Servicios Personalizados
Revista
Articulo
Indicadores
Links relacionados
-
Similares en
SciELO
Compartir
Investigaciones geográficas
versión On-line ISSN 2448-7279versión impresa ISSN 0188-4611
Invest. Geog no.45 Ciudad de México ago. 2001
Riesgo de inundación en la llanura fluvial del curso bajo del río San Pedro, Nayarit
Flooding risk at the low San Pedro River fluvial plain, Nayarit
María de Lourdes Romo* Mario Arturo Ortiz Pérez**
*El Colegio de la Frontera Norte, Dirección Regional de Nuevo Laredo, Tamaulipas.
** Instituto de Geografía, UNAM, Cd. Universitaria, Coyoacán, 04510, México, D, F, E-mail: maop@igiris.igeograf.unam.mx
Recibido: 16 de mayo de 2000
Aceptado en versión final: 8 de julio de 2000
Resumen
El objetivo de este trabajo es determinar el riesgo de inundación en una porción de la llanura costera nayarita. Esto es importante a considerar en la planeación, por representar un peligro potencial para los asentamientos humanos en la llanura fluvial del rio San Pedro. Nayarit y su creciente actividad agrícola. La base de este estudio es la geomorfología aplicada con un enfoque ambiental Se parte del levantamiento y análisis geomorfológico. Posteriormente, empleando la estadística, se correlaciona con un análisis multitemporal del escurrimiento en un período de 50 años. Esto permitió determinar las áreas susceptibles a inundaciones, su grado de susceptibilidad y los períodos de retorno. En los resultados se observa que el 92.2% del área en estudio presenta algún grado de susceptibilidad del terrena a inundaciones y que las poblaciones más importantes y sus actividades económicas se desarrollan en la zona de alta susceptibilidad. De ahí la necesidad de extremar medidas precautorias y considerar las propuestas de este trabajo.
Palabras clave: Riesgo de inundación, vulnerabilidad, geomorfología fluvial.
Abstract
The purpose of this research is to determine the risk of flooding in a portion of the Nayarit coastal plain. This is a core aspect for planning because there is a potential threat for people who live in the San Pedro River fluvial plain, Nayarit, as well as for its agricultural activities. This study focuses on applied geomorphology with an environmental approach. The first goal was to establish and carry out a geomorphological analysis. Second, to find out a statistical correlation with a multi-temporal analysis of runoff during a 50-year period. This allowed to determine flood-susceptible zones and return periods. The results show that 92.2% of the area is prone to flooding. The most important towns and economic activities are located within the highest-susceptibility zone These results warrant the need to take cautionary measures and consider the proposals that emerged from this study.
Key words: Flooding risk, vulnerability, fluvial geomorphology.
INTRODUCCIÓN
Los desbordamientos del río San Pedro y las Inundaciones constantes en la llanura baja ocurren de manera natural. El efecto negativo que éstas generan se debe a la existencia de asentamientos humanos y a la creciente expansión de las actividades agrícolas. Por otra parte, las obras de defensa adecuadas son insuficientes, ya que las existentes son de espigones, cuya función es evitar la socavación acelerada de las riberas. Por otro lado, se han edificado diques para elevar la altura de los bordos en ciertos tramos del río, con el fin de contener el nivel de las crecidas ordinarias, de tal forma que el curso bajo tiene una posición por encima de la planicie baja, que desborda con los flujos llenos a pleno bordo, con su consecuente inundación. Ante esta problemática, el objetivo de este trabajo fue identificar las áreas inundables actuales y determinar las zonas de riesgo de inundación.
Existen diversos estudios que tratan el problema de las Inundaciones bajo distintos enfoques. A continuación, se señalan de manera muy breve algunos de los principales trabajos que abordan una temática relacionada con la del presente estudio.
Batista y Sánchez (sic), en su trabajo denominado Territorios inundables en Cuba, establecen las causas de las inundaciones con gran precisión en cuanto al método utilizado y los criterios para determinar las áreas con riesgo de inundación. La finalidad práctica de este estudio y la minuciosidad de la descripción de la metodología, hacen posible el considerar su aplicación a otros territorios
Desde el punto de vista geomorfológico, el contar con la publicación de Ortiz (1979) como referente sobre una parte de la llanura costera de Nayarit, permite conocer de forma muy detallada la historia de las formas y los procesos del relieve en el área en estudio y da la pauta para la posible explicación de la actual morfología.
Existen otros trabajos donde se trata de abordar el problema de las inundaciones de manera integral. Tal vez Ward (1978) sea uno de los primeros en hacer esto desde la perspectiva geográfica. Autores como Hails (1977), Cooke y Doornkamp (1978), Verstappen (1983), Alexander (1991), Ortiz y Oropeza (1992) y Maskrey (1993), tratan el tema dentro de la misma línea, aunque cada uno con su propio enfoque.
Siguiendo la idea de los estudios integrales, los elementos de análisis para esta investigación surgen de razonamientos geomorfológicos con un enfoque ambiental, esto es, se considera al ambiente como un sistema complejo con subsistemas interrelacionados. La meta es que sea aplicable a la mitigación de riesgos de inundación y de utilidad en la planeación del aprovechamiento del uso del suelo. Se plantean, para esto, las siguientes preguntas de investigación: ¿cuál es el comportamiento del río?: ¿con qué caudal se desborda?; ¿cuáles han sido los gastos máximos?; ¿cuál es el grado de susceptibilidad a inundarse que presenta la planicie?; ¿cuál es el grado de perturbación y peligrosidad?; ¿cuáles son los períodos de retorno y la magnitud de las Inundaciones?; ¿cómo se lleva a cabo el Impacto y cuál es su distribución en el espacio geográfico?; ¿cómo se vinculan los efectos derivados en la llanura deltaica? Para dar respuesta a estas interrogantes, se aborda, en primera instancia, la geomorfología del área en estudio, de la que se describen algunos antecedentes y se definen las formas y procesos que ahí tienen lugar, para posteriormente, a través de la estadística, hacer un análisis multitemporal del escurrimiento, cuya correlación con el apartado anterior permite obtener como resultado la determinación de las áreas susceptibles a inundación y, finalmente, elaborar algunas consideraciones y propuestas al respecto.
GEOMORFOLOGÍA DEL ÁREA EN ESTUDIO
La zona en estudio se circunscribe al curso bajo del río San Pedro, que se localiza en el sector occidental del estado de Nayarit, dentro de la provincia fisiográfica denominada llanura costera del Pacífico "...caracterizada por el desarrollo de una planicie (acumulativa sedimentaria), construida por la evolución de un sistema de deltas (coalescentes) que han avanzado paulatinamente hacia el oeste..." (INEGI, 1984), Este río nace con el nombre de La Sauceda en la Sierra de Michis aproximadamente a 3 000 msnm, en el estado de Durango, sobre el flanco oriental de la Sierra Madre Occidental. Es el único río de la Sierra Madre Occidental que drena su flanco oriental y parte del altiplano cruzando la sierra hasta el Golfo de California. Su desarrollo longitudinal total es de aproximadamente 700 km y drena un área de cuenca hasta su desembocadura de 25 800 km2 (Figura 1).

La zona en estudio se encuentra en la planicie costera, donde predominan los suelos negros o chernozem, utilizados principalmente para cultivos de temporal. La vegetación varía de pastizales a montes bajos y bosques. Se trata de una de las áreas donde se desarrollan las actividades agrícolas más relevantes de la región, buena parte de la explotación ganadera, y en sus lagunas y litorales, la explotación pesquera. De acuerdo con la clasificación de Köppen, presenta clima tropical lluvioso; la temperatura media es superior a 18° C todo el año, y la precipitación media anual es del orden de 800 a 1 700 mm (Secretaría de Recursos Hidráulicos, 1968).
El área de trabajo cubre 877.5 km2, correspondientes a la extensión de la llanura deltaica. Sus límites son al oeste y al norte, las marismas y lagunas costeras, al sur, la planicie deltaica del Río Grande de Santiago y al oriente, las estribaciones de la Sierra Madre Occidental. Se enmarca, espacialmente, dentro de las coordenadas geográficas extremas siguientes: 22 3'54"N; 21 45'N y 105 Q8'43" W; 105 29' W (Figura 1).
ANTECEDENTES GEOMORFOLÓGICOS
El curso bajo del río San Pedro se encuentra dentro de una superficie acumulativa de material costero pretransgresivo (antes del período de transgresión) y de depósitos lagunares. Los sedimentos recientes se depositan en pantanos, lagunas y depósitos aluviales más jóvenes de origen continental. Esta llanura está bajo la influencia de los ríos Grande de Santiago y San Pedro, entre otros (Figura 1), los cuales, durante el Pleistoceno tardío en los períodos de bajo nivel del mar, edificaron un complejo sistema deltaico.
Hace aproximadamente 7 000 años, a fines del Pleistoceno y principios del Holoceno, se presentó una rápida transgresión sobre la superficie deltaica y, posteriormente, entre 4 750 y 3 600 años antes de la época actual, inició la regresión de la línea de costa (Curray et al/., 1969); esto modificó de manera drástica el drenaje del sistema deltaico, el cual se acomodó paulatinamente, en respuesta a los cambios registrados en la dirección del transporte de sedimentos, formando largas lagunas y sinuosas entrantes de marea que migraron a lo largo de la franja costera (Ortiz, 1979).
Durante la última regresión de la costa, se presentaron cambios en la posición de las desembocaduras. Su movimiento se manifestó como un realineamiento de la traza de la costa, con mutilación local y erosión de los cordones más antiguos que quedaban como relictos del desplazamiento del litoral. Los ríos Santiago y San Pedro desembocaban unidos al Océano Pacífico cerca del paralelo 21°44' latitud norte, durante el proceso de estabilización de la costa (Ortiz, 1979; Figura 2).
Hace unos 500 años, dichos ríos se separaron, lo cual causó la erosión local de la costa, debido a la disminución del aporte de sedimentos, lo que provocó un rápido acrecentamiento en otras áreas cercanas a las desembocaduras de tales ríos, así como reorientaciones de (a línea costera, debido a que los centros de depósito cambiaron de lugar (Curray et al., 1969).
A partir de esta separación, el río San Pedro migró su desembocadura de norte a sur y reconoció como nivel de base, en el presente siglo, a la Laguna Grande de Mexcaltltán: al respecto existen evidencias de que en el pasado el río desembocaba hacia la Laguna del Pararrayo, al norte de la Laguna Grande de Mexcaltitán, como el paleocauce denominado Estero La Palma.
MORFOLOGÍA Y PROCESOS
En la llanura del río San Pedro se diferencian dos sistemas geomórficos: a) relieve dividido en elevaciones mayores y menores y, b) relieve de tierras bajas dividido en lecho fluvial, llanura fluvial alta y llanura baja fluvio-deltaica (las unidades geomórficas que integran ambos sistemas se aprecian en la Figura 3).
Las elevaciones son de dos tipos; unas son las sierras de laderas tendidas que conforman las elevaciones mayores, cuya altura oscila entre 20 y 400 msnm y son estructuras alargadas: otras son las elevaciones menores, conformadas por una serie de lomeríos dómicos aislados, asociados con llanos cuyas alturas varían de 20 a 70 msnm. Ambos tipos de elevaciones están constituidos por material consolidado como el granito y la granodiorita, que subyacen al gran espesor de roca ígnea extrusiva del Cenozoico. Existen, además, un par de afloramientos aislados que presentan características similares a las de las elevaciones, en cuanto al tipo de material.
El análisis del lecho fluvial en relieve de tierras bajas se aborda a partir de dos aspectos: primero, el patrón de diseño y segundo, la expresión geomórfica. En cuanto al primer aspecto, el río San Pedro presenta un patrón recto en casi todo el curso bajo hasta el abanico deltaico, a excepción de un pronunciado meandro, ubicado al oeste de la carretera a Mazatlán, en una distancia aproximada de 1.5 km. donde el río cambia bruscamente la dirección de oeste a norte en un ángulo de cerca de 90°.
Lo anterior se expresa como una fuerte anomalía de la traza, por estar fuera del contexto generalizado de patrón recto que presenta el río. Esta anomalía podría deberse al control de tipo estructural. De ello existen evidencias, tales como la coincidencia en la dirección y alineación del flanco occidental del cerro Peñitas y el cambio drástico de dirección del río. Lo anteriormente expuesto indica la posible presencia de una falla de desplazamiento lateral derecho. Este meandro se considera como una anomalía local, por presentarse sólo en un tramo del curso fluvial (Figura 3).
En el lecho fluvial se reconocen cuatro niveles de terraza que, de acuerdo con su estructura, se clasifican como de tipo acumulativo (Strahler, 1974; Seco, 1982). De acuerdo con la clasificación modificada por Ortiz (1979), las características principales de estos niveles son:
Nivel de terraza A. La corriente ordinaria ocupa sólo el talweg o el canal de estiaje llamado también lecho menor ordinario o cauce, que es el resultado del corte erosivo del escurrimiento. Este nivel Indica la fase de niveles más bajos y corresponde al escurrimiento de recesión o estiaje en los períodos secos.
Nivel de terraza B. Constituye el lecho mayor de Inundación ordinaria. Corresponde a la fase de niveles medios, esto es, los que se aproximan o coinciden con el valor del escurrimiento medio anual. Los niveles de terraza A y B corresponden a fases de estabilidad del cauce, debido fundamentalmente a la ineficacia de los flujos moderados para modificar sensiblemente el lecho del río.
Nivel de terraza C. Constituye el lecho mayor de inundación extraordinaria y corresponde a la fase de niveles altos, es decir, a las crecidas ordinarias.
Nivel de terraza D. Constituye el lecho mayor de inundación excepcional. Es la fase de desbordes o de inundaciones, en la que la avenida rebasa el nivel de las riberas altas como resultado de las crecidas excepcionales, que inundan esporádicamente la llanura alta de inundación. En estos dos últimos niveles altos, el gasto del escurrimiento se incrementa rápidamente y obtiene las máximas velocidades de flujo, al elevarse el esfuerzo cortante ejercido sobre el lecho del canal, que se manifiesta por excavación acelerada de la erosión lineal en el fondo, con la consecuente movilización de la carga de fondo y la rápida socavación de las riberas.
Estos cuatro niveles de terraza se definieron a partir de la estación Ruiz, siguiendo río abajo hasta pasar el poblado de Tuxpan. A partir de este último punto se inicia la acumulación del abanico deltaico, por lo que la morfodinámica del río cambia y no es posible reconocer los mismos elementos del relieve (Figura 3).
Llanura fluvial del abanico deltaico
Corresponde a una extensa superficie aluvial adyacente al lecho fluvial, construida por acumulación de sedimentos. Es de carácter deltaico, esto es, resulta de la depositación progresiva que hace el río y se extiende en dirección noreste-suroeste con pendiente muy suave hacia el mar. Los componentes geomórficos de esta extensa planicie son la llanura fluvial alta y la llanura baja fluvio-deltaica.
La llanura fluvial alta constituye la planicie resultante del depósito de aluviones antiguos estratificados, que sobreyacen a las rocas continentales más antiguas; su altura sobre el nivel del mar oscila entre 10 y 20 m. La llanura baja fluviodeltaica constituye la porción de terreno deprimido que tiene como altura máxima 10 m sobre el nivel del mar, y representa la zona de transición entre el continente y el océano.
El carácter distintivo del relieve es el resultado de los siguientes componentes: en su porción oriental se identifican [os brazos de crecida, bancos y barras de meandros: en la porción occidental de la llanura, los componentes son las lagunas, los lechos de meandros abandonados, hoyas de decantación y, sobre las márgenes fluviales, las brechas con mantos de desplayamiento.
ANÁLISIS MULTITEMPORAL DEL ESCURRIMIENTO
Para integrar al análisis geomorfológico el comportamiento de los escurrimientos críticos, se realizó un análisis estadístico y probabilístico de los datos hidrológicos, ya que éstos guardan una relación mutua y objetiva con las características del relieve (Tricad y Killian, 1982), Así, la relación entre los parámetros hidrológicos y los componentes geomorfológicos permitirá conocer la Intensidad del fenómeno, es decir, la fase de desbordes fluviales por las avenidas, su frecuencia, magnitud, distribución espacial y la probabilidad de ocurrencia en el tiempo.
Este análisis multitemporal se divide en dos apartados: el primero aborda el comportamiento de los parámetros hidrológicos en un período de 50 años, mediante el estudio de los gastos máximos mensuales: el segundo consiste en conocer la probabilidad mediante el análisis de los períodos de retomo del fenómeno en cuestión y la tendencia de ocurrencia.
Características de los parámetros hidrológicos en un período de 50 años
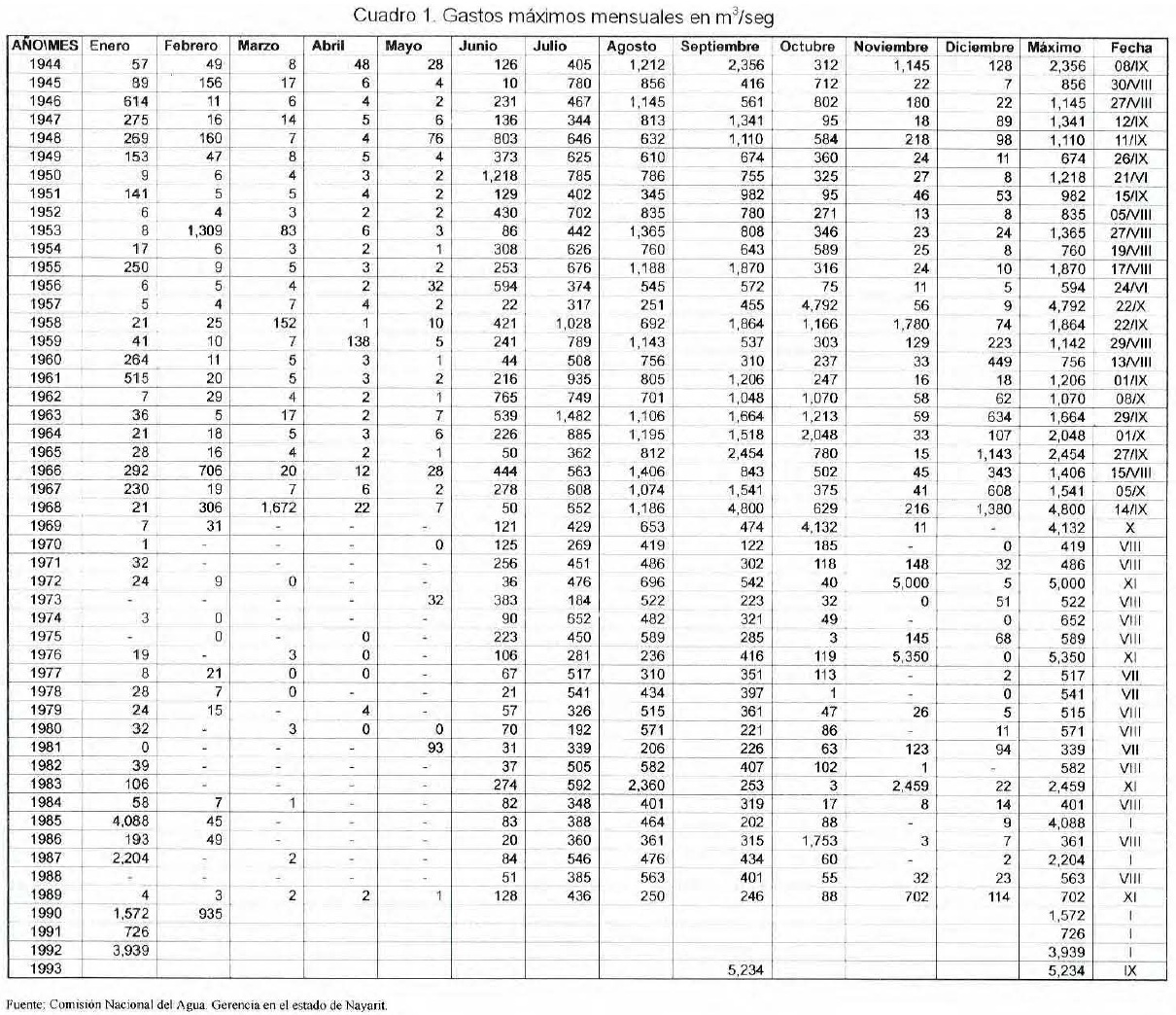
El análisis se sustenta en el registro de los gastos máximos mensuales en metros cúbicos por segundo, presentados en el curso bajo del río San Pedro en un período de 50 años (1944-1993; Cuadro 1). Los datos se obtuvieron a partir de los registros realizados por la Comisión Nacional del Agua (CNA), de la Gerencia del estado de Nayarit, en la estación hidrométrica San Pedro, cuya ubicación en coordenadas geográficas es: latitud norte 21c 59' 15" y longitud oeste 105° 08' 30", Estos datos muestran el comportamiento de las inundaciones, esto es, el nivel de desborde, frecuencia y distribución de la descarga.
En el Cuadro 1 se consideraron como variables: el gasto máximo mensual del escurrimiento durante los últimos 50 años, el máximo anual y la fecha en que se presentó. Se procedió a la elaboración de hidrogramas. considerandolos gastos máximos mensuales. Debido al gran número de datos obtenidos se recurrió al análisis con intervalos de tiempo de diez años en cada hidrograma.
La primera década cubre de 1944 hasta 1953 (Figura 4a), durante la cual se observa que el gasto máximo ocurre en 1944, en septiembre, con 2 356 m7seg, y es en este mes cuando se concentra el 50% de los gastos máximos de este período de estudio; sobrepasando o acercándose a los 1 000 m3/seg. Agosto representa 40% del período de estudio con un gasto máximo que oscila entre 800 y 1 300 m3/seg. En 1950, específicamente en junio, se presenta el gasto máximo de 1 200 m3/seg, lo que representa 10% del registro de datos. En 1953 se registra una anomalía respecto al resto de la década, ya que es en febrero cuando ocurre el gasto de 1 309m3 /seg, resultando un gasto considerable para el período de estiaje (noviembre-febrero).
La segunda década abarca de 1954 a 1963 (Figura 4b); en este período, el gasto máximo ocurre en 1957, en octubre, con 4 792 m3/seg, y duplica al resto de máximos anuales. Se considera a este evento como extraordinario, ya que es el más significativo del período mencionado y ocurre en la estación húmeda o de lluvias (junio a octubre). Es en octubre que se presenta un 20% del total de los gastos en esta segunda década, Septiembre representa 40%, con gastos que se aproximan o sobrepasan los 1 500 m3/seg. Un 30% lo ocupa el mes de agosto con gastos cercanos a los 1 000 m3/ seg y un 10% restante el mes de junio, en 1957, con cerca de 5 000 m3/ seg.
El tercer período comprende de 1964 a 1973 (Figura 4c). en él se observa que la mayor parte del total de los gastos máximos en este período, 40%, se presenta en agosto, con un promedio de 750 m3 /seg.
Sin embargo, el mes más representativo en cuanto a volumen de gasto es septiembre, cuando oscila entre 1 500 y 4 800 m3seg; en este mes se presenta el 30% del total de gastos de la década. Octubre representa la concentración de 20% del total del período, con gastos de 2 000 a 4 000m3/seg, aproximadamente. Todo esto se registra dentro del período húmedo, excepcionalmente al comienzo de lo que se conoce como período de estiaje, es decir, en noviembre de 1972 se presenta un gasto de 5 000 m3/seg aproximadamente, representando éste el 10% restante.
El cuarto período va de 1974 a 1983 (Figura 4d). Es en noviembre de 1976 cuando se registra un gasto superior a 5 000 m3/seg, representando este único gasto 20% del total de la década, lo cual se considera como evento extraordinario, no sólo por tener lugar a principios del estiaje, sino por registrarse por primera vez dentro del período de estudio. En agosto se concentra 40% del total de gastos máximos de este cuarto período, con gastos menores a los 1 000 m3/seg, y el 40% restante lo ocupa el mes de julio.
El quinto período abarca de 1984 a 1993 (Figura 4e); en él el gasto máximo ocurre en septiembre de 1993 cuando registra 5 234 m3seg, lo que representa 10% del total de los gastos máximos en este periodo. Un 40% corresponde a enero, con gastos que alcanzan hasta 4 000 m3/seg en 1985 y 1992; como se observa, esto sucede en la época de secas, siendo el volumen considerable si se compara con el resto de los datos. El 50% restante está repartido entre febrero, julio, agosto y octubre de los demás años, con gastos menores a 1 000 m3/seg.
Para entender las características globales del caudal, se analizaron los gastos máximos anuales (Figura 4f), presentados en un período de 50 años, relacionándolos y comparándolos con la cifra base de 800 m3/seg que establece la CNA, de acuerdo con sus estudios, y considerando la capacidad del lecho menor. Este gasto crítico marca el nivel máximo, es decir, con este gasto el caudal se eleva a pleno bordo y entonces se inicia el desborde y la inundación fluvial.
Según el criterio establecido por la CNA, complementado con las geoformas analizadas en el apartado anterior, los datos de los gastos se agrupan en tres rangos: el primer rango es de 800 a 1 500 m3/seg, el segundo de 1 500 a 2 500 m7seg y el tercero y último, de 2 500 m3/seg en adelante (el porcentaje que ocupa cada rango en el lapso de análisis se registra en el Cuadro 2). De acuerdo con los resultados reportados en este cuadro, se observa que el mayor porcentaje lo ocupan los gastos menores a 800 m3/seg: el siguiente rango varía entre 800 y 1 500 m3/seg con 24%; el tercero ocupa 20%, y el superior a 2 500 m3/seg con 16%. En resumen, el porcentaje de gastos máximos anuales que representa al problema de inundación es 60% del total.

Determinación de crecidas mediante métodos probabilísticos
Los análisis de crecidas son útiles para predecir las avenidas y de esta manera atenuar el daño por inundaciones, considerando las medidas precautorias pertinentes. La determinación de crecidas mediante métodos probabilísticos se basa en la extrapolación de una curva ajustada a los caudales máximos registrados año con año (Espinosa e Iriarte, 1980). Para el ajuste de valores extremos generalmente se utiliza el método de Gumbel, mismo que se aplica en este estudio. Experiencias anteriores en análisis de gastos máximos en la vertiente del Pacífico (Zavala, 1985) permiten concluir que la distribución Gumbel es confiable para gastos máximos.
Para calcular el gasto máximo de un período de retomo determinado, se utiliza la siguiente ecuación:
Qmáx = [Q - (SQ/6N)] [Yn+Log.e Log.e (Tr/Tr-1)]
donde:
Qmáx: gasto máximo para un período de retorno determinado en m3/seg
Q: gasto medio en m3/seg
SQ: desviación estándar de los gastos en m3/seg
6N Yn: parámetros, función de N (consultar Tabla 2.3 en Maza, 1976)
Log.e = logaritmo natural
TR = periodo de retorno
De esta forma, con un lapso de registro largo, aparentemente el método de Gumbel tiene mayor confiabilidad. En cambio, es un elemento de análisis muy general con registros cortos. La longitud de registro aceptable es de diez años (Espinosa e Iriarte, 1980). en el caso que nos ocupa se utilizó un lapso de 50 años antes mencionado, obteniendo los resultados que se muestran en el Cuadro 3, Con base en este cuadro se utiliza la fórmula de Gumbel y se calculan los gastos máximos para diferentes períodos de retorno (Cuadro 4).
Los gastos críticos obtenidos con este método revelan lo siguiente: el gasto de 1 417 m7seg desborda el río cada dos años. Se observan períodos de retorno de 5, 10. 25 y 50 años y la proyección a 100 años con un gasto mayor esperado de 6 741 nr/seg. Cabe mencionar que el período de retorno más frecuente, que destaca por las modificaciones y significado de las inundaciones, es el de dos años, considerándose como inundaciones ordinarias cuando, por su frecuencia, forman parte del régimen del río.
RESULTADOS
Evaluación de riesgos de inundación
Los riesgos naturales de inundación tienen un diferente origen: los que ocurren por procesos endógenos y los que resultan de procesos exógenos. Dentro de estos últimos se encuentran los hidrometeorológicos que originan inundaciones, las cuales se consideran como parte de los riesgos geomorfológicos.
El grado de riesgo presentado en el área de la planicie fluvial no presenta una distribución uniforme, por lo que para evaluar la susceptibilidad del terreno se establecen correlaciones entre las diferentes variables de geomorfotogia, estadística y probabilidad de crecidas, desarrolladas en los apartados anteriores. De esta manera, se llega a la zonificación de áreas que presentan riesgos de inundación, la cual constituye una herramienta útil para la prevención de desastres.
El objeto de zonificar la planicie de inundación es proporcionar los antecedentes geomorfológicos que sirvan a autoridades y a especialistas en materia de desarrollo regional, para realizar propuestas encaminadas al aprovechamiento adecuado del suelo, por lo que éstas deberán ser acordes con el relieve y la dinámica del sistema fluvial en la desembocadura del río San Pedro, para así poder reducir las pérdidas ocasionadas por las crecidas de este río.
Para evitar los peligros de inundación, existe la posibilidad de evacuar completamente la planicie y regresarle al suelo su uso natural, Pero en la mayor parte de los casos, esto es una solución poco práctica, que provocaría costos económicos altos y dificultades sociales. Además, la Corporación de Ingenieros Americanos ha demostrado que los costos de evacuación podrían, de manera general, sobrepasar los beneficios, y que seria más costoso proveer servicios en et nuevo centro de establecimiento (Smith y Tobin, 1979).
Por el contrario, existen varias sugerencias para dividir la planicie de inundación en distintas zonas, cada una restringida a usos bien definidos. Diversos autores, entre los que se encuentran White (1961) y Naciones Unidas (1977; este último citado por Ward. 1978), clasifican la planicie de inundación en tres zonas, a) el cauce de evacuación, necesario para una crecida importante; b) la zona marginal de crecidas, necesaria para almacenar el agua, y c) una tercera, expuesta al riesgo de inundaciones de magnitudes aún mayores.
Dicha clasificación se aplica en el presente caso de estudio, con su consecuente modificación. Se basa, en primera instancia, en los rasgos geomorfológicos ya identificados en este estudio; en segundo lugar, se consideran los tres rangos de gastos máximos a partir de los que se desborda el río (estos rangos han sido establecidos en la sección anterior), mismos que ocupan unidades geomórficas bien definidas; y en tercer lugar, se consideran los períodos de retorno de las avenidas.
El resultado de la relación entre estas variables es la identificación de zonas susceptibles a inundación, definidas en la siguiente propuesta de clasificación zonal: alta susceptibilidad, mediana, baja, muy baja y susceptibilidad nula. Lo anterior se resume en el Cuadro 5.
RECOMENDACIONES
La zona de alta susceptibilidad constituye la parte central de la planicie de inundación (Figura 5), donde se almacena la descarga de la inundación, y se caracteriza por tener aguas profundas con grandes velocidades y arrastre de materiales. De acuerdo con los principios de control aplicados a cada zona, ésta es de uso prohibitivo, reservada para el paso de los caudales de crecidas, donde no se deberían establecer emplazamientos de desarrollo, exceptuando aquellos esenciales para el paso libre del agua.
El área que presenta mediana susceptibilidad es la zona marginal, se identifica como de uso restrictivo, en ella existen más posibilidades de aprovechamiento del terreno. Incluyendo los asentamientos, siempre que éstos se eleven por encima del nivel de las inundaciones o cuenten con algún medio de defensa, y que no obstruyan el paso del agua, ni en la etapa de desborde ni mucho menos, en la de retroceso a su cauce principal.
La zona de baja susceptibilidad constituye el área expuesta a inundaciones, resultado de caudales mayores con un período de retorno muy amplio, por lo que para el aprovechamiento del uso del suelo se deben tomar medidas precautorias.
El área de muy baja susceptibilidad constituye la parte marginal de la planicie de inundación y es la zona expuesta a inundaciones excepcionales por su periodo de frecuencia, con una proyección de gasto máximo de 7 000 m3/seg en un lapso de 100 años. El relieve positivo presenta una susceptibilidad nula a inundaciones, por tratarse de elevaciones.
La superficie que cubre cada una de las áreas antes descritas y el porcentaje que representan con respecto al total del área en estudio (877.5 km), así como la propuesta para la ocupación del uso de suelo se muestran en el Cuadro 6. En éste se observa la zona considerada como de susceptibilidad baja, que representa el mayor porcentaje (35.53%). Se sugiere tomar medidas precautorias en el aprovechamiento del suelo, tales medidas pueden ser, entre otras, el establecimiento de ciertas especificaciones para la construcción, por ejemplo, evitar los emplazamientos en las áreas de evacuación, o bien, elevar las construcciones por encima del nivel regulador de las crecidas.
La zona de susceptibilidad media representa un 22.17% y se considera como un área restrictiva, donde se sugieren aprovechamientos para espacios abiertos, como agricultura, tomando en cuenta los períodos de retorno de las avenidas.
El parámetro de muy baja susceptibilidad representa 20.93% de ocupación del área y en esta zona las medidas precautorias que se sugieren son mínimas.
La zona de alta susceptibilidad representa 13.57% del total y es considerada como de uso prohibitivo para uso habitacional, por las constantes inundaciones a que es sometida. El resto del área, es decir. 7.8%, no es susceptible a las inundaciones, ya que la forman las elevaciones, por lo que no se hace sugerencia de uso
CONCLUSIONES
En los resultados se observa que 92.2% del área en estudio es susceptible a inundaciones, lo que indica un riesgo potencial para los pobladores de esta región y sus actividades económicas. Las poblaciones más importantes en cuanto al número de personas y servicios se encuentran en las márgenes del río San Pedro, por ende, en la parte central de la zona de alta susceptibilidad, Dentro de esta zona se desarrolla la principal actividad económica, o sea, la agricultura, por lo que se sugiere tomar medidas extremas de precaución, como el establecimiento de obras de control y defensa y protección de las construcciones a partir de los diferentes grados de advertencia para la ocupación del suelo que se proponen en los resultados de este estudio.
Es necesario, también, realizar programas de planeación que protejan las actividades humanas de las inundaciones y del avance de los procesos, tanto acumulativos como erosivos, que conllevan la pérdida de tierras fértiles, de cultivos y de actividades pesqueras. Los programas deberían estar sustentados en estudios como el expuesto en este trabajo.
Las observaciones hechas aquí no pretenden proponer un cambio total en los patrones de drenaje naturales, ni en el aprovechamiento del suelo, y tampoco en las actividades económicas del lugar. Por el contrario, la zonificación del área, asi como sus propuestas de uso, están encaminadas a la mitigación de los desastres ocasionados por las inundaciones, considerando la peligrosidad de las avenidas.
Por último, la finalidad del control es establecer modalidades de aprovechamiento que reduzcan el peligro para la vida y los bienes cuando se produzcan las inevitables inundaciones.
REFERENCIAS
Alexander, D. (1991), "Applied geomorphology and the Impact of natural hazards on the built environment", Natural Hazards, 4, The Netherlands, pp. 57-80. [ Links ]
Batista. J. y M. Sánchez (mimeo), Territorios inundables en Cuba. La Habana, Cuba. [ Links ]
Cooke, R U. y J. C. Doornkamp (1978), Geomorphology in environmental management. Clarendon Press, Oxford, Great Britain, [ Links ]
Curray, J, R,, F. J. Emmel y P. J Crampton (1969), "Holocene history of strand plain iagoona coast. Nayarit, Mexico", Memoria del Simposio Internacional sobre Lagunas Costeras (origen, dinámica y productividad), Instituto de Biología UNAM-UNESCO, México, pp. 63-100. [ Links ]
Espinosa, D. y P, J. Iríarte (1980) Procesamiento y análisis de datos hidrométricos. Sección de Hidrología, Departamento de Hidrometeorología, Instituto de Recursos Hidráulicos y Electrificación, Colombia. [ Links ]
Hails. J. R. (1977), Applied geomorphology. Elsevier Publishing, Co. New York, USA. [ Links ].
INEGI (1984), Geología de la República Mexicana, México, pp. 22-23. [ Links ]
Maskrey, A. (1993), Los desastres, no son naturales. Tercer Mundo Editores, Colombia. [ Links ]
Ortiz. M. A. (1979), "Fotointerpretación geomorfológica del curso bajo del Río Grande de Santiago, Nayarit", Boletín, núm. 9, Instituto de Geografía, UNAM, México, pp, 65-92. [ Links ]
Ortiz, M. A. y O. Oropeza Orozco (1992), "Consideraciones críticas sobre la investigación geográfica de los desastres de origen natural", Geografía y Desarrollo, año 4, vol. 3, núm. 7, México, pp. 2-8. [ Links ]
Seco, R. (1982), "Geomorfología, procesos exogenéticos", Apuntes para un libro de texto, Ministerio de Educación Superior, Universidad de La Habana, La Habana, Cuba. [ Links ]
Secretaría de Recursos Hidráulicos, Jefatura de Irrigación y Control de Ríos, Dirección de Hidrología (1968), Boletín Hidrológico, núm. 30, Región Hidrológica Núm 11, zona de los ríos Presidio a San Pedro, tomo 1, México. [ Links ]
Smith, K. y G. A. Tobin (1979), Human adjustment to the flood hazard, Topics in applied geography, Longman, London and New York. [ Links ]
Strahler. A. N. (1974), Geografía física, Editorial Omega, Barcelona, España, p. 492. [ Links ]
Tricart, J. y J. Kílian (1982), La ecogeografía y la ordenación del medio natural, Editorial Anagrama, Barcelona. [ Links ]
Verstappen, Ph. (1983), Applied geomorphology, Elsevier Science Publishing Co. Inc., Amsterdam. [ Links ]
Ward. R. (1978). "Focal problems in geography", Floods, a geographical perspective. Great Britain. [ Links ]
White, G. F. (ed.: 1961), Papers on flood problems. Department of Geography, The University of Chicago, Chicago. Illinois. [ Links ]
Zavala Cruz. J (1985), Geomorfología fluvial del curso bajo del rio Verde. Oaxaca, tesis de Licenciatura en Geografía, Facultad de Filosofía y Letras, UNAM, México. [ Links ]













