INTRODUCCIÓN
El agua es, sin duda, el factor limitante más importante para la producción vegetal terrestre, a la vez que condiciona los caracteres de las plantas y la configuración de las comunidades (Terradas, 2001:198; Ferreras, 2000:38). Así, es necesario manejar información lo más real posible, que nos acerque a la comprensión de la distribución de la vegetación, sobre todo en zonas áridas donde la importancia de este recurso cobra mucha más importancia.
Las fuentes de esta información no pueden ser otras que las estaciones meteorológicas situadas en el territorio a estudiar. Con estos datos pluviométricos, junto con información termométrica, litológica e incluso edáfica, se han conseguido elaborar modelos sobre la distribución potencial de la vegetación que, a pequeña escala, parecen estar bastante asentados (a nivel continental europeo: Emberger, 1933; Bolós, 1989; Allué Andrade, 1990; Blanco et al., 1997; Rivas Martínez y Loidi Arregui, 1999; para Gran Canaria: Del-Arco et al., 2002).
Pero los datos que proporcionan estas estaciones meteorológicas tienen dos carencias importantes que afectan de forma importante al estudio de la distribución de la vegetación. En primer lugar, las estaciones meteorológicas tradicionales tan sólo son capaces de captar el agua producto de la lluvia “vertical”, olvidándose de otros aportes importantes localmente, como las nieblas. Estas carencias tratan de solventarse con trabajos que intentan conocer la importancia de este aporte hídrico y su incidencia territorial (Valladares, 1996; Aboal, 1999 y 2000), tarea compleja donde la topografía juega un papel esencial. En segundo lugar, los datos de precipitación provenientes de los pluviómetros tradicionales nos indican la cantidad de agua recogida por unidad de superficie, siendo esta superficie un área llana; es decir, no se tiene en cuenta la inclinación del terreno. Este hecho cobra mayor importancia si consideramos la fuerte pendiente de gran parte del territorio de muchas regiones áridas, como la zona más baja de la isla de Gran Canaria, objeto de este estudio. Pero no sólo es importante conocer la precipitación real de una zona, sino también como se reparte este recurso una vez alcanza el suelo. La cantidad de agua por unidad de superficie que nos revela el pluviómetro no se reparte siempre de manera homogénea por la superficie del suelo, sino que existen algunos condicionantes, como la presencia de afloramientos rocosos y/o la pedregosidad superficial, que alteran la distribución del agua de lluvia.
Algunas de estas circunstancias topográficas han sido ya estudiadas desde el punto de vista de la acción del viento sobre el reparto de la lluvia (Blocken et al., 2006), así como su influencia en el reparto de los nutrientes y la hidrodinámica en microcuencas (Wilcke et al., 2006), pero hasta el momento no se han utilizado estas variables ambientales para intentar explicar la distribución da las comunidades vegetales a detalle. De esta manera, los modelos basados únicamente en los parámetros termo-pluviométricos macroclimáticos convencionales no explican toda la variación existente. A nivel insular, en los últimos trabajos bioclimatológicos se han tenido que incluir caracteres como el de “areas de incidencia del mar de nubes” para ajustar el modelo de vegetación climatófila o caracteres litológicos, topográficos, geomorfológicos, entre otros, en el caso de los mapas de vegetación potencial. El Mapa de Vegetación de Canarias (Del-Arco et al., 2006) sigue estos criterios. Es evidente que los modelos que intenten elaborar mapas a escala próxima al 1:25 000 serán mejores cuanto mayor sea el número de aspectos topográficos y microclimáticos que incorporen. De estos, nosotros hemos elegido los más generalizables a cualquier territorio, dentro o fuera del ámbito insular, como son la pendiente del terreno y el porcentaje de afloramiento rocoso presente en la zona.
En definitiva, en el presente trabajo se intenta ajustar la información real del agua de lluvia de que disponen los vegetales en zonas áridas, donde la vegetación no forma doseles continuos, por lo que tanto la inclinación como la existencia de afloramientos rocosos condicionan el reparto del agua de lluvia sobre el suelo. Se aplican una serie de fórmulas que ajustan la cantidad de agua disponible según estas dos variables, inclinación y pedregosidad, intentando crear un modelo que explique de manera más adecuada la distribución de la vegetación en estas zonas, tomando como ejemplo los territorios áridos de la isla de Gran Canaria.
MÉTODO
Relación entre los datos pluviométricos y la inclinación
Como ya se ha señalado en este mismo trabajo, los datos pluviométricos obtenidos por los pluviómetros ordinarios lo son para parcelas hipotéticas, homogéneas y sin inclinación. En un territorio con una fuerte pendiente estos datos deben compensarse con la superficie real del mismo.
La forma de calcular este dato es muy simple, y se basa en repartir la precipitación obtenida mediante el uso de pluviómetros, entre la superficie real del terreno:
La superficie real será siempre mayor que la planimétrica, y variará con el ángulo de inclinación del terreno. Para la obtención de la nueva superficie a partir de los datos planimétricos se aplica el teorema del seno, que nos relaciona los lados y ángulos del triángulo que forman la superficie planimétrica y la real.
siendo α la inclinación de la parcela en º.
Ejemplo: en una superficie inclinada 25º donde se reciben 100 l/m2, esta cantidad se distribuye realmente en 1 217 m2, pues:
Superficie real = (1/sen(90-25))2 = (1/sen65)2 = 1 1032 = 1 217
Precipitación real (P´) = 100/1 217 = 82 169 l/m2
Es evidente que cuanto mayor sea α mayor resultará la superficie real, y por tanto, menor la precipitación por unidad de superficie recibida.
En general puede calcularse la precipitación real mediante la siguiente fórmula:
siendo P´ la precipitación real, P la precipitación captada por los pluviómetros de la zona y α el ángulo de inclinación en grados.
Realizado el cálculo de la proporción entre el porcentaje de disminución de la precipitación y el grado de inclinación del territorio nos aparecen los datos expresados en la Figura 1.

Figura 1 Porcentaje de disminución de la precipitación en relación al aumento de la inclinación. [Percentage decrease in rain as the slope increases]
La disminución de la precipitación empieza a ser significativa cuando el terreno alcanza 30º, siendo la disminución del 25%. A 60º la disminución es del 75%, y a partir de este punto la fuerte pendiente condiciona otros factores, como formación del suelo, insolación, etc., lo que determina la aparición de una vegetación fuertemente especializada, la vegetación rupícola. En los paredones cercanos a 90º de inclinación puede decirse que la recepción por lluvia vertical es casi nula, y está condicionada por el viento. Los aportes por nubes, permeabilidad de la roca, orientación de la misma, etc., condicionaran el recubrimiento vegetal.
Esta nueva percepción de los datos pluviométricos ayuda en gran medida a la comprensión de algunos fenómenos observables en la distribución de la vegetación, tales como la presencia de tipos de vegetación que pueden aparecer en distintos enclaves de gran diferencia pluviométrica, ya que en ciertas ocasiones pueden comportarse como formaciones edafoxerófilas, caso de los encinares o carrascales cantábricos (Díaz Gonález y Fernández Prieto, 1987:93-94; Blanco et al., 1997:285-290). También es útil para explicar la inexistencia de vegetación rupícola en paredones verticales en lugares donde el único aporte de humedad es la precipitación vertical (Quintana et al., 2007:91).
Relación entre el reparto del agua de lluvia y la presencia de afloramientos rocosos y/o pedregosidad superficial en superficie
Cuando existe un afloramiento rocoso masivo en el suelo, o la pedregosidad del mismo es muy importante, el agua de lluvia se reparte de tal manera que hace que la expresión de la pluviometría a partir de los datos proporcionados por un pluviómetro convencional no sea lo suficientemente informativa para comprender las verdaderas necesidades hídricas y el comportamiento de la vegetación del entorno. La lluvia caída se concentra, en su mayor parte, en el suelo acumulado entre las rocas, por lo que este se muestra particularmente rico en agua.
La cantidad de agua recibida por el suelo, del que disponen las plantas para crecer, debe calcularse teniendo en cuenta la superficie del afloramiento y la constante de escorrentía del material del que están hechas las rocas. A esta constante se le conoce como C.
Este efecto es conocido y estudiado en las edificaciones y carreteras, por la necesidad de canalización de las aguas pluviales en estas infraestructuras. Así se ha definido un coeficiente de escorrentía que varía según el tipo de superficie sobre la que se produce la lluvia
Para la cubierta de los edificios se ha adoptado el máximo valor de los recomendados de C = 1.
Para la red viaria, teniendo en cuenta que toda ella se encuentra asfaltada y que las aceras están todas pavimentadas, se adopta un valor intermedio de C = 0.8 El mínimo para aceras adoquinada es de C = 0.6 y el máximo es de C = 0.85, el mínimo para calles asfaltadas es de C = 0.9 y el máximo de C = 0.95. Para los jardines de los patios traseros de grava con vegetación densa se ha adoptado un valor intermedio de C = 0.30, siendo el valor máximo de C = 0.4 y el valor mínimo de C = 0.10.
En las zonas naturales de escorrentía puede utilizarse de C = 0.4 a C = 0.8, según la porosidad, textura y otras características de la roca (Arizmendi, 1991; Hernández Muñoz, 1997).
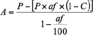
En este caso debe calcularse una concentración de agua en las zonas con suelo utilizable por la vegetación, que hemos llamado “cantidad de agua útil”, teniendo en cuenta la magnitud del afloramiento y dicha constante de escorrentía. El método utilizado para ello ha sido el siguiente:
Cantidad de agua útil (A) = (Precipitación − cantidad de agua absorbida por las rocas) / superficie útil
Cantidad de agua absorbida por la roca = P × af × (1 − C)
(P = precipitación; af = superficie de afloramiento o pedregosidad; C = coeficiente de escorrentía)
Superficie útil = superficie total − superficie del afloramiento o pedregosidad
Se entiende que la cantidad de la superficie ocupada por rocas es representativa de lo que ocurre en el subsuelo, de ahí que se utilice este dato para calcular la acumulación de agua.
Ejemplo: una parcela de 1 m2 en la que la pluviometría es de 100 l/m2, el afloramiento rocoso ocupa el 5% (5 dm2 =0.05 m2) y el coeficiente de escorrentía de la roca es C=0.8
Superficie útil = 1-0.05 = 0.95 m2
Cantidad de agua absorbida por la roca = 100 × 0.05 × 0.2 = 1 l/m2
Cantidad de agua útil (A) = (100 − 1)/0.95 =104.21 l/m2
En general puede calcularse la cantidad de agua útil utilizando la siguiente fórmula:
Donde P es la precipitación, af es la superficie ocupada por el afloramiento rocoso o por la pedregosidad y C el coeficiente de escorrentía.
Esta idea sólo es aplicable a las zonas de vegetación muy aclarada, ya que en los bosques o en los matorrales densos, con coberturas altas, la zona de impacto y de captación de lluvia no es el suelo sino la propia vegetación, lo que anula el efecto de los afloramientos y repartiendo el agua caída de distinta forma. En estas zonas boscosas la cubierta vegetal redistribuye las precipitaciones concentrándolas en tres flujos principales: trascolación (flujo disperso), escorrentía cortical (flujo concentrado) e interceptación (flujo de evaporación). Los dos primeros constituyen la lluvia neta, es decir, aquella que alcanza el suelo bajo la cubierta vegetal. El tercero constituye la lluvia perdida por interceptación que vuelve a la atmósfera sin llegar a caer al suelo (Belmonte Serrato y Romero Díaz, 1999:339). Esta peculiar estructura de la precipitación hace inaplicable en estas zonas las ideas aquí expuestas sobre el reparto del recurso una vez ha alcanzado el suelo.
Realizado el cálculo de la proporción de aumento de la precipitación en función del porcentaje de la zona afectada por el afloramiento en una zona donde el coeficiente de escorrentía fuese de 0.8 se obtiene la Figura 2.

Figura 2 Comportamiento del incremento de la cantidad de agua utilizable con respecto al tamaño del afloramiento rocoso o de la superficie ocupada por la pedregosidad (C=0,8) [Relationship between the amount of available water and the % of rocky outcrops or area occupied by stones (C=0.8)]
Como se aprecia, el aumento de la precipitación empieza a ser significativo cuando el afloramiento ocupa un 20% de la superficie total, aumentando la cantidad de agua en las zonas del suelo útiles para la vegetación cormofítica en 20%. Esta alcanza el 100% de aumento con una ocupación cercana al 55% por parte del afloramiento. A grandes proporciones de afloramiento en superficie quizá este efecto favorecedor de la vegetación empieza a tener efectos secundarios, como la poca disponibilidad de suelo para determinadas especies, grandes árboles de raíces pivotantes, por ejemplo, siendo necesaria la participación de especies especialistas, especialmente rupícolas.
Estas situaciones especiales explicarían la presencia de formaciones o de especies vegetales con mayores necesidades hídricas en lugares cuya pluviometría es insuficiente para las mismas. También sería explicable en estas condiciones de gran proporción de afloramiento rocoso, la aparición de especies rupícolas dominando la vegetación de enclaves sin apenas inclinación, en puntos con escasa precipitación , y muy especialmente en las coladas lávicas recientes y subrecientes (cf. González-Mancebo et al., 1996).
Efecto combinado de la inclinación y los afloramientos rocosos y/o pedregosidad superficial sobre la precipitación
En los ecosistemas rupícolas es muy normal que se combinen ambos aspectos, es decir, que sean a la vez territorios de fuerte inclinación y superficie rocosa, con apenas andenes terrosos o grietas. En estas situaciones es importante analizar el efecto combinado de ambos sobre la pluviometría, ya que, como se aprecia en los puntos anteriores, los efectos son contrarios: mientras la inclinación hace disminuir la cantidad de agua caída por unidad de superficie, el afloramiento rocoso hace que esta agua se concentre en las zonas con suelo, aumentando la disponibilidad hídrica de estas zonas.
Se trata en este caso de una aplicación sucesiva de los cálculos realizados hasta el momento. Partimos del hecho de que, independientemente de la precipitación de un territorio, el efecto de ambos parámetros combinados sobre la misma va a resultar de idénticas proporciones, es decir, territorios con la misma inclinación y grado de afloramiento, tendrán siempre la misma proporción de cambio en su pluviometría.
Por ejemplo, para una zona de 80º de inclinación, 90% de afloramiento y C = 0.8, los datos de precipitación variarán siempre en un 21.71% de incremento sobre el dato pluviométrico (Figura 3).

Figura 3 Variación del dato de pluviometría con respecto a la inclinación en zonas con un 90% de afloramiento rocoso o de pedregosidad superficial (C = 0,8). [Pluviometría variation data regarding the inclination in areas with 90% of surface outcrop or stoniness (C = 0.8)]
Un dato interesante parece ser el que, para un territorio de 85º de inclinación, no hay compensación posible, es decir, independientemente de la superficie del afloramiento, su valor de precipitación útil será siempre menor al pluviométrico.
También es interesante comprobar la gran cantidad de agua que reciben los andenes terrosos de paredones por encima de los 70º de inclinación.
Todo lo anterior podría explicar cuestiones en apariencia contradictorias: la abundancia de agua en los andenes terrosos de acantilados y riscos implica una adaptación singular a temporadas de encharcamiento del poco suelo disponible, e inclu so la posibilidad de encontrar especies con mayores requerimientos hídricos en estos andenes. Podría entenderse por tanto que la vegetación de estos lugares tendría un valor edafohigrófilo. Se explicaría así la presencia de especies exigentes en este recurso, en zonas rupícolas de territorios más secos. Por el contrario, a inclinaciones relativamente altas (de 75º a 90º) y porcentaje de afloramiento por debajo de 95, las condiciones son de sequedad, es decir, cuanto más terroso es el acantilado las condiciones de xerofilia serán más acusadas
RESULTADOS Y DISCUSIÓN
Una vez analizada la influencia de ambos factores, inclinación y superficie ocupada por afloramientos o pedregosidad superficial, desde un punto de vista teórico, nos ocupamos de aplicar estos razonamientos sobre el campo y establecer su utilidad real. Para ello escogemos una serie de lugares de la isla de Gran Canaria (Islas Canarias) que deben cumplir los siguientes requisitos:
Quedar fuera de la influencia del alisio, para descartar el aporte hídrico de la precipitación horizontal.
Estar ocupada por una vegetación abierta, para poder percibir el efecto de la pedregosidad superficial ya comentado.
Tener un alto grado de naturalidad, es decir, una vegetación sin apenas alteraciones humanas, punto muy difícil de conseguir dada la gran alteración de todo el territorio estudiado.
El territorio considerado árido o hiperárido en la isla de Gran Canaria queda reflejado en la Figura 4 (modificado de Del Arco et al., 2002). La temporalización de la precipitación en esta zona, así como los principales datos bioclimáticos de la misma, se muestran en el climograma de la Figura 5, realizado con los datos de la estación meteorológica situada en la ciudad de Las Palmas de Gran Canaria, que aparece en este trabajo como Las Palmas, y que se considera representativa de la zona árida de la isla (Rivas-Martínez 2007, modificado).

Figura 4 Zonas hiperárida (1) y árida (2) en la isla de Gran Canaria (modificado de Del Arco et al. 2002). [Hyper-arid (1) and arid (2) zones in Gran Canaria (modified from Del Arco et al. 2002)].

Figura 5 Climograma de la estación meteorológica Las Palmas, representativa de las zonas hiperáridas y áridas de Gran Canaria. [Climograph weather station Las Palmas, representative of the hyper-arid and arid areas of Gran Canaria].
Se han elegido para este trabajo un total de 14 localidades, cuyos datos de pluviometría, altitud, orientación, coordenadas y vegetación, quedan reflejados en el Cuadro 1.
Los datos de pluviometría se han obtenido a partir de la extensa red de estaciones pluviométricas de que dispone el Servicio Hidrológico del Cabildo Insular de Gran Canaria. En todos los casos existían estaciones con información suficiente, con intervalos de más de 20 años estudiados, a menos de 2 km de distancia de las estaciones analizadas (ver Cuadro 2).
La situación de las localidades estudiadas y de las estaciones pluviométricas mencionadas se presenta en la Figura 6.

Figura 6 Situación de las localidades ( ● ) y las estaciones meteorológicas utilizadas para el estudio ( ● ). [Position of locations ( ✩ ) and weather stations used for the study ( ✩ )].
Toda la zona considerada árida o hiperárida, de bioclima desértico se relaciona con un tipo de vegetación muy singular, los tabaibales dulces, dominados por la tabaiba dulce (Euphorbia balsamifera) junto a otras especies como Helianthemum canariense, Neochamaelea pulverulenta, etc. Son matorrales bajos, de plantas paquicaules y xerofíticas que pierden sus hojas en verano (Del Arco et al., 2002). Cuando la situación hídrica es más favorable, semiárida, aparece el cardonal más típico, propio del bioclima xérico, que adquiere mayor biomasa, llegando a ser un matorral alto, casi cerrado, y en el que acompañan al cardón (Euphorbia canariensis), elementos leñosos menos xerófitos como Rubia fruticosa, Periploca leavigata, Convolvulus floridus, etc. En ambientes más húmedos aparecen los bosquetes de acebuches (Olea cerasiformis), con sabinas (Juniperus turbinata subsp. canariensis) e incluso algunos pinos canarios (Pinus canariensis). Las últimas formaciones son similares a las maquias mediterráneas, con elementos esclerófilos, subarbóreos, bastante cerradas. Así puede establecerse un gradiente de xerofilia, desde el tabaibal dulce, hasta el acebuchal pasando por el cardonal. Este gradiente coincide con la distribución altitudinal general de las tres formaciones en las islas, quedando el tabaibal dulce en las zonas más bajas y de menores precipitaciones; el cardonal por encima de este, en lugares un poco más lluviosos, y, finalmente, el acebuchal, en localizaciones con un régimen hídrico más cuantioso (para más información sobre estos tipos de vegetación y sus cualidades florísticas y ecológicas véase Del-Arco et al., 2002, 2006 y Del-Arco y Rodríguez-Delgado, 2003).
Pero en ocasiones esta regla general no se cumple, y aparecen cardonales en zonas de precipitaciones muy bajas, propias del tabaibal dulce, o por el contrario, cardonales en zonas de mayores lluvias, donde crece el acebuchal, tal como aparece en la cuadro 1, donde localidades vecinas con idéntica pluviometría estándar poseen una vegetación diferente (laderas y riscos de Amurga, Malpaís de la Isleta y Montaña de las Coloradas, Laderas y riscos de Bandama, Ladera O de Arguineguín). Otras localidades se han escogido como “controles”, ya que su pendiente y grado de pedregosidad nos van a servir para tomarlas como ejemplos de las situaciones más generalizables (Cabo Verde, Rampa Tabaibales y Bco. La Aldea).
Si relacionamos la precipitación de cada estación con la vegetación presente en cada una de ellas aparecen importantes contradicciones, tal como quedó apuntado anteriormente (véase Cuadro 1), encontrándose tabaibales dulces en zonas de mayor pluviometría que la de lugares donde crecen cardonales. La temperatura, el otro parámetro climático utilizado hasta el momento para averiguar la distribución de la vegetación, queda sin interés dada la enorme proximidad de las estaciones estudiadas. Por el contrario, si incluimos en el análisis tanto la inclinación como la pedregosidad superficial y el índice de escorrentía de cada material sobre los que crece la vegetación aparece una correlación casi perfecta entre la cantidad de agua real de que disponen las plantas (A) y el tipo de vegetación (véase Cuadro 3).
Cuadro 3 Correlación entre la cantidad de agua de que dispone realmente la cada estación estudiada y la vegetación que presenta.
El tabaibal dulce aparece exclusivamente en localidades de precipitaciones muy escasas, por debajo de los 170 mm anuales. El cardonal alcanza los 270 l/m2, existiendo acebuchal en zonas por encima de los 300 mm anuales de precipitación. Los casos de Riscos sobre Bco. Hondo y de la Ladera O de Arguineguín (1), donde se presentan cardonales con sabinas y pinos, deben explicarse añadiendo al análisis el efecto de la escorrentía de las paredes rocosas en acantilados o de la acumulación de recursos hídricos que se produce en la base de derrubios de ladera, aunque en ambos casos su componente florística era netamente propia del cardonal
CONCLUSIONES
Los análisis de la distribución de la vegetación en un territorio, sobre todo cuando se trata de zonas áridas con una estructura de la vegetación muy singular, y a escalas de detalle, deben plantearse utilizando el mayor número posible de variables. Esta idea ya había sido puesta de manifiesto por otros autores (Del-Arco et al., 2002 y 2006) que tuvieron que emplear otros caracteres como la presencia del mar de nubes y la litología del terreno para explicar la distribución vegetal que se aprecia en el campo. Sin embargo, en los trabajos antes mencionados resul taba imposible, dada la escala utilizada, cuantificar exactamente cuál era la magnitud de la variación hídrica que aportaban estos factores, y se relacionaba el cambio de vegetación con el tipo de sustrato, su juventud o su textura. Para el estudio del paisaje vegetal de un territorio tan abrupto y cambiante como el insular, sobre todo a escalas próximas a 1:20 000 o mayores, es deseable conocer de forma más precisa la distribución de los recursos hídricos. Sólo así se explican aparentes contradicciones en la superposición de pisos de vegetación.
Estudiando las diferencias entre la precipitación captada por un pluviómetro y la precipitación real, relacionada con la inclinación de un territorio, así como el reparto del recurso hídrico sobre un suelo pedregoso o sobre una pared rocosa, se llegan a comprender algunos errores del modelo puramente bioclimático de predicción de la distribución de la vegetación, a la vez que toman cuerpo algunos conceptos en ocasiones poco claros como puede ser la concepción de una vegetación como edafoxerófila o edafohigrófila. Baste un ejemplo para entender esta idea. La vegetación que se asienta sobre riscos muy inclinados puede ser tanto de tipo edafoxerófilo como edafohigrófilo. En situaciones de elevadas precipitaciones, la fuerte inclinación del terreno produce una disminución real de la cantidad de agua de la que disponen las plantas que crecen sobre el talud. Por el contrario, si la precipitación del lugar es poco importante, esta se acumula en las grietas y andenes de la pared y en tales situaciones pueden encontrarse especies más hidrófilas que las naturales del entorno.










nueva página del texto (beta)








