Servicios Personalizados
Revista
Articulo
Indicadores
Links relacionados
-
Similares en
SciELO
Compartir
Revista internacional de contaminación ambiental
versión impresa ISSN 0188-4999
Rev. Int. Contam. Ambient vol.24 no.2 Ciudad de México may. 2008
Factores geológicos y climáticos que determinan la peligrosidad y el impacto ambiental de Jales Mineros
Geological and climatic factors determining hazard and environmental impact of mine tailings
Francisco Martín ROMERO1, María Aurora ARMIENTA2, Margarita Eugenia GUTIÉRREZ3 y Guadalupe VILLASEÑOR1
1 Universidad Nacional Autónoma de México, Instituto de Geología, Ciudad Universitaria, México DF 04510, México. Correo electrónico: fmrch@geologia.unam.mx
2 Universidad Nacional Autónoma de México, Instituto de Geofísica, Ciudad Universitaria, México DF 04510, México
3 Universidad Nacional Autónoma de México, Instituto de Geografía, Ciudad Universitaria, México DF 04510, México
(Recibido noviembre 2007, aceptado febrero 2008)
RESUMEN
Se realizó un estudio geoquímico comparativo en jales oxidados ubicados en las regiones mineras de NacozariSonora (depósito de sulfuros de Cu tipo pórfido cuprífero), Santa BárbaraChihuahua (vetas hidrotermales con sulfuros de PbZnCu), ZimapánHidalgo ("skarn" con sulfuros de PbZnAg) y TaxcoGuerrero (vetas hidrotermales con sulfuros de PbZn). Estos residuos mineros se estudiaron con el fin de valorar su capacidad para la generación de drenaje ácido y evaluar la importancia de las particularidades geológicas y climáticas en su peligrosidad e impacto para el ambiente. Consecuente con la mineralogía de los yacimientos explotados, los jales de Nacozari contienen concentraciones totales bajas de As (8.9 mg kg-1), Pb (< 20 mg kg-1) y Zn (91 mg kg-1) y concentraciones totales altas de Cu (535 mg kg-1) y Fe (6.8 %); mientras que los jales de Santa Bárbara se caracterizan por contener concentraciones totales altas de As (1140 mg kg-1), Pb (6669 mg kg-1), Zn (12531 mg kg1) y Cu (851 mg kg-1). Sin embargo, en los jales de Santa Bárbara se determinaron las concentraciones totales más bajas de Fe (3.4 %). En los jales de Zimapán se determinaron las mayores concentraciones totales de As (12735 mg kg-1) y Fe (16.5 %) y altas concentraciones totales de Pb (2034 mg kg-1), Zn (2982 mg kg-1) y Cu (600 mg kg-1). Finalmente, las concentraciones totales de elementos potencialmente tóxicos (EPT) en los jales de Taxco son 585 mg kg-1 As, 1479 mg kg-1 Pb, 460 mg kg-1 Zn, 72 mg kg-1 Cu y 9.4 % Fe. Las concentraciones totales altas de Fe en los jales de Nacozari, Zimapán y Taxco indican la abundancia relativa de sumiros de Fe, principalmente pirita. La oxidación de la pirita y la insuficiencia de minerales con potencial de neutralización ha producido valores bajos de pH en los lixiviados de estos jales: pHZimapán = 2.6, pHTaxco = 2.8 y pHNacozari = 3.0. En los jales de Nacozari se forman lixiviados ácidos con sulfatos, Cu, Zn y Fe disueltos, mientras que en los jales de Zimapán y Taxco los lixiviados ácidos adicionalmente contienen As y Pb disueltos. Estos resultados indican que en Zimapán y Taxco existe un mayor riesgo ambiental, ya que los lixiviados ácidos con EPT disueltos drenan a los arroyos del entorno y, aunque no afectan la calidad de las aguas superficiales, provocan la acumulación de EPT en los sedimentos. Los resultados químicos y mineralógicos en los jales de Santa Bárbara indican la abundancia de calcita y bajo contenido de pirita. Los valores de pH en los lixiviados de estos jales son ligeramente superiores al neutro (pH = 8.4) y se caracterizan por las bajas concentraciones de EPT disueltos, lo que indica que la capacidad de neutralización ha sido suficiente para consumir la acidez generada por la oxidación de los sulfuros metálicos. Los resultados de este estudio permiten concluir que la mineralogía de los yacimientos minerales explotados es el principal factor que determina la generación de drenaje ácido en los jales estudiados y que las características climáticas son determinantes en los procesos que provocan la dispersión de estos residuos y sus lixiviados al entorno.
Palabras clave: jales mineros, drenaje ácido, factores geológicos y climáticos
ABSTRACT
A comparative geochemical study was conducted within oxidized tailings in mining regions of NacozariSonora (Cusulfide of porphyry copper deposits), Santa BárbaraChihuahua (PbZnCu hydrothermal veins), ZimapánHidalgo (PbZnAg skarn) and TaxcoGuerrero (PbZnCu hydrothermal veins). These mining wastes were studied in order to evaluate the capacity of acid drainage generation and to evaluate the importance of geological and climatic factors in their potential hazard and environmental impact. Consequent with the main mineralogy of the exploited ore bodies, the Nacozari's tailings contain low total concentrations of As (8.9 mg kg-1), Pb (< 20 mg kg-1) and Zn (91 mg kg-1) and high total concentrations of Cu (535 mg kg-1) and Fe (6.9 %); whereas tailings from Santa Bárbara are characterized by the high total concentrations of As (1140 mg kg-1), Pb (6669 mg kg-1), Zn (12531 mg kg-1) and Cu (851 mg kg-1). However, the lowest concentration of Fe (3.4 %) was measured in the Santa Bárbara's tailings. In tailings from Zimapán were determined the highest total concentrations of As (12735 mg kg-1) and Fe (16.5 %), and high total concentrations of Pb (2034 mg kg-1), Zn (2982 mg kg-1) and Cu (600 mg.kg-1). Finally, total concentrations of potentially toxic elements (PTE) in tailings from Taxco are 585 mg kg-1 As, 1479 mg kg-1 Pb, 460 mg kg-1 Zn, 72 mg kg-1 Cu and 9.4 % Fe. The high total Fe concentrations in tailings from Nacozari, Zimapán and Taxco indicate the relative abundance of Fesulfides, mainly pyrite. Oxidation of pyrite and insufficiency of acidneutralizing minerals have produced low pH values in tailing leachates: pHZimapán = 2.6, pHTaxco = 2.8 and pHNacozari = 3.0. Acidic leachates of Nacozari's tailings contain high concentration of dissolved SO42-, Fe, Cu and Zn. The acidic leachates of tailings from Zimapán and Taxco additionally contain dissolved As and Pb. These results indicate that in Zimapán and Taxco there is a greater environmental risk because the acidic leachates that contain high concentrations of PTE drain to streams of the surroundings and although they do not affect the quality of waters, cause the accumulation of PTE in sediments. Chemical and mineralogical results of tailing from Santa Bárbara indicate the abundance of calcite and low pyrite content in these tailings. The pH values of leachates from Santa Bárbara's tailings are slightly above neutral (pH = 8.4) and are characterized by the lowest concentrations of dissolved PTE, which indicates that the acidneutralizing capacity of the tailings has been sufficient to consume the acidity generated by sulphide oxidation. The results of this study allow to conclude that the mineralogy of the exploited ore bodies is the main factor that influences the acid drainage generation from the studied tailings impoundment, and climatic factors are determining in the processes that cause the dispersion of these mine waste and its leachates to the surroundings.
Key words: mine tailings, acid drainage, geological and climatic factors
INTRODUCCIÓN
El proceso de beneficio de yacimientos minerales sulfurados por flotación selectiva produce residuos de granulometría fina denominados jales. Generalmente, estos jales contienen sulfuros metálicos residuales como pirita (FeS2), pirrotita (Fe1xS), galena (PbS), esfalerita (ZnS), calcopirita (CuFeS2) y arsenopirita (FeAsS), que son la fuente de elementospotencialmente tóxicos (EPT) como el As, Cd, Pb, Cu, Zn, Fe, etc. (Romero et al, 2007).
El principal problema ambiental asociado a los jales se relaciona con la dispersión de los mismos hacia su entorno. En las zonas lluviosas, esta problemática ambiental está relacionada con la generación de drenaje ácido y su dispersión a través de los escurrimientos superficiales (dispersión hídrica), mientras que en las zonas áridas se relaciona con la dispersión provocada por el viento (dispersión eólica).
El drenaje ácido se genera por la oxidación de los sulfuros metálicos y son soluciones que se caracterizan por tener valores bajos de pH y altas concentraciones de EPT disueltos (Lin 1997, Johnson et al. 2000, Roussel et al. 2000, Moncur et al. 2004) que, al transportarse, pueden convertirse en un problema ambiental severo al contaminar suelos, sedimentos, aguas superficiales y subterráneas (Bain et al. 2000, Armienta et al. 2001, Jung 2001).
Para que ocurra la oxidación en los jales es necesario que contengan sulfuros metálicos reactivos y que existan las condiciones climáticas apropiadas (aire y agua o atmósfera húmeda); por lo que la oxidación es generalmente muy limitada durante la operación y se desarrolla lentamente a lo largo del tiempo, después de que cesa la acumulación de jales en el depósito y la porosidad en el mismo permite la difusión del oxígeno atmósferico. Sin embargo, la oxidación de los sulfuros metálicos no siempre produce drenaje ácido, ya que la tendencia de los jales para generarlo es una función del balance entre los minerales productores de ácido (sulfuros metálicos) y los minerales con capacidad de neutralización (carbonatos, hidróxidos y aluminosilicatos). En general, cuando la capacidad de neutralización excede al potencial de generación de ácido, se consumirá toda la acidez generada y las soluciones que drenen del depósito de jales tendrán un pH cercano al neutro.
Por otro lado, el desarrollo de otros procesos geoquímicos y físicos puede controlar la acidez, la movilidad y la dispersión de los EPT en los depósitos de jales.
La disolución y alteración de algunos minerales como calcita, wollastonita, gibsita goetita, feldespatos, etc., involucra el consumo de protones, lo que contribuye de manera determinante en el proceso de neutralización de las soluciones ácidas generadas por la oxidación de sulfuros metálicos en los jales (Lin 1997, Holmstron et al. 1998, Morin y Hutt 2001). Los oxihidróxidos de hierro tienen una gran capacidad para la adsorción y coprecipitación de arsénico y metales pesados. Muchos autores han reportado que la sorción de los EPT en los oxihidróxidos de hierro es el principal control de su movilidad (Levy et al. 1997, Lin 1997, Foster et al. 1998, McGregor et al. 1998, Savage et al. 2000, Dold y Fontbote 2001, Holmstrom y Ohlander 2001, Ljungberg y Ohlander 2001, CourtinNomade et al. 2003, Fukushi et al. 2003, Moncur et al. 2004). Otros autores reportan que la precipitación de minerales secundarios como anglesita, beudantita y escorodita, es un control importante en la movilidad de los EPT liberados durante la oxidación de los sulfuros metálicos en los jales (Foster et al. 1998, Roussel et al. 2000, CourtinNomade et al. 2002, Paktunc et al. 2004, Romero et al. 2007).
Se realizó un estudio geoquímico comparativo en jales oxidados de cuatro regiones mineras de México con diferentes condiciones geológicas y climáticas con los objetivos de: i) Evaluar la peligrosidad de los jales en función de su capacidad para la generación de drenaje ácido. ii) Relacionar la peligrosidad de los jales con las particularidades geológicas de cada sitio. iii) Valorar el impacto potencial al ambiente considerando las particularidades climáticas de cada zona.
MATERIALES Y MÉTODOS
Descripción de los sitios de estudio
Se seleccionaron jales oxidados de depósitos inactivos que provienen de la explotación de diferentes yacimientos minerales de cobre, plomo y zinc y que se ubican en las regiones mineras de NacozariSonora, Santa BárbaraChihuahua, ZimapánHidalgo y TaxcoGuerrero (Fig. 1). En las zonas de estudio existen condiciones geológicas y climáticas diferentes.

La región de Nacozari se localiza en el estado de Sonora, en la parte noroeste de México, donde el clima es cálido seco con temperatura media anual de 18.3 °C. Los registros históricos indican un promedio anual de 400 mm de precipitación pluvial y 2800 mm de evaporación potencial (CNA 2002a). La precipitación máxima ocurre en el mes de julio con valores de 150 mm y la precipitación mínima sucede en el mes de abril con valores menores a 10 mm. Los yacimientos minerales importantes son de cobre del tipo pórfido cuprífero, siguiéndole en importancia las chimeneas brechoides. Los estudios reportan calcopirita (FeCuS2) y calcosita (CuS) como los sulfuros metálicos de interés comercial, y lutitas, andesitas y dioritas como la roca encajonante. Este yacimiento se caracterizó por la presencia de pirita (FeS2) y contenido bajo de esfalerita (ZnS) (COREMI 1999). No se reporta la presencia de otros sulfuros metálicos como galena (PbS) y arsenopirita (FeAsS).
La región de Santa Bárbara se encuentra en el estado de Chihuahua, en la parte norcentral de México, donde el clima es semiárido con temperatura media anual de 17.2 °C. Los registros históricos indican un promedio anual de 507 mm de precipitación pluvial y 2292 mm de evaporación potencial (CNA 1997). La precipitación máxima tiene lugar en julio con valores de 122 mm y la precipitación mínima en marzo con valores de 2.2 mm. Los yacimientos minerales importantes de la región son vetas hidrotermales con sulfuros de PbCuZn. Los minerales se encuentran encajonados en lutitas calcáreas del cretácico. Los sulfuros metálicos reportados en este yacimiento son: esfalerita (ZnS), galena (PbS), calcopirita (FeCuS2), pirita (FeS2) y arsenopirita (FeAsS). Entre los minerales transparentes más abundantes se reportan el cuarzo y la calcita, y en menor proporción fluorita, epídota, ortoclasa y clorita (IMMSA 1995).
La región de Zimapán se encuentra en la parte central de México, donde el clima es semiseco y semiseco templado, con temperatura media anual de 17 °C. Los registros históricos indican un promedio anual de 500 mm de precipitación pluvial y 1500 mm de evaporación potencial (CNA 2002b). La precipitación máxima ocurre en junio con valores de 80 mm y la precipitación mínima sucede en marzo con valores de 2.2 mm. Los yacimientos minerales importantes de la región son polimetálicos de PbZnAg del tipo "skarn", chimeneas, mantos y vetas. La mineralización está encajonada en rocas calizas del cretácico. Los sulfuros metálicos reportados son pirita (FeS2), pirrotita (Fe1xS), esfalerita (ZnS), galena (PbS), calcopirita (FeCuS2) y arsenopirita (FeAsS). Los minerales transparentes más abundantes son cuarzo, calcita, feldespatos y wollastonita (COREMI 1992).
La región de Taxco se localiza en el estado de Guerrero, en la parte suroeste de México, con un clima tropical subhúmedo y temperatura promedio anual de 28 °C. El registro histórico de precipitaciones indica un promedio anual del orden de los 1000 mm (INEGI 1999). En zonas cercanas al sitio de estudio se reportan valores de evaporación potencial anual de 1806 mm (CNA 2002c). La precipitación máxima ocurre en septiembre con valores de 300 mm y la precipitación mínima sucede en febrero con valores de 1.2 mm. Los yacimientos minerales importantes de la región son vetas hidrotermales con sulfuros de PbZn encajonadas en lutitas, calizas y areniscas del cretácico. Los sulfuros metálicos reportados son pirita (FeS2), esfalerita (ZnS), galena (PbS) y arsenopirita (FeAsS). Los minerales transparentes más abundantes son cuarzo, calcita y feldespatos potásicos (IMMSA 1973).
Muestras y análisis de laboratorio
Se colectaron un total de 48 muestras de jales oxidados. En los jales de Nacozari fueron 18 muestras en el denominado "Depósito III", en Santa Bárbara se obtuvieron 6 muestras en el depósito "Colorados"; en Zimapán se colectaron 10 muestras en el depósito "Cia Zimapán". Finamente, en la región de Taxco se colectaron 14 muestras en el depósito de jales denominado "Guerrero".
En todas las muestras se determinaron el pH y la conductividad eléctrica (CE), para lo cual se prepararon suspensiones de las muestras homogenizadas en una relación sólido: agua de 1:5. Se determinaron las concentraciones totales de arsénico, plomo, zinc, cobre y hierro, para lo cual las muestras se pulverizaron hasta obtener una granulometría inferior a la malla 200 y fueron digeridas con ácido nítrico en horno de microondas. Asimismo, se determinaron las concentraciones geodisponibles de los EPT de interés de acuerdo con el procedimiento establecido en la Norma Oficial Mexicana NOM141 (2003), que consiste en obtener extractos para análisis químicos a partir de la agitación de las muestras sólidas con agua en equilibrio con la atmósfera (pH = 5.5 ± 0.2) en una relación sólido líquido de 1:20. Estos extractos representan los lixiviados que se formarían en los jales al contacto con agua de lluvia.
Los análisis de las concentraciones totales y geodispoinbles de los EPT de interés se realizaron por espectroscopía de absorción atómica con generación de hidruros (AAGH) en el caso del arsénico y espectroscopía de emisión atómica inductivamente acoplada a plasma (ICPAES) para los otros elementos. La calidad de los resultados de los análisis químicos se controló a través de análisis de muestras duplicadas (precisión del método) y análisis del material de referencia para jales mineros RTS3 Canadian Certified Reference Materials (exactitud del método). Los análisis de las muestras duplicadas indicaron que la repetibilidad varía entre 3 y 8 % y se obtuvo entre 92 y 116 % de recuperación de los EPT en las muestras del material de referencia, es decir de exactitud del método.
El análisis mineralógico se realizó por difracción de rayos X utilizando un difractómetro Philips modelo 1130/96 (generador) y PW 1050/25 (goniómetro) utilizando radiación CuKα.
RESULTADOS Y DISCUSIÓN
El método de construcción de los cuatro depósitos de jales estudiados permitió la formación del denominado "vaso" en el centro de los depósitos, donde se almacenaron los jales de granulometría fina (lamas), y la formación del denominado "talud", que conforma la cortina contenedora, en la periferia de los depósitos, donde se depositaron los jales de granulometría gruesa. Los cuatro depósitos de jales estudiados han estado inactivos desde hace más de 30 años.
La composición mineralógica de los jales estudiados se presenta en el cuadro I. La mineralogía de estos jales oxidados está dominada por el cuarzo (SiO2) y el yeso (CaSO4.2H2O), que es el mineral secundario más común que caracteriza a los jales oxidados (McGregor et al. 1998, Johnson et al. 2000, Romero et al. 2007). En los jales de Zimapán y Taxco se identificó una mayor variedad de minerales secundarios de Fe como lepidocrocita (γFeOOH), jarosita (KFe3[SO4]2[OH]6), rosenita (FeSO4.4H2O) y beundantita (PbFe3[SO4] [AsO4] [OH]6). Asimismo, en los jales de Taxco se identificó caolinita que es un mineral secundario que proviene de la alteración de los feldespatos potásicos en ambientes ácidos. Esta variedad de minerales secundarios en los jales de Taxco y Zimapán indica que el proceso de oxidación/neutralización ha sido intenso y reflejan la abundancia relativa de los elementos potencialmente tóxicos como el Fe, As y Pb que forman parte de la composición de los minerales identificados.

Por otro lado, en los jales oxidados de Zimapán también se observó pirita, que es el mineral cuya oxidación se considera como la principal fuente de generación de acidez (Balistrieri et al. 1999, Dold y Fontbote 2001). La presencia de pirita en los jales oxidados de Zimapán sugiere su abundancia relativa, lo que implica que estos jales aún tienen potencial para seguir oxidándose y en consecuencia, para seguir generando acidez. En los jales oxidados de Santa Bárbara, además de los oxihidróxidos de Fe (goetita [αFeOOH] y hematita [Fe2O3]) se identificó calcita, que es el principal mineral con capacidad de neutralización (Lin 1997, Morin y Hutt 2001) lo que indica que los jales oxidados de Santa Bárbara aún poseen minerales con alto potencial de neutralización.
En los jales de Nacozari, adicional al cuarzo (SiO2) y al yeso (CaSO4
2H2O), se identificaron lepidocrocita (γFeOOH) y sulfato de cobre (CuSO4), lo que refleja la abundancia relativa de los elementos potencialmente tóxicos como el Fe y el Cu que forman parte de la composición de estos minerales secundarios.
En el cuadro II se presentan los resultados de los valores de pH, conductividad eléctrica (CE) y concentración total de los elementos potencialmente tóxicos analizados (As, Pb, Cu, Zn y Fe).
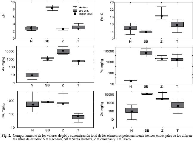
Los resultados de los valores de pH indican que la capacidad de generación de drenaje ácido en los jales de los diferentes sitios de estudio descienden en el siguiente orden: Zimapán (pH = 2.6) > Taxco (pH = 2.8) > Nacozari (3.0) > Santa Bárbara (pH = 8.4). En general, se puede observar que los valores más bajos de pH (ácidos) determinados en los jales oxidados de Zimapán, Taxco y Nacozari se corresponden con las mayores concentraciones de Fe. En cambio, en los jales de Santa Bárbara, donde las concentraciones de Fe son relativamente bajas, el pH es neutro y ligeramente básico (Cuadro II, Fig. 2).
Los valores más altos de conductividad eléctrica se determinaron en los jales de Nacozari (CE = 2490 12025 µS/cm) y le siguen en orden descendente los jales de Taxco (CE = 22107310 µS/cm), Zimapán (2570 4130 µS/cm) y Santa Bárbara (CE = 55 1592 µS/cm). Estos valores relativamente altos de CE en los jales de Nacozari, Zimapán y Taxco indican la presencia de minerales solubles en el medio ácido como el yeso y oxihidróxidos de Fe que fueron identificados por DRX. Los valores más altos de CE en Nacozari y Zimapán se pueden explicar por la presencia adicional de sulfato de cobre y sulfato de hierro, respectivamente.
De acuerdo con la composición mineralógica, los valores de pH y la conductividad eléctrica de los jales oxidados de Nacozari, Zimapán y Taxco, se puede concluir que la oxidación de los sulfuros metálicos liberó protones, con lo cual se dieron las condiciones necesarias para la generación de drenaje ácido. En cambio, en Santa Bárbara, la capacidad de neutralización ha sido suficiente para consumir la acidez generada por la oxidación de los sulfuros metálicos.
En general, los valores de las concentraciones totales de los elementos potencialmente tóxicos en los jales de los diferentes sitios de estudio (Cuadro II, Fig. 2) decrecen en el siguiente orden: Zimapán > Santa Bárbara > Taxco > Nacozari.
Los jales de Zimapán se caracterizan por presentar las mayores concentraciones totales de arsénico (3815 40853 mg kg-1) y concentraciones totales relativamente altas de plomo (1444 4056 mg
kg-1), zinc (2218 17430 mg kg-1) y cobre (489 3476 mg kg 1). Estos resultados son congruentes con el hecho de que en el yacimiento mineral de PbZnAg del "skarn" de Zimapán se reportan, entre los principales sulfuros metálicos de la mena, la galena (PbS), la esfalerita (ZnS), la arsenopirita (FeAsS) y la calcopirita (FeCuS2) (COREMI 1992).
Los jales de Santa Bárbara se caracterizan por presentar las mayores concentraciones de plomo (283616881 mg kg-1) y zinc (10336 21059 mg kg-1) y concentraciones relativamente altas de arsénico (6512754 mg kg-1) y cobre (716 1578 mg kg-1), lo que es congruente, con el hecho de que en las vetas polimetálicas de PbZnCu de Santa Bábara se reporta que entre los principales sulfuros metálicos de la mena están la galena (PbS), la esfalerita (ZnS), la arsenopirita (FeAsS) y la calcopirita (FeCuS2) (IMMSA 1995).
Los jales de Taxco se caracterizan por las siguientes concentraciones totales de elementos potencialmente tóxicos: arsénico = 190 800 mg kg1, plomo = 378 4932 mg kg1, zinc = 58 2949 mg kg1 y cobre = 25 122 mg kg1. Estos resultados son congruentes con el hecho de que en las vetas polimetálicas de PbZnAg de Taxco se reporta que entre los principales sulfuros metálicos de la mena están la galena (PbS), la esfalerita (ZnS), la arsenopirita (FeAsS) y no se reportan sulfuros de cobre (IMMSA 1973).
En los jales de Nacozari se determinaron concentraciones totales de arsénico relativamente bajas (3 31 mg
kg-1) y las de plomo son inferiores al límite de detección (LD) de la técnica de análisis (LD del plomo = 20 mg kg-1). Por otro lado, se determinaron concentraciones totales de zinc entre 10 y 619 mg kg1 y cobre entre 144 y 4758 mg kg1. Estos resultados son consistentes con el hecho de que en el yacimiento cuprífero de Nacozari los sulfuros metálicos más importantes son la calcopirita (FeCuS2) y la calcosita (CuS) y se caracteriza por el bajo contenido de otros sulfuros metálicos como la esfalerita y la ausencia de galena y minerales de arsénico (COREMI 1999).
El medio ácido en los jales de Zimapán, Taxco y Nacozari favorece la disolución de minerales que contienen EPT, por lo que las concentraciones geodisponibles de los EPT en los lixiviados acuosos de estos jales son mayores que las determinadas en los jales de Santa Bárbara, donde las condiciones de neutralidad y ligeramente básicas no favorecen la disolución de las fases sólidas que contienen EPT (Cuadro II).
En el cuadro III se presentan las concentraciones de elementos potencialmente tóxicos disueltos en los lixiviados acuosos de los jales (concentraciones geodisponibles). Estos resultados indican que la peligrosidad del drenaje que podría formarse en los jales de los diferentes sitios de estudio descienden en el siguiente orden: Zimapán > Taxco > Nacozari > Santa Bárbara.
En los jales oxidados de Zimapán se determinaron las mayores concentraciones geodisponibles de sulfatos (1508 3625 mgL-1), arsénico (0.4 48.7 mgL-1), plomo (No detectado 1.8 mgL-1), cobre (2.5 25.5 mgL-1), hierro (71.3 897.7 mgL-1) y zinc (22.5 400 mgL-1). En orden descendiente, siguen las concentraciones geodisponibles en los lixiviados de los jales oxidados de Taxco donde se determinaron las siguientes concentraciones geodisponibles: sulfatos = 781 4002 mgL-1, arsénico = 0.04 3.2 mgL-1, plomo = No detectado 0.5 mgL-1, cobre = No detectado 4.7 mgL-1, hierro = No detectado 130.2 mgL1 y zinc = 2.4 185.5 mgL-1.
La naturaleza mineralógica y química de los jales de Zimapán y Taxco, donde el promedio de las precipitaciones pluviales es de 500 y 1000 mm anuales, respectivamente, son los factores que determinan que en estos sitios se favorezca la formación de soluciones ácidas con EPT disueltos (drenaje ácido) en época de lluvias. Es importante destacar que en Zimapán y Taxco el régimen de evaporación es 3.75 y 1.8 veces mayor que el de las precipitaciones, respectivamente, lo que indica que la escorrentía superficial que se forma en épocas de lluvia podría ser más importante que la infiltración, por lo que el mayor riesgo ambiental que representan estos jales oxidados es la dispersión del drenaje ácido hacia los arroyos de la zona con la subsecuente afectación de aguas superficiales y sedimentos.
Sin embargo, Armienta et al. (2004) reportan valores de pH básicos en el agua del arroyo al cual drenan los lixiviados ácidos de los jales oxidados de Taxco debido a la presencia de rocas calizas del entorno. Estos mismos autores reportan que aunque las concentraciones de As, Pb, Zn y Fe en los sedimentos de este arroyo son relativamente altas, las concentraciones solubles en el agua, en época de lluvia, no superan los límites permisibles para agua de consumo humano indicados por las autoridades ambientales mexicanas y concluyen que los EPT en el agua de este arroyo son transportados, principalmente, en forma de partículas. Asimismo, estudios realizados en este arroyo por LAFQA (2006) indican que la calidad del agua superficial no ha sido afectada por los EPT del drenaje ácido de los jales estudiados, lo cual se debe a que los lixiviados ácidos, al entrar en contacto con las aguas superficiales del arroyo, se neutralizan por el efecto de dilución, y bajo las condiciones neutras o ligeramente básicas los metales como el Fe, Cu, Pb y Zn tienden a separarse de la fase acuosa y pueden precipitar como carbonatos, óxidos e hidróxidos que limitan su movilidad. Igualmente, el arsénico puede ser retenido en las superficies de los oxihidróxidos de Fe por fenómenos de sorción. Los estudios de LAFQA (2006) concluyen que el impacto ambiental de los jales oxidados de Taxco se ha limitado a que los EPT se han concentrado en los sedimentos.
La dispersión eólica de los jales oxidados de Zimapán y Taxco no representa un riesgo de consideración para el ambiente, ya que, debido a las altas concentraciones de Fe total, durante el proceso de oxidación/neutralización precipitan muchos minerales secundarios de Fe que favorecen la formación de capas cementadas que le dan estabilidad física a los jales de los depósitos, por lo que el arrastre de estos jales por erosión eólica es limitado. Estudios anteriores, realizados en jales oxidados de Taxco (Romero et al. 2007), señalan que las capas cementadas también sirven como una barrera química donde se retienen los elementos potencialmente tóxicos por procesos de sorción y precipitación.
En los jales de Nacozari, la concentraciones geodisponibles de los elementos de naturaleza tóxica (As y Pb) en los lixiviados acuosos no fueron detectados por la técnica de análisis; en cambio, las concentraciones de otros metales analizados fueron relativamente altas: sulfatos (3.5 4300 mgL-1), Fe (0.2 203 mgL-1), Cu (1.2 173 mgL-1) y Zn (0.2 25.6 mgL-1). Estos resultados son congruentes con el hecho de que en las muestras sólidas de los jales de Nacozari, las concentraciones de As fueron muy bajas y las de plomo no fueron detectadas (Cuadro II); en cambio, las de Fe, Cu y Zn fueron relativamente altas.
Considerando que en los jales oxidados de Nacozari los valores de pH son ácidos y las precipitaciones pluviales son del orden de los 400 mm anuales, se propicia la formación de soluciones ácidas en épocas de lluvia; pero debido a las bajas concentraciones totales de As y Pb este drenaje ácido no contiene estos elementos tóxicos disueltos, por lo que el riesgo ambiental que representan para el entorno disminuye sustancialmente. Sin embargo, es posible la formación de lixiviados ácidos con sulfatos, hierro, cobre y zinc disueltos.
En Nacozari, el régimen de evaporación es hasta siete veces mayor que el de las precipitaciones, lo que indica que la escorrentía superficial que se forma en épocas de lluvia podría ser más importante que la infiltración; portante, el mayor riesgo ambiental que representan estos jales es la dispersión del lixiviado ácido hacia los arroyos de la zona, con la subsecuente afectación de aguas superficiales y sedimentos. Estudios realizados en los arroyos de la zona (LAFQA, 2005) indican que la calidad del agua superficial no ha sido alterada y que la afectación de los lixiviados ácidos de estos jales se limita a los sedimentos. Esta afectación diferenciada se debe a que, al entrar los lixiviados ácidos en contacto con las aguas superficiales, se neutralizan por efectos de dilución, y bajo condiciones neutras o ligeramente básicas los metales tienden a separase de la fase acuosa y precipitar como carbonatos, óxidos e hidróxidos que limitan su movilidad.
Debido a que el depósito estudiado de jales en Nacozari está rodeado de montañas, su dispersión eólica no representa un riesgo de consideración para los suelos del entorno. Por otro lado, las concentraciones relativamente altas de Fe total propician la precipitación de minerales secundarios de Fe que le dan estabilidad física a los jales de este depósito, lo que disminuye la posibilidad de su dispersión debido a la erosión eólica.
En los jales de Santa Bárbara, a pesar de las altas concentraciones totales de los elementos potencialmente tóxicos (Cuadro II), al no haber condiciones de acidez, éstos no se liberan al ambiente debido a que en el medio neutro, el Fe liberado precipita en forma de oxihidróxidos. Los oxihidróxidos de Fe precipitados, debido a su gran capacidad para retener tanto aniones como cationes a través de procesos de sorción (Dzombak and Morel 1990, Blowes et al. 1991, McGregor et al. 1998), pueden retener As, Pb, Cu y Zn. Por lo tanto, se puede afirmar que los jales estudiados de Santa Bárbara no representan un riesgo ambiental de consideración para el entorno, como lo corrobora el hecho de que las concentraciones geodisponibles de los elementos de naturaleza tóxica son muy bajas e inferiores a los límites señalados en la Norma Oficial Mexicana en Materia de jales NOM141 (2003). Las concentraciones de EPT en los lixiviados fueron bajas (As = no detectado 0.02 mgL1; Pb no detectado). Asimismo, las concentraciones de Fe y Cu en los lixiviados fueron inferiores al límite de detección (LD) de la técnica de análisis (LDFe = 0.05 mgL-1 y LDCu = 0.02 mgL-1), las concentraciones de Zn variaron entre no detectado y 0.3 mgL-1 y las de sulfatos variaron entre 3.1 y 304 mgL-1. Estos valores permiten inferir la existencia de sales solubles de sulfatosZn, que pueden ser producto de la oxidación de los sulfuros de Zn ó de los reactivos residuales utilizados en el proceso de beneficio.
En Santa Bárbara el régimen de evaporación es hasta cuatro y media veces mayor que el de las precipitaciones, lo que indica que la escorrentía superficial que se forma en épocas de lluvia podría ser más importante que la infiltración; pero al no haber condiciones para la formación de drenaje ácido en estos jales, no hay un riesgo ambiental de consideración para los arroyos del entorno. Es importante recalcar que las bajas concentraciones de Fe total y en consecuencia poco contenido de pirita en estos jales y la abundancia de calcita son los factores determinantes para que en los jales de Santa Bárbara no exista la posibilidad de formación de drenaje ácido. Sin embargo, las bajas concentraciones de Fe no propiciaron la formación de capas compactas en el depósito, por lo que la erosión de estos jales por la acción de las escorrentías superficiales y el viento pueden provocar su dispersión con la subsecuente afectación de suelos y sedimentos de los arroyos del entorno, por lo que se requiere implementar medidas para evitar su dispersión hídrica y eólica.
CONCLUSIONES
Los resultados de este estudio indican que, en la generación de drenaje ácido en los jales mineros, el factor más importante es el geológico, especialmente la mineralogía de la mena y de la roca encajonante del yacimiento del cual provienen. Por su parte, los factores climáticos son determinantes en los procesos que provocan la dispersión de estos residuos y sus lixiviados al entorno. La abundancia relativa de sulfuros de hierro cuya oxidación produce acidez y calcita cuya disolución consume la acidez generada en los jales inalterados es la que determina su capacidad para la generación de drenaje ácido (peligrosidad) una vez que han ocurrido los fenómenos de oxidación/neutralización (jales oxidados). Asimismo, la presencia de los sulfuros de Fe y calcita es determinante en la precipitación de minerales secundarios que se forman como producto de los procesos geoquímicos que ocurren. La presencia de otros sulfuros metálicos y otros minerales con potencial de neutralización no parece ser determinante en la generación de drenaje ácido en los jales mineros; pero su contribución es importante en la formación de los minerales secundarios. El papel de los minerales secundarios que se forman en los jales es muy importante desde el punto de vista ambiental, ya que de ellos depende la estabilidad química de los EPT en los jales oxidados y además contribuyen a la estabilidad física del depósito.
AGRADECIMIENTOS
Los autores agradecen a G. GonzálezHernández, O. Cruz del Instituto de Geofísica y H. Hernández, H. Rivas y P. Fernández del Instituto de Geografía por su asistencia en la preparación de muestras y análisis de laboratorio.
REFERENCIAS
Armienta M. A., Villaseñor G., Rodríguez R., Ongley L.K. y Mango H. (2001). The role of arsenicbearing rocks in groundwater pollution at Zimapán Valley, Mexico. Environ. Geol. 40, 571581. [ Links ]
Armienta M.A., Talavera O., Villaseñor G., Espinosa E., PérezMartínez I., Cruz O., Ceniceros N. y Aguayo A. (2004). Environmental behavior of metals from tailings in shallow rivers: Taxco, central Mexico, Transactions of the Institution of Mining and Metallurgy Section BApplied Earth Science, 113, 7682. [ Links ]
Bain J.G., Blowes D. W., Robertson W.D. y Frind E.O. (2000). Modelling of sulfide oxidation with reactive transport at a mine drainage site. J. Contam. Hydrol. 41, 2347. [ Links ]
Balistrieri L.S., Box S.E., Bookstrom A.A. y Ikramuddin M. (1999). Assessing the influence of reacting pyrite and carbonate minerals on the geochemistry of drainage in the Coeur d'Alene mining district. Environ. Sci. Technol. 33, 33473353. [ Links ]
CourtinNomade A., Neel C., Bril H. y Davranche M. (2002). Trapping and mobilisation of arsenic and lead in former mine tailings Environmental conditions effects. Bull. Soc. Geol. de France, 173, 479485. [ Links ]
CourtinNomade A., Bril H., Neel C. y Lenain J.F. (2003). Arsenic in iron cements developed within tailings of a former metalliferous mine Enguiales, Aveyron, France. Appl. Geochem. 18, 395408. [ Links ]
COREMI (Consejo de Recursos Minerales) (1992). Monografía GeológicoMinera del Estado de Hidalgo. Consejo de Recursos Minerales, PachucaMéxico, 95 p. [ Links ]
COREMI (Consejo de Recursos Minerales) (1999). Monografía GeológicoMinera del Estado de Sonora. Consejo de Recursos Minerales, PachucaMéxico, 154 p. [ Links ]
CNA (Comisión Nacional del Agua) (1997). Plan Hidráulico de Gran Visión del Estado de Chihuahua. Comisión Nacional del Agua. Subdirección General Técnica. Gerencia de Aguas Subterráneas. [ Links ]
CNA (Comisión Nacional del Agua) (2002a). Determinación de la disponibilidad de agua en el acuífero Río Frontera, Estado de Sonora. Comisión Nacional del Agua. Subdirección General Técnica. Gerencia de Aguas Subterráneas. Subgerencia de Evaluación y Modelación Hidrogeológica, 25 pp. [ Links ]
CNA (Comisión Nacional del Agua) (2002b). Determinación de la disponibilidad de agua en el acuífero Ixmiquilpan, Estado de Hidalgo. Comisión Nacional del Agua. Subdirección General Técnica. Gerencia de Aguas Subterráneas. Subgerencia de Evaluación y Modelación Hidrogeológica, 17 pp. [ Links ]
Dold B. y Fontbote L. (2001). Element cycling and secondary mineralogy in porphyry copper tailings as a function of climate, primary mineralogy, and mineral processing. J. Geochem. Explor. 74, 355. [ Links ]
Foster A.L., Brown G.E., Tingle T.N. y Parks G.A. (1998). Quantitative arsenic speciation in mine tailings using Xray absorption spectroscopy. Am. Mineral. 83, 553568. [ Links ]
Fukushi K., Sasak, M., Sato T., Yanase N. y Amano H.I. (2003). A natural attenuation of arsenic in drainage from an abandoned arsenic mine dump. Appl. Geochem. 18, 12671278. [ Links ]
Holmstrom H. y Ohlander B. (2001). Layers rich in Fe and Mnoxyhydroxides formed at the tailingspond water interface, a possible trap for trace metals in flooded mine tailings. J. Geochem. Explor. 74, 189203. [ Links ]
Holmstrom H., Salmon U.J., Carlsson E., Petrov P. y Ohlander B. (2001). Geochemical investigations of sulfidebearing tailings at Kristineberg, northern Sweden, a few years after remediation. Sci. Total Environ. 273, 111133. [ Links ]
IMMSA (Industrial Minera México S.A.) (1973). Yacimientos minerales metálicos del Distrito Minero de Taxco, Reporte Interno, Taxco, GuerreroMéxico. [ Links ]
IMMSA (Industrial Minera México S.A.) (1995). Caracterización mineralógica de la mina San Diego de la Unidad Santa Bárbara, Chih. Subdirección de Exploraciones. Departamento de Petrografía. Industrial Minera México, S.A. de C.V. San Luis Potosí, S.L.P., Reporte técnico, 110 p. [ Links ]
INEGI (Instituto Nacional de Estadística, Geografía e Informática) (1999). Síntesis geográfica del Estado de Guerrero. Instituto Nacional de Estadística, Geografía e Informática, Aguascalientes, México, 120 p. [ Links ]
Johnson R.H., Blowes D.W., Robertson W.D. y Jambor J.L. (2000). The hydrogeochemistry of the Nickel Rim mine tailings impoundment, Sudbury, Ontario. J. Contam. Hydrol. 41, 4980. [ Links ]
Jung M.C. (2001). Heavy metal contamination of soils and waters in and around the Imcheon AuAg mine, Korea. Appl. Geochem. 16, 13691375. [ Links ]
LAFQA (Laboratorio de Análisis Físicos y Químicos del Ambiente) (2005). Diagnóstico ambiental de las presas inactivas de jales ubicadas en Nacozari, Sonora. México D.F., Reporte elaborado para Minera Pilares S.A. de C.V. 154 p [ Links ]
LAFQA (Laboratorio de Análisis Físicos y Químicos del Ambiente) (2006). Manejo y control del drenaje ácido en la Unidad Minera de Taxco: Alternativas de tratamiento. México D.F., Reporte elaborado para Industrial Minera México S.A. de C.V. 124 p [ Links ]
Levy D.B., Custis K.H., Casey W.H. y Rock P.A. (1997). A comparison of metal attenuation in mine residue and overburden material from an abandoned copper mine. Appl. Geochem. 12, 203211. [ Links ]
Lin Z. (1997). Mobilization and retention of heavy metals in milltailings from Garpenberg sulfide mines, Sweden. Sci. Total Environ. 198, 1331. [ Links ]
Ljungberg J. y Ohlander B. (2001). The geochemical dynamics of oxidising mine tailings at Laver, northern Sweden. J. Geochem. Explor. 74, 5772. [ Links ]
McGregor R.G., Blowes D.W., Jambor J.L. y Robertson, W.D. (1998). The solidphase controls on the mobility of heavy metals at the Copper Cliff tailings area, Sudbury, Ontario, Canada. J. Contam. Hydrol. 33, 247271. [ Links ]
Moncur M.C., Ptacek C.J., Blowes D.W. y Jambor J.L. (2004). Release, transport and attenuation of metals from an old tailings impoundment. Appl. Geochem. 20, 639659. [ Links ]
Norma Oficial Mexicana NOM141 (2003). Que establece el procedimiento para caracterizar los jales así como las especificaciones y criterios para la caracterización y preparación del sitio, proyecto, construcción, operación y posoperación de presas de jales. Diario Oficial de la Federación, 14 enero de 2004. México [ Links ]
Paktunc D., Foster A., Heald S. y Lanamme G. (2004). Speciation and characterization of arsenic in gold ores and cyanidation tailings using Xray absorption spectroscopy. Geochim. Cosmochim. Acta 68, 969983. [ Links ]
Romero F.M., Armienta M.A. y GonzálezHernández G. (2007). The solidphase control on the mobility of potentially toxic elements in an abandoned lead/zinc mine tailings impoundment, Taxco, México. Appl. Geochem. 22, 109127 [ Links ]
Roussel C., Neel C. y Bril H. (2000). Minerals controlling arsenic and lead solubility in an abandoned gold mine tailing. Sci. Total Environ. 263, 209219. [ Links ]
Savage K.S., Tingle T.N., O'Day P.A., Waychunas G.A. y Bird D.K. (2000). Arsenic speciation in pyrite and secondary weathering phases, Mother Lode Gold District, Tuolumne 8, California. Appl. Geochem. 15, 12191244. [ Links ]













