Servicios Personalizados
Revista
Articulo
Indicadores
-
Citado por SciELO -
Accesos
Links relacionados
-
Similares en
SciELO
Compartir
Investigaciones geográficas
versión On-line ISSN 2448-7279versión impresa ISSN 0188-4611
Invest. Geog no.73 Ciudad de México dic. 2010
Geografía humana
Relación estadística entre la temperatura ambiente y las enfermedades diarreicas en Coatzacoalcos, Veracruz (México)
Statistical relationship between ambient temperature and diarrheal diseases in Coatzacoalcos, Veracruz (Mexico)
Irving Rafael Méndez Pérez*, Adalberto Tejeda Martínez**, Israel Salvador Ramírez***
* Centro de Ciencias de la Tierra, Universidad Veracruzana, Xalapa, Veracruz. Email: irmendez@uv.mx
** Grupo de Climatología Aplicada de la Licenciatura en Ciencias Atmosféricas, Universidad Veracruzana, Lomas del Estadio s/n, Xalapa, Veracruz. Email: atejeda@uv.mx
*** Gerencia de Hidrología e Hidrometeorología, Comisión Estatal de Aguas de Querétaro, Santiago de Querétaro, Qro. Email: IsraelRamirezSalvador@ceaqueretaro.gob.mx
Recibido: 13 de abril de 2009.
Aceptado en versión final: 15 de enero de 2010.
Resumen
Para explorar la relación entre la temperatura ambiente y las enfermedades diarreicas en la Jurisdicción Sanitaria de Coatzacoalcos, Ver., se analizaron estadísticamente los casos diarreicos presentados durante el periodo 20002003. Mediante series de tiempo y a partir de modelos de regresión lineal, se encontró que la variabilidad de la frecuencia de diarreas puede ser explicada en alrededor de un 40% por la temperatura. Consecuentemente, dicha frecuencia aumenta en el periodo de mayo a agosto. Por el contrario, en la temporada de lluvias (septiembre, octubre y noviembre) tanto los casos como las temperaturas disminuyen linealmente.
Palabras clave: Diarrea, temperatura, lluvias, Coatzacoalcos.
Abstract
To research the relationship between room temperature and diarrhea diseases, we statistically analyzed the showed diarrhea's cases in Sanitary Jurisdiction from Coatzacoalcos, Ver., during the period 20002003. By means of time series and a model of linear regression, we have find out that the variability in the frequency of diarrheas can be explained in terms of 40% by the temperature. Therefore, the frequency of the diarrhea's cases increases during June, July and August. On the other hand in rainy seasons (September, October and November) both diarrhea's cases and temperatures fall linearly.
Key words: Diarrhea, temperature, rains, Coatzacoalcos.
INTRODUCCIÓN
Las enfermedades diarreicas en los países en desarrollo, constituyen una de las principales causas de enfermedad y muerte en todas las edades, pero sobre todo en niños menores de cinco años (Ferrano et al., 2003).
La diarrea aguda se define como el aumento en la frecuencia de fluidez y/o volumen de las deposiciones del aparato intestinal con pérdida variable de agua y electrolitos, y cuya duración es menor de 14 días. Dicho aumento puede estar compañado o no de vómitos y dolor abdominal y es producido por un germen parásito o sus toxinas (entendiendo por germen el microorganismo que puede causar o propagar enfermedades al huésped; mientras que la toxina es un compuesto que producen dichos microorganismos, los que generalmente se comportan como parásitos). En caso de mantenerse por más de dos semanas se denomina diarrea persistente, y si la duración llega al mes se le considera diarrea crónica (Gómez et al., 2001). Weihe (1988) afirma que desde hace mucho tiempo se ha mostrado estadísticamente que las infecciones provocadas en el aparato intestinal se ven influenciadas por las temperaturas de los climas tropicales que favorecen la viabilidad de los parásitos causantes.
En el siglo XVI las costas orientales de la Nueva España en lo que actualmente es el litoral del estado mexicano de Veracruz, por donde entraban y salían embarcaciones con mercancías diversas eran insalubres y por tanto el tráfico de esclavos y animales por parte de los conquistadores y colonizadores se veía fuertemente afectado. Las enfermedades infecciosas y parasitarias hicieron estragos particularmente en la ciudad y puerto de Veracruz, rodeada de aguas pantanosas, con escasa circulación del aire durante algunas temporadas y con una población orillada a consumir aguas contaminadas (Muriel, 1990).
Para 1803, Humboldt encuentra una relación clara entre afectados por el llamado vómito prieto y la temperatura medida en el castillo de San Juan de Ulúa por el Capitán Bernardo de Orta, como se presenta en la Figura 1 (Humboldt, 2004).
A finales del siglo XIX, el Consejo Superior de Salubridad del Distrito Federal formó una comisión para estudiar las causas que originaban las diarreas (afección de tipo intestinal) que provocaban malestares en gran parte de la República Mexicana. La comisión determinó que el consumo del agua no potable, la alimentación inadecuada y el aire impuro que rodeaba a las poblaciones del país y que respiraban las clases sociales más pobres, eran los principales elementos causantes de este mal. Dicha comisión observó que el máximum de la enfermedad se presentaba de abril a agosto coincidente con el periodo de altas temperaturas junto con la escasez de las lluvias, circunstancias que concluía la comisión favorecían la rápida evolución de las fermentaciones de las materias fecales, provocando la circulación de un aire impuro (Orvañanos, 1889).
En la Figura 2 se observa que en la zona sur del estado de Veracruz se localizaba la región donde existía alrededor de un 50% de municipalidades con problemas de infecciones intestinales que reinaban en verano.
Entre otras de las investigaciones sobre la relación entre enfermedades diarreicas y las temperaturas para el estado de Veracruz, está el trabajo de Tejeda y Acevedo (1993) sobre las variaciones de la temperatura ambiente promedio y los casos de infecciones gastrointestinales en la ciudad de Xalapa, Veracruz, para el periodo de enero a mayo de 1991. Encontraron una correlación de 0.7, es decir, que en un 49% la variabilidad de los casos de infecciones gastrointestinales en esa ciudad se puede explicar a partir de la variabilidad de la temperatura ambiente.
Por su parte, Sánchez (1993) analizó la relación de las enfermedades digestivas con la precipitación y la temperatura ambiente, durante la época de lluvias de 1991 para Poza Rica, Veracruz; manifestó que las enfermedades digestivas aumentaban cuando existía una disminución en la precipitación y durante la sequía intraestival (canícula).
Recientemente, Riojas et al. (2008) generaron escenarios ante condiciones de cambio climático de tasas de dengue, enfermedades diarreicas agudas y enfermedades respiratorias agudas, para el sur del estado de Veracruz, en la llamada por los autores región olmeca. Partieron de datos de 1995, 2000 y 2005, y aplicaron las proyecciones climáticas de modelos de circulación general.
A nivel de diagnóstico con miras a la obtención de relaciones entre variables climáticas e incidencia de enfermedades gastrointestinales, destaca el trabajo de Konno et al. (1983), quienes hicieron un análisis climatológico de la influencia de la temperatura y la humedad relativa en las infecciones por rotavirus en Yamagata, Japón, para un periodo de siete años (19761982). Contrario a lo que reporta la mayor parte de la literatura, concluyeron que las infecciones aparecen cuando existe una temperatura baja, pero con la humedad relativa no hallaron ninguna relación. Singh et al. (2001) realizaron dos estudios sobre la influencia de la variación climática en las enfermedades diarreicas en las islas del Pacífico Sur de 1978 a 1998; encontrando que los casos de diarreas se podían asociar con un incremento en la temperatura ambiente y con una disminución de la precipitación.
De acuerdo con los trabajos mencionados anteriormente, es de esperarse que en un clima tropical, del tipo cálido húmedo con lluvias en verano, como el de la parte sur del estado de Veracruz, la aparición de las enfermedades diarreicas esté asociado con variaciones térmicas; por lo que se tratará de establecer la relación estadística entre la variable térmica y los casos de enfermedades diarreicas en la zona sur del estado de Veracruz.
ZONA EN ESTUDIO Y MÉTODOS
A partir de los datos de casos anuales de enfermedades diarreicas para el periodo 2000 al 2003, proporcionados por la Dirección General de Epidemiología de la Secretaría de Salud del Gobierno Federal, se realizó el conteo de casos diarreicos por estado en la República Mexicana (Figura 3). El Estado de México, Distrito Federal y Veracruz fueron las entidades donde se registraron mayores casos diarreicos.
A partir de datos semanales de casos diarreicos para el periodo 2000 al 2003, proporcionados por la Secretaría de Salud y Asistencia del Estado de Veracruz (SSAVER), se encontró que de las once Jurisdicciones Sanitarias con las que cuenta la entidad veracruzana, la Jurisdicción XI correspondiente a Coatzacoalcos, presentó el mayor número de casos, poco más de 70 mil, equivalentes al 18% del total (Figura 4).
Si se comparan las Figuras 2 y 4, se demuestra que tanto a finales del siglo XIX (1889) como en los tiempos recientes (20002003), la región sur de la entidad veracruzana (particularmente Coatzacoalcos) ha sido de las zonas de mayor incidencia de afecciones intestinales, motivo por el que este trabajo se ocupará de la zona de Coatzacoalcos.
La Jurisdicción Sanitaria XI de Coatzacoalcos, Veracruz, se localiza en la parte sur de la entidad, a una latitud entre 17°07' y 18°33'N y una longitud entre los 93°38' y 95°01'W. Comprende 18 municipios (con un total de un millón de habitantes), con una superficie aproximada de 11 831.68 km2 y cuya altitud varía entre el nivel del mar y los 440 msnm.
Colinda al norte con el Golfo de México, al este con el estado de Tabasco, al sureste con el estado de Chiapas, al oeste con el municipio de San Andrés Tuxtla y al suroeste con el estado de Oaxaca. La temperatura promedio anual en esa zona sur del estado de Veracruz oscila entre los 22 y 26 °C, presenta un clima cálido húmedo de los tipos Am y Am(f) y una precipitación anual promedio de entre 2 098 y 2 860 mm.
Los datos meteorológicos diarios de temperaturas máxima, mínima, ambiente y precipitación utilizados corresponden al observatorio meteorológico de Coatzacoalcos y a nueve estaciones climatológicas de la Comisión Nacional del Agua (CNA) para el periodo 2000 al 2003.
A partir del análisis de los datos provenientes del Observatorio de Coatzacoalcos, se encontró que existían inconsistencias y falta de datos para este periodo, por lo que se descartó tomar al Observatorio como base en el estudio y por lo cual se procedió a determinar qué estación climatológica sería la más indicada para establecer la relación estadística entre la variable térmica y casos diarreicos. Para ello se realizó una matriz de correlación de la variable térmica, entre nueve estaciones climatológicas de esa zona, para mostrar qué tan asociadas se encuentran una con otra. Las correlaciones lineales entre estaciones van de 0.96 a 1.00; es decir, que existe una fuerte asociación entre las estaciones y por tanto cualquiera de ellas podría utilizarse para este estudio. Se decidió, principalmente, por la estación climatológica de La Cangrejera porque presenta una serie de datos sin interrupciones.
Los datos epidemiológicos de casos de enfermedades diarreicas proporcionados por la SSAVER, del periodo 2000 al 2003, fueron semanales. Por lo que se obtuvo el promedio semanal de los datos diarios de las temperaturas.
Los casos de enfermedades diarreicas aquí considerados comprenden la población de todas las edades (niños, jóvenes y adultos) tanto en hombres como en mujeres. Los datos proporcionados por la SSAVER sólo muestran valores totales de todos los casos por tipo de enfermedades diarreicas registrados en la zona sur del estado de Veracruz (cólera, disentería, infecciones intestinales, amibiasis, etc.), por lo que se utilizará sin distinguir entre los tipos de diarreas causadas por diversos agentes patógenos.
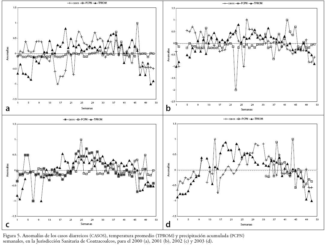
Se estandarizaron los datos meteorológicos y epidemiológicos, a fin de realizar gráficos de anomalías, que se muestran en la Figuras 5 (a, b, c y d). Los casos diarreicos presentan una alta frecuencia en los meses de junio a julio (aproximadamente 2 000 casos), la temperatura se incrementa de abril a mayo de 2000 y 2003 y juniojulio durante 2001 y 2002. Por su parte, la precipitación muestra incrementos en los meses de septiembrenoviembre del 2000 al 2003.
Para el caso de Bangladesh, Wagatsuma et al. (2003) han señalado que el mejor ajuste estadístico entre las enfermedades diarreicas y las variables meteorológicas ha sido con la temperatura ambiente y la precipitación, por consiguiente, se incluyó la precipitación en dicho análisis.
Para relacionar las transmisión de salmonelosis y variables climáticas para el sur de Australia, Zhang et al. (2008) ensayaron diversos procedimientos de regresión. Encontraron que la regresión estacional a partir de medias móviles fue la más adecuada. No obstante, como se verá en este trabajo, para Coatzacoalcos, buscando relacionar frecuencia de pacientes con enfermedades diarreicas y temperatura, la regresión polinomial (con la temperatura como variable independiente, es la que alcanzó mayores correlaciones, como se mostrará más adelante; mientras que la precipitación no mostró tener una relación significativa.
A través del paquete Statistica 5.5 se aplicaron modelos de regresión de una variable (lineal y polinomial), a fin de evaluar los efectos que ejerce la temperatura ambiente (máxima, mínima y media) en los casos de enfermedades diarreicas.
Además, se realizó un análisis estadístico comparativo entre los casos diarreicos y los promedios semanales de las temperaturas (máxima, mínima y promedio) con un desfasamiento de la temperatura ambiente hacia atrás de uno a siete días de la semana epidemiológica real, considerando que la bacteria causante de la diarrea necesite un lapso de tiempo para evolucionar en la persona (particularmente los rotavirus y la salmonella causantes de diarreas y que se desarrollan en un lapso de 01 a 03 días, mientras que la persona requiere un tiempo determinado en padecer los síntomas del cuadro diarreico que lo lleve a la consulta médica; Ballal y Shyvananda, 2002).
RESULTADOS Y DISCUSIÓN
La Tabla 1 muestra las correlaciones estadísticas obtenidas entre los casos de enfermedades diarreicas y las temperaturas máximas, mínima y promedio.

De la Tabla 1 se puede apreciar que las correlaciones del análisis semanal anual del 2000 son bajas (del orden de 0.1), mientras que en el 2001 se observan correlaciones de aproximadamente 0.4 (o sea, que el 16% de la variabilidad de los casos diarreicos se explica por las variaciones térmicas). Para 2002 y 2003 se observa un ligero aumento en las correlaciones para alcanzar el 0.5 (25% de la variabilidad explicada).
La Tabla 2 presenta el análisis de las correlaciones entre los casos de enfermedades diarreicas y las temperaturas máxima, mínima y promedio desfasadas de uno a siete días de la semana real.
Posteriormente, se seleccionaron las correlaciones más altas obtenidas en los análisis de los casos del 2000 al 2003 mostrados en la Tabla 1, para mejorar el ajuste con la utilización de una función polinomial. Los resultados se presentan en la Tabla 3.
En la Tabla 2 se presentaron correlaciones bajas, y del mismo orden de la semana epidemiológica real (Tabla 1), por lo que el procedimiento sobre los desfasamientos diarios de la temperatura ambiente se descartó. A su vez en la función polinomial mostrada en la Tabla 3, se observan las correlaciones con un incremento del orden de 0.6 y que sucedió en los años 2002 y 2003. En el 2001 las correlaciones fueron bajas del orden de 0.4.
CONCLUSIONES
De 2001 a 2003, las correlaciones obtenidas indican una relación lineal entre casos diarreicos y temperaturas, si bien otros autores han establecido relaciones similares con incrementos térmicos (anomalías), humedad o precipitación. Lo que se encontró en este estudio es que las diarreas se asociaron directamente con las temperaturas en el cuatrimestre agostonoviembre, es decir, los casos tienden a disminuir conforme lo hacen las temperaturas en el periodo de lluvias. A su vez, para el inicio del verano (junio y julio), se halló que las diarreas presentaban una alta frecuencia. Esto quiere decir que durante el verano las diarreas pueden deberse a que la aparición de altas temperaturas y la escasez de agua favorecen la aparición del patógeno o parásito causante de las mismas y, junto con los factores conductuales de la persona, hacen que el patógeno entre en contacto con el huésped al necesitar un cierto tiempo de incubación para evolucionar y causar estragos en el individuo.
En síntesis, puesto que los coeficientes de determinación (o de correlación lineal al cuadrado) están próximas a 0.4, se puede afirmar que alrededor de un 40% de la variabilidad de los casos de enfermedades diarreicas para 2001 a 2003 en la Jurisdicción Sanitaria de Coatzacoalcos, Ver., pueden ser explicados mediante las temperaturas (temperatura máxima, mínima y promedio), mientras que el resto puede ser atribuido a otras variables o factores que provoquen efectos en los casos diarreicos.
REFERENCIAS
Ballal M. and G. Shivananda (2002), Rotavirus and enteric pathogens in infantile diarrhoea in Manipal, South India, Indian Journal of Pediatric, no. 69, pp. 393396. [ Links ]
Ferrano S., M. Vancampenhoud y A. Troncone (2003), "Diarreas agudas en la edad pediátrica", XIV Jornadas Nacionales de Infectología y IX Jornadas Nororientales, Puerto La Cruz Venezuela, pp. 23. [ Links ]
Gómez, C., R. Rodríguez y S. González. (2001). "Gastroenteritis por salmonella, shigella y campylobacter", Protocolos diagnósticos y terapéuticos en pediatría, tomo 2, Infectología, Asociación Española de Pediatría, p.114. [ Links ]
Humboldt, A. (2004). Ensayo político sobre el Reino de la Nueva España, Porrúa, Colección Sepan cuantos... núm. 39, México. [ Links ]
Konno, T., H. Suzuki, N. Katsushima, A. Imai, F. Tazawa, T. Kutsuzawa, S. Kitaoka, M. Sakamoto, N. Yazaki and N. Ishida (1983), "Influence of temperature and relative humidity on human rotavirus infection in Japan", Journal Infectology of Disease, vol. 147, no. 1, pp. 125128. [ Links ]
Muriel, J. (1990), Hospitales de la Nueva España, Fundaciones del siglo XVI, tomo I, UNAM, pp. 223225. [ Links ]
Orvañanos, D. (1889). Ensayo de geografía médica y Climatología de la República Mexicana [http://www.biblioweb.dgsca.unam.mx/libros/medica: abril 2005] [ Links ].
RiojasRodríguez, H., M. HurtadoDíaz, G. LitaiMoreno, S. R. Lorenz, R. SantosLuna y J. L. Texcala.Sangrador (2008), "Estudio piloto sobre escenarios de riesgo en salud asociados al cambio climático en regiones seleccionadas de México", en TejedaMartínez, A. (comp.), Estudios para un Programa Veracruzano ante el Cambio Climático, Universidad Veracruzana, Instituto Nacional de Ecología de la Semarnat y Embajada Británica en México [http://portal.veracruz.gob.mx/pls/portal/docs/PAGE/PROTECCIONVER/CAMBIO_CLIMATICO/ESTUDIO%20PILOTO%20INSP.PDF] [ Links ].
Sánchez, R. (1993), "Enfermedades digestivas y su relación con algunas variables climáticas en Poza Rica, Ver.", La Ciencia y el Hombre, Universidad Veracruzana, pp. 1820. [ Links ]
Singh, R., S. Hales, N. Wet, R. Raj, M. Hearnden and P. Weinstein (2001), "The Influence of climate variation and change on diarrheal disease in the Pacific Islands", Environmental Health Perspectives, vol. 109, no. 2, pp. 155159. [ Links ]
Tejeda, A. y F. Acevedo (1993), "Las condiciones climáticas anómalas de enero a mayo de 1991 en Xalapa, Ver., y su impacto en el bioclima humano", La Ciencia y el Hombre, Universidad Veracruzana, pp. 2829. [ Links ]
Wagatsuma, Y., T. Hayashi, T. Terao, M. Maleck, A. Teshima and J. Matsumoto (2003), "Relationship between meteorological elements and diarrhoeal diseases in Bangladesh", Notas de la Conferencia Ambiental de la Salud (Environmental Health Conference), Dhaka, Bangladesh, p. 2. [ Links ]
Weihe, W. (1988), "La esperanza de vida en los climas tropicales en función de la urbanización", La Climatología urbana y sus aplicaciones con especial referencia a las regiones tropicales, Organización Meteorológica Mundial, Ginebra, pp. 274311. [ Links ]
Zhang, Y., Bi, P. and J. Hiller (2008), "Climate variations and salmonellosis transmission in Adelaide, South Australia: a comparison between regression models", Int. J. Biometoerol, no. 52, pp. 179187. [ Links ]













