Servicios Personalizados
Revista
Articulo
Indicadores
-
Citado por SciELO -
Accesos
Links relacionados
-
Similares en
SciELO
Compartir
Investigaciones geográficas
versión On-line ISSN 2448-7279versión impresa ISSN 0188-4611
Invest. Geog no.71 Ciudad de México abr. 2010
Geografía humana
Fricción de la distancia, autocorrelación espacial de la productividad e impacto de la longitud por carretera en la dinámica de convergencia de la región centro de México (19932003)
Friction of distance, spatial autocorrelation of productivity and impact of the length of roads on the convergence dynamics in the central region of Mexico (19932003)
Marcos Valdivia López* Héctor Ávila Sánchez* y Carlos Galindo Pérez*
* Centro Regional de Investigaciones Multidisciplinarias, UNAM, Av. Universidad s/n, Circuito No. 2, Campus Morelos, Colonia Chamilpa, Cuernavaca, Morelos, 62210, México. Email: marcosv@correo.crim.unam.mx, ahector@servidor.unam.mx, carlosgp@correo.crim.unam.mx
Recibido: 20 de junio de 2008.
Aceptado en versión final: 6 de febrero de 2009.
Resumen
Con base en diferentes especificaciones de la fricción de la distancia, en este documento se analiza, para los municipios de la región Centro de México, la autocorrelación espacial de la productividad del trabajo, en general, y de los procesos de convergencia regional, en particular, para el periodo 19932003. Se aclara que en los estudios regionales, la fricción de la distancia se ha incorporado tradicionalmente dentro del marco de los modelos gravitacionales, pero en este trabajo se propone que la fricción de la distancia también puede ser estudiada a través de indicadores estadísticos de asociación espacial, como el índice de Moran. En el ensayo se plantea que la forma específica de la función que caracteriza la fricción de la distancia, condiciona los resultados de dependencia espacial económica. Para verificarlo, se toman como casos de estudio a la región centro de México y el estado de Morelos, y se demuestra que la dependencia espacial en la productividad del trabajo tiene mayor significancia estadística cuando se utiliza la distancia real en carretera entre las unidades de observación o fricción de la distancia que cuando se consideran distancias lineales entre centroides o bajo criterios de vecindad espacial. El ensayo concluye que el proceso de convergencia regional en el centro del país durante el periodo 19932003, fue condicionado en parte por efectos espaciales asociados a la distancia por carretera entre las localidades de la región Centro. Estos resultados pueden ser relevantes para los estudios de convergencia regional, al proponer un criterio de interacción espacial que responde de mejor forma a las condiciones territoriales específicas que afectan los determinantes de crecimiento de las economías regionales, como son los costos de transporte y/o las economías de aglomeración.
Palabras clave: Fricción de la distancia, autocorrelación espacial, convergencia regional, productividad.
Abstract
This paper studies the spatial autocorrelation of labor productivity and economic convergence dynamics at the municipality level through the consideration of different measurements of the friction of distance. Typically, friction of distance is analyzed under a gravitational modeling perspective, but in this paper we propose that friction of distance can also be studied through spatial autocorrelation statistics such as the Moran's index. In this research, it is postulated that the measurements of spatial dependence in economic activity depend strongly on the specific functional form that characterizes friction of distance. In order to empirically verify this idea, this research takes as study cases the central region of Mexico and the state of Morelos, and it is showed that spatial dependence of labor productivity is statistically more significant when real distance road is used between two regional units of analysis instead of Euclidian distance or contiguity distancebased criteria. Finally, the paper establishes that the economic convergence process during the period 19932003 was conditioned by spatial interaction effects associated to the roads that connect localities in the region. The results can be relevant for economic convergence studies because it proposes a spatial interaction criterion that responds better to the specific geographical conditions that affect the determinants of growth such as transportation costs and agglomeration economies.
Key words: Friction of distance, spatial autocorrelation, regional convergence, productivity.
INTRODUCCIÓN
Una constante en los estudios regionales de carácter empírico, al incorporar la variable espacial en el análisis del desarrollo regional, es asumir la distancia lineal entre las unidades de observación (estados, municipios, localidades) como criterio para diseñar los modelos de interacción espacial. Esta simplificación facilita el cálculo y la modelación de las relaciones espaciales, pero resulta en la abstracción, dentro del análisis, de los efectos espaciales asociados a la infraestructura vial o la topografía.
Reconocida esta restricción, el objetivo de este trabajo es ahondar en las repercusiones que implica involucrar la distancia real por carretera entre unidades de observación, como dato empírico en el análisis espacial de la productividad del trabajo, y en particular, en los procesos de convergencia regional en el centro de México.
Este trabajo se divide en dos secciones. En la primera se analiza el concepto de fricción de la distancia en el marco de los modelos gravitacionales y de indicadores estadísticos de autocorrelación espacial. En la segunda se aplican varios criterios de fricción de la distancia para analizar la productividad del trabajo en los municipios que conforman la región Centro del país; y se aplica un modelo convencional de convergencia absoluta, a partir del cual se evalúan los efectos que la fricción de la distancia impone sobre la dinámica de convergencia en la región Centro durante el periodo 19932003.
FRICCIÓN DE LA DISTANCIA Y AUTOCORRELACIÓN ESPACIAL DE LA ACTIVIDAD ECONÓMICA
En la economía neoclásica pura los costos de transporte no son significativos, lo que equivale a considerar una fricción de la distancia igual a cero. Para la economía teórica espacial (Fujita et al., 1999), la variable distancia se incorpora para ajustar los modelos económicos tradicionales que operan bajo principios de racionalidad económica individual (Fingleton y López, 2006). Sin embargo, esos estudios de convergencia espacial tienden, en general, a utilizar distancias lineales entre las unidades de observación, práctica que, por tanto, concibe un "espacio euclidiano" lo que significa una abstracción de los efectos espaciales asociados a la infraestructura vial y de la influencia que ejerce el relieve (topografía) en el traslado de materias primas, mercancías, población, entre otras.
Estas condiciones serían equivalentes en geografía urbana o regional, a pensar un espacio isomorfo (plano, sin irregularidades topográficas), en el que la localización de cada núcleo de producción o consumo resultaría óptima, tanto para sí mismo, como para todos lo demás. Esta perspectiva no friccional ha sido criticada tanto por economistas (Marshall), como por los fundadores de la ciencia regional (Isard, 1960) ya que impide establecer correctamente las asociaciones entre "interacciones espaciales" y distancia (por ejemplo, entre costos de transporte y distancia). Se insiste, por tanto, que la teoría económica convencional (de libro texto), tiende a asumir escenarios de decisión en un marco de competencia perfecta, en los que la fricción de la distancia es prácticamente nula o igual a cero.
En este trabajo se recurre al uso del concepto de fricción de la distancia, cuyo fundamento se basa en el siguiente principio:
la distancia asociada a una decisión (ir al trabajo, de compras, etc.) está condicionada por una serie de factores, como el esfuerzo, la energía o el dinero requerido para realizar el trayecto de distancia.
En términos generales, se considera que la fricción de la distancia exhibe una distance decay function (Ibid.), es decir, una forma funcional en la que a mayor distancia, mayor esfuerzoenergíadinero. Desde esta perspectiva, se argumenta que la cantidad de interacciones espaciales asociadas a un problema de decisión (ir al trabajo, de compras, etc.) ocurrirán en mayor número sobre distancias cortas y disminuirán conforme aumenta la distancia.
Modelo gravitacional
El concepto de fricción de la distancia tiene su origen en los planteamientos teóricos de la ciencia regional (Ibid.). Quizás "el modelo gravitacional" sea la referencia clásica como implementación matemática de la fricción de la distancia, para explicar la "interacción espacial" entre comportamientos humanos (tráfico, migración, etc.). En este modelo se propone que el potencial de interacción (P) entre un origen (i) y todos los destinos (j's) es una función de una masa gravitacional zj (ingreso, población, etc.) y una distance decay function f(dij):

Una de las funciones de distancia de mayor uso es la inversa:

Cuando el parámetro γ toma el valor de uno, ecuación (1) emula un modelo gravitacional newtoniano (i.e. la interacción espacial es inversamente proporcional a la distancia entre i y j). Ecuaciones del tipo (1) pueden ser implementadas empíricamente para evaluar si existe una distant decay function en los modelos de interacción espacial (i.e. encontrar un parámetro γ negativo).
Los modelos gravitacionales del tipo (1) han sido criticados porque no consideran apropiadamente la relación entre interacción (o comportamiento de los individuos en función de la distancia) y los efectos del "arreglo espacial" de las masas gravitacionales (Fotheringham, 1981). Esto significa que la presencia de autocorrelación espacial de las masas gravitacionales y/o la accesibilidad de los destinos a cada uno de los otros destinos, pueden sesgar los resultados de un modelo como el de la ecuación (1) que no considera explícitamente la estructura espacial de las unidades de observación.
Al respecto, Fotheringham (1982) ha señalado que es importante controlar los efectos de grupo que pueden tener los destinos debido a que pueden existir "efectos de aglomeración" (si destinos potenciales están agrupados de manera cercana, la probabilidad de ir a ellos será mayor si estuvieran alejados uno del otro) o "efectos competitivos" (a mayor número de destinos en una región, menor la probabilidad de que un destino sea más probable).
El modelo gravitacional considera simplemente una relación lineal entre origen y regiones de destino y hace caso omiso de los posibles efectos grupales. Una manera de corregir este sesgo es involucrando en el modelo gravitacional (ecuación 1) una nueva variable que describa la accesibilidad de un destino a cada uno del resto de los destinos (Ibid.).
Fricción de la distancia en la Autocorrelación Espacial
Como indica Anselin (2002), un concepto relacionado a la noción de potencia del modelo gravitacional, es el de una variable explicativa espacialmente rezagada: Wx, donde W es una matriz de pesos espaciales (NxN) y x es un vector (Nx1). Cada elemento de esta variable espacialmente rezagada consiste en una suma ponderada de los valores de la variable en el subgrupo de observaciones vecinas, o formalmente, para cada observación i,

De esta manera, la cercaníarelevancia entre el lugar (i) y lugar (j) está reflejada en los pesos asignados (wij). El tipo de pesos usados son determinados a priori, pero éstos bien pueden reflejar una distance decay function como la de la expresión (2) que es usada en el modelo clásico gravitacional.
Para este trabajo, una manera más apropiada de involucrar la estructura espacial en los modelos que consideran la "fricción de la distancia", es utilizando expresiones como la indicada en la ecuación (3). En este sentido, posibles efectos de aglomeración son recogidos de mejor manera en las "interacciones espaciales".
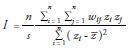
En este trabajo se emplean expresiones del tipo (3) para evaluar el papel que tiene la "fricción de la distancia" en la autocorrelación espacial de la productividad del trabajo en la región Centro. En específico, para realizar los cálculos de autocorrelación espacial se recurre al índice de Moran, que tiene la siguiente expresión:

donde ,
n es el número de unidades espaciales, p es el valor observado en la unidad espacial y p es la media de p.
La fricción de la distancia, en la medición de la autocorrelación espacial, se refleja en la especificación usada en los pesos espaciales (wij). En este trabajo se utilizaran las siguientes formulaciones de distancia para realizar el análisis:

donde A es una constante que se establece igual a uno y γ es la fricción de la distancia. En este trabajo, γ es 1 de tal forma que posibilite emular una fricción de tipo newtoniano para la ecuación (5). La otra formulación de distancia que analizaremos es

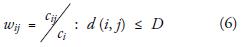
donde ci indica el número de vecinos de i, cij=1, y D es una distancia establecida a priori (en este trabajo se utiliza una D que garantiza que al menos una observación regional tenga un "vecino").
La expresión (6) abre la posibilidad, a diferencia de la (5), de que algunos pesos espaciales sean cero; asimismo, puede deducirse que la matriz W (NxN) que contiene estos pesos espaciales es una matriz estandarizada de pesos por renglón (i.e los valores de cada una de los renglones de la matriz suman uno) y en donde cada uno de los vecinos de i tiene el mismo peso espacial en la matriz W. De igual manera, se pueden transformar los pesos de la expresión (5) de forma estandarizada tal como muestra la expresión (6).
Para dar una idea de cómo (5) y (6) incorporan la "fricción de la distancia" en la matriz de pesos del índice de Moran, la Figura 1 muestra la relación entre los pesos y la distancia bajo la condición de la expresión (5) y la Figura 2 presenta dicha relación bajo la condición de distancia de la expresión (6) con una D menor o igual a 10.


Se destacan en ambas figuras anteriores las diferencias de asignaciones de pesos en los dos modelos. La Figura 1 reproduce la relación clásica ("newtoniana") de la fricción de la distancia dentro del modelo gravitacional (la interacción espacial va disminuyendo de manera inversamente proporcional a la distancia), utilizando la expresión (5) y considerando γ=1 y γ=2. Mientras que en la Figura 2 se observa una discontinuidad en la función, una vez que se rebasa un "umbral" de distancia que es asignado a priori.
Más adelante se mostrará que de los dos criterios de distancia considerados se obtendrán diferentes resultados en la medición de la autocorrelación espacial de la productividad en los estudios de caso analizados.
Inferencia estadística en la medición de la fricción de distancia
En las pruebas estadísticas del índice de Moran (ecuación 4), la hipótesis nula tiene como referente una distribución de probabilidad del índice en la que se prueba la ausencia de autocorrelación espacial; y en general, esta distribución puede ser calculada bajo dos supuestos. El primero asume que la distribución del Moran es asintóticamente normal. El segundo es un supuesto menos restrictivo llamado de aleatorización, en el que el índice de Moran observado es analizado a través de una distribución experimental del Moran que es obtenida por medio de permutar aleatoriamente los valores observados que están alrededor de las áreas espaciales analizadas. Este método de permutación de corte Monte Carlo genera pseudo valores p con los cuales se puede probar la hipótesis nula de aleatoriedad espacial.1
Sin embargo, es importante señalar que ambos enfoques (el de normalidad y aleatorización) operan bajo el supuesto de varianza constante, el cual puede ser violado para algunos tipos de datos espaciales, por ejemplo, aquella información que provenga de unidades regionales (i.e. municipios, AGEBs) con tamaños de población muy diferentes. Cuando el objeto de estudio son poblaciones en riesgo (i.e. transmisión de enfermedades, suicidios, delincuencia, etc.), la presencia de heterogeneidad poblacional (en las unidades de observación regional) es un dato importante de atender, ya que tasas (por ejemplo, de suicidio) en áreas con poca población tendrán mayores varianzas que aquellas tasas calculadas en áreas con mucha mayor población (Haining, 2003:196).
Para afrontar la problemática de inestabilidad en la varianza, se han desarrollado diversos ajustes al índice de Moran (ecuación 4) que toman en cuenta los efectos de las variaciones en el tamaño de la población (Ibid.:244). En particular, se destaca la propuesta de Assuncao y Reis (1999), que derivan en un índice empírico bayesiano (EBI en inglés) que tiene la ventaja de tener prácticamente la misma estructura e interpretación del índice de Moran (ecuación 4) sólo que ahora las tasas estimadas están condicionadas por diferentes medias y varianzas.2
Es importante aclarar que si bien estos ajustes del Moran son importantes de atender cuando se analizan poblaciones en riesgo (i.e. infecciones, suicidios, robos, etc.), no queda del todo claro desde una perspectiva económica si cuando se analiza productividad (como es el caso en este estudio) el tamaño de la variable poblacional (i.e. la población ocupada en la unidad de observación regional) deba ser necesariamente ajustada. Es decir, dado que existe una tecnología promedio (externa) a lo largo de las regiones (municipios), no vemos porqué necesariamente deba afectar el hecho de que "municipios" con poca (mucha) población ocupada deban desarrollar una mayor (menor) dispersión en la productividad.3
Lo que sí es común encontrar en la literatura que trata el asunto de la distribución regional de la productividad (De Gallo y Etur, 2003), es trabajar con una transformación en logaritmos naturales, con ello implícitamente se aminoran los problemas anteriormente mencionados. En dado caso, en las mediciones que se realizarán posteriormente en la siguiente sección se incorporarán algunas mediciones de autocorrelación que corrigen la heterogeneidad poblacional (véase sección "Efecto de la fricción de la distancia en la autocorrelación espacial de la productividad de la región Centro").
EFECTOS DE LA FRICCIÓN DE LA DISTANCIA EN LA AUTOCORRELACIÓN ESPACIAL DE LA PRODUCTIVIDAD Y EL PROCESO DE CONVERGENCIA DE LA REGIÓN CENTRO
Como acotación teóricometodológica y a diferencia de otros trabajos (De Gallo y Etur, 2003; Aroca et al., 2005) en los que la variable distancia se incorpora bajo criterios euclidianos, en este ejercicio la fricción de la distancia se asume como la distancia real por carretera entre dos núcleos de población (a la que se denomina "carretera"). Para calcular dicha especificación de la fricción de la distancia se recurrió al uso de los sistemas de información geográfica (SIG).
La labor realizada consistió en utilizar información cartográfica digital para la región Centro: a) de las cabeceras municipales y b) de las carreteras pavimentadas.4 Con estas coberturas se procedió a calcular la distancia por carretera entre las 532 cabeceras municipales de la región Centro del país, lo que dio como resultado un matriz de datos de 532 x 532.
Posteriormente, para cada cabecera municipal5 se identificó a su(s) vecino(s) más cercano(s) por carretera (la distancia mínima en kilómetros). Asimismo, además del dato de distancia por carretera se utilizaron otros tipos de distancias en el análisis: i) distancia lineal entre centroides de los polígonos municipales, y ii) contigüidad de primer orden (i.e. vecinos contiguos a la unidad de observación).
Un ejemplo de los efectos de la fricción de la distancia en la medición de la productividad: el estado de Morelos
Para tener una primera evaluación sobre el impacto de la "fricción de la distancia" en la autocorrelación espacial de la productividad del trabajo a nivel municipal,6 se utilizaron los 33 municipios del estado de Morelos para calcular el índice de Moran (ecuación 4) bajo los criterios de distancia expresados en (5) y (6). En el caso de la expresión (6) se utilizó una D que garantiza que al menos un municipio tenga un vecino con quien "interactuar". Además, en las mediciones se utilizaron dos formas de calcular la distancia: a) centroide y b) carretera entre cabeceras municipales (distancia real aproximada).
El principal resultado a destacar en el Cuadro 1 es que en general, el índice de Moran se incrementa cuando se utiliza la distancia por carretera. Incluso hay fuertes indicios de que existe autocorrelación espacial estadísticamente significativa sólo cuando se considera la fricción por carretera; por ejemplo, el Moran asociado a la "mínima distancia por carretera" exhibe autocorrelación espacial significativa en 1993 y 2003, en contraste con la mínima distancia por centroide que no presenta autocorrelación significativa.7
Efecto de la fricción de la distancia en la autocorrelación espacial de la productividad de la región Centro
En la subsección anterior se demostró que para el estado de Morelos, la autocorrelación espacial de la productividad del trabajo es más sensible cuando se utiliza un criterio que considera la distancia real en carretera entre cabeceras municipales, que cuando se utiliza simplemente la distancia euclidiana entre centroides de los polígonos municipios. En esta subsección se avaluará el impacto que tiene la fricción de la distancia en el ámbito de la convergencia de la productividad del trabajo para el conjunto de los municipios que conforman la región Centro del país.8
En primer lugar, el Cuadro 2 muestra las estadísticas descriptivas y una prueba de normalidad de los datos de productividad del trabajo de los municipios de la región Centro, basada en una prueba skewnesskurtosis. Los resultados muestran cómo los datos de productividad se alejan fuertemente de un comportamiento normal cuando no se realiza una transformación logarítmica.
Cuando los datos de productividad son transformados en logaritmos naturales, el problema de no normalidad es fuertemente suavizado para ambos años, y al menos para 1993, no hay evidencia estadística de que los datos se alejen de una distribución normal. Sin embargo, la hipótesis nula de normalidad es rechazada para el 2003, y por los resultados que arroja la prueba aplicada, esto se debe a que la kurtosis es mayor a la esperada para una distribución normal (3), lo que es indicativo de una mayor "picudez" y una cola más ancha en la distribución para el 2003.
Para darse una idea visual de las distribuciones analizadas, la Figura 3 muestra una estimación no paramétrica de ambas distribuciones. En primer lugar, destaca que no existe una marcada diferencia entre ambas distribuciones, por lo que el alejamiento de la distribución en 2003 de un comportamiento normal no es tan drástico como lo podrían estar sugiriendo en primera instancia las pruebas de normalidad del Cuadro 2; sin embargo, sí se detectan algunas diferencias importantes entre ambas distribuciones que deben ser destacadas, principalmente se observa que la distribución en 2003 presenta (como ya se había advertido con las pruebas del Cuadro 2) una cola más ancha en la parte derecha de la distribución e incluso se puede observar un posible agrupamiento de estados (una moda) en la parte extrema de la cola.

La argumentación anterior sugiere que la productividad laboral desarrolló una mayor polarización o desigualdad para el 2003, situación que como se expondrá está asociada a factores regionales.
El Cuadro 3 presenta el índice de Moran bajo tres tipos de fricción de la distancia para medir la productividad del trabajo en el periodo 19932003 a nivel municipal: a) centroide, b) carretera y c) vecinos contiguos.9
Es importante señalar que los cálculos de autocorrelación del Cuadro 3 se realizaron atendiendo a los siguientes puntos. Primero, las pruebas de significancia estadística del Moran se realizaron a través de construir, por medio de simulaciones computacionales, una distribución experimental con la cual se analiza el índice de Moran observado bajo la hipótesis nula de no autocorrelación espacial; de esta manera, bajo esta técnica de inferencia se evita invocar propiedades paramétricas (por ejemplo, normalidad de los datos) que no siempre se cumplen con los datos empíricos espaciales.10
Segundo, con la finalidad de atender el asunto de que los resultados del índice de Moran pudieran ser afectados por un problema de inestabilidad de la varianza, se calculó un índice ajustado de Moran que atiende a la densidad poblacional (Empirical Bayes Index) y que fue descrito en la sección anterior;11 en específico, con este procedimiento se estaría controlando el efecto de la variación en el tamaño de la población ocupada a nivel municipal.12
El primer bloque del Cuadro 3 muestra los resultados de autocorrelación sin realizar transformación logarítmica de la productividad. Los resultados del moran tradicional indican que, independientemente del criterio de fricción de distancia utilizado, hay autocorrelación espacial significativa de la productividad para ambos años; sin embargo, se observa una disminución en la intensidad de la autocorrelación espacial global para el 2003. En contraste, cuando se utiliza el índice ajustado de Moran que atiende a la densidad de la población ocupada (EBI), la autocorrelación espacial prácticamente desaparece para ambos años con excepción de 1993, cuando sólo se utiliza un criterio de contigüidad como fricción de la distancia. Estos resultados son indicativos del efecto que pudiera tener el tamaño de la población ocupada por municipio sobre el índice si no se considera además una apropiada transformación de las variables.
El segundo bloque ahora considera los cálculos con la transformación logarítmica. El índice de Moran tradicional no sólo despliega autocorrelación espacial significativa para ambos años y en los tres criterios de fricción, sino que además la intensidad aumenta más del doble con el log de la productividad laboral. De igual manera, el índice de Moran ajustado (EBI) también desarrolla autocorrelación espacial estadísticamente significativa para ambos años y en todos los criterios de fricción de la distancia, aunque se debe indicar que la intensidad del índice es mucho menor bajo este procedimiento, en particular para el 2003.
Con estos resultados se detecta, independientemente del criterio de fricción de la distancia utilizado, una disminución de la autocorrelación espacial global de la productividad del trabajo para el 2003. Asimismo, el criterio de simple contigüidad arroja, tanto en la medición tradicional del Moran como en el EBI, una mayor autocorrelación espacial que la observada cuando se utiliza un umbral de distancia D (calculado ya sea por centroide o por carretera) para asignar la estructura vecinal de interacción espacial de la unidad de observación.
El tercer bloque del Cuadro 3 considera ahora el crecimiento del log de productividad en el periodo 19932003 utilizando el Moran tradicional y el EBI.13 Con el Moran tradicional, sólo el criterio de distancia (centroide y carretera) y no el de contigüidad, arroja autocorrelación espacial estadísticamente significativa (y en particular, la distancia por carretera arroja una mayor significancia estadística en la autocorrelación espacial de la productividad del trabajo: un pseudo valor p de 0.03 de que la hipótesis nula de aleatoriedad espacial sea cierta con carretera, contra un pseudo valor p. de 0.07 cuando se utiliza centroide). El caso de la medición EBI, solamente se genera autocorrelación espacial del crecimiento con niveles muy cercanos al 10% cuando sólo se utiliza la distancia por carretera (un pseudo valor p de 0.11 de que la hipótesis nula de aleatoriedad sea cierta).
Estos últimos resultados confirman lo discutido para el caso de Morelos sobre la importancia de involucrar una fricción de la distancia por medio de carreteras.
Efecto de la fricción de la distancia en la dinámica de convergencia regional en el centro del país
Con el propósito de evaluar si las distancias por carretera efectivamente impactan espacialmente los procesos de convergencia regional en la región Centro, se analiza a continuación la autocorrelación espacial de los errores de la regresión de un modelo convencional de convergencia del tipo:

donde el vector x denota la productividad del trabajo para todos los municipios de la región Centro en un determinado año y ε es un vector de errores. Como se refiere en la literatura, esta ecuación puede ser interpretada como una implementación lineal del modelo neoclásico de crecimiento para evaluar la hipótesis de convergencia absoluta (SalaIMartin, 1996). El Cuadro 4 muestra los resultados para el periodo 19932003.

El primer bloque del Cuadro 4 muestra la implementación econométrica de la ecuación (7) bajo mínimos cuadrados ordinarios y con una estimación de errores robustos. La estimación de un coeficiente negativo de la beta asociada a la condición inicial de la productividad, sugiere la presencia de convergencia absoluta en la productividad del trabajo a nivel municipal en la región Centro para el periodo 19932003. En otras palabras, la evidencia de convergencia absoluta significa que los municipios con menor productividad laboral en 1993 registraron un mayor crecimiento de su productividad laboral en el periodo 9303, que los que tenían mayores índices de productividad en 1993.
Sin embargo, el elemento a analizar a continuación, es si este aparente proceso de convergencia puede estar a su vez condicionado por la fricción de la distancia y en específico, por la distancia en carretera en la región Centro. Para ello, se refieren los resultados del segundo bloque del Cuadro 4 que muestran las pruebas de autocorrelación de los errores de la regresión de convergencia con los tres criterios de fricción de distancia utilizados. Destaca que los errores de la regresión no presentan autocorrelación espacial cuando son analizados bajo el criterio de vecindad o de distancia lineal entre centroides; es decir, no hay evidencia de mala especificación del modelo de convergencia debida a posibles efectos espaciales cuando se analizan éstos por medio de líneas rectas entre centroides o por un criterio de vecindad municipal.
Sin embargo, se observa que hay evidencia de dependencia espacial de los errores cuando se considera la distancia real en carretera entre cabeceras municipales.14 De esta manera, se muestra por medio de este ejercicio que una vez considerada una fricción de la distancia que se aproxima más a las condiciones de distancia "reales" (en este caso a través de la infraestructura carretera), la dependencia espacial adquiere mayor relevancia en el proceso de convergencia regional en la región Centro del país durante el periodo 19932003. En este sentido, un modelo tradicional de convergencia como el de la ecuación (7) tendría que incorporar los efectos espaciales que estaría ocasionando la fricción de la distancia (por carretera). El tercer bloque del Cuadro 4 da una orientación al respecto, al mostrar pruebas de dependencia espacial en donde se evalúan modelos alternativos espaciales. En este sentido, las pruebas sugieren que el modelo más apropiado para analizar la dinámica de convergencia a nivel municipal cuando se considera una fricción de distancia por carretera, es uno de error espacial.15
Fricción de la distancia y patrones de aglomeración espacial de la productividad laboral en la región Centro
Para ilustrar los resultados obtenidos y mostrar que tienen un significado concreto relacionado con la geografía y la infraestructura vial de la región Centro, se presentan las Figuras 4, 5 y 6, que muestran las desviaciones estándar de cada uno de los índices de autocorrelación espacial local obtenidos.16
Los rangos presentados en la simbología de los mapas indica la desviación estándar de un índice que alude a la autocorrelación espacial local del crecimiento de la productividad del trabajo durante el periodo 19932003. Rangos negativos significan desviaciones estándar inferiores al valor de la media del índice, lo que se interpreta visualmente como la formación de aglomeraciones espaciales que presentaron el menor dinamismo económico en la región del Centro durante el periodo 19932003. Rangos positivos significan desviaciones estándar superiores a la media, para formar aglomeraciones espaciales que presentaron el mayor dinamismo económico en el mismo periodo.
Se observa que la formación de aglomeraciones difiere entre mapas, esto se toma como evidencia de que el tipo de "fricción de la distancia" utilizado, afecta la clasificación regional. El principal resultado de la comparación, es que el criterio de contigüidad y centroides (Figuras 4 y 5) exageran las regiones dinámicas de la región Centro, mientras que el criterio de carretera (Figura 6) acota territorialmente esas regiones dinámicas. En particular, destaca como la Figura 4 incluye en zonas dinámicas a municipios en donde no existen autopistas ni localidades mayores de 100 000 habitantes.
Por su parte y como se representa en la Figura 6, la identificación de regiones dinámicas guarda una relación estrecha con la estructura vial y el tamaño de las localidades. En particular de esta figura sobresale el trazo de la zona occidente de la Zona Metropolitana de la Ciudad de México, el corredor PueblaTlaxcalaApizaco y el Valle de Toluca (por citar los casos más sobresalientes).
CONCLUSIONES
En este ensayo se discutió un concepto que tiene una fuerte tradición en los estudios regionales: la fricción de la distancia. Se asumió en este trabajo que por fricción de la distancia se entiende la emergencia de la interacción espacial en un problema de decisión individual, ante la imposibilidad de evitar los costos asociados a la distancia física.
Esta concepción, por tanto, se traduce en una relación funcional inversa entre distancia e interacciones espaciales, es decir, a menor distancia, mayores las interacciones espaciales. El significado teórico de las "interacciones espaciales" es materia de debate, sin embargo, estas interacciones están ineludiblemente asociadas a costos de transporte, efectos de aglomeración, externalidades tecnológicas, etcétera.
En esta investigación se utilizó la medición estadística de la autocorrelación espacial para evaluar el papel que juega la fricción de la distancia en la evaluación de las dinámicas económicas regionales. En concreto, se identificó que la fricción de la distancia asociada a la infraestructura de carreteras condicionó espacialmente el proceso de convergencia regional en la región Centro del país a nivel municipal durante 19932003.
REFERENCIAS
Anselin, L. (1995), "Local Indicators of Spatial AssociationLISA", Geographical Analysis, no. 27, pp. 93113. [ Links ]
Anselin, L. (2002), "Under the Hood. Issues in the specification and interpretation of spatial regression models", Agricultural Economics, no. 27, pp. 247267. [ Links ]
Aroca, P., M. Bosch and W. F. Maloney (2005), "Spatial dimensions of trade liberalization and economic convergence: Mexico 19852002", The World Bank Economic Review, no. 19, pp. 345378. [ Links ]
Assuncao, Renato M. and E. A. Reis (1999), "A new proposal to adjust Moran's I for population density", Statistics in Medicine, no. 18, pp. 21472162. [ Links ]
De Gallo, J. and C. Ertur (2003), "Exploratory spatial data analysis of the distribution of regional per capita GDP in Europe, 19801995", Papers in Regional Science, no. 82, pp. 175201. [ Links ]
INEGI, Censos Económicos 2004, Censos Económicos 1994, Instituto Nacional de Estadística, Geografía e Informática, México [www.inegi.mx]. [ Links ]
Fingleton, B. and E. LópezBazo (2006), "Empirical growth models with spatial effects", Papers in Regional Science, vol. 85, num. 2. [ Links ]
Fotheringham, A. S. (1981), "Spatial structure and distance decay parameters", Annals of Association of American Geographers, no. 71, p. 3. [ Links ]
Fotheringham, A. S. (1982), "Distancedecay parameters: a reply", Annals of Association of American Geographers, no. 72, p. 4. [ Links ]
Fotheringham, A. S., Ch. Brundson and M. Charlton (2004), Quantitative Geography, perspectives on spatial data analysis, Sage, Great Britain. [ Links ]
Fujita, M., P. Krugman and A. Venables (1999), The spatial economy, The MIT Press, Massachusetts. [ Links ]
Haining, R. (2003), Spatial data analysis, Cambridge University Press, Cambridge. [ Links ]
Isard, W. (1960), Methods of regional analysis an introduction to regional science, MIT press. [ Links ]
SalaiMartin, X. (1996), "The classical approach to convergence analysis", The Economic Journal, no. 437, pp. 10191036. [ Links ]
1 Para un análisis detallado sobre los criterios de inferencia en los índices de autocorrelación espacial como el Moran, véanse los trabajos de Fotheringham et al. (2004) y Haining (2003).
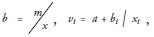
2 En específico, en la ecuación (4) se sustituye pi por zi:
donde
m es el número de casos y x la población en riesgo. Si vi < 0, ésta es recalculada fijando a = 0. Por lo tanto, la ecuación (4) se transforma en: 
3 Es importante señalar que los datos utilizados en este ensayo para medir productividad provienen de los censos económicos, los cuales excluyen actividades agropecuarias, con lo que también se estaría descartando un sesgo que podría estar dado por los municipios de la región centro del país que básicamente son rurales.
4 La labor realizada consistió en obtener la distancia en kilómetros que separa las distintas cabeceras entre sí, pero no se consideró el número de carriles, ni el tipo de administración de la carretera: cuota, federal; ni tampoco sus condiciones físicas: pavimentada, revestida, etcétera.
5 Se decidió calcular las distancias a partir de las cabeceras municipales, por que se consideran como los centros de gestión administrativa y de decisión política y económica de los municipios.
6 La productividad laboral en un municipio se mide como el cociente entre el Valor Agregado Censal Bruto y el Personal Ocupado Total.
7 Es importante señalar que se realizaron pruebas de normalidad del log de la productividad laboral para los 33 municipios de Morelos, encontrándose que los datos se alejan de un comportamiento normal. Si bien las pruebas de significancia realizadas con el supuesto de aleatorización de la Tabla (1) no se ven afectadas por este hecho, sí lo están las pruebas basadas en el valorZ. Como puede observarse en el Cuadro 1, no se pudieron aplicar las pruebas de aleatorización para todos los criterios utilizados. Sin embargo, para el caso de fricción por contigüidad se tienen las dos pruebas, y en éstas el método de permutación arroja mayor significancia estadística. Esto último sugiere que bajo un método Monte Carlo se obtendría mayor significancia del Moran calculado.
8 La región Centro para este trabajo queda integrada por el Distrito Federal y sus entidades circunvecinas: Hidalgo, México, Morelos, Puebla y Tlaxcala.
9 Los criterios de centroide y carretera consideran la mínima distancia (D) que garantiza al menos que un municipio tenga un vecino. Se utiliza la expresión (6) para construir la matriz de pesos espaciales.
10 Si se adoptara un enfoque de inferencia que asumiera un supuesto de normalidad en los datos, los resultados de inferencia serían poco robustos con los datos de productividad sin transformación logarítmica.
11 Véase pie de página número 2.
12 Todos los cálculos antes señalados fueron realizados en el paquete GEODA 0.9.5i(beta).
13 Con la finalidad de calcular un EBI se utilizó como "variable evento" el crecimiento en el periodo del log de la productividad y como "variable base "de ajuste poblacional (i.e. población en riesgo) el log de la población ocupada para 1993. Note que si la "variable base" es una constante, entonces la medición que arroja el EBI es idéntica a la que arroja el Moran tradicional (ecuación 4).
14 No debe olvidarse que la matriz de interacción espacial por carretera fue construida de tal forma que se consideró como umbral de interacción espacial la mínima distancia por carretera entre una cabecera municipal y otra tal que garantizara que al menos un municipio tuviera un "vecino".
15 El modelo de convergencia absoluta espacial sugerida por las pruebas tiene la siguiente forma:
donde
donde ε es un vector i.i.d. con varianza σ 2
Es importante señalar que el propósito de este ensayo es mostrar cómo la fricción de la distancia evidencia dinámicas espaciales que pueden afectar los procesos de convergencia espacial. En este sentido, dejamos para una futura investigación la implementación de modelos espaciales de convergencia que utilicen como matriz de interacción la fricción de distancia por carretera.
16 A cada municipio le corresponde un indicador de autocorrelación espacial local que fue calculado bajo el siguiente Moran local propuesto por Anselin (1995):
donde xi es la observación en la región (i.e. municipio) i,
es la media de las observaciones en toda la región, y la sumatoria sobre j es tal que sólo incluye a unidades regionales vecinas de i. La matriz de interacción espacial responde a la "fricción de la distancia" considerada en cada cálculo.













