INTRODUCIÓN
Es fundamental, que, en la Amazonía, el desarrollo de la actividad turística tenga el soporte de herramientas sostenibles, como la capacidad de carga para mitigar los impactos de la degradación ambiental en áreas protegidas, sobre todo en espacios de uso público de gran relevancia ambiental y escénica que brindan servicios ecosistémicos culturales (Bachi et al., 2020). El turismo en áreas protegidas es considerado como una alternativa para generar ingresos financieros aplicando políticas de sostenibilidad ambiental, con participación y empoderamiento de la población local (Reis et al., 2013, 2018).
Una problemática muy común en los atractivos turísticos que se localizan en la Amazonía Central es la falta de monitoreo permanente de la actividad turística, que puede causar degradación, problemas ambientales y amenazar a la economía local, y generar cambios que perjudican la biodiversidad y el medio ambiente, al reducir la calidad de vida de las poblaciones locales y sobrecargando el ecosistema (Cavalcante y Lopes, 2017). Por ejemplo, en los atractivos turísticos de Presidente Figueiredo, específicamente aquellos localizados dentro de una área protegida como el Área de Protección Ambiental (APA) “Caverna do Maroaga”, Reis et al. (2013) determinaron la presencia de impactos ambientales en dos atractivos turísticos evaluados de la región, además de presentar áreas afectadas por la deforestación, principalmente a lo largo de la quebrada “Mutum”, que es el principal curso de agua que abastece a esos atractivos.
De ese modo, el turismo puede ser visto tanto como una oportunidad para la conservación de los bosques y de la biodiversidad, así como, por otro lado, como una amenaza (Limberger y Pires, 2014), esta último una característica del turismo convencional, sin criterios de planificación o conciencia ambiental. Dicho turismo promueve un desarrollo inadecuado e ineficaz, generando presión y deteioro en los atractivos del área de estudio (Endres, 1998; Delgado, 2007; Reis, 2010b; Reis et al., 2018). Ante esa situación, este estudio refleja un primer análisis sobre la capacidad de carga en una región muy importante de atractivos turísticos del estado del Amazonas, Brasil, para que sea una base y punto de partida para replicarse en otras latitudes y lugares de la Amazonía, garantizando el desarrollo de un turismo planificado, manejado y una excelente alternativa para el desarrollo sostenible de la región amazónica (Comune, 1991).
Queda resaltar que existen estudios relacionados sobre la capacidad de carga turística que fueron realizados en varios lugares del planeta, específicamente en zonas tropicales, mencionando como ejemplos los trabajos de Cifuentes et al., (1990); Rodrigues (1992); Amador et al. (1996); Acevedo-Ejzman (1997); Mitraud (1998); Cifuentes et al. (1999); Girón y Guevara (2003); Boggiani et al. (2008); Lobo et al. (2009); Rodríguez-Rodríguez y Zúñiga-Meza (2013); Soria-Díaz y Soria-Solano (2015); Teixeira y Oliveira (2015), además de haber muchos ejemplos aplicados en otras zonas climáticas.
Así mismo, la capacidad de carga, como indicador y por la facilidad de aplicación, permite medir y evaluar las áreas de uso público en ambientes naturales, como la capacidad ecológica (el impacto en los recursos físicos y biológicos) y la capacidad social (el impacto en la experiencia del visitante), considerando la propuesta de Cifuentes et al. (1999) como uno de los métodos más utilizados en investigaciones de turismo (Limberger y Pires, 2014), y una de las herramientas emergente para la evaluación y manejo adecuado de los ecosistemas (Ruschmann, 1993; Delgado, 2007; Han et al., 2018).
En el estado del Amazonas, particularmente en el municipio de Presidente Figueiredo, según los trabajos de Reis et al. (2013, 2018) y del Gobierno del Estado del Amazonas, AmazonasTur y Seplan (2008), existe la necesidad de fomentar y realizar estudios de capacidad de carga en la región, para un mejor control sobre el flujo de usuarios en los atractivos turísticos, especialmente en aquellos que están dentro de áreas protegidas, sea para áreas de uso público y privado, con la finalidad de implementar o integrar esos mecanismos en planes de gestión o manejo de áreas protegidas, para una mejor calidad y administración de la visitación turística.
En ese sentido, el uso de la herramienta relacionado a la capacidad de carga en los atractivos turísticos evaluados de la región, fomentará un desarrollo del turismo sostenible como estrategia para promover el ecoturismo1 y la conservación de los bosques bajo criterios de manejo y sostenibilidad ambiental.
OBJETIVO
El objetivo de este trabajo fue analizar la capacidad de carga de los senderos en los atractivos turísticos de Presidente Figueiredo, Amazonas, considerando el estado de degradación forestal en esos locales. Esta metodología consideró tres niveles de capacidad de carga (física, real y efectiva) y su relación con la degradación forestal, realizándose la toma y evaluación de los datos en el campo dentro de un bosque húmedo tropical en el estado del Amazonas, Brasil.
MATERIAL Y MÉTODOS
El área de estudio abarca una superficie de 3424 km2 y está situado a una distancia de 105.5 km de la ciudad de Manaus (capital del estado del Amazonas), específicamente en el municipio de Presidente Figueiredo, constituido por un bosque tropical que alberga ríos, arroyos, grutas y cascadas. El clima es tropical húmedo del tipo ecuatorial (Af según la clasificación climática de Köppen), con temperatura media anual de 27 °C, y temperaturas máximas y mínimas de 38 °C y 20 °C, respectivamente. La precipitación anual está alrededor de 2400 mm. La vegetación es del tipo ombrófilo, muy característico de un bosque tropical ecuatorial que alberga especies forestales densos y exuberantes (Gadelha, 2006; Munhoz, 2010; Reis et al., 2018).
Criterios de selección
Para la realización de este estudio fueron seleccionados quince (15) atractivos turísticos con base en criterios de accesibilidad y localización, con preferencia a aquellos de fácil acceso, localizados en las márgenes derecha e izquierda de las carreteras BR-174 y AM-240, municipio de Presidente Figueiredo, estado del Amazonas, Brasil (Figura 1). Otro criterio también utilizado, de acuerdo con el interés del presente estudio, fue seleccionar aquellos atractivos que están dentro y fuera de la APA “Caverna do Maroaga”, en particular aquellos próximos a las áreas deforestadas, utilizando datos de pérdida de cobertura forestal hasta 2017 del Proyecto de Monitoreo por Satélite de la Deforestación en la Amazonía Legal del Instituto Nacional de Investigaciones Espaciales (PRODES/INPE), y, sobre todo, seleccionar aquellos que presentaron senderos de acceso a los atributos naturales (Tabla 1).

Fuente: elaboración propia.
Figura 1 Localización del área de estudio, Presidente Figueiredo, estado del Amazonas, Brasil.
Tabla 1 Senderos de los atractivos turísticos evaluados de Presidente Figueiredo, Amazonas.
| Nº | SENDEROS | LONGITUD (m) | ANCHO (m) | COORDENADAS GEOGRÁFICAS | |||
| PARTIDA | LLEGADA | ||||||
| LATITUD | LONGITUD | LATITUD | LONGITUD | ||||
| 1 | “Perema” | 235.7 | 1.5 | 2° 2'21.08"S | 60° 8'21.50"O | 2° 2'24.51"S | 60° 8'27.49"O |
| 2 | “Sucurijú-Iracema” | 880 | 2 | 1°59'3.04"S | 60° 3'38.96"O | 1°59'6.64"S | 60° 3'39.98"O |
| 3 | “As Araras” | 1146.1 | 1.2 | 1°59'31.81"S | 60° 3'13.39"O | 1°59'15.25"S | 60° 3'33.95"O |
| 4 | “C. da “Onça” | 1101.6 | 2 | 2° 2'9.82"S | 60° 1'38.41"O | 2° 2'10.37"S | 60° 2'7.67"O |
| 5 | PNM Galo da Serra - “Gruta do Raio” |
408.8 | 1.5 | 2° 3'1.70"S | 60° 0'46.79"O | 2° 3'7.88"S | 60° 0'45.12"O |
| 6 | “Santa “Claudia | 318.6 | 2.5 | 2° 2'18.19"S | 60° 0'55.03"O | 2° 2'22.68"S | 60° 0'45.70"O |
| 7 | PNM das Orquídeas - “Quatro Quedas” |
535.5 | 1.5 | 2° 2'11.70"S | 60° 0'1.91"O | 2° 2'7.95"S | 60° 0'15.85"O |
| 8 | PNM das Orquídeas - “As Orquídeas” |
1580.4 | 1.5 | 2° 2'50.77"S | 60° 0'22.33"O | 2° 2'8.08"S | 59°59'59.56"O |
| 9 | PNM Caverna do Maroaga |
2054.00 | 1.5 | 2° 2'58.19"S | 59°58'27.71"O | 2° 2'57.39"S | 59°58'27.23"O |
| 10 | “Santuário” | 556.8 | 1.5 | 2° 3'24.94"S | 59°55'50.38"O | 2° 3'42.50"S | 59°55'44.53"O |
| 11 | “As Bromélias” | 1569.6 | 1.5 | 2° 4'50.44"S | 59°45'35.09"O | 2° 5'34.71"S | 59°45'42.16"O |
| 12 | “Mutum” | 367.8 | 1.5 | 1°58'15.42"S | 59°36'22.31"O | 1°58'6.19"S | 59°36'22.37"O |
| 13 | “Neblina” | 5939.85 | 2 | 2° 1'45.56"S | 59°35'30.35"O | 2° 3'54.53"S | 59°34'9.85"O |
| 14 | “Salto do Ipy” | 377.1 | 1.2 | 1°58'40.61"S | 59°33'47.50"O | 1°58'33.85"S | 59°33'49.98"O |
| 15 | “Pedra Furada” | 241.3 | 1.5 | 1°59'35.44"S | 59°33'18.09"O | 1°59'31.83"S | 59°33'21.87"O |
PNM = Parque Natural Municipal.
Fuente: elaboración propia.
Los atractivos turísticos evaluados se encuentran en áreas de dominio público, aunque también se ubican en áreas privadas. La forma de uso depende de su localización geográfica y las condiciones naturales de acceso, lo que posibilita o no su aprovechamiento por los comunitarios y usuarios (Reis, 2010a). Por otro lado, uno de los principales componentes para la indicación de áreas naturales que presentan los atractivos fue la alta frecuencia por los usuarios y el tipo de recreación desarrollada o el potencial uso que tiene para el turismo, balneario, investigación de campo, caminata y observación de fauna. Sin embargo, existen atractivos, como el de “Santa Claudia”, que restringe el acceso del público, debido a la naciente de una fuente de agua de uso privado.
El enfoque de este estudio fue verificar cómo el impacto de la presión humana está influenciando en el ambiente biofísico de los senderos de esos atractivos. En esa perspectiva, una actividad turística insostenible, como el turismo convencional, puede llevar a la reducción de los recursos naturales, pérdida de cobertura y degradación forestal de esos espacios públicos y privados (Medeiros y Moraes, 2013). Ante eso, se empleó la capacidad de carga turística (CCT), una metodología desarrollada por Miguel Cifuentes en 1992 y mejorada en 1999, considerada una herramienta simple y de fácil aplicación en comparación a otras metodologías de capacidad de carga (Límite de Cambio Aceptable, LAC, entre otras.), cuya finalidad es calcular un determinado número de visitantes por día que puede soportar un lugar para visitar, teniendo en cuenta las variables físicas, biológicas, ambientales, sociales y de manejo. La finalidad de esta metodología es ayudar a controlar y reducir los impactos negativos inherentes de la ocurrencia del turismo convencional, además de fomentar la actividad de un turismo sostenible y brindar un alto grado de calidad de satisfacción a los usuarios. En este trabajo, los atractivos turísticos evaluados se restringen a los atributos naturales del área de estudio, según el recorrido de los senderos, sea dentro o cercanos a los atractivos naturales (boques, cascadas, grutas, etc.).
Colecta de datos en campo
La recolección de datos en campo se llevó a cabo mediante mediciones de la longitud y ancho de los senderos en los quince (15) atractivos turísticos con flexómetro (wincha) analógico (50 m), georreferenciación de los senderos con GPS de navegación (modelo GARMIN 76CSx), medida de la pendiente con clinómetro (%), y descripción de las características biofísicas utilizando cuaderno de campo, con el fin de calcular la capacidad de carga física y real de esos locales. También se han utilizado formatos con preguntas cerradas para los funcionarios públicos, privados o propietarios del terreno, para determinar el estado actual de la capacidad de manejo de cada atractivo turístico, una exigencia muy importante para calcular posteriormente la capacidad de carga efectiva.
Capacidad de carga turística (CCT)
Para determinar el flujo de visitas de usuarios en los atractivos turísticos evaluados se empleó la metodología de Cifuentes (1992, 1999), que establece el número máximo de visitas por día que puede recibir una área turística (natural, cultural, histórica, etc.) según sus condiciones físicas, biológicas, ambientales y de manejo. El proceso consta de tres niveles: capacidad de carga física (CCF), capacidad de carga real (CCR) y la capacidad de carga efectiva (CCE).
Capacidad de carga física (CCF)
Se determinó el límite máximo de visitas que se puede realizar al local durante un día, según el espacio y tiempo disponible (horario y tiempo de visita). Se aplicó la siguiente ecuación (Cifuentes, 1992; Cifuentes et al., 1999):
Donde:
CCF = capacidad de carga física (visitas día-1); S = longitud total del sendero (m); sp = espacio usado por persona (m); NV = número de veces que el local puede ser visitado por la misma persona en un día. Eso representa la siguiente ecuación:
Donde:
H v = horario de visita (horas día-1). T v = tiempo necesario para visitar cada sendero (horas visitas-1 persona-1).
Capacidad de carga real (CCR)
La CCR fue determinada por la CCF y los factores de corrección (FC), definidos en función de las características particulares de cada lugar (variables físicas, ambientales, sociales y de manejo). Se aplicó la siguiente ecuación general (Cifuentes, 1992; Cifuentes et al., 1999):
Donde:
FC x = factor de corrección de la variable “x”; Ml x = magnitud limitante de la variable “x” y Mt x = magnitud total de la variable “x”.
En este estudio se utilizaron aquellas variables de acuerdo con las características particulares de cada sendero. Ante eso, fueron consideradas las siguientes variables: social, erodabilidad, accesibilidad, precipitación, brillo solar, encharcamiento, vegetación (degradación forestal) y biológica (disturbio de fauna). En la Tabla 2 se presenta un resumen de los FC (Cifuentes et al., 1999):
Tabla 2 Factores de corrección y su ecuación correspondiente.
| N° | FC | Ecuación | Descripción |
| 1 | Social |
|
ml = magnitud limitante del sendero (m); S = longitud total del sendero (m). |
| 2 | Erodabilidad |
|
cpe = longitud del sendero con problemas de erodabilidad (m). cpea = longitud del sendero con problemas de erodabilidad alta (m). S = longitud total del sendero (m). |
| 3 | Accesibilidad |
|
cdd = longitud del sendero con dificultad de desplazamiento (m). cdda = longitud del sendero con dificultad de desplazamiento alto (m). S = longitud total del sendero (m). |
| 4 | Precipitación |
|
hl = horas de lluvia limitantes por año; ht = horas al año que los senderos están abiertos. |
| 5 | Brillo solar |
|
hsl = horas del sol limitantes/año; ht = horas al año que los senderos están abiertos; cs = longitud del sendero sin cobertura (m) y S = longitud total del sendero (m). |
| 6 | Encharcamiento |
|
cench = longitud del sendero con problemas de encharcamiento (m). S = longitud total del sendero (m). |
| 7 | Vegetación |
|
cva = longitud de la vegetación afectada en el sendero (m). S = longitud total del sendero (m). |
| 8 | Biológico o disturbio de fauna |
|
dla = días limitantes al año (reproducción, gestación y/o nidificación). daa = días abiertos al año en el sendero del atractivo turístico. |
Después de calcular los FC, se determinó la CCR por la ecuación (Cifuentes et al., 1999):
Donde:
CCR = capacidad de carga real (visitas día-1); CCF = capacidad de carga física (visitas día-1); FC xyz = factor de corrección(xyz).
Capacidad de carga efectiva (CCE)
La CCE fue obtenida multiplicando la CCR y la capacidad de manejo (CM). Fue aplicado la siguiente ecuación (Cifuentes et al., 1999):
Donde:
CCR = capacidad de carga real (visitas día-1); CM = capacidad de manejo.
Para calcular la CM, se establecieron variables de infraestructura, equipamiento y personal, las cuales se relacionan directamente con el manejo del flujo de visitas. Según Cifuentes et al. (1999), esos criterios representen adecuadamente la totalidad de las opciones para la valoración y determinación de la CM, son capaces de aportar elementos indicadores suficientes para realizar una buena aproximación. Fueron escogidos por su facilidad de medición, análisis y disponibilidad de información para cada atractivo turístico. Cada variable está constituida por cuatro criterios: cantidad, estado, localización y funcionalidad. En el caso de la variable “Personal” solo fue considerado el criterio de cantidad.
En ese sentido, la escala de porcentaje (Tabla 3) utilizada para la evaluación de los criterios de cada variable es una adaptación de la norma de la Organización Internacional de Normalización (ISO 10004), que fue probada y utilizada en estudios de evaluación de calidad de servicios ofrecidos por empresas públicas y privadas, con el propósito de medir el grado de satisfacción de los usuarios (Cifuentes et al., 1999).
Tabla 3 Escala de calificación adaptada de la Norma ISO 10004.
| % | Valor | Calificación |
| ≤ 35 | 0 | Insatisfactorio |
| 36 - 50 | 1 | Poco satisfactorio |
| 51 - 75 | 2 | Medianamente satisfactorio |
| 76 - 89 | 3 | Satisfactorio |
| ≥ 90 | 4 | Muy satisfactorio |
La CM fue calculado por medio de la siguiente ecuación (Cifuentes et al., 1999):
Donde:
Infr = Infraestructura; Equip = Equipamiento; Pers = Personal.
Para determinar el número de usuarios por sendero, se empleó la siguiente ecuación (Cifuentes et al., 1999):
Donde:
VD = usuarios por día en el sendero del atractivo turístico (usuarios día-1); CCE = capacidad de carga efectiva (visitas día-1); NV = número de veces que el local o sitio de visita puede ser frecuentado por la misma persona en un día (visitas día-1 persona-1).
RESULTADOS Y DISCUSIÓN
Capacidad de carga física (CCF)
Entre la CCF de los quince senderos de los atractivos turísticos (Figura 2), aquellos que presentaron menor CCF fueron los de “Santa Claudia” (7292.70 visitas día-1), “Quatro Quedas” (7803.3 visitas día-1) y “Santuário” (8113.6 visitas día-1). Por lo contrario, los que tuvieron mayor CCF fueron los senderos de “Caverna do Maroaga” (13150.86 visitas día-1), “As Orquídeas” (12655.86 visitas día-1) y de “Bromélias” (12569.37 visitas día-1).
Sin embargo, los resultados obtenidos para el sendero “Caverna do Maroaga” difieren de aquellos encontrados por Porto et al. (2013), que determinaron una CCF de 11272.95 visitantes día-1. En ese caso, se constató que la CCF debería ser expresada en “visitas día-1” y no en “visitantes dia-1”, por el hecho de que el número de visitas por día (NV) está relacionado con el horario de visita (horas día-1) y el tiempo estimado que necesita una persona para visitar el sendero (horas visita-1). Es decir, no solamente determina el límite máximo de visitas que puede albergar dicho sendero, sino que ayuda a prevenir la sobrecarga de visitantes en esos ecosistemas y a formular una política de gestión del turismo para un mejor control del flujo de visitas (Liu et al., 2020).
Por ejemplo, dos atractivos turísticos diferentes y analizados en este estudio, como es el caso del atractivo “Santuário”, un área protegida y de carácter privado, la CCF fue determinado en 8113.7 visitas día-1, mientras el atractivo “Quatro Quedas”, otra área protegida y de carácter público, la CCF alcanzó 7803.3 visitas día-1. Esto quiere decir que, a pesar de que son dos atractivos de “status” diferentes (privado y público), presentaron resultados similares. La razón de esa semejanza fue consecuencia de la relación entre el tamaño de la longitud total y el número de visitas por día en sus senderos. De este modo, la delimitación y longitud de cada sendero, los criterios de espacio por persona, horario de visita y tiempo estimado de desplazamiento de cada visitante durante el recorrido en eses locales, demuestran el límite máximo del flujo de usuarios que un determinado sendero puede soportar diariamente. Además, los resultados relacionados a la CCF de este estudio reflejan las condiciones propias del espacio-tiempo de esos locales, así los criterios de algunos parámetros podrían modificarse en el transcurso del tiempo (dependiendo del escenario) y, por lo tanto, influenciar en nuevos resultados de CCF.
Capacidad de carga real (CCR)
Entre la CCR de los quince senderos evaluados, aquellos que presentaron menor CCR fueron “Quatro Quedas” (429.77 visitas día-1), “Bromélias” (467.51 visitas día-1) y “Neblina” (475.42 visitas día-1), según la Figura 3.
De acuerdo con la última figura, no fue considerado el criterio del FC social para aquellos senderos de “Perema”, “Pedra Furada”, “Santa Claudia”, “Mutum”, “Salto do Ipy” y “Gruta do Raio”, por presentar una longitud total menor (<450 m), observándose el valor de un metro por cada espacio que puede ocupar un usuario, y tolerando el flujo de visita de más de veinte y cinco veces de la misma persona durante un día. Es decir, aplicar el criterio de este factor limitaría más la capacidad de carga, pero no lo definiría como límite determinante para todo el sendero, por el contrario, como una alternativa de gestión dinámica y eficiente del turismo para redistribuir el flujo de turistas (Chen et al., 2021). En ese contexto, comparando con los resultados relacionado al sendero de “Caverna do Maroaga”, encontrado por Porto et al. (2013), la cantidad determinada de la CCR de 541 visitas día-1 fue similar con los cálculos de este estudio (581.58 visitas día-1). De hecho, los FC influenciaron en la reducción de los valores de la CCR (FC Social, Disturbio de fauna, Erodabilidad y Accesibilidad), a pesar que fue realizado en el mismo sendero, las diferencias entre ellas se deben a las condiciones biofísicas y criterios de evaluación que fueron establecidos y medidos en el momento. Además, estos resultados representan un estado multifacético, porque diversos factores influyen en las condiciones biofísicas y su desempeño, según las características específicas que posee cada local de visitación.
En ese contexto, a pesar de la similaridad con los estudios realizados por Porto et al. (2013), se detectó que no es información suficiente para proponer una gestión adecuada del turismo y establecer un mejor control de visita, ya que las características particulares de ese local pueden experimentar cambios relativamente significativas a corto y mediano plazos, debido a la falta de mantenimiento o a un control más eficiente del flujo de usuarios en el sendero de ese atractivo. Se suma a esto que, si los factores de corrección no fueron debidamente evaluados, sea en su aplicación en el campo o a la falta de entendimiento de la metodología, existirán “sesgos” en los datos que influirían en la determinación incorrecta de los resultados, más aún si se considera trabajar con datos secundarios (brillo solar, precipitación y disturbio de fauna). Sin embargo, se destaca que la mayoría de los FC influyeron en los valores de la CCR, debido a la geografía física y a las condiciones particulares de cada atractivo turístico, ya que la capacidad de carga deberá ser establecida dentro de los límites más bajos posibles (impactos), con el propósito de no comprometer la vulnerabilidad de los ecosistemas forestales que brindan servicios ecosistémicos, tales como la belleza escénica, mantenimiento de la biodiversidad y la regulación de los ciclos naturales (La Notte et al., 2017; Bachi et al., 2020). Además, es necesario prestar mucha atención cuando estemos próximos o superemos el límite máximo de visitantes (sobrecarga turística), porque los niveles óptimos de aglomeración en una zona de visita pueden variar según el tipo de turista, las actividades y el territorio (Chen et al., 2021), ya que el método de Cifuentes (1992, 1999) se centra solo en datos cuantitativos o números, y resalta que los gestores de cada atractivo turístico son responsables de la gestión y manejo del turismo, y no de los números (Lobo et al., 2013).
Capacidad de carga efectiva (CCE)
Entre la CCE (Figura 4), que presentaron valores menores, se hallan “Bromélias” (133.51 visitas día-1), “Quatro Quedas” (183.49 visitas día-1), “Neblina” (245.63 visitas día-1) y “Caverna do Maroaga” (276.86 visitas día-1). En general, esos atractivos pueden recibir esa cantidad limitada de flujo de visitas debido al estado deficiente de la infraestructura, equipamiento y personal, lo que representa una capacidad de manejo (CM) de “poco a medianamente satisfactoria”.
No obstante, presentan mejores condiciones de conservación de los bosques, lo que permite que la mayoría de los usuarios puedan disfrutar de los servicios ecosistémicos (sombra, belleza escénica, etc.) durante el trayecto en el sendero, y generar un impacto humano mínimo (Figura 4). Se destaca, también, que los atractivos turísticos con una CM satisfactoria, tales como “Complexo do Iracema Falls” y “Cachoeira da Onça”, no presentaron una alta CCE, debido a la influencia de los valores estimados de sus factores de corrección.
Además, se espera que cuanto menor sea el valor estimado de la CCE, menor será la preocupación con respecto a la cantidad y manejo de usuarios en los senderos de los atractivos, considerando el límite máximo sugerido de personas por día que el ecosistema de ese local podría soportar. Ante ello, la gestión de los límites que fijan la capacidad de carga debe ser integral y guardar relación estrecha con los servicios básicos que ofertan en cualquier categoría, como los servicios de interpretación, alojamiento y alimentación. Se requiere que estos últimos sean sometidos a un seguimiento de los contratistas, encargados de prestar esos servicios, y no desmejoren la gestión ecoturística. Y que se incorporen los recursos humanos para implementar otras estrategias que favorezcan la conservación de los recursos turísticos, previniendo su deterioro, y que siempre estén presentes para la recreación de los visitantes, lo que debe repercutir en la sostenibilidad del ecoturismo como estrategia de conservación. Todo eso lleva a los gestores a la toma de decisiones en el corto, mediano y largo plazos, una vez que la herramienta proporcione alertas tempranas que permitan pronosticar desequilibrio en el balance que debe haber entre lo ambiental, biológico y lo social, de esta forma habrá consideraciones deseables para que la actividad ecoturística sea realizable y coherente con el plan de manejo de cada área protegida.
Los resultados de la CCE de los senderos evaluados recomiendan como máximo ese número de flujo de usuarios por día, donde la cantidad de visitas tiene que ser respetada conforme fue indicado y propuesto en este presente estudio, con la finalidad de promover un turismo sostenible, de calidad en cuanto a visitas, y de bajo impacto. Por lo tanto, se evita o reduce el deterioro del medio biofísico que podría comprometer las condiciones particulares (factores de corrección) y de manejo de cada uno de esos atractivos turísticos. En ese sentido, observando el flujo recomendado de usuarios, los senderos del “Complexo do Iracema Falls” (C. Sucurijú, Iracema y de Araras), “Cachoeira da Onça” y “C. Neblina” mostraron las cantidades más altas para recibir usuarios por día y año, mientras los senderos de “Quatro Quedas”, “Santa Claudia” y de “Bromélias” tuvieron cantidades más bajas (Figura 5). Es importante aclarar que ese límite de capacidad de carga es dinámico en el tiempo y tanto las estrategias de acción y las medidas de conservación deben obedecer igualmente a esta dinámica (López-Dóriga et al., 2019).
Análisis de la degradación forestal en los atractivos turísticos
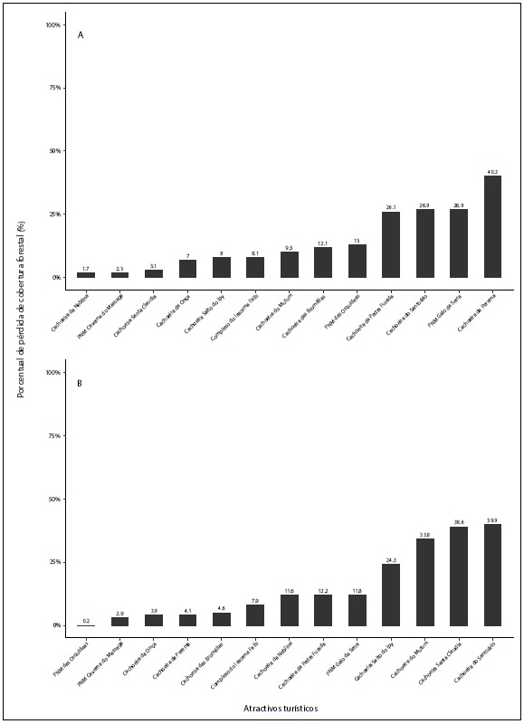
El estado de la degradación forestal (en términos de bosque degradado por el impacto de las actividades humanas, específicamente en los senderos) y de la deforestación en los atractivos turísticos evaluados, mostraron que el FC de vegetación se relaciona directamente con la degradación forestal, impulsadas por las actividades y presiones humanas (deforestación, corte y quema de bosque, áreas en regeneración forestal, polución, etc.) que generan impactos y cambios en el paisaje de esos locales. En la Figura 6 podemos observar que los senderos que sufrieron mayor impacto en la vegetación fueron: “Perema” (40.3%), “Santuário” (26.9%), PNM “Galo da Serra” (26.9%) y “Pedra Furada” (26.1%). Además, el porcentaje de áreas de los atractivos que mostraron mayor deforestación hasta el 2017, conforme datos de cobertura de la tierra del PRODES/INPE fueron: “Santuário” (39.9%), “Santa Claudia” (38.6%), “Mutum” (33.8%) y “Salto do Ipy” (24.3%).

Figura 6 Pérdida porcentual de cobertura forestal hasta 2017: A) longitud total del sendero y B) área por atractivo.
La mayoría de esos atractivos presentó un estado de conservación ambiental “bueno”, porque sus atributos naturales (bosque, cascada, gruta, etc.) se encontraban en condiciones favorables para recibir la visitación de los usuarios, a pesar de que algunas de ellas (excepto los atractivos “C. da Onça” y “Complexo do Iracema Falls”) no exhibieron un óptimo estado de infraestructura turística para brindar un alto grado de satisfacción en la visita a los usuarios. Por ejemplo, “Santuário”, el atractivo con mejor infraestructura turística (junto con “C. da Onça” y “Complexo do Iracema Falls”) fue el que presentó mayor pérdida de cobertura forestal (39.9%), según datos de cobertura de la tierra del PRODES/INPE (2018), además de poseer licencia ambiental por el Instituto de Protección Ambiental del Amazonas (IPAAM) para la actividad de la acuicultura, autorizado para la crianza de gamitana (Colossoma macropomum) en un sistema de cultivo semi-intensivo en 9 viveros de 4.24 ha de área total, clasificado por el IPAAM como un potencial contaminador/degradador “medio” en ese ámbito.
El porcentaje de pérdida de cobertura forestal hasta 2017, específicamente en las áreas de los atractivos turísticos, estuvo representado por deforestaciones antiguas, debido a la presencia y expansión de la infraestructura turística (hoteles, restaurantes, piscina, etc.), tales como los atractivos de “Santuário” (39.9%) y “Santa Claudia” (38.6%), que mostraron mayores valores de pérdida de cobertura forestal. Además, en el caso de los atractivos “Mutum” (33.8%) y “Salto do Ipy” (24.3%), la deforestación antigua y actual están relacionados con la agricultura de corte y quema, pastizal y pecuaria. Reis et al. (2013), también observaron que los atractivos de “Porteira” y “Santuario” ya poseían bastante impacto por la deforestación a lo largo del río Mutum, considerado el curso de agua que da origen a esos atractivos. Además, los gestores no tenían control y monitoreo sobre la visitación, plan de manejo, plan de uso público, circuito de rutas o señalización interna, siendo un punto crítico y clave la importancia e intervención de los órganos ambientales en el licenciamiento y monitoreo ambiental en esos locales.
Otros estudios realizados, con respecto a la deforestación, destacan la influencia de la infraestructura vial en la deforestación en el área de estudio. Por ejemplo, Reis y Pinheiro (2010) verificaron que la deforestación en la APA “Caverna do Maroaga” se concentró a lo largo de las carreteras BR-174 y AM-240 asentamientos rurales y márgenes de las Áreas de Preservación Permanente (APP). Esa observación se confirma con este estudio, que encontró la misma tendencia de la deforestación para aquellos atractivos situados a lo largo de las carreteras (BR-174 y AM-240) y en asentamientos rurales, tales como “Santuário” (39.9%), “Santa Claudia” (38.6%), “Mutum” (33.8%) y “Salto do Ipy” (24.3%). Además, esos resultados concuerdan con el estudio realizado por Massoca (2010), en el marco del Proyecto de Asentamiento - PA “Uatumã” del Instituto Nacional de Colonización y Reforma Agraria - INCRA de Brasil, indicando que la abertura y expansión de vías secundarias y el corte y quema de bosques para la agricultura son más comunes en los asentamientos rurales. Por lo tanto, afecta las áreas de aquellos atractivos turísticos cerca o dentro de ella, siendo específicamente el caso del atractivo “Bromélias” que se encuentra bajo presión humana.
Aunque el uso de la capacidad de carga turística basado en la metodología desarrollada por Cifuentes (1992, 1999) sea adecuado al estudio realizado, se pueden observar algunas limitaciones, sobre todo, aquellas señaladas por Delgado (2007). Ese autor lo considera una metodología incompleta, cargada de aspectos subjetivos y cualitativos relacionados al turismo, que indica un número “mágico” sobre el límite de usuarios en la visitas, alegando que no puede ser decisiva al manifestar que un determinado número de personas no impactará el ambiente. A pesar que la esencia de ese método conduzca a un resultado cuantitativo, no siempre representa la respuesta final a la estimación de la capacidad de carga, pudiendo también ser utilizadas como criterio de impacto otras estrategias de gestión del turismo (Pires, 2005). En ese sentido, la aplicación correcta de la metodología debe estar acompañada del monitoreo de impactos, siendo necesario establecer indicadores para el límite o umbral, cuyo valor determina la aceptabilidad del cambio medido. Estos indicadores anticipan a los gestores o administradores sobre el deterioro de los valores naturales, el nivel de satisfacción del visitante o de la comunidad local, antes de que se llegue a un nivel inaceptable. Además, dependiendo de los resultados que arroje el monitoreo, la capacidad de carga aceptable del sitio podrá modificarse (aumentar o disminuir), de acuerdo al rango en el que se encuentren los indicadores (entiéndase este término como el proceso de evaluación de impacto y desempeño de la gestión turística en esos locales). De esta forma, el monitoreo y la capacidad de carga turística se convierten en una herramienta de negociación y concertación con los gestores de esos locales, priorizando la conservación de los recursos naturales, la educación ambiental y la calidad de atención y satisfacción de la visitación.
A pesar de esas limitaciones, la metodología de Cifuentes (1992, 1999) es la más utilizada (62%) en investigaciones de turismo seguido del Limit of Acceptable Change, LAC (18%), debido a su facilidad de aplicación en comparación con los demás métodos existentes (Limberger y Pires, 2014). Propone un nivel máximo de usuarios que una área turística puede soportar con el menor impacto ambiental y el mayor grado de satisfacción posible para sus usuarios, orientado a la conservación del medio ambiente bajo criterios de sostenibilidad (Ruschmann, 1993; Teixeira y Oliveira, 2015; Perruolo Laneti y Camargo Roa, 2017; Han et al., 2018). Su aplicación se recomienda por ser una forma eficaz y de relevancia para ámbitos específicos, preferencialmente ecosistemas muy vulnerables y áreas protegidas, con el fin de evitar el deterioro o, en casos extremos, la pérdida de atributos naturales (Cupul-Magaña y Rodríguez-Troncoso, 2017), además de ofrecer orientación a los gestores para aliviar la congestión del flujo de visitantes (He y Xie, 2019; Chen et al., 2021).
En síntesis, los resultados de la capacidad de carga y la degradación forestal en los senderos de los atractivos turísticos evaluados reflejan la necesidad de promover la aplicación de esa herramienta en áreas de uso público y privado, de preferencia en senderos de atractivos que estén localizados en áreas protegidas y que albergan ecosistemas vulnerables, con el propósito de evitar la degradación o pérdida de esas características particulares y fomentar un impacto de flujo de visitas lo más bajo posible. De este modo, existe la urgencia de promover más estudios detallados como parte de un proceso constante de control, monitoreo y manejo, considerándose también otros atractivos turísticos no evaluados en el área de estudio.
CONCLUSIONES
A pesar de que la deforestación afecta levemente las áreas de cobertura forestal de los atractivos turísticos analizados, se observó que la mayoría de ellos requieren atención en cuanto a su conservación, de los atributos naturales o la presencia de ecosistemas vulnerables. Esto se debe a las amenazas de la presión humana que influyen en la reducción de la cobertura forestal de esas áreas públicas y privadas. De esta forma, la influencia de la degradación forestal, como su supresión, comprometen la capacidad de carga turística de los senderos en los atractivos turísticos. De acuerdo con los resultados obtenidos en este estudio, se pueden destacar, en términos de capacidad de carga efectiva satisfactoria, aquellos atractivos como: “Neblina” (77 personas día-1), “Complexo do Iracema Falls” (90 personas día-1) y “Cachoeira da Onça” (39 personas día-1), que mostraron un nivel máximo aceptable de usuarios por día.
A pesar de las limitaciones indicadas anteriormente, es fundamental contar con métodos para estimar la capacidad de carga en atractivos turísticos, ya que los actores involucrados puedan contribuir con el seguimiento y monitoreo continuo de la actividad turística en Presidente Figueiredo. En ese sentido, según los resultados obtenidos en el presente estudio, se recomienda considerar otros criterios técnicos-científicos (indicadores de sostenibilidad, método de evaluación de impacto ambiental y social, entre otros) que ayuden a los gestores en la toma de decisiones para el manejo y la gestión eficiente del flujo de visitas a esas zonas, además de servir como base y referencia para posteriores estudios más detallados y establecer futuras líneas de investigación relacionadas con el manejo, gestión, control y monitoreo permanente del flujo turístico.










texto en 







