 0.000cd | 0.214 ± 0.004d | 0.004 + 0.005e | 0.018 + 0.000a | 0.051 ± 0.000a | 0.0158 ± 0.006b |
| San Martín Tlapa (M7) | <LDa | 0.007 ± 0.000c | 1.870 ± 0.124a | 0.241 + 0.001a | 0.002 + 0.000d | 0.051 ± 0.000a | 0.0304 ± 0.004a |
| Atlimayaya (M8) | <LDa | 0.009 ± 0.001abab | 0.499 ± 0.016c | 0.016 + 0.000d | 0.001 + 0.000e | 0.048 ± 0.001c | 0.097 ± 0.001bc |
DS = desviación estándar; <LD = Menor al límite de detección. Valores con letras diferentes son significativamente diferentes. En negritas los valores de mayor concentración. Letras diferentes (a,b,c,d,e,f) representan los valores asociados de acuerdo a la prueba de Tukey HD para concentración de cada metal.
Fuente: Elaboración propia.
Interpretación de espectros por FTIR-ATR
Se muestra en la Figura 4 la comparación de los espectrogramas por Atlixco-Puebla de las muestras de ceniza de 1994, 2012 y 2019 de la zona de Atlimeyaya. Las bandas de mayor transmitancia corresponden a la vibración del grupo característico de silicio en un número de onda de 1000 cm-1-900 cm-1, así como las bandas de 1456 cm-1 y 785 cm-1 de la vibración Si-H del grupo Si-CH3. La banda en 3352 cm-1 corresponde al grupo de Si-O-H, reportadas por Nakanishi (1977). En la misma Figura se muestra la banda asignada a los silicatos (1012 cm-1) presentes en anortita (CaAl2Si2O8 y NaAl2Si2O8), albita (NaAlSi3O8) y cuarzo (Hernández et al., 2020). Esta banda presenta una disminución de área de 2532.30 unidades en 1994, 1754.42 unidades en 2019 y 761 unidades en 2012. Esta variación de la concentración de silicatos sugiere erupciones más fuertes, más profundas o emplazamiento de nuevos domos de lava, siendo este último el más probable (Armienta et al., 2010).
Interpretación del difractograma (DRX), análisis elemental por (EDS/SEM)
El análisis de DRX mostró que la ceniza de los tres años comparados está compuesta primordialmente por el mineral denominado Anortita (CaAl2Si2O8 y NaAl2Si2O8), Albita (NaAlSi3O8) y Cuarzo (SiO2), como se muestra en la Figura 5. En el caso de la cristalinidad de los sólidos, muestra que la ceniza es típica para los patrones de difracción de la anortita, albita y cuarzo amorfo (señal predominante en 28°) con los siguientes valores del ángulo de refracción 2θAnortita = 23°, 29°, 31°, 40°, 54°; 2θAlbita = 78°, 74°, 69°, 51°, 47°,43°, 38°, 24°; y 2θcuarzo = 22°, 26°, 28°, 36°, 39°, 40°, 42°, 45° (Shruti et al., 2018).

Fuente: Elaboración propia.
Figura 5 Análisis por difracción de Rayos X. Se muestran las señales características de albita*, anorditaº y cuarzo□.
La composición química elemental de las muestras 1994, 2012 y 2019 mediante la técnica de espectroscopia de energía dispersada (EDS) se muestra en la Figura 6a y 6b. Presenta elementos como calcio (Ca), oxígeno (O), sodio (Na), magnesio (Mg), aluminio (Al), silicio (Si), potasio (K) y titanio (Ti). La composición elemental más abundante de las cenizas fue de oxígeno, con valores por arriba del 50% en peso, silicio con valores entre 23%-28% en peso y aluminio entre 6%-8% peso. El material particulado del año 1994 presenta mayor contenido en Na (3.56%), Si (28.06%) y K (1.73%); en el año 2012 predomina el O (55.4%), Fe (3.84%), Ca (3.41%), Mg (2.86%) y Ti (0.58%); y en el 2019 destaca Al (8.10%).

Fuente: Elaboración propia.
Figura 6 (a-b) Se presentan los valores de composición elemental de material particulado (cenizas) por EDS en muestras de 1994, 2012 y 2019.
El análisis SEM muestra la morfología de las cenizas (Figura 7). Las cenizas de 1994 (a) revelan una mayor porosidad comparado con los otros años, forma irregular y tamaños aparentes de 500 µm; en las cenizas 2012 (b) se observan formas irregulares y tamaños menores a 500 µm; en la micrografía del año 2019 (c) se observan partículas irregulares con una distribución de tamaño mayor a 500 µm y textura superficial rugosa.
Discusión
Presencia de material particulado en el trayecto Atlixco-Puebla
Cerca de las zonas de estudio existen algunas fuentes laborales de consideración, como una central eléctrica Metepec-CFE (M5), una industria cementera (M2), una carbonera, talleres de reparación y rectificadoras de motores (M3), que son posibles fuentes de aportación de MP suspendido de origen antropogénico. Sin embargo, las muestras se recolectaron en el momento de exhalación de ceniza del volcán Popocatépetl, por lo que este MP proviene principalmente de esta actividad. Se encontró gran cantidad de MP fino (< 2.5 µm) que ha sido reportado como característico de condensación de sulfato de amonio, nitratos, ácido sulfúrico y nítrico, los cuales se emiten a la atmósfera por el volcán (Kapper et al., 2020; Wei & Yang, 2010; World Health Organization [WHO], 2013). De acuerdo con la NOM-025-SSA1-2014 (DOF, 2014), el valor promedio de partículas para ser consideradas de riesgo para la salud humana es a partir del valor límite para partículas menores a 10 micrómetros (PM10) de 75 µg/m3 y para las partículas menores a 2.5 micrómetros (PM2.5) de 45 µg/m3, ambas para un promedio de 24 horas (Cenapred, 2019). El Comité Científico Asesor del volcán Popocatépetl en estas fechas del muestreo recomendó cambiar la fase del semáforo de alerta volcánica de amarillo fase 2 a amarillo fase 3, lo cual constituye una medida preventiva ante los cambios observados. Cenapred (2019) indicó que los valores de MP detectados esos días no rebasaron los límites.
Estudios realizados por afectación debido al contacto con la ceniza volcánica implican factores de riesgo sobre la salud debido a la concentración de elementos inorgánicos y al tamaño de la partícula inhalada, siendo las partículas PM2.5 capaces de introducirse a profundidad en el pulmón, afectando alvéolos y bronquiolos terminales, provocando hiperreactividad bronquial como asma o enfermedades pulmonares obstructivas crónicas (Jones & BéruBé, 2011). Así también, la exposición de PM10 se ha reportado como responsable de la mortalidad por causas cardiovasculares, respiratorias y postneonatal (DOF, 2014; Rivera-Tapia et al., 2005; USEPA, 1998). Esta sintomatología es la reportada en poblaciones que se localizaron a 24 km y 50 km del edificio volcánico, como San Baltazar Atlimeyaya, Atlixco y Santa Isabel Cholula (González et al.,2004; Macías & Siebe, 2005).
Rojas et al. (1995) mencionan que el 2% de la población cercana al Popocatépetl presentó obstrucción en vías respiratorias altas y 55% daño en tejido pulmonar. En la Figura 3 se muestra que el sitio de mayor depósito de partículas fue la entrada a Atlixco (M4), lo que representa un riesgo para la población de esas zonas con un total de 183 278 partículas/min, lo que incrementa la probabilidad de presentar alteraciones espirométricas, así como patologías respiratorias (Cifuentes et al., 2017).
Además de las afectaciones a la salud humana, se han reportado estudios donde el material particulado con tamaño menor a PM10 afecta la textura del suelo, incrementando el contenido de limo hasta un 63%, disminuyendo la densidad aparente, lo cual aumenta la capacidad de retención de agua hasta un 50%, dependiendo del tipo de suelo. Esta afectación es capaz de cambiar el paisaje original por el tipo de flora que se desarrolla a mediano o largo plazo, porque la porosidad del suelo incrementa, los valores de materia orgánica disminuyen y el pH incrementa al igual que la conductividad eléctrica, siendo estos dos parámetros los más significativos a considerar, ya que indican una alta salinidad del suelo (Tejasvi & Kumar, 2012). Esto lleva cambios en el desarrollo de los árboles, donde por dendrocronología pueden evidenciar la supresión de crecimiento en los anillos de los árboles debido a la presencia de las cenizas (Carlón et al., 2020).
Concentración de metales totales
Otro factor importante para considerar como riesgo a la salud es el contenido de metales, presentando una alta concentración de fierro y sílice que propicia radicales libres altamente tóxicos (Cifuentes et al., 2017). La presencia de metales totales en aire no rebasó el máximo permisible normado en México de 1.5 µm/m3 ni en los valores permitidos en Estados Unidos de América y Canadá de 0.5 µm/m3 como promedio trimestral (Cruz et al., 2017; DOF, 1994; USEPA, 2008). Considerando el flujo reportado en muestreo de MP (2.83 L/min), las concentraciones más altas fueron Ni 1.5 x 10-5 µg/m3, Cr 4.0 x 10-4 µg/m3, Fe 9.7 x 10-2 µg/m3, Zn 1.8 x 10-3 µg/m3, Mn 4.8 x 10-4 µg/m3, Mg 4.7 x 10-3 µg/m3, Cu 3.0 x 10-5 µg/m3. Los resultados de metales totales en menor concentración en este estudio fueron para Cu 0.61 ppm ± 0.002 ppm y el Ni 0.330 ppm ± 0.010 ppm, lo cual contrasta con lo reportado por Shruti et al. (2018), cuyos valores son Cu 26.66 ppm y Ni 46.91 ppm. Esto podría deberse a una diferencia en profundidad del origen de la ceniza.
Si bien es cierto que este MP presenta elementos esenciales para el desarrollo de las plantas y árboles como el Fe, Cu, Mg, Mn y Zn, también aportan elementos altamente tóxicos como Ni y Cr, debido a que no son esenciales y se presentan en una alta concentración (Gupta, 2002; Tejasvi & Kumar, 2012).
Discusión de caracterización de las cenizas 1994, 2012 y 2019
La caracterización de cenizas de los diferentes años muestran similitud en la composición, siendo los minerales presentes Anortita (CaAl2Si2O8 y NaAl2Si2O8), Albita (NaAlSi3O8) y Cuarzo (SiO2), reportado también por otros estudios (Armienta et al., 2010; Hernández et al., 2020), donde la concentración de silicatos sugiere erupciones más fuertes, más profundas o emplazamiento de nuevos domos de lava (Macías & Siebe, 2005).
Riesgos para la salud humana y ecosistemas
Como se ha mencionado, el MP detectado en el ambiente por emisiones del Popocatépetl en los sitios de estudio presentan riesgo a la salud por su tamaño. Este riesgo se ve incrementado por el viento que se dispersa en diferentes direcciones y el número de exhalaciones del volcán Popocatépetl, el cual solo en el año 2019 fue de 9903 erupciones confirmadas (Global Volcanism Program, 2013). Estas condiciones incrementan la disponibilidad de metales que al disolverse permiten integrarse a los ciclos biológicos con efectos nocivos para las poblaciones expuestas (Espelta et al., 2020; Shruti et al., 2018).
En la Figura 8, a través de un sistema de Pareto, se muestra a la localidad de San Martín Tlapa (M7) como el sitio donde el riesgo por disposición de metal presenta un mayor grado de lixiviación, hasta un 33%, que sumados con los sitios de CFE-Metepec (M5) y Atlixco-Atlimeyaya (M8) dan una frecuencia acumulada del 60%, lo que indica que estas comunidades presentan la mayor aportación en metales disponibles por lixiviación. Es importante considerar que estas zonas también se caracterizan por ser altamente visitadas turísticamente por sus atractivos naturales, en los que se encuentran una granja piscícola Xouilin en Atlimeyaya y amplias áreas verdes, centros vacacionales y huertos, los cuales son receptores de estas cenizas (Colombier et al., 2019).

Fuente: Elaboración propia.
Figura 8 Metales lixiviados por sitio de muestreado y frecuencia acumulada.
Se ha reportado que el uso de material particulado (cenizas) en el mejoramiento de suelo es factible (Tejasvi & Kumar, 2012); sin embargo, este debe ser controlado para evitar la disminución de carbono orgánico, biomasa microbiana, la población de bacterias, el contenido de nitrógeno, el desarrollo de lombrices y de hongos. Con valores menores a 20 t Ha-1 se pueden mantener eficientes las actividades fisicoquímicas, microbianas y enzimáticas (Singh et al., 2016). Los aluminosilicatos amorfos presentes en las cenizas detectados por EDS (Figura 6) confirman la presencia de los elementos de Al, Ca, Na y Si, mismos que conforman minerales como la Anortita (CaAl2Si2O8 y NaAl2Si2O8), Albita (NaAlSi3O8) y cuarzo (SiO2), según lo reportado por Hernández et al. (2020). Siendo que la anortita es una fuente de iones de Ca2+ y la albita de iones Na+ en aguas naturales, pueden acumularse y generar un aumento en la concentración de estos iones causando la modificación de la composición química del agua y la permeabilidad del suelo (Salimnezhad et al., 2021). También, los elementos como Mg, K, Fe y Ti pueden formar óxidos con el oxígeno presente y progresar a compuestos más cristalinos como la haloisita y la caolinita. El contenido total de óxidos de hierro es mayor y los óxidos de hierro amorfos se vuelven más cristalinos (Cáceres et al., 2010), esto afecta tanto a plantas como a los animales e insectos, ya que causa lesiones en piel y ojos. Otra consecuencia es que la respiración microbiana se reduce con el aumento de contenido de cenizas en suelos arenosos (Wong & Wong, 1986). El pH adecuado para la movilidad de nutrientes se reporta entre 6.5-7.0, por lo que el modificar este valor en los suelos causa deterioro en las plantas debido a la baja disponibilidad de oligoelementos, siendo la ceniza un elemento que modifica el pH (Palansooriya et al., 2020; Pandey & Singh, 2010).
En cuanto a la fauna, la precipitación severa de ceniza puede ocasionar ceguera en animales silvestres y de granja o domésticos (Rivera-Tapia et al., 2005). Se recomienda para estos últimos mantenerlos dentro de refugios, lejos de la intemperie, ya que los animales que ingieren agua o alimentos expuestos a ceniza volcánica pueden morir por intoxicación; sin embargo, no se cuenta con reportes que confirmen los decesos; la lluvia ácida producida por la combinación de la precipitación pluvial con el material particulado también afecta su piel, causando irritación de leve a grave (Narváez & Cano, 2004).
La presencia de metales en el suelo y acuíferos es natural, sin embargo, el recibir metales extra por los lixiviados del material particulado puede causar envenenamiento e intoxicación a la salud humana y, en general, a todo tipo de vida, acumulándose en plantas y tejidos orgánicos (Reckziegel et al., 2020). La peligrosidad de los metales pesados es mayor al no ser química ni biológicamente degradables. Una vez emitidos, pueden permanecer en el ambiente durante cientos de años. Además, su concentración en los seres vivos aumenta a medida que son ingeridos por otros, por lo que la ingesta de plantas o animales contaminados puede provocar síntomas de intoxicación.
Aunado a esto, la combinación del material particulado con factores ambientales como la luz solar, el oxígeno (O2) y la cantidad de humedad presente forman el llamado humo volcánico, también conocido como vog (volcanic smog), esto lo vemos como una densa capa gaseosa a lo que se reconoce como escudo solar, cuya presencia impide la penetración total de la luz solar sobre la superficie. El efecto causado por este smog volcánico son las variaciones climáticas locales y regionales (Noji, 2000).
Conclusiones
De los sitios muestreados, los que presentaron mayor deposición de partículas fueron Entrada a Atlixco (M4) y Atlixco-molinos (M3), siendo el 99.9% de un tamaño entre 0.3 µm a 2.5 µm. Los sitios con mayor concentración de metales pesados fueron Atlixco-Ovni (M6) y Atlixco-Molino (M3). El sitio que presentó mayor metal lixiviado fue San Martín Tlapa (M7), el material particulado estudiado en este trabajo mayormente es de naturaleza inorgánica con contenido de fierro y silicatos abundantes. Los minerales característicos detectados por DRX, EDS/SEM y FTIR-ATR en MP fueron anortita, albita y cuarzo, siendo el MP de 1994 y 2012 similares en contenido de metales totales determinados por DRX y en menor proporción el de 2019. La morfología de la ceniza de 1994 muestra un mayor tamaño, porosidad y bordes irregulares en comparación con las partículas de las cenizas 2012 y 2019. El monitorear la composición de este material particulado durante las exhalaciones permitirá determinar cambios en las proporciones de minerales y con ello obtener datos que en un futuro indiquen el comportamiento del domo, la profundidad del material expulsado y tomar decisiones que permitan salvaguardar la salud de la población humana, vegetal y animal vecina al volcán, así como proponer medidas de atenuación a los cambios ambientales ocasionados por este material particulado para disminuir la deforestación y disminución de la salinidad del suelo.
Conflictos de interés
Los autores declaran no tener conflictos de interés.










nueva página del texto (beta)






