Servicios Personalizados
Revista
Articulo
Indicadores
-
Citado por SciELO -
Accesos
Links relacionados
-
Similares en
SciELO
Compartir
Revista internacional de contaminación ambiental
versión impresa ISSN 0188-4999
Rev. Int. Contam. Ambient vol.27 no.2 Ciudad de México abr. 2011
Evaluación espaciotemporal de la calidad del agua del río San Pedro en el Estado de Aguascalientes, México
Spatialtemporal evaluation of the water quality of San Pedro river in Aguascalientes state, México
Guilda GUZMÁNCOLIS1, Frédéric THALASSO2, Elsa Marcela RAMÍREZLÓPEZ1 Silvia RODRÍGUEZNARCISO1, Alma Lilián GUERREROBARRERA1 y Francisco Javier AVELARGONZÁLEZ1
1 Universidad Autónoma de Aguascalientes, Centro de Ciencias Básicas, Av. Universidad 940. Ciudad Universitaria. CP 20010 Aguascalientes, Aguascalientes. Correo electrónico: fjavelar@correo.uaa.mx
2 Centro de Investigación y Estudios Avanzados (CINVESTAV) del Instituto Politécnico Nacional, Departamento de Biotecnología. Av. Instituto Politécnico Nacional 2508. Col. San Pedro Zacatenco México, CP 07360 DF México
Recibido febrero 2010
Aceptado marzo 2011
RESUMEN
El presente estudio evaluó la variación espacial y temporal de las concentraciones de materia orgánica, nutrientes, tóxicos orgánicos, organismos coliformes y metales pesados en el río San Pedro, principal corriente del estado de Aguascalientes. En su recorrido de aproximadamente 90 km por la entidad, recibe el aporte de 24 cursos de agua y cerca del 96 % de las aguas residuales tratadas y crudas generadas por los diversos sectores (aproximadamente 120 Mm3/año). Se tomaron muestras de agua en 43 estaciones de colecta en las épocas de sequía y de lluvias, y se analizaron 23 parámetros. En ninguno de los parámetros evaluados se observó una tendencia espacial definida. A excepción de los metales pesados, los contaminantes estudiados presentaron concentraciones elevadas en el 95 % de las estaciones de colecta en ambas campañas de muestreo (sin mostrar variación temporal significativa). Destacan especialmente los altos niveles de contaminación por materia orgánica, nitrógeno total, detergentes y coliformes fecales. Para evaluar de forma integral la calidad del agua se utilizó un índice global de la calidad del agua (IGCA), basado en la metodología desarrollada por el Canadian Council of Ministers of the Environment (CCME) para el río Alberta. De acuerdo con las categorías del índice propuesto, la calidad global del agua del río San Pedro es en general pobre, apartándose usualmente de su condición natural o conveniente para uso agrícola. El IGCA mostró un ligero incremento en los sitios de muestreo cercanos a las descargas de plantas de tratamiento de aguas residuales, situándose en la categoría de marginal.
Palabras clave: contaminación del agua, índice de calidad, variación espacial, río San Pedro.
ABSTRACT
The aim of this study was to evaluate the spatial and temporal variations in the concentrations of organic matter, nutrients, organic pollutants, coliforms and heavy metals from the San Pedro River, which is the main superficial water body of Aguascalientes State. In the course of the river, approximately 90 km through the State, it receives the contribution of 23 water currents and about 96 % of treated and untreated wastewater generated by domestic and industrial sectors (approximately 120 Mm3/year). Water samples were taken from 43 stations, collected during two sampling campaigns, one in the dry season and other after the rainy season; and 23 parameters were analyzed. Defined spatial trends were not observed in any of the parameters evaluated. Except for heavy metals, the studied pollutants showed high concentrations in 95 % of the collection stations in both sampling campaigns (significant temporal variation was not observed). The high levels of organic matter, total nitrogen, detergents and fecal coliforms were especially remarkable. To globally assess the water quality, a global index of water quality (RWQI), based on the methodology developed by the Canadian Council of Ministers of the Environment (CCME) for the Alberta River, was used. According to the IGCA categories, the global quality of the water in the San Pedro River all along the State is generally poor, usually away from their natural condition or desirable characteristics for agricultural use. The IGCA showed a slight increase in sampling sites near the wastewater treatment plant discharges, raising the marginal category.
Key words: water pollution, quality index, spatial variation, San Pedro River.
Introducción
Los ríos son corrientes naturales sometidas a los cambios climáticos y a las características propias de la cuenca, la calidad de su agua varía naturalmente a lo largo del tiempo y de su curso debido a la combinación de factores ambientales. Sin embargo, las actividades humanas alteran, a veces de manera irreversible, las características físicas, químicas y biológicas del agua (Chapman 1996, Castañé et al. 1998). Las principales fuentes de contaminación de estos sistemas son las descargas de tipo municipal e industrial, así como lo flujos de retorno generados por las actividades agropecuarias. La contaminación de las aguas superficiales en México es un problema que ha sido objeto de estudio en los últimos años (Graniel y Carrillo 2006, JáureguiMedina et al. 2007, RiveraVázquez et al. 2007). Sin embargo, uno de los inconvenientes que presenta la valoración de la calidad del agua es precisamente la naturaleza multidimensional del concepto de "calidad del agua". La interpretación y el manejo de los datos obtenidos en el monitoreo suele ser un trabajo complicado y en muchas ocasiones de difícil entendimiento para el público en general (Samboni et al. 2007). El problema se complica aún más cuando se trata de evaluar la calidad global, particularmente cuando son aplicados los distintos criterios para los diferentes usos del agua (SedeñoDíaz y LópezLópez 2007). Para facilitar la integración e interpretación de los datos de calidad del agua, diferentes países han desarrollado diversos índices de calidad, en función de sus necesidades y facilidad de manejo. Dichos índices agrupan de uno a varios parámetros, en su mayoría fisicoquímicos y en algunos casos microbiológicos, de tal manera que permiten reducir la información a una expresión sencilla y fácil de interpretar (Samboni et al. 2007).
La hidrología superficial del estado de Aguascalientes en su mayoría está conformada por cauces secos que sólo conducen aguas pluviales por corto tiempo después de las acometidas. El río San Pedro es la corriente principal de la entidad, su cauce recibe el aporte de varias corrientes y las aguas residuales crudas y tratadas de los diferentes sectores de la población. Estas aguas son empleadas para riego agrícola, principalmente en la zona sur de la entidad (López 2007). En sus márgenes se asienta cerca del 80 % de la población total de la entidad (1 065 416 habitantes), distribuida en 50 comunidades y seis cabeceras municipales, incluyendo la capital del estado (INEGI 2006). Se ubican también los principales parques industriales del Estado (municipios de San Francisco de los Romos y Aguascalientes, Fig. 1) con empresas textiles, procesadoras de alimentos, metalmecánica, galvanoplastia y electrónicas (López 2007). El 60 % de las descargas industriales vertidas al río son previamente tratadas en sistemas de lodos activados, con eficiencias adecuadas para remoción de materia orgánica y el 40 % restante se vierte al cauce sin tratamiento previo. La capacidad instalada en el estado para depurar aguas residuales es cercana a los 3500 L/s; sin embargo, el caudal tratado es apenas de 1700 L/s (López 2007).

El crecimiento poblacional de los últimos 60 años (500 %), aunado al desarrollo económico de Aguascalientes, ha causado fuertes presiones sobre los recursos hídricos. Las grandes cantidades de contaminantes que han sido descargados durante décadas a ríos, arroyos, presas y bordos han producido una severa afectación en la calidad del agua de los principales cuerpos de agua superficial de la entidad (AvelarGonzález et al. 2009). Por otra parte, los cinco acuíferos que abastecen el 80 % del agua potable al Estado, actualmente se encuentran con un nivel de sobreexplotación cercano al 100 % (CONAGUA 2007).
Estudios previos han reportado la presencia de compuestos orgánicos persistentes, altas concentraciones de materia orgánica, nutrientes, y toxicidad aguda en el cauce del río San Pedro y varios de sus afluentes (RicoMartínez et al. 2000, López 2007, AvelarGonzález et al. 2009). Sin embargo, estos estudios no ofrecen un panorama global de la calidad del agua del río en toda la entidad y tampoco evalúan el comportamiento espacial de las concentraciones de los principales contaminantes, ni su variación temporal, particularmente en las épocas más relevantes que se presentan en Aguascalientes (lluvia y sequía).
El objetivo del presente trabajo fue evaluar la variabilidad espacial y temporal de los contaminantes presentes en el agua del río San Pedro, en el Estado de Aguascalientes. El estudio propone además el empleo de un índice global de la calidad del agua (IGCA), basado en el índice desarrollado por el Canadian Council of Ministers of the Environment (CCME) para el río Alberta (Alberta Environment 1995). Dicho índice se calculó a partir de la determinación de subíndices independientes que agrupan a contaminantes relacionados. El IGCA propuesto es el resultado del promedio de seis subíndices, los cuales incluyeron los 23 parámetros evaluados en el presente estudio.
Materiales y métodos
Área de estudio
El río San Pedro está situado entre las coordenadas geográficas 21° 68' a 22° 31' de latitud norte (2470000 a 2400000 coordenadas UTM, región 13) y 102° 68' a 102° 23' de longitud oeste (760000 a 780000 coordenadas UTM, región 13), dentro de la Región Hidrológica 12 LermaSantiagoPacífico y su cuenca tiene una superficie de 2821 km2 (CONAGUA 2007). Este río se origina en la Sierra de San Pedro, localizada en el municipio de Ciudad Cuauhtémoc en el estado de Zacatecas, e ingresa al estado de Aguascalientes por el municipio de Cosío. Su cauce, de aproximadamente 90 km, recorre en dirección nortesur la parte central de la entidad, para abandonarla finalmente en la confluencia del río Santiago, por el poblado de Chilarillo en el estado de Jalisco (CONAGUA 2007). El clima predominante en la entidad es semiseco templado. La temperatura promedio durante los meses de estiaje (abril a junio) fue de 21.3 °C, con valores máximos de 32 °C. En el periodo posterior a las lluvias (septiembre a noviembre) la temperatura promedio fue de 17.2 °C. Los meses de mayor actividad pluvial fueron julio y agosto, con precipitaciones de 158.7 y 166.7 mm, respectivamente; la precipitación anual fue de 509.3 mm (CONAGUA 2007). Actualmente el río no presenta flujo base, recibe el aporte de 24 cursos de agua y cerca del 96% (aproximadamente 120 Mm3/año) de las aguas residuales tratadas y crudas generadas por los diversos sectores del estado (CONAGUA 2007).
La selección de los sitios de muestreo se realizó con la colaboración del Instituto del Medio Ambiente del Estado de Aguascalientes (IMAE), el Instituto del Agua del Estado (INAGUA) y la delegación estatal de la Comisión Nacional del Agua (CONAGUA). Se establecieron 43 sitios de muestreo a lo largo del cauce del río San Pedro, considerando factores topográficos, geológicos e hidrológicos, y los puntos más relevantes de descarga de contaminantes al río (Fig. 2). Todas las estaciones de colecta se ubicaron dentro del cauce, en sitios próximos a descargas importantes (Cuadro I), y su posición geográfica fue determinada con un GPS MAP 60c (GARMIN).

Muéstreos y determinaciones analíticas
Se tomaron muestras puntuales de agua superficial en cada sitio de colecta durante dos campañas de muestreo, la primera durante el estiaje (abriljunio, 2005) y la segunda después de la temporada de lluvias (septiembrenoviembre, 2005). La toma, preservación y análisis de las muestras se llevaron a cabo respetando los criterios internacionales recomendados por los métodos normalizados (APHA 1998); en el cuadro II se muestran los parámetros determinados y el método analítico empleado.
Los metales fueron cuantificados por medio de espectrofotometría de absorción atómica, utilizando un equipo Perkin Elmer A Analyst 100. Dependiendo de la sensibilidad requerida se empleó la modalidad de horno de grafito (3113 B) o flama (método 3111 B) para determinar Al, Cd, Cr, Cu, Fe, Mn, Pb y Zn. En las determinaciones por flama, a fin de incrementar la sensibilidad del método, las muestras fueron concentradas 10 veces durante el proceso de digestión. El As fue medido por la modalidad de generación de hidruros (método 3114 B), y Hg por vapor frío (método 3112 B).
Las determinaciones se realizaron por triplicado, en cada lote se utilizó una muestra fortificada al azar (porcentaje de recuperación entre 85 y 115 %), y duplicados al azar (coeficiente de variación menor al 15 %). Los métodos se validaron empleando el material de referencia SRM 1643d del US National Institute of Standards and Technology (NIST).
A fin de estudiar la existencia de variación temporal en los contaminantes evaluados en el cauce del río San Pedro, se realizó un análisis de componentes principales (ACP) empleando el programa Statistica 7 (Kim y Cardone 2005). En el análisis se consideraron todos los parámetros evaluados, incluyendo la campaña de muestreo como variable. Para evaluar la variación espacial del nivel de contaminación se propuso el empleo de un índice global de la calidad del agua (IGCA), basado en el índice desarrollado para el río Alberta (RWQI); el cual constituye una forma de resumir los datos físicos, químicos y biológicos complejos en un indicador compuesto simple de la calidad del agua (Alberta Environment 1995).
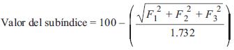
El IGCA es el resultado del promedio de seis subíndices, en los cuales se agrupan los parámetros de campo, fisicoquímicos, microbiológicos y metales pesados evaluados en las muestras de agua (Cuadro III).


Cada uno de los subíndices fue calculado mediante la siguiente fórmula:

donde:
F1representa el número de variables (parámetros) que no cumplieron con el nivel deseable (definido en función del uso del agua) al menos una vez durante al periodo considerado (un año).

F2 representa la proporción del número de pruebas individuales que no cumplieron con el nivel deseable, con respecto al número total de las pruebas realizadas durante el periodo considerado (un año).

F3 representa la magnitud con la cual los valores de las pruebas se desviaron de los niveles deseables.

La variable cfc representa la magnitud con la cual la calidad del agua se desvía de los criterios de conformidad. Se calcula dividiendo la sumatoria de la magnitud de cada una de las desviaciones observadas en las pruebas que estuvieron fuera de conformidad (Nfc), entre el número total de pruebas:

Para los casos en que el valor de la prueba no debe exceder el nivel deseable:

Para los casos en que el valor de la prueba no debe estar por debajo del nivel deseable:

Para los casos en los cuales el valor es cero:

El nivel deseable de cada uno de los parámetros evaluados se determinó considerando la calidad del agua apropiada para uso agrícola. Debido a que los criterios ecológicos de la calidad del agua CECCA00189 (SEDUE 1989) no cuentan con límites máximos permisibles (LMP) para la mayoría de los parámetros analizados, se realizó una revisión de criterios de referencias internacionales que apliquen para el uso del agua señalado y valores típicos en cuerpos de agua. Dicha revisión incluyó las Guías Canadienses de Calidad del Agua (CCME 1999), la Ley General de Aguas de Perú DL N°17752 (IPROGA 1969), criterios chilenos específicos para el establecimiento de las normas secundarias de calidad ambiental para la protección de las aguas continentales superficiales (CONAMA 2004), valores típicos de cuerpos de aguas superficiales (Chapman 1996), y límites de nutrientes para diferentes condiciones en cuerpos de agua dulce señalados por Camargo y Alonso (2007). En el cuadro III se muestra el nivel o intervalo deseable de los parámetros fisicoquímicos, microbiológicos y metales, así como su agrupación en los subíndices. Para asignarle una categoría a la calidad del agua, los valores de los subíndices y del IGCA obtenidos para cada sitio de muestreo fueron comparados con la escala establecida para el RWQI (Cuadro IV).

Resultados
Los parámetros de campo no mostraron variaciones temporales ni espaciales a lo largo del cauce del río San Pedro (Fig. 3). Los valores de pH se ubicaron dentro del intervalo de 6.0 a 8.5 unidades, datos en su mayoría acordes con los valores de referencia (6.5 a 8.5). La concentración de oxígeno disuelto (OD) estuvo por debajo de 1.0 mg/L en la mayoría de los sitios estudiados, salvo los que se ubicaron cerca de efluentes de plantas de tratamiento de aguas residuales (sitios 16 y 39), los cuales presentaron altos niveles de OD y una carga orgánica baja. En estos sitios la concentración de OD se incrementó hasta 5.0 mg/L, nivel aún por debajo de los valores de referencia (5.58.0 mg/L) para asegurar la sobrevivencia de la fauna acuática. Los datos de conductividad en el 88 % de los sitios de muestreo estuvieron entre 1000 y 2000 µS/cm; es decir, acordes con el nivel deseable (2000 µS/cm). El valor máximo (4000 µS/ cm) se observó en cinco estaciones de colecta distribuidas en todo el cauce (1, 7, 17, 23 y 41,), durante la campaña de sequía (Fig. 3).
Las concentraciones de materia orgánica (DQO, DBO5 y GyA) fueron en general elevadas a lo largo del cauce, y no mostraron diferencias significativas entre las campañas de muestreo (Fig. 3). En todos los casos sobrepasó entre 285 y 685 % los niveles adecuados para uso agrícola (20, 15 y 10 mg/L para DQO, DBO5 y GyA, respectivamente). Los valores más altos se observaron en la zona centro del estado (sitios del 14 al 30), con picos mayores a 4500 mg/L de DQO, 2000 mg/L de DBO5 y 250 mg/L de GyA. Las concentraciones más bajas de estos contaminantes fueron observadas en los últimos cinco sitios de colecta (39 a 43), ubicados en la zona sur de la entidad, aguas abajo del efluente de la planta de tratamiento de la Ciudad de Aguascalientes. El contenido de SAAM mostró un comportamiento muy irregular en ambas épocas de muestreo (de 0.6 a 90 mg/L), superando en todos los casos el nivel deseable (0.5 mg/L).
Los niveles de Nt y Pt fueron elevados en la mayoría de las estaciones de colecta (50 a 400 mg/L de Nt y 0.05 a 40 mg/L de Pt), sobrepasando en más del 95 % de los sitios estudiados los niveles deseados (1.0 y 0.1 mg/L para Nt y Pt, respectivamente). Estos parámetros presentaron una mayor variabilidad en la campaña posterior a las lluvias, alcanzando picos de hasta 1000 mg/L de Nt y 35 mg/L de Pt (zona centro)
Las cargas de coliformes totales y fecales fueron muy altas y ambos parámetros presentaron valores prácticamente iguales en todos los sitios. El 93 % de estos sitios superaron entre tres y seis órdenes de magnitud (100 000 a 100 000 000 NMP/100 mL) el criterio para coliformes totales (1000 NMP/100 mL) y fecales (100 NMP/100 mL).
Con respecto a las concentraciones de metales pesados, en casi todos los casos estuvieron acordes con los niveles deseables (Cuadro III), únicamente se observaron algunos sitios con valores elevados de estos xenobióticos. En términos globales, las concentraciones de metales mostraron una disminución en la campaña posterior a las lluvias (Cuadro V) y no presentaron una tendencia espacial definida.
Las concentraciones de Al y Fe fueron en general las más altas con relación al resto de los metales. Sin embargo, el contenido de Al superó el nivel deseable (5.0 mg/L) en sólo dos estaciones de colecta ubicadas en la zonas centro de la entidad (20 y 29). En el caso del Fe, únicamente sobrepasó el nivel de referencia (5.0 mg/L) en cuatro sitios cercanos a las descargas del Parque Industrial del Valle de Aguascalientes (17, 19, 20 y 29), también ubicado en la zona centro. En esta misma zona, el Hg mostró concentraciones hasta 10 veces superiores al criterio de referencia (0.003 mg/L) en cuatro sitios (16, 25, 28 y 29), y el Cr superó el nivel deseable (0.05 mg/L) en tres estaciones de muestreo (19, 23, 29). Estos resultados son consistentes con la presencia de descargas industriales en la zona centro.
El Mn presentó niveles hasta cuatro veces superiores al valor de referencia (0.2 mg/L) en ocho estaciones de colecta, dispersas en todo el cauce (sitios 5, 15, 17, 21, 29, 39, 42 y 43). El As, el Cu y el Zn únicamente sobrepasaron el nivel deseable en el sitio 29. Con respecto al Cd y Pb, ningún sitio mostró concentraciones superiores a los criterios de referencia (0.01 y 0.1 mg/L, respectivamente).
El sitio de colecta 29 presentó la problemática más severa de contenido de metales pesados. Durante el estiaje mostró los valores máximos observados de Al (54 mg/L), Fe (18.6 mg/L), As (0.07 mg/L), Cu (1.9 mg/L) y Zn (3.35 mg/L), además de una elevada concentración de Hg (0.022 mg/L) y Mn (0.72 mg/L). Estas concentraciones superaron entre 0.4 y 10 veces los niveles deseables. Sin embargo, después de las lluvias ningún metal superó el valor de referencia. No se identificaron las causas de las elevadas concentraciones de metales observadas en este sitio durante el estiaje; probablemente se deba a descargas clandestinas intermitentes, lo cual ocurre con frecuencia en todo el cauce.
El ACP presentó una variabilidad acumulada en los dos primeros componentes de 53 %, relativamente bajo considerando que lo ideal es un mínimo del 60 % de variabilidad acumulada para que los eventos puedan ser explicados en los dos primeros componentes. No obstante, dada la naturaleza del estudio, este valor no resta validez al ACP. El análisis mostró claramente que los indicadores de contaminación municipal (DQO, DBO, GyA, Pt, Nt, Anilinas, SAAM, CT y CF) presentaron las concentraciones más altas (ubicándose dentro del cuadrante positivo del primer y segundo componente, Fig. 4). Por otra parte el ACP muestra que la contaminación municipal estuvo poco correlacionada con la campaña de muestreo (CM), dado que ambos se presentan en cuadrantes distintos de la parte positiva del componente 2. En contraste, este mismo tipo de contaminación presentó una correlación inversa con el OD y el pH (dado que se encuentran en cuadrantes opuestos), lo cual se corresponde con lo esperado, debido a que la degradación microbiana de la materia orgánica presente en los residuos municipales provoca la disminución del OD y del pH.

Salvo los sitios de colecta previamente señalados, las concentraciones de metales fueron en general bajas. El ACP reveló que las concentraciones observadas de estos metales están inversamente correlacionadas con la campaña de muestreo (CM), dado que se ubican en cuadrantes opuestos. Esto confirma que se observaron diferencias significativas en las concentraciones de metales pesados entre las campañas de muestreo.
La evaluación espacial de la calidad del agua del río San Pedro, a partir del comportamiento de los diferentes subíndices del IGCA (Fig. 5A), mostró que prácticamente en todo el cauce la calidad del agua fue pobre con respecto a los parámetros de campo (subíndice sIC: pH, OD y conductividad), el contenido de materia orgánica (subíndice sIMO: DBO5, DQO y GyA), la concentración de nutrientes (subíndice sIN: Nt y Pt), los niveles de tóxicos orgánicos (subíndice sITO: SAAM, fenoles y anilinas) y la contaminación fecal (subíndice sIF: coliformes totales y fecales). En casi todo el cauce del río los valores de estos subíndices fueron entre 0 y 44, indicando que la calidad del agua estuvo casi siempre amenazada o dañada y se apartó siempre de los niveles deseables para su uso en riego agrícola.
Únicamente en las estaciones de colecta cercanas a las descargas de las plantas de tratamiento de aguas residuales, sitios 16 y 39 (San Francisco de los Romo y Ciudad de Aguascalientes), los subíndices sIC, sIMO y sIF mostraron una mejoría significativa, alcanzando valores entre 55 y 100 (calidad del agua entre aceptable y excelente); lo cual se explica por la depuración adecuada de materia orgánica y organismos coliformes en las plantas de tratamiento. En contraste, la depuración ineficiente en las plantas de tratamiento de nutrientes (sIN) y tóxicos orgánicos (sITO) derivó en un efecto poco significativo en la calidad del agua en relación con estos subíndices, los cuales conservaron valores inferiores a 44 (calidad pobre).
En las estaciones de colecta de las zonas norte y sur, el subíndice sIMP (metales pesados) estuvo dentro de las categorías de buena a excelente calidad (valores entre 88 y 100), indicando que la calidad del agua, relativa a estos contaminantes, presentó un mínimo o ausencia de amenaza y su condición rara vez se apartó o estuvo muy cercana a los niveles naturales o deseables. En contraste, en la zona centro de la entidad, donde se ubica la capital del Estado y se concentra la mayor parte de la actividad industrial, se observaron altibajos muy pronunciados de los valores de este subíndice (entre 100 y 45); indicando que la calidad del agua fue marginal y frecuentemente se apartó de los niveles naturales o deseables para uso agrícola.
El índice global de la calidad del agua (IGCA) presentó una tendencia prácticamente constante en todo el cauce del río San Pedro, mostrando valores entre 20 y 30; lo cual implica una calidad pobre, siempre alejada de las condiciones deseables para riego agrícola (Fig. 5B). Únicamente los sitios próximos a las descargas de plantas de tratamiento de aguas residuales (16 y 39) mostraron un incremento significativo en el IGCA, alcanzando valores cercanos a 50 (calidad del agua marginal). Sin embargo, la depuración de contaminantes en las plantas de tratamiento fue insuficiente, dado que la calidad del agua continuó siendo inadecuada para riego agrícola.
Discusión
La calidad del agua del río San Pedro se encontró seriamente contaminada por materia orgánica, nutrientes, tóxicos orgánicos y coliformes fecales. El pico de contaminación por materia orgánica (14 500 mg/L de DQO y 6000 mg/L de DBO5) observado en el sitio 17 (Fig. 3), coincide con la proximidad de descargas provenientes del rastro municipal de San Francisco de los Romos. Considerando los niveles deseables de calidad del agua para uso agrícola (Cuadro III), todos los sitios sobrepasaron los criterios para DQO, DBO5 Pt, Nt, anilinas y SAAM en ambas campañas de muestreo. Salvo los sitios 16 y 39, próximos a efluentes de plantas de tratamiento de aguas residuales, el resto de las estaciones de colecta no cumplieron con los niveles deseables para oxígeno disuelto (OD) y organismos coliformes. En general, las concentraciones de OD fueron al menos cuatro veces inferiores al valor deseable (5.0 mg/L), muy por debajo de los niveles requeridos para sostener la vida acuática. Los coliformes totales y fecales superaron en más de tres órdenes de magnitud los criterios para uso agrícola. Situación similar a otros ríos que reciben las descargas de grandes zonas urbanas (RiveraVázquez et al. 2007).
El alto contenido de materia orgánica deriva en bajas concentraciones de OD, lo cual coincide con el análisis de componentes principales (ACP), que mostró una correlación inversa entre el OD y las variables de materia orgánica (DBO5 DQO y GyA).
El ACP mostró una correlación significativa entre los coliformes, la materia orgánica y los nutrientes, todo ello acorde con descargas municipales. Por otra parte, mostró nula relación con la campaña de muestreo, indicando que los elevados niveles de contaminación de origen municipal no se modificaron con las lluvias. Únicamente se observó variación temporal en las concentraciones de metales pesados, mostrando concentraciones significativamente menores después de las lluvias. La causa más probable fue un efecto de dilución provocado por las lluvias. Dicho efecto no fue significativo en el resto de los parámetros debido a que la precipitación pluvial no fue suficiente para diluir las altas concentraciones de materia orgánica, nutrientes, organismos coliformes y tóxicos orgánicos (397 mm, 13 % por debaj o de la media anual estatal, SMN 2006). Adicionalmente, los escurrimientos provocados por las precipitaciones arrastran contaminantes al cauce del río, incrementando su concentración en el agua (Holguín et al. 2006).
El empleo del IGCA propuesto facilitó el manejo e interpretación de los datos obtenidos, permitiendo evaluar de forma sencilla las tendencias espaciales y la calidad global del agua del río San Pedro (Said et al. 2004, SedeñoDíaz y LópezLópez 2007). Los subíndices que lo conforman mostraron el comportamiento espacial independiente de los principales tipos de contaminantes, facilitando la comunicación de los resultados en un formato sencillo (Lumb et al. 2006).
De acuerdo con el IGCA, la calidad del agua del río San Pedro en la entidad es en general pobre, debido fundamentalmente a desechos municipales, agrícolas y pecuarios. El esfuerzo del Gobierno del Estado por incrementar la infraestructura y capacidad de saneamiento de las aguas residuales, con la puesta en marcha en los últimos años de cinco nuevas plantas de tratamiento (López 2007), no generó efectos significativos sobre el estado general del río. Por otra parte, el comportamiento de los diferentes subíndices del IGCA implica que las plantas de tratamiento en operación sólo remueven en forma eficiente materia orgánica y organismos coliformes, en tanto que los nutrientes y los tóxicos orgánicos no son depurados en forma adecuada.
La falta de patrones espaciales en las concentraciones de los parámetros evaluados es consistente con la forma desordenada e intermitente en que son vertidas al cauce las descargas de aguas residuales crudas y tratadas (Castañé et al. 1998). Esta situación se deriva del gran número de descargas clandestinas localizadas a lo largo del río y explica que únicamente se haya observado una mejoría significativa en la calidad del agua en los sitios de colecta próximos a descargas de aguas residuales tratadas.
En la zona central del estado se observó contaminación de origen industrial, lo cual se manifestó principalmente por las mayores concentraciones registradas de metales. En la temporada de sequía, la estación de colecta 29, ubicada en esta zona (municipio de Aguascalientes), presentó serios problemas de contaminación por Al, As, Fe, Cu, Mn, Hg y Cr. No obstante que el Al y Fe son los metales más abundantes en la naturaleza y su presencia puede deberse tanto a fuentes geogénicas como antrópicas (Holguín et al. 2006), los niveles observados sugieren la existencia de descargas clandestinas intermitentes de origen industrial.
La evaluación espacial de la calidad del agua del río San Pedro reflejó que el estado general de tres de sus principales afluentes es similar al del cauce principal, dado que no se apreciaron cambios significativos en el valor del IGCA en los sitios ubicados aguas abajo de las zonas de confluencia (sitio 27, Río Chicalote; sitio 37, Río Morcinique; sitio 41, Río San Francisco).
Puede concluirse que, en general, la calidad del agua del río San Pedro a lo largo del estado de Aguascalientes se encontró seriamente deteriorada, el IGCA mostró que casi siempre está alejada de los niveles adecuados para uso agrícola. La inexistencia de flujo base que presenta este río implica un mayor impacto de las descargas contaminantes; lo cual se refleja principalmente en las zonas centro y sur del estado, donde se ubica la mayor parte de la población y la actividad industrial. Las concentraciones de contaminantes observadas reflejaron un fuerte impacto provocado principalmente por descargas de aguas residuales municipales, aunado a efluentes de retorno de campos agrícolas y descargas de granjas y ranchos.
La remediación y conservación de este importante cuerpo de agua del estado de Aguascalientes requiere no sólo del incremento de la infraestructura de saneamiento de aguas residuales municipales e industriales, sino de implementar plantas de tratamiento que además de remover eficientemente materia orgánica y organismos coliformes, depuren las aguas residuales del contenido de nutrientes, tóxicos orgánicos y metales pesados que actualmente son vertidos al río. Es imprescindible controlar las descargas clandestinas y exigir el cumplimiento de las normas oficiales mexicanas a las empresas que descargan sus aguas al río San Pedro y cuerpos de agua relacionados a su cauce. Adicionalmente, es necesario un programa de monitoreo adecuado para dar seguimiento y controlar los efectos de las acciones realizadas sobre la calidad del agua, para lo cual se sugiere el uso del IGCA descrito en el presente trabajo.
Agradecimientos
Se agradece al Fondo SEMARNATCONACyT por la aportación de recursos para el proyecto "Estudio sobre los agentes, cargas contaminantes y toxicidad que afectan la cuenca del río San Pedro en el Estado de Aguascalientes" (clave FOSEMARNAT20040178). A CONACyT por la beca otorgada para la realización de los estudios de Doctorado en Ciencias Biológicas de Guilda Guzmán Colis (clave 170010).
Referencias
Alberta Environment (1995). Alberta River Water Quality Index [en línea]. http://environment.alberta.ca/1777.html#Methodology 12/03/2008. [ Links ]
APHA (1998). Standard methods for the examination of water and wastewater. 20a ed. American Public Health Association. Washington, EUA. 1325 pp. [ Links ]
AvelarGonzález F. J., RamírezLópez E. M., MartínezSaldaña M. C., GuerreroBarrera A. L., JaramilloJuárez F. y ReyesSánchez J. L. (2009). Calidad del agua en el estado de Aguascalientes y sus efectos en la salud de la población. Memorias. Primera Reunión Nacional de Investigación Sobre el Agua, Red Temática del AguaCONACYT (RETAC). En proceso de publicación. Cocoyoc, Morelos. 21 al 23 de enero, 2009. [ Links ]
Camargo J. A. y Alonso A. (2007). Contaminación por nitrógeno inorgánico en los ecosistemas acuáticos: problemas medioambientales, criterios de calidad del agua, e implicaciones del cambio climático [en línea]. http://www.revistaecosistemas.net/pdfs/486.pdf 24/09/08. [ Links ]
Castañé P. M., Loez C. R., Olguín F., Puig A., Rovedatti M. G., Topalián M. L. y Salibián A. (1998). Caracterización y variación espacial de parámetros fisicoquímicos y del plancton en un río urbano contaminado (río Reconquista, Argentina). Rev. Int. Contam. Ambie. 14, 6977. [ Links ]
CCME (1999). Guías Canadienses de la Calidad del Agua. The Canadian Council of Ministers of the Environment [en línea]. http://www.ec.gc.ca/ceqgrcqe/English/ceqg/water/default.cfm#agr. 19/09/08. [ Links ]
Chapman D. (1996). Water quality assessment. A guide to the use of biota, sediments and water in environmental monitoring. 2a. ed. UNESCO/WHO/UNEP. Champan & Hall. Londres, Reino Unido. 626 pp. [ Links ]
CONAGUA (2007). Estadísticas del agua en México. Comisión Nacional del Agua. SEMARNAT. México D. F. 626 p. [ Links ]
CONAMA (2004). Anteproyecto de normas secundarias de calidad ambiental para la protección de las aguas continentales superficiales de la Cuenca del río Aysén. Comisión Nacional del Medio Ambiente. Diario Oficial de la República de Chile. 16 de diciembre de 2004 [en línea]. http://www.sinia.cl/1292/articles34169_Aysen.pdf 02/02/10. [ Links ]
Graniel C. E. y Carrillo C. M. (2006). Calidad del agua del río Zanatenco en el Estado de Chiapas. Ingeniería 10, 3542. [ Links ]
Hess T. F., Silverstein J. y Schmidt S. K. (1993). Effect of glucose on 2, 4dinitrophenol degradation kinetics in sequencing batch reactors. Water Environ. Res. 65, 7381. [ Links ]
Holguín C., Rubio H., Olave M. E., Saucedo R., Gutiérrez M. y Bautista R. (2006). Calidad del agua del río Conchos en la región de Ojinaga, Chihuahua: Parámetros fisicoquímicos, metales y metaloides. Universidad y Ciencia 22, 5163. [ Links ]
INEGI (2006). Estadísticas demográficas 2005. Instituto Nacional de Estadística, Geografía e Informática. México, D. F. 203 pp. [ Links ]
IPROGA (1969). Reglamento de los títulos I, II y III del D. L. N° 17752 sobre Ley General de Aguas. Instituto de Promoción para la Gestión del Agua [en línea]. http://www.iproga.org.pe/index.php?option=com_content&view=article&id=70&Itemid=82. 10/06/09. [ Links ]
JáureguiMedina C. S., RamírezHernández M A., EspinozaRodríguez R., TovarRodarte R., QuinteroHernández B. y RodríguezCastañeda I. (2007). Impacto de la descarga de aguas residuales en la calidad del río Mololoa (Nayarit, México) y propuestas de solución. Rev. Latin. Rec. Nat. 3, 6573. [ Links ]
Kim A. G. y Cardone C. R. (2005). Scatterscore: A Reconnaissance Method to Evaluate Changes in Water Quality. Environ. Monit. Assess. 111, 277295. [ Links ]
López J. (2007). Estudio sobre la concentración de contaminantes en el agua del cauce del río San Pedro. Tesis de Maestría. Centro de Ciencias Básicas. Universidad Autónoma de Aguascalientes. Aguascalientes, México, 126 pp. [ Links ]
Lumb A., Halliwell D. y Sharman T. (2006). Application of CCME water quality index to monitor water quality: a case of the Mackenzie river basin, Canada. Environ. Monit. Assess. 113, 411429. [ Links ]
RicoMartínez R., VelázquezRojas C. A., PérezLegaspi I. A. y SantosMedrano G. E. (2000). The use of aquatic invertebrate toxicity test and invertebrate enzyme biomarkers to asses toxicity in the states of Aguascalientes and Jalisco. En: Biomonitors and biomarkers as indicators of environmental change. (F. M. Butterworth, A. Gunatilake y M. E. Gonsebatt, Eds.). Plennum Press, Nueva York, Vol. 2, pp. 427438. [ Links ]
RiveraVázquez R., PalaciosVélez O. L., ChávezMorales J., Belmont M. A., NikolskiGravilov I., De la Isla de Bauer M. L., GuzmánQuintero A., TerrazasOnofre L. y CarrilloGonzález R. (2007). Contaminación por coliformes y helmintos en los ríos Texcoco, Chapingo y San Bernardino tributarios de la parte oriental de la cuenca del Valle de México. Rev. Int. Contam. Ambie. 23, 6977. [ Links ]
Said A., Stevens D. K. y Sehlke G. (2004). An Innovative Index for Evaluating Water Quality in Streams. Environ. Manage. 34, 406414. [ Links ]
Samboni N. E., Carvajal Y. y Escobar J. C. (2007). Revisión de parámetros fisicoquímicos como indicadores de calidad y contaminación del agua. Ingeniería e Investigación 27, 172181. [ Links ]
SedeñoDíaz J. E. y LópezLópez E. (2007). Water Quality in the Rio Lerma, Mexico: An Overview of the Last Quarter of the Twentieth Century. Water Resour Manage 21,17971812. [ Links ]
SEDUE (1989). Acuerdo por el que se establecen los Criterios Ecológicos de la Calidad del Agua CECCA0011989. Secretaría Desarrollo Urbano y Ecología. Diario Oficial de la Federación. 02 de diciembre de 1989. [ Links ]
SMN (2006). Datos de temperatura y precipitación. Sistema Meteorológico Nacional [en línea]. http://smn.cna.gob.mx.13/10/2007. [ Links ]













