Servicios Personalizados
Revista
Articulo
Indicadores
-
Citado por SciELO -
Accesos
Links relacionados
-
Similares en
SciELO
Compartir
Revista internacional de contaminación ambiental
versión impresa ISSN 0188-4999
Rev. Int. Contam. Ambient vol.30 no.2 Ciudad de México may. 2014
Remoción de arsénico en agua mediante procesos de coagulación-floculación
Arsenic removal by coagulation-flocculation processes
Franco M. FRANCISCA* y Magalí Evelín CARRO PÉREZ
Departamento de Construcciones Civiles FCEFyN-UNC, Universidad Nacional de Córdoba (UNC) y Consejo Nacional de Investigaciones Científicas y Técnicas (CONICET), Argentina *Autor responsable; ffrancis@efn.uncor.edu
Recibido marzo 2013,
aceptado abril 2014
RESUMEN
El arsénico y sus compuestos son considerados como cancerígenos para los humanos y en ciertas regiones existe evidencia epidemiológica de alteraciones a la salud ante el consumo prolongado de aguas arsenicales. En muchos lugares la única fuente de agua para bebida contiene arsénico (As) en solución, por lo que resulta necesario estudiar mecanismos de remoción. En este trabajo se realizan ensayos de laboratorio con base en procesos de coagulación-floculación con el objeto de evaluar la eficiencia en la eliminación del arsénico en el agua para consumo humano. En este caso se busca identificar y evaluar los principales factores que controlan la remoción de arsénico en agua. En los ensayos realizados se varió la dosis de los coagulantes desde 5 a 500 mg/L, la de partículas sólidas desde 0 a 6000 mg/L y la concentración inicial de arsénico desde 0.5 a 5 mg/L. Con estas variables se han realizado combinaciones en más de 100 experimentos. Se obtuvieron porcentajes de remediación de arsénico que variaron desde 0 hasta 95 %. Los resultados obtenidos permitieron lograr remociones del 95 % al incorporar cloruro férrico y del 80% con sulfato de aluminio en soluciones con arsenato. Para dosis de cloruro férrico mayores a 50 mg/L la eficiencia de la remediación disminuyó considerablemente en relación con los resultados obtenidos con sulfato de aluminio, para todos los tipos y concentraciones de sólidos. Las mayores remociones se lograron a pH entre 3 y 5, en soluciones oxidadas. A partir de los resultados obtenidos y su análisis mediante regresiones lineales múltiples con valores de R > 0.90, se pudo determinar que los parámetros que controlan la remoción son la dosis de floculante, el pH del líquido y la concentración de sólidos en suspensión. La mineralogía de los sólidos y el tipo de floculante tendrían un efecto menos significativo en la remoción mediante coagulación-floculación. Los resultados obtenidos son relevantes para la remoción de As en plantas potabilizadoras de agua, como también en la implementación de métodos caseros de remoción.
Palabras clave: coagulante, remediación, experimento, regresión, contaminante.
ABSTRACT
Arsenic and arsenical compounds are considered as carcinogenic and risky for humans according to epidemiological evidence related with the ingestion of arsenical water during a long period. In many places the only source of drinking water contains arsenic and, therefore, removal strategies have to be investigated. This work shows experimental results of coagulation-flocculation processes implemented to evaluate the efficiency in the removal of arsenic from drinking water. The main objectives include the evaluation of the relevant aspect that controls the removal efficiency. Experimental tests were performed with coagulant concentrations from 5 to 500 mg/L, solid particle concentrations from 0 to 6000 mg/L, and initial arsenic concentrations from 0.5 to 5 mg/L. These variables were simultaneously varied in more than 100 experiments. The efficiency in remediation ranged from 0% to 95%. Removal efficiency near 95% was obtained when using ferric chloride as coagulant, and was close to 80% when using aluminum sulfate as coagulant in arsenate solutions. The remediation efficiency decreased significatively when the ferric chloride concentration was higher than 50 mg/L in relation to the obtained results for aluminum sulfate for different type and concentration of soil particles. The highest removal efficiency were obtained at pH between 3 and 5 in oxidized solutions. Obtained results simulated by means of multiple linear regression analysis (R>0.90) allow determining that the main parameters that control the removal of arsenic from drinking water are coagulant concentration, pH, and solid particles concentration. Conversely, particle mineralogy and coagulant type have less significant effect on the removal by means of coagulation-flocculation mechanisms. Obtained results are relevant for the removal of As in water treatment plants as well as for the development of small scale filters.
Key words: coagulants, remediation, test, regression, contaminant.
INTRODUCCIÓN
El arsénico (As) presente en aguas destinadas a consumo humano es una problemática reconocida en distintas regiones del mundo (Nicolli et al. 1985, Smedley et al. 2005). Es un elemento natural, presente en la corteza terrestre que puede aparecer en el agua a través de procesos de meteorización química o por disolución de minerales. También puede estar presente por contaminación antrópica debido a actividades como la minería o el uso de plaguicidas.
Estudios epidemiológicos han permitido desarrollar conocimientos a partir de los cuales la Organización Mundial de la Salud (OMS) en la última década ha recomendado el límite de concentración de As para agua de bebida en 0.01 mg/L (OMS 2011). El consumo prolongado de agua con arsénico ha sido asociado con el cáncer de piel, pulmones, riñones e hígado, además de problemas de piel y vejiga (Smith et al. 1992, Abernathy et al. 1999, Smith et al. 2000).
Los procesos y tecnologías conocidos para la remoción de arsénico del agua son variados y comprenden desde tratamientos en plantas potabilizadoras convencionales y métodos domiciliarios, hasta tecnologías in situ. Los procesos de remediación que se conocen en la actualidad son: oxidación, precipitación, coagulación y ablandamiento con cal, ósmosis inversa, microfiltración, nanofiltración, adsorción, tratamientos biológicos y fitorremediación, electrodiálisis y electrocinética, entre otros (Konstantinos et al. 2006, Litter et al. 2010, Ingallinella et al. 2011, Carro Perez y Francisca 2013a). Algunas de estas técnicas son más tradicionales y utilizadas que otras y, si bien continuamente se proponen nuevos métodos o mejoras, cada proceso presenta ventajas, desventajas y limitaciones según las condiciones locales, lo que no asegura un resultado técnico, económico y ambiental adecuado en todos los casos. Para las investigaciones realizadas en ese trabajo, resultan de particular interés las técnicas de remoción que utilizan mecanismos basados en los principios de coagulación-floculación.
Los procesos de coagulación-floculación son metodologías propias y habituales en plantas potabilizadoras, principalmente para remoción de materia suspendida y clarificación del agua. En una primera etapa los compuestos químicos en solución se adsorben a la superficie de partículas sólidas en suspensión y posteriormente en la coagulación estos coloides se agrupan formando flóculos de mayor tamaño, los cuales son removidos mediante precipitación o filtración. La precipitación-coprecipitación consiste básicamente en la adición de productos químicos al agua, el mezclado, la formación de una matriz sólida y, a través de la precipitación, coprecipitación o una combinación de estos procesos, en la separación de la matriz sólida del agua. El tratamiento de precipitación-coprecipitación incluye la adición de oxidantes químicos, ajustes de pH y coagulantes o precipitantes químicos (EPA 2002). Entre los factores de importancia para la remediación con este método se han identificado el tipo y la dosis del coagulante, tiempo de mezcla, estado de oxidación y concentración de arsénico inicial, temperatura, presencia de otros solutos inorgánicos y el pH (Romero Rojas 1999, EPA 2002)
Existen numerosos parámetros que influyen en las fuerzas químicas y físicas que posibilitan que estos fenómenos ocurran; en ellas los aspectos de mayor relevancia son las cargas eléctricas superficiales de las partículas coloidales presentes en el agua, la temperatura, el pH y la dosis del coagulante (Romero Rojas 1999).
Hering et al. (1997) trabajaron en procesos de coagulación con cloruro férrico a escala de laboratorio con aguas naturales y artificiales contaminadas con As (III) y As (V). Song et al. (2006) han trabajado en agua de drenaje de mina con alto contenido de arsénico con un proceso de coagulación mejorado con iones férricos y calcita gruesa, logrando una eliminación de As de más del 99 % por medio de la coagulación mejorada seguida de filtración convencional con papel de filtro. Lee et al. (2003) estudiaron la estequiometría, cinética, y oxidación del arsenito con Fe (VI) y realizaron ensayos de eliminación de arsénico utilizando Fe (VI) como oxidante y coagulante.
Como antecedente de análisis estadístico, Baskan y Pala (2010) trabajaron con el diseño de experimentos estadísticos de Box-Behnken (BBD) y la metodología de superficie de respuesta (RSM) para investigar los efectos de las principales variables de funcionamiento del proceso de coagulación. La concentración inicial de arseniato, el pH y la dosis de sulfato de aluminio se seleccionaron como variables independientes y la remoción de As se consideró como la función de respuesta. Los autores lograron un muy buen ajuste entre valores medidos y calculados logrando determinar la importancia relativa de los parámetros que intervienen en la eliminación del arseniato.
Existen ventajas y desventajas en la utilización de cada uno de los coagulantes conocidos. En general, los coagulantes más utilizados son las sales de aluminio o de hierro (III), los cuales permiten remover sustancias inorgánicas disueltas tales como el arsénico. En muchos casos, estos elementos producen además un incremento de sulfatos o cloruros y el descenso del pH, lo cual resulta de fundamental importancia no sólo porque controlan la eficiencia de la coagulación sino también por la necesidad de disposición adecuada de los residuos o lodos como producto de la floculación. Karcher et al. (1999) han realizado ensayos en plantas potabilizadoras utilizando cloruro férrico como coagulante obteniendo resultados satisfactorios.
El estudio de estos procesos con el objeto de la remediación de aguas arsenicales no busca como fin una solución unitaria sino que en general forma parte de una serie de procesos para lograr que el agua sirva para consumo humano luego del tratamiento. Respecto de las aguas arsenicales, las técnicas de floculación se intentan aplicar tanto en plantas potabilizadoras como en experimentos piloto en el caso de pequeñas comunidades o agrupaciones de personas que no cuentan con servicio de provisión de agua potable por ser población rural dispersa.
Frente a este panorama resulta de interés poder determinar el efecto de las distintas variables que controlan la eficiencia en la remediación o disminución de las concentraciones de arsénico en solución. En este trabajo se presentan los resultados experimentales de remoción de arsénico mediante procesos de coagulación-floculación. El objetivo es poder evaluar la influencia del tipo y dosis de coagulante, naturaleza y contenido de partículas, pH, concentración inicial de arsénico y estado de oxidación del mismo. Los resultados se analizan a partir de la física de floculación y los mecanismos de interacción agua-sólido. En particular resulta de interés poder determinar la influencia del tipo de partículas en solución en las dosis necesarias de coagulantes para lograr una remoción satisfactoria de As.
MATERIALES Y MÉTODOS
Para los ensayos de coagulación-floculación se utilizaron dos floculantes convencionalmente utilizados en plantas de tratamiento, el sulfato de aluminio y el cloruro férrico. En estos experimentos se han variado las dosis de los coagulantes desde 5 a 500 mg/L, la de coloides desde 0 a 6000 mg/L y la concentración inicial de arsénico desde 0 a 5 mg/L. Estos rangos exceden los valores usualmente utilizados en plantas de tratamiento de agua, pero permiten evaluar condiciones límite de comportamientos de interés para la presente investigación. Con estas variables se han realizado combinaciones en más de 100 experimentos.
Sedimentos utilizados
Los sedimentos ensayados incluyen bentonita, zeolita y dos arcillas diferentes que fueron identificadas como suelos residuales, las cuales se designaron como arcilla roja y arcilla gris. El porcentaje de partículas de tamaño coloidal (< 2 mm) de cada uno de estos sedimentos se determinó mediante el ensayo ASTM D422 (ASTM 2007) resultando igual a 85 %, 33 %, 75 % y 66 %, respectivamente.
La bentonita contiene más de 92 % de montmorillonita sódica. Este mineral fue extraído en las provincias argentinas de Río Negro y Neuquén, y es frecuentemente utilizado en rellenos sanitarios, barreras de lodos y en muchas otras aplicaciones geoambientales, debido a su característica expansiva y baja conductividad hidráulica.
Las zeolitas son aluminosilicatos, consideradas un tamiz molecular para la separación de especies iónicas por su gran capacidad de adsorción. Tienen el mismo origen que las bentonitas anteriores.
Las arcillas rojas provienen de la provincia argentina de Misiones, cuyos suelos son generalmente arcillosos, ricos en aluminio y hierro y frecuentes en regiones tropicales. Se caracterizan por la presencia de óxidos e hidróxidos de hierro y aluminio, de los cuales el hierro es por lo general movilizado y oxidado por el agua subterránea (Reinert 2007).
Las arcillas grises constituyen los tipos de suelos denominados Ñau típicos, muy plásticos y con una arcilla del tipo montmorillonítico de color oscuro. Son suelos hidromórficos, desarrollados en condiciones de exceso de humedad, esto es favorable para la transformación o reducción del óxido férrico en ferroso, lo que explica la coloración propia de este tipo de suelo, que resulta generalmente de color oscuro, ya sea gris, azulado amarillento o verdoso, según el ambiente propio de formación (Reinert 2007).
En la figura 1 se presenta la microscopía electrónica de barrido (SEM, por sus siglas en inglés) y en la figura 2 el análisis de energía dispersiva de rayos X (EDX) de los cuatro sedimentos utilizados en los ensayos de coagulación-floculación.


Soluciones arsenicales y determinación de concentraciones de arsénico
Los líquidos ensayados fueron soluciones con diferentes concentraciones de arsénico, las cuales se prepararon a partir de la disolución de trióxido de arsénico (As2O3) en un medio alcalino obtenido con hidróxido de sodio (NaOH) y agua desionizada. Las concentraciones de arsénico utilizadas variaron desde 0 a 5 mg/L. Este rango de concentraciones se encuentra dentro de los valores máximos y mínimos de concentración de As registrados en las aguas subterráneas del centro de Argentina (OSN 1942, Vilches et al. 2005).
Las concentraciones finales de arsénico se determinaron por medio de kits de prueba para arsénico (Arsen 10 ® y Arsen 50 ® Quantofix® de Macherey-Nagel). Estas pruebas convierten, al entrar en contacto con polvo de zinc y ácido en polvo, los compuestos arsenicales presentes en el agua en gas arsina y éste en contacto con una banda de papel embebida en bromuro de mercurio cambia de color, desde blanco a marrón, pasando por tonos amarillos según la concentración de As que contenga la muestra. Una de las críticas a la técnica de detección de concentraciones por medio de métodos calorimétricos es que la subjetividad del operador interfiere en cada una de las mediciones al comparar el color resultante en la banda muestreadora con la carta de colores. Este método colorimétrico fue mejorado por Carro Pérez y Francisca (2013b) para optimizar la precisión de las mediciones, técnica utilizada en este trabajo. Para aumentar la precisión en las determinaciones con la técnica colorimétrica se analizaron digitalmente los colores obtenidos en fotografías. Un mejor análisis de las reacciones se llevó a cabo con el fin de eliminar la influencia del operador en los resultados. El método desarrollado consiste en tomar 10 fotografías de alta resolución de la tira de papel a partir de una distancia específica, ajuste de la cámara y condiciones de iluminación en el primer minuto después de la reacción. Estas imágenes de color RGB se convierten en imágenes de 8 bits en escala de grises y luego se analizan para obtener histogramas de los niveles digitales. Se obtuvieron dos curvas de calibración midiendo soluciones con concentraciones de arsénico conocidas. El límite de detección de esta técnica fue de 6.5 mg/L.
RESULTADOS
Influencia del estado de oxidación del arsénico
El arsénico puede encontrarse en solución en distintos estados de oxidación. Sin oxidar el arsénico se encuentra presente como arsenito, As (III); mientras que al oxidarlo se encuentra como arseniato, As (V). Debido a que los mecanismos de interacción que controlan la floculación dependen de la valencia y concentración de las especies iónicas, el estado de oxidación del arsénico se debe tener en cuenta al evaluar posibles mecanismos de atracción-repulsión como los que ocurren durante la formación de flóculos. Para lograr la oxidación del arsénico en este trabajo se adicionó hipoclorito de sodio de manera tal que la concentración de cloro activo alcanzada resultase igual a 2.2 mg/L.
En la figura 3 se presenta la relación entre la concentración final, Cf, y la inicial, Ci, de arsénico en ensayos por lotes realizados con bentonita, arcilla gris, arcilla roja y zeolita. En la figura 3a se muestran los resultados obtenidos utilizando como coagulante al sulfato de aluminio y en la figura 3b los correspondientes a cloruro férrico. La concentración de sólidos en todos los casos fue de 500 mg/L, con 50 mg/L de coagulante y 2 mg/L de arsénico inicial.

En todos los casos, cuando el arsénico se encuentra sin oxidar se observa que prácticamente la concentración final resulta igual a la inicial por lo que no se ha podido remover el mismo. Estos resultados demuestran que para todos los sedimentos ensayados la coagulación-floculación no es efectiva para el As (III). En el caso oxidado o de As (V) las remociones variaron entre el 30 y el 60 % (para la combinación sólidos, coagulante, arsénico mencionados anteriormente). A partir de esta serie de ensayos se determina la necesidad de oxidar las soluciones de arsénico con el objeto de lograr mayores eficiencias en la remoción.
Los resultados obtenidos concuerdan con los de Ghurye y Clifford (2001) quienes plantean que para diferentes técnicas de remoción, las mayores eficiencias se logran preoxidando el As(III) a As(V). La influencia de la oxidación del arsénico en la interacción fluido-partícula radica en que el nuevo estado de oxidación o valencia implicará una mayor carga actuante en el proceso de coagulación, lo que favorece la adsorción del mismo a los sólidos en suspensión que al flocular remueven el arsénico de la fase líquida.
Es importante remarcar que en el caso de que la coagulación-floculación se utilice como etapa dentro de una planta potabilizadora de agua, resultaría necesario una etapa de cloración-oxidación previa al tratamiento ya que usualmente en este tipo de plantas la cloración constituye un etapa posterior a la floculación y con el objetivo de desinfección (Kiely 1999).
Influencia del tipo de partículas en suspensión
El tipo de partículas en suspensión influye en los procesos de coagulación-floculación en virtud de la carga eléctrica superficial que posean, su composición química, el comportamiento frente a ambientes con diferente pH, el tipo y dosis de coagulante. Las interacciones que ocurren pueden resumirse a partir de las fuerzas de atracción de van der Waals y de repulsión del tipo de doble capa. La relación entre estas fuerzas permite que las partículas se acerquen y de esta manera pueden controlar los fenómenos de floculación. En esta sección se evalúan las remociones logradas con los dos coagulantes utilizados en función del tipo de sedimento: bentonita, arcilla gris, arcilla roja y zeolita.
La figura 4 presenta la relación entre la remoción porcentual y la dosis de sulfato de aluminio. La remoción se calcula como (Ci-Cf)/Ci, siendo Ci la concentración inicial y Cf la concentración final. Todas las muestras tienen una concentración de partículas sólidas de 500 mg/L y una concentración inicial de arsénico de 2 mg/L. Se puede observar que para cada tipo de partícula se obtiene un máximo de remoción, lo que permite identificar una dosis óptima de sulfato de aluminio. En general, cuando la dosis de coagulante (Cc) es baja, o inferior a 10 mg/L, la remoción es muy poco eficiente. A medida que se aumenta el contenido de sulfato de aluminio se incrementa el porcentaje de remoción alcanzando un máximo y disminuyendo cuando se tiene exceso del mismo. Los resultados de la figura 4 muestran el rango óptimo para las dosis de los coagulantes. A partir de este óptimo, y considerando que la concentración de sólidos (Cs) fue de 500 mg/L, es posible determinar la relación sólido/coagulante para la cual la remoción de arsénico es máxima para cada tipo de sólido en suspensión. Esta relación resulta igual a 50 para la arcilla roja y la zeolita, 17 para la arcilla gris y 10 para la bentonita.

En la figura 5 se presentan los resultados de remoción cuando se utilizó cloruro férrico como coagulante y con concentraciones iniciales de arsénico y sólidos de 2 mg/L y 500 mg/L respectivamente. En este caso se lograron remociones superiores al 80 % para la bentonita, zeolita y arcilla gris y sólo del 20 % para la arcilla roja. Si bien se logran remociones superiores en las mismas condiciones que con el sulfato de aluminio como coagulante, las curvas presentan un pico más pronunciado (la eficiencia en la extracción de arsénico decae rápidamente para dosis de floculante distintas a la óptima). Considerando que la concentración de sólidos fue de 500 mg/L, la relación óptima Cs/Cc resulta igual a 10 para la bentonita y 50 para la zeolita y arcillas grises.

Influencia de la concentración de arsénico inicial
Existe una gran variabilidad horizontal y vertical de las concentraciones de arsénico en las aguas subterráneas (Schulz 2005). Se pueden encontrar desde concentraciones que apenas superan el límite actual formulado por la agencia ambiental de los Estados Unidos (EPA) y la Organización Mundial de la Salud (OMS), hasta concentraciones muy superiores a las permisibles. Con el objeto de verificar la influencia de la concentración inicial de arsénico se realizaron ensayos de coagulación-floculación en soluciones con concentraciones iniciales de arsénico diferentes.
En la figura 6, en líneas de guión, se presentan los resultados de remoción mediante coagulación-floculación en suspensiones con 0.5 y 2.0 mg/L de As, 50 mg/L de sulfato de aluminio y concentraciones de bentonita desde 0 hasta 4000 mg/L. Se puede observar que la remoción resulta mayor cuando menor es el contenido de arsénico inicial. Este resultado indica que la cantidad de sólidos necesaria en la remediación mediante coagulación-floculación depende de la concentración inicial de arsénico en solución. Los resultados obtenidos demuestran además que para la menor concentración inicial de arsénico ensayada la remoción alcanzó un 80 % (la concentración final, Cf, resultó igual a 0.1 mg/L). En la misma figura, con líneas de puntos se muestra la influencia del contenido de bentonita en la remediación cuando se utilizó como coagulante cloruro férrico. En este caso las concentraciones iniciales de arsénico fueron 0.5 y 2.0 mg/L. Igualmente, a medida que la concentración inicial de As es menor se obtienen mayores remociones. La máxima remoción alcanzada fue del 98 % y con un rango de concentraciones de partículas en solución de mayor amplitud, desde 200 hasta 2000 mg/L.

Influencia conjunta de la dosis de coagulante y la concentración de sólidos
Se realizaron ensayos para tres dosis diferentes de coagulantes, variando el contenido de partículas y con igual concentración inicial de arsénico.
En la figura 7 se observa la influencia del contenido de bentonita en la concentración final de arsénico luego de la floculación con sulfato de aluminio con dosis de 10, 50 y 500 mg/L. Los resultados obtenidos muestran que es posible definir una cantidad óptima de sólidos. Lo interesante es que el óptimo depende de la dosis de floculante que se utiliza, o lo que es lo mismo, si se normaliza, es posible definir una relación óptima de concentración de sólidos respecto del floculante (Cs/Cc). Esta tendencia indica que para cantidades de coagulante en exceso o defecto, la remediación resulta muy poco efectiva.

La figura 8 muestra la influencia del contenido de bentonita en la concentración final de arsénico luego de la floculación con cloruro férrico con dosis de 10, 50 y 500 mg/L. En este caso, para 10 y 50 mg/L de coagulante se identificó un valor mínimo de concentración de arsénico, mientras que para las muestras ensayadas con 500 mg/L de floculante la disminución presentó un decremento continuo. Sin embargo, es de esperar que para concentraciones de coloides superiores a las utilizadas en este trabajo pueda observarse una tendencia creciente de la concentración final debido al exceso de partículas.

Los resultados de las figuras 7 y 8 demuestran que para lograr una remoción de arsénico máxima es necesario encontrar la relación óptima de contenido de sólidos y coagulante para cada concentración inicial de arsénico, ya que en caso de menor o mayor cantidad de coagulante la eficiencia de la remediación disminuye. Esto significa que la adición de coagulante en exceso no sólo implicará un incremento en el gasto económico y una mayor concentración residual, sino que se disminuyen considerablemente las posibilidades de eliminar o disminuir las concentraciones de arsénico en solución.
Influencia del pH
El pH en la solución es un factor determinante en el proceso de interacción fluido partícula. La química de la coagulación-floculación está basada en las cargas eléctricas de las partículas, es por ello que el pH y la dosis del coagulante influirán en este proceso (Santamarina et al. 2001). Para cada dosis y pH es posible inferir un arreglo de partículas diferente, lo que controla o determina la posibilidad de adsorción y generación de flóculos.
Las cargas superficiales de las partículas varían en función del pH y del punto de carga cero. En el caso de los ensayos con bentonita y cloruro férrico, la bentonita aumenta el pH de la solución, ya que en general la bentonitas sódicas tienen un pH de 9 a 10 (Kaufhold et al. 2008) y mayores dosis de cloruro férrico lo disminuirán, ya que la solución madre de 1500 mg/L de FeCl3 tiene un pH de 1.6. Por lo tanto, el pH de la solución con partículas en suspensión varía a medida que se coloca mayor cantidad de coagulante y/o de sólidos en suspensión. Luego, como se observa en la figura 9 a medida que la relación entre concentración de bentonita y la dosis de cloruro férrico aumenta, crece el pH de la solución.

En la figura 10 se presenta la variación porcentual de la remoción de arsénico en función del pH de la solución. Los resultados obtenidos corresponden a las muestras con bentonita, zeolita, arcilla gris y roja, con concentraciones variables desde 0 a 6000 mg/L. Los resultados obtenidos con el coagulante sulfato de aluminio (Fig. 10a) y con cloruro férrico (Fig. 10b) muestran una muy alta variación, fundamentalmente como consecuencia del efecto combinado de: a) los diferentes contenidos de sólidos, b) las diferentes concentraciones iniciales de arsénico y c) las variadas dosis de coagulante utilizados. A pesar de ello, los resultados experimentales demuestran que las mejores eficiencias de remediación se encontraron siempre en valores de pH entre 2 y 4. Si bien el pH es un factor primordial en este proceso de remediación debido a la influencia del mismo en las cargas eléctricas superficiales (Santamarina et al. 2001) esta variable de manera aislada no permite asegurar una alta remoción de arsénico.

En la figura 11 se muestra la variación de la remoción de arsénico porcentual en función del pH considerando el efecto de la concentración de sólidos y coagulantes a partir de la relación adimensional Cs/Cc. Se observa que en la figura 11 hay sectores con similar comportamiento para relaciones de Cs/Cc bajas, intermedias y altas (Cs/Cc < 4; 4 <Cs/Cc <50 y Cs/Cc > 50 respectivamente). Se observa que en algunos de los ensayos donde el pH se encuentra entre 2 y 4 la remediación ha sido ineficiente o muy baja (inferior al 60 %). Sin embargo estos casos tienen una Cs/Cc <4 lo que indica que si bien el pH estaba dentro del rango adecuado, la inexistencia o escasez de partículas coloidales ha controlado el comportamiento (no hay suficientes partículas donde pueda adsorberse el arsénico). Esto significa que el fenómeno de floculación no tuvo lugar y que la coagulación no ha generado precipitación de arsénico.

Por otro lado, cuando la Cs/Cc ≥ 50 tampoco se alcanza un alto porcentaje de remoción, aunque en este caso se debe a que el exceso de partículas incrementa el pH de la solución. Este grupo de ensayos arrojaron en todos los casos un pH superior a 4, por lo que de acuerdo a lo determinado por Santamarina et al. (2001) la carga superficial de la bentonita sería negativa por lo que el arsénico oxidado (arseniato) también con carga negativa no puede acercarse ni adsorberse a la superficie mineral. En este caso existiría un exceso de bentonita en suspensión que no ha reaccionado en el proceso.
Todos los puntos correspondientes a los ensayos que han tenido remociones próximas y superiores al 70 % cumplen con las condiciones de tener contenido de bentonita que resulta en una relación adimensional de 4 < Cs/Cc <50. En estos casos, la cantidad de sólidos resulta suficiente y el pH inferior a 4 se encuentra por debajo del punto cero de carga por lo que se produce la inversión de las cargas superficiales. pasando de negativas a positivas, lo que determina que el arseniato pueda adsorberse a la superficie de las partículas. Al agregarse las partículas con el arsénico oxidado adsorbido se forman los flóculos, los cuales precipitan removiendo el arsénico de agua.
Ensayos con aguas naturales
Se realizaron ensayos de coagulación-floculación con muestras de agua con arsénico en forma natural. Una de las combinaciones elegidas fue 50 mg/L de cloruro férrico como coagulante, 1000 mg/L de bentonita y 2.2 mg/L de hipoclorito de sodio. El ensayo se realizó con una muestra de agua con una concentración inicial de 0.31 mg/L de arsénico. Mediante el ensayo de coagulación-floculación se obtuvo una remoción del 71 %. Se puede observar que si bien las relaciones utilizadas eran óptimas para las soluciones preparadas de arsénico, no lo son para esta agua natural. El hecho de no tener la misma remoción puede ser asignado al pH del agua natural, cuyo valor antes del ensayo fue de 8.5 y luego del ensayo de 8.12. Por lo visto anteriormente, las mejores remociones se obtienen con combinaciones apropiadas y entre rangos de pH de 2 a 4 para bentonita y cloruro férrico como sólido y floculante respectivamente.
Se ensayó otra muestra de agua natural con 50 mg/L de sulfato de aluminio, 200 mg/L de bentonita y 2.2 mg/L de oxidante. En este caso se obtuvo una remoción del 85 % con una concentración inicial de 0.065 mg/L de As. El pH original del agua fue de 8.16 y luego del ensayo de 6.44. En este caso la remoción fue mayor que la obtenida para la misma combinación de productos con agua con arsénico preparada.
Luego, si bien es evidente que ensayar la remediación con aguas preparadas es una forma de aproximación a la combinación ideal, es necesario determinar las curvas de combinaciones óptimas para ser aplicadas en aguas naturales.
DISCUSIÓN
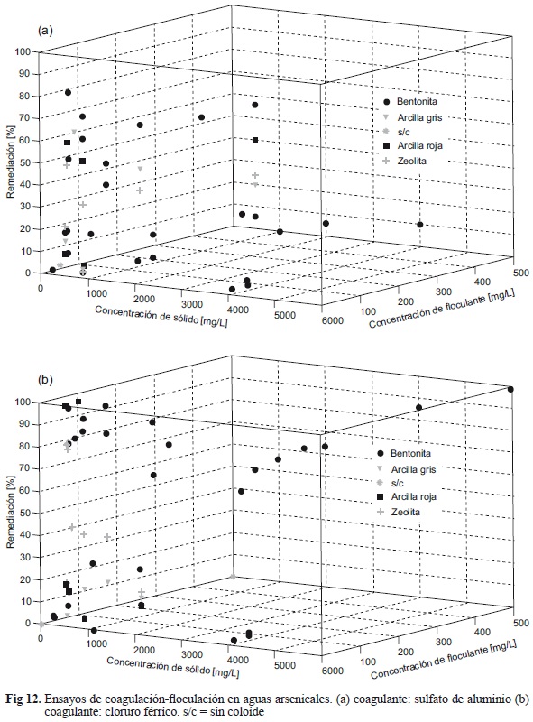
En la batería de ensayos realizada se obtuvieron porcentajes de remediación o extracción de arsénico que variaron desde 0 hasta 95 %. En la figura 12 se presentan los resultados de los diferentes ensayos realizados para los cuales se muestra la remoción obtenida (%) en función de la concentración de sólidos y la dosis de floculante. En la figura 12a se presentan los resultados obtenidos utilizando como floculante el sulfato de aluminio y en la figura 12b los del cloruro férrico.
Se puede observar que la dispersión de los puntos es muy amplia. No se observa una buena correlación entre el tipo de partícula en suspensión y la eficiencia en la remoción. Un caso particular parece ser el de la bentonita con cloruro férrico para el cual se obtuvieron las más altas remociones.
La gran variabilidad de los resultados mostrados en la figura 12 indica que todas las variables consideradas influyen en la remoción, por lo que no puede analizarse en conjunto el universo de resultados obtenidos.
Para representar los factores que intervienen en el proceso de coagulación-floculación respecto de la remoción alcanzada se realizó un análisis de regresión múltiple considerando cada una de las variables identificadas como relevantes para la remoción. El análisis de regresión se realizó sobre los resultados obtenidos en los ensayos de coagulación-floculación con bentonita y con cloruro férrico como coagulante.
Para el análisis se adoptaron dos grupos de cuatro variables independientes cada uno. En el primer grupo, las variables independientes designadas como x1, x2, x3 y x4 comprenden: x1 = la concentración de bentonita, x2 = la concentración inicial de arsénico, x3 = la dosis de floculante y x4 = el pH. El segundo grupo de variables, designadas como x'1, x'2, x'3 y x'4 considera los siguientes parámetros y relaciones adimensionales: x'1 = pH, x'2 = contenido de bentonita respecto del arsénico inicial (Cs/CAs), x'3 = contenido de bentonita respecto del contenido de floculante (Cs/Cc) y x'4 = contenido de floculante respecto de la concentración inicial de arsénico (Cc/CAs). La variable dependiente, y, es en todos los casos el porcentaje de remoción de arsénico obtenido en los ensayos de coagulación-floculación.
En esta sección se analiza si a través de una ecuación o modelo matemático, es posible modelar la relación entre la variable dependiente, las variables independientes xi y los coeficientes de ajuste βi
El análisis se realiza a través de regresiones lineales múltiples, que se expresan como:

Siendo yi la variable dependiente, βk los valores de los parámetros elegidos como estimadores, Xki las variables independientes y εi las estimaciones de la perturbación aleatoria o errores.
El coeficiente de determinación R2 mide la bondad de ajuste del modelo de regresión. El rango de variación de R2 va desde 0 a 1; si es 1 hay una correlación perfecta en la muestra, y si resulta igual a 0 la ecuación de regresión no es útil para predecir la variable dependiente y. Por lo tanto, el coeficiente de determinación, R2, es un indicador de hasta qué punto la ecuación resultante del análisis de regresión explica la relación entre las variables. También pueden presentarse las relaciones a través del coeficiente de correlación R, correspondiente a la raíz cuadrada del coeficiente de determinación.
En la figura 13 se presentan las relaciones entre los valores de remoción medidos y los calculados mediante el análisis de regresión múltiple. Se realizaron distintos análisis considerando todas las mediciones y agrupando los resultados experimentales en subconjuntos con propiedades comunes tales como el rango de pH, concentración de sólidos, Cs/CAs, Cc/CAs (variables dimensionales x y adimensionales x').

Los ajustes alcanzados con mayor precisión se obtuvieron para los ensayos que cumplen con la relación Cc/CAs ≤ 25, cuyos coeficientes de correlación arrojaron valores de 0.90 y 0.95 para las variables dimensionales y adimensionales (Figs. 13a y 13b, respectivamente).
Las correlaciones de todos los ensayos en conjunto dan los valores más bajos, esto indica que al utilizar todas las variables involucradas en todos los casos ensayados no se obtienen buenas correlaciones. Sin embargo, si se realizan análisis parciales considerando rangos acotados para las variables intervinientes, las correlaciones mejoran notablemente. Por lo tanto se estima conveniente establecer rangos a priori de relaciones entre las variables del fenómeno antes de realizar un análisis estadístico.
CONCLUSIONES
Los resultados obtenidos en este trabajo permiten concluir que los procesos de coagulación-floculación son eficientes en la remoción de arsénico en solución. A partir de los ensayos realizados se puede concluir de la siguiente manera:
• El arsénico en estado oxidado tiene mejor respuesta a los ensayos de coagulación-floculación. Además, los porcentajes de remoción son mayores a menores concentraciones iniciales de arsénico en la solución. Se lograron remociones del 80 y 95 % con sulfato de aluminio y cloruro férrico para concentraciones iniciales de 0.5 mg/L de As.
• Para concentraciones iniciales de arsénico similares se han obtenido mayores remociones utilizando cloruro férrico como coagulante que al emplear sulfato de aluminio.
• Es necesario identificar la curva óptima de remoción en función del tipo de partículas o sólidos en suspensión, las concentraciones de arsénico inicial, el pH del agua y el tipo de coagulante a utilizar. El pH de la solución es primordial para lograr altas remociones, siempre acompañado de adecuadas relaciones entre concentraciones de coloides, dosis de coagulante y concentración de arsénico. Cuando se adicionan partículas de bentonita en suspensión el pH adecuado para altas remociones oscila entre 2 y 4, a menores valores de pH se produce la disolución del mineral y a mayores la carga superficial de las partículas resulta negativa por lo que no permite que el arseniato con carga eléctrica de igual signo se adsorba en la superficie mineral.
• Se comprobaron remociones eficientes (entre el 71 y el 85 %) en ensayos de coagulación-floculación en muestras de aguas naturales, por lo que la presencia de otros iones no afectaría significativamente los resultados o tendencias obtenidas en este trabajo.
• Los análisis de regresión lineal múltiple reportaron buenas correlaciones (R = 0.90 y R = 0.95) sólo en los casos en que los ensayos se dividen por rangos de remoción o por valores de relaciones entre sus variables.
• Se recomienda verificar la eficiencia de remoción de As determinada en este trabajo mediante ensayos a nivel de planta piloto.
AGRADECIMIENTOS
Los autores agradecen el apoyo financiero del Consejo Nacional de Investigaciones Científicas y Técnicas (CONICET, Argentina) y de la Secretaría de Ciencia y Tecnología (SECyT - UNC). A la Facultad de Ciencias Exactas, Físicas y Naturales y al Instituto Superior de Estudios Ambientales (ISEA) por las facilidades y el apoyo recibido.
REFERENCIAS
Abernathy C.O., Liu Y.P., Longfellow D., Aposhian H.V., Beck B., Fowler B., Goyer R., Menzer R., Rossman T., Thompson C., y Waalkes M. (1999). Arsenic: health effects, mechanisms of actions, and research issues. Environ. Health. Persp. 107, 593-597. [ Links ]
ASTM (2007). Annual book of ASTM Standards. Vol. 04.08. ASTM International. West Conshohocken, P.A. [ Links ]
Baskan M.B. y Pala A. (2010). A statistical experiment design approach for arsenic removal by coagulation process using aluminum sulfate. Desalination 254, 42-48. [ Links ]
Carro Pérez M.E. y Francisca F.M. (2013a). Arsenic entrapment in reactive columns of residual soils. J. Environ. Eng - ASCE 139, 788-795. [ Links ]
Carro Pérez M.E. y Francisca F.M. (2013b). Digital analysis technique for uncertainty reduction in colorimetric arsenic detection method. J. Environ. Sci. Heal A. 48, 191-196. [ Links ]
EPA (2002). Arsenic treatment technologies for soil, waste, and water. Environmental Protection Agency, EUA. 542-R-02-004. [ Links ]
Ghurye G. y Clifford D. (2001) Laboratory study on the oxidation of arsenicIII to arsenic V. Environmental Protection Agency, EUA. Cincinnati, 104 pp. [ Links ]
Hering J., Chen P., Wilkie J. y Elimelech M. (1997). Arsenic removal from drinking water during coagulation. J. Environ. Eng. 123, 800-807. [ Links ]
Ingallinella A.M., Pacini V, Fernández R.G., Vidoni R.M. y Sanguinetti G. (2011). Simultaneous removal of arsenic and fluoride from groundwater by coagulation-adsorption with polyaluminum chloride. J. Environ. Sci. Heal. A 46, 1288-1296. [ Links ]
Karcher S., Cáceres L., Jekel M. y Contreras R. (1999), Arsenic removal from water supplies in northern chile using ferric chloride coagulation. Water Environ J. 13, 164-169. [ Links ]
Kaufhold S., Dohrmann R., Koch D. y Houben G. (2008). The pH of aqueous bentonite suspensions. Clay Clay Miner. 56, 338-343. [ Links ]
Kiely G. (1999) Ingeniería Ambiental. Mc Graw-Hill. Madrid, 1331 pp. [ Links ]
Konstantinos C.M., Dibyendu S. y Rupali D. (2006). Evaluating a drinking-water waste by-product as a novel sorbent for arsenic. Chemosphere 64, 730-741. [ Links ]
Lee Y., Um I.H. y Yoon J. (2003). Arsenic(III) oxidation by iron(VI) (ferrate) and subsequent removal of arsenic(V) by iron(III) coagulation. Environ. Sci. Technol. 37, 5750. [ Links ]
Litter M.I., Morgada M.E., y Bundschuh J. (2010). Possible treatments for arsenic removal in Latin American waters for human consumption. Environ. Pollut. 158, 1105-1118. [ Links ]
Nicolli H.B., O'Connor T.E., Suriano J. M., Koukharsky M. M. L., Gómez Peral M.A., Bertini L.M., Cohen I.M., Corradi L.I., Balean O.A., y Abril E.G. (1985). Geoquímica del arsénico y de otros oligoelementos en aguas subterráneas de la Llanura sudoriental de la provincia de Córdoba. Comisión Nacional de Investigaciones Espaciales, Buenos Aires, 112 pp. [ Links ]
OMS (2011). Guidelines for Drinking Water Quality. Organización Mundial de la Salud http://whqlibdoc.who.int/publications/2011/9789241548151_eng.pdf 01/01/2013. [ Links ]
OSN (1942). El problema del agua potable en el interior del país. Tomo II Análisis Químicos, Obras Sanitarias de la Nación, Buenos Aires, 259 pp. [ Links ]
Reinert H.O. (2007) Caracterización geotécnica de suelos grises del departamento de Oberá-Misiones. Tesis de Maestría de Ciencias de la Ingeniería. Universidad Nacional de Córdoba. Córdoba, Argentina. 293 pp. [ Links ]
Romero Rojas J.A. (1999) Potabilización del agua. Alfaomega, México. 327 pp. [ Links ]
Santamarina J.C., Klein K.A. y Fam M.A. (2001). Soils and waves. Whiley, Nueva York. 488 pp. [ Links ]
Schulz C.J., Castro E.C. y Mariño E. (2005). Presencia de arsénico en las aguas subterráneas de la pampa. Memorias. IV Congreso Hidrogeológico Argentino. Río Cuarto, Córdoba. 25 al 28 de octubre, 2005. Argentina. 182 pp. [ Links ]
Smedley P.L., Kinniburgh D.G., Macdonald D.M.J., Nicolli H.B., Barros A.J., Tullio J.O., Pearce J.M. y Alonso M.S. (2005). Arsenic associations in sediments from the loess aquifer of La Pampa, Argentina. Appl. Geochem. 20, 989-1016. [ Links ]
Smith A.H., Arroyo A.P., Mazumder D.N.G., Kosnett M.J., Hernandez A.L., Beeris M., Smith M.M. y Moore L.E. (2000). Arsenic-induced skin lesions among Atacameño people in Northern Chile despite good nutrition and centuries of exposure. Environ. Health. Persp. 108, 617-620. [ Links ]
Smith A.H., Hopenhayn-Rich C., Bates M.N., Goeden H.M., Hertz-Picciotto I., Duggan H.M., Wood R., Kosnett M.J., y Smith M.T. (1992). Cancer risks from arsenic in drinking water. Environ Health Persp. 97, 259-267. [ Links ]
Song S., López-Valdivieso A., Hernández-Campos D.J., Peng C., Monroy-Fernández M.G. y Razo-Soto I. (2006). Arsenic removal from high-arsenic water by enhanced coagulation with ferric ions and coarse calcite. Water Res. 40, 364-372. [ Links ]
Vilches F.E., Palomeque L.I., Córdoba G.V., Fuentes S.E. y Navarro García L.F. (2005). El arsénico en la provincia de Catamarca, Argentina. En: Arsenico en aguas: origen, movilidad y tratamiento, IV Congreso Hidrogeológico Argentino. Río Cuarto, 103-110. [ Links ]













