Servicios Personalizados
Revista
Articulo
Indicadores
-
Citado por SciELO -
Accesos
Links relacionados
-
Similares en
SciELO
Compartir
Estudios sociales (Hermosillo, Son.)
versión impresa ISSN 0188-4557
Estud. soc vol.21 no.42 Hermosillo jul./dic. 2013
Artículos
Asimetría en la transmisión de precios del tomate en el occidente de México
Price transmission asymmetry in the west Mexican tomatoe market
Imelda Rosana Cih Dzul*, José Luis Jaramillo Villanueva**, Miguel Ángel Martínez Damián***, Rita Schwentesius Rindermann****, Mario Alberto Tornero Campante**
* Centro Universitario de la Costa Sur, Universidad de Guadalajara. Dirección para correspondencia: imeldac@cucsur.udg.mx
** Colegio de Postgraduados, Campus Puebla.
*** Colegio de Postgraduados, Texcoco.
**** Universidad Autónoma Chapingo.
Fecha de recepción: julio de 2012
Fecha de aceptación: mayo de 2013
Resumen
Se utilizó el concepto de transmisión de precios para evaluar el proceso de integración vertical de un mercado agrícola y sus posibles implicaciones en la distribución de los márgenes de comercialización consumidor-productor. El objetivo del trabajo fue cuantificar y caracterizar la transmisión vertical de precios del tomate en el mercado de Guadalajara, Jalisco, México. Se utilizó un modelo económico de transmisión de precios estimado por mínimos cuadrados ordinarios, porque las series de precio resultaron estacionarias. Se encontró que la transmisión de precios es asimétrica, lo que implica que cuando aumenta el precio que paga el consumidor aumenta proporcionalmente más que cuando este disminuye, ello en respuesta a un aumento o disminución de igual magnitud del precio en la central de abastos. La prueba de causalidad evidenció que existe una relación bidireccional del consumidor a la central de abastos y una relación unidireccional consumidor-productor y central de abastos-productor.
Palabras clave: asimetría de precios, cointegración, tomate, transmisión de precios.
Abstract
The concept of price transmission was used to evaluate the vertical integration mechanism of agricultural market and its possible implications for the distribution of marketing margins among vertical market participants. The aim of this study is to quantify and characterize the vertical transmission of tomato prices in the market of Guadalajara, Jalisco, Mexico. To achieve this objective, an economic model of price transmission was used. It was estimated by ordinary least squares, because ADF test on price series reject the null hypothesis of non-stationarity. It was found that the price transmission between wholesale and consumer is asymmetric, which means that when the price that consumer pays increases, it proportionally increases more than when it decreases, in response to an increase or decrease of the same magnitude of wholesale price. The causality test showed that there is a bidirectional relationship from consumer to wholesale and a unidirectional consumer-producer and producer- wholesale relationship.
Key words: price asymmetry, co-integration, tomato, price transmission.
Introducción
El estudio de la dinámica y de los procesos de formación de precios en los mercados agroalimentarios es un tema que ha cobrado mucha atención en la última década, fundamentalmente por los procesos de integración horizontal y vertical de la industria agroalimentaria en un esfuerzo por mejorar la competitividad global. Un aspecto de la dinámica del mercado lo constituye la forma en la que los cambios de precio se transmiten entre los diferentes eslabones en la cadena de producción y entre los diferentes agentes participantes. La forma de transmisión, simétrica o asimétrica, puede tener implicaciones en la distribución de los márgenes de comercialización final y en aspectos del bienestar de productores y consumidores. Dos características observadas del mercado de tomate en México, y particularmente en el mercado de Guadalajara, son: 1) la participación de pocos, pero grandes comercializadores que intercambian la mayor parte del volumen del producto que se produce en la región de estudio y 2) la alta variabilidad de los precios de este producto, en los diferentes niveles del mercado. Estas características del mercado motivan a proponer que, posiblemente, los cambios de precio (aumento y disminución) a nivel de los productores no son trasmitidos de forma completa a los mayoristas y detallistas, por lo que se presume que existe asimetría en la transmisión de precios entre diferentes niveles del mercado.
La importancia de estudiar la hortaliza, se debe a que en los últimos años, el estado de Jalisco ha aportado poco más del 7% del total de las exportaciones de tomate fresco en México; por otra parte, a nivel nacional es uno de los tres principales estados productores de esta hortaliza. De acuerdo con SIAP-Sagarpa (2010) durante ese año Jalisco ocupó el tercer lugar en cuanto al valor de producción solamente después de Sinaloa y Baja California (figura 1).

México es un país excedentario en la producción de hortalizas, especialmente de tomate. A nivel nacional, el tomate, junto con las demás hortalizas, representó alrededor del 60% del valor de las exportaciones agrícolas de México. El tomate es el que contribuye con una mayor proporción de este valor (SIAP-Sagarpa, 2010). En este cultivo se tienen identificados, al menos, dos sistemas de producción marcadamente diferentes atendiendo a su productividad y destino de la producción. Un sistema altamente eficiente, localizado en el noroeste de México, orientado al mercado de los Estados Unidos y otro, menos productivo, que coloca su producción en el mercado nacional, localizado en Jalisco, San Luis Potosí, Puebla, Michoacán, y Guanajuato, entre otros. A pesar de la importancia de su producción de tomate, México es un tomador de precios del mercado de los Estados Unidos.
Los sistemas de producción utilizados en el estado de Jalisco cuenta con alta tecnología; uso de paquetes tecnológicos con acolchado plástico y fertirrigación, lo que le ha permitido lograr rendimientos competitivos y productos de alta calidad a nivel nacional e internacional.
El descubrimiento de los precios es usado en la literatura para referirse a los mecanismos institucionales por medio de los cuales, compradores y vendedores determinan los precios y los términos del intercambio. En un mercado perfecto, la información necesaria para la determinación de los precios no tiene un costo, por lo que los precios reflejan las condiciones de equilibrio y la información nueva genera un nuevo equilibrio. Existe un costo de búsqueda de información, lo que genera una desviación del mercado perfecto (Tomek y Robinson, 2003).
En México, los precios de los productos agroalimentarios se forman con base en la información contenida solo en algunas variables como: ingreso, población, precio de insumos y precios rezagados. Un problema actual del sector agroalimentario mexicano es que los agentes económicos (productores, acopiadores, comerciantes, consumidores) no pueden tomar decisiones acertadas, debido a la falta de información eficiente y confiable sobre el mercado de alimentos. Por tanto, en la oferta se presenta escasez o sobreproducción, ocasionando una variación en los precios que desestabiliza la estructura de producción, así como el comportamiento de la demanda. Por su parte, Siller (2009) menciona que la falta de información en un mercado no puede ser medida directamente; por ello resulta necesario tomar una variable cuantitativa que refleje el efecto de la asimetría en los mercados tal como es el precio.
La forma más común para descubrir los precios en el sector hortícola en México es la negociación entre particulares, individuos u organizaciones, ambos con diferente información acerca de los precios y las características del producto. En la región de estudio se ha observado que los productores, como una forma de minimizar la volatilidad de los precios entre ciclos agrícolas han adoptado la asociación productores-bodegueros, mediante contratos que les permite financiar parte de sus costos de producción y asegurar la venta de su producto.
La característica principal de los precios agrícolas es su gran variabilidad a corto plazo; una variabilidad moderada a mediano plazo y una tendencia secular decreciente. A corto plazo, la principal causa de la variabilidad es la alta dependencia de las condiciones climáticas. En segundo lugar, un cambio en las estimaciones de las existencias o del consumo mundial, lo cual altera la relación disponibilidad-consumo y en tercer lugar, los movimientos especulativos en los contratos a futuro. Estos últimos han causado alta volatilidad en la reciente crisis de los alimentos en 2008-2009 (FAO, 2010). El cambio de tecnología genera una tendencia secular, que al incrementar la productividad, aumenta la producción y la oferta de productos, influyendo de manera sobre los precios. Finalmente, un factor importante en la formación de precios es la política agrícola de los países desarrollados, Estados Unidos, Canadá y Europa, entre los más importantes.
Por otra parte, Rapsomanikis etal., (2004), mencionan que la transmisión vertical de precios permite analizar en qué medida y velocidad se transmiten los cambios de precios en los diferentes mercados. Menciona que la ausencia de integración de mercados, o de una transferencia completa de las variaciones de los precios de un mercado a otro, tiene consecuencias importantes para el bienestar de productores y consumidores. Una transmisión incompleta debido a políticas comerciales inadecuadas y altos costos de transacción por las infraestructuras deficientes en materia de transporte y comunicaciones entre otras causas, puede traducirse en una reducción de la información que poseen los agentes económicos y, a su vez, ocasionar una toma de decisiones ineficientes.
El tema de la transmisión de precios y su posible asimetría, puede ser utilizado como una forma de evaluar el funcionamiento y eficiencia del mercado. Kaabia y Gil (2008) mencionan que el concepto de asimetría se asocia tanto a la velocidad como a la magnitud de los diferentes niveles de precios, aunque no necesariamente hacer referencia a mercados ineficientes. Teóricamente se espera que las respuestas rápidas y simétricas de los precios ante shocks inesperados, tanto de oferta como de demanda, se asocien a mercados eficientes.
Por su parte, Ming (2006), analiza la simetría y la relaciona con la identificación de mercados eficientes, ya que tiene un efecto sobre el bienestar e ingreso de los consumidores y productores. El autor realiza su estudio de transmisión de precios de la carne de res, cerdo y pollo, del productor al consumidor de Canadá a los Estados Unidos. No encontró simetría en ambos precios. Por su parte, Kinnucan y Forker (1987), pioneros en realizar estudios de asimetría y transmisión de precios, aplican dicha técnica a través de elasticidades a un estudio de productos lácteos en Estados Unidos, donde concluyen que existe asimetría. Los cambios de precios del productor al consumidor se transmiten más rápidamente cuando existe un incremento de precios en comparación con un decremento, lo que ocasiona que se tenga la creencia común de que los consumidores no se beneficien con las reducciones de precios.
Jiménez y García (2005) en España, realizaron un estudio de transmisión vertical de precios, incorporando tres niveles de precios: precio de origen (puerto de embarque), precio de mayorista y precios al consumidor final, aplicando la técnica de cointegración para estimar la posible relación de dichos precios y analizaron la causalidad en el corto y largo plazo. Ellos identificaron dos precios fuertes: el precio al mayorista y el precio al consumidor final.
En lo referente a productos agrícolas, se ha realizado investigación de asimetría en cítricos (Pick, 1990) y tomate en España (Kaabia y Gil, 2008). Los resultados obtenidos en los trabajos anteriores varían dependiendo del tipo de producto, la frecuencia de datos, el método y técnicas utilizadas, así como la problemática coyuntural propia de cada país o región en estudio.
En esta investigación, se cuantifica y caracteriza la transmisión vertical de precios del tomate saladette en el mercado de Guadalajara, en diferentes niveles de precios. Se parte de la hipótesis de que la transmisión de precios en el mercado de tomate de Guadalajara es de carácter asimétrica; es decir, los cambios en los precios al productor no se reflejan proporcionalmente en el precio que recibe el mayorista (central de abasto) y el detallista. Para comprobar lo postulado anteriormente, se utiliza un modelo basado en Lass (2005).
Métodos y técnicas
La metodología adoptada en la investigación se basa en la operacionalización del concepto de transmisión vertical de precios en la cadena productiva tomate; se utiliza un modelo empírico de transmisión de precios propuesto por Lass (2005) que permite separar los movimientos de precio en aumentos y disminuciones, los cuales son incluidos de forma separada en el modelo econométrico para capturar posibles efectos diferenciales en el siguiente nivel del mercado, mayorista o detallista.
En el estudio se utilizaron series nominales de datos temporales de precios: el precio recibido por el productor, el precio pagado por el mercado mayorista y el precio pagado por el consumidor. El cuadro 1 presenta los estadísticos descriptivos de los datos, donde se aprecia una varianza moderada.

A partir de esos tres niveles de precios se formuló el modelo empírico. Se trabajó con precios mensuales. El precio al mayorista fue el precio por kilogramo de tomate saladette pagado por la central de abasto (Ceda) de Guadalajara y publicado por el Sistema Nacional de Información de Mercados (SNIIM). El precio al productor es un precio promedio rural de los Distritos de Desarrollo Rural de la Secretaría de Desarrollo Rural Pesca y Alimentación (Sagarpa) a nivel estatal, pagado al productor y publicado por la Sagarpa. El precio al consumidor, es retomado del Índice Nacional del Precio al Consumidor de acuerdo con el Banco de México y publicado en el Diario Oficial de la Federación. El costo de transporte se calcula de acuerdo al kilómetro correspondiente a cada municipio o región, considerando el costo promedio de diésel y su rendimiento (un litro y medio de diésel por kilómetro recorrido) para carga de cinco ejes; para ello se utilizó información de la Secretaría de Comunicaciones y Transporte (SCT), así como de la Secretaría de Energía (Sener). Los modelos se presentan de la siguiente manera:
a. Transmisión de precios del productor al consumidor final
Donde Const son los cambios acumulados del precio del consumidor y t es una variable que representa el tiempo
Precios acumulados al productor de un periodo a otro durante el periodo t,
Y los decrementos al productor
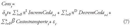
b. Transmisión de precios de la central de abastos (Ceda) al consumidor final
Donde:
Precios acumulados de la central de abasto de un periodo a otro durante el periodo t:
Y los decrementos a la Central de abastos de Guadalajara
El periodo de retraso fue de un mes, ello se debió a que el tomate es un producto perecedero y se comercializa en fresco, sin necesidad de almacenar. Para ambos modelos, se incorpora la variable costos de transporte correspondiente a cada región de estudio. Para determinar si existe asimetría en la transmisión de los precios de tomate en el mercado de Guadalajara, con respecto a los incrementos y decrementos del precio al productor y de la central de abastos, se procedió a plantear la siguiente hipótesis:

Resultados y discusión
El estado de Jalisco es uno de los principales productores de tomate a nivel nacional (Sagarpa, 2010). Existen cinco regiones productoras relevantes: Sayula, La Ciénega, Sierra de Amula, Costa Sur y Zapotlán El Grande. La variedad saladette es la que más se produce en la entidad, 66% de su producción se comercializa en la central de abastos de Guadalajara (Ceda). La Ceda es un lugar estratégico para la distribución de la hortaliza, dada la importancia de su ubicación regional por la cercanía a varios estados productores como: Michoacán, Sinaloa y San Luis Potosí. El mercado de Guadalajara ilustra lo vulnerable que pueden ser los precios, determinados por la oferta y la demanda. La figura 2, muestra los precios mensuales (pesos por kilogramo) al productor, mayorista y consumidor del tomate en la Ceda en el periodo de enero de 1997 a diciembre de 2009. Se observa que la serie de precios del productor es más estable que la del mayorista y consumidor. Estas dos últimas presentan fuertes variaciones y una evidencia visual de posible trasmisión asimétrica.

En el estado de Jalisco, los pequeños y medianos productores han adoptado una estrategia de comercialización a través de asociaciones con mayoristas, con el fin de reducir riesgos en la venta de su producto (asegurando la recuperación de sus costos de inversión) y también la de obtener financiamiento para el proceso productivo. Cerca del 40% de los productores que solicitan financiamiento, lo hacen a través de mayoristas, ya sea en especie (insumos agrícolas) o dinero en efectivo.
Uno de los principales determinantes del precio es la estacionalidad de la producción, que a su vez depende de cuestiones climáticas, problemas fitosanitarios y escasa planificación. El precio de la hortaliza en la central de abastos presenta una tendencia de crecimiento de hasta un 20%, a partir de julio y diciembre, hasta antes de que inicie en diciembre la producción de Sinaloa, principal estado productor y abastecedor del mercado de Guadalajara. Durante el abastecimiento de Sinaloa, los precios tienden a disminuir en un porcentaje de hasta un 60%.
Modelo empírico del tomate saladette
Propiedades estadísticas de los datos
La evidencia empírica (Kaabia y Gil, 2008) señala que la mayoría de las series de precio son no estacionarias (su varianza no es invariante en el tiempo), por tal razón inicia el análisis de los datos realizando una prueba de raíz unitaria. Enders (1995) describe la metodología de Dickey y Fuller (1979) considerando tres diferentes regresiones.

La diferencia entre las tres regresiones se debe a la presencia de los elementos deterministas: intercepto (drift) y una línea de tendencia (T). La primera es un modelo que adiciona intercepto y un término de tendencia. La segunda añade un intercepto o término de deriva, (drift) y la tercera es un modelo de caminata aleatoria puro.
El parámetro de interés en todas las ecuaciones de regresión es δ; si δ = 0, la serie contiene una raíz unitaria. Una versión simple de la prueba consiste en estimar una (o más) de las ecuaciones antes indicadas mediante el método de los Mínimos Cuadrados Ordinarios (MCO) con el fin de obtener el valor estimado de δ y su correspondiente error estándar asociado. Comparando el estadístico resultante T (a diferentes niveles de significancia) con el valor apropiado reportado en las tablas Dickey-Fuller, permite determinar si se rechaza o no la hipótesis nula, δ =0 (la serie es no estacionaria).
La prueba aumentada de Dickey- Fuller (DFA) es una versión de la prueba de Dickey-Fuller para modelos de series de tiempo mucho más grandes y complicados. La DFA es un número negativo. Mientras más negativo sea el estadístico de DFA (con respecto a los valores críticos) más fuerte será el rechazo de la hipótesis nula sobre la existencia de una raíz unitaria o no estacionariedad. La ecuación de regresión DFA, se basa en las regresiones presentadas anteriormente, pero aumentándolas con términos de retardos de la variable:

Se sugiere este estadístico, cuando la prueba Dickey-Fuller no pueda corregir la correlación serial en los residuos. El propósito de los retardos αΣΔYt - 1 . es asegurar que los residuos sean ruido blanco.
Prueba de raíz unitaria
Como primer apartado se procedió a la prueba de raíz unitaria, analizada a través de la metodología propuesta por Dickey y Fuller (1979). Se utilizaron tres regresiones para cada una de las variables en estudio: consumidor, Ceda y productor (cuadro 2). De acuerdo con los resultados obtenidos, lo que interesa saber es si las series de tiempo son estacionarias o no; para ello se procede a comparar los valores del estadístico y se aprecia que para la variable consumidor sólo con intercepto y tendencia a un nivel de confianza de 90, 95 y 99% de confianza, dicha variable resultó significativa, por lo que se rechaza la hipótesis nula y se concluye que la serie de tiempo es estacionaria. El modelo aleatorio (ninguno) resultó no significativo para los niveles de confianza antes mencionados por lo que resulta una serie de tiempo no estacionaria. En lo que respecta a la variable Ceda y productor, la serie de tiempo tuvo un comportamiento similar, es decir al comparar los estadísticos, estos resultaron significativos para un nivel de confianza de 90, 95 y 99%, en el modelo solo en intercepto y con intercepto y tendencia, resultando ser estacionarios, y en el modelo aleatorio (ninguno) resultaron no significativos, por lo que se consideraron no estacionarios para ese modelo. De acuerdo al resultado anterior, se considera a las series de tiempo como estacionarias.

Las hipótesis que se plantean son las siguientes:
Ho: δ = 0, la serie es no estacionaria (raíz unitaria)
H1: ≠ 0, la serie es estacionaria
Adicionalmente a la prueba ADF, se realizó una prueba de raíz unitaria estacional, sobre las tres series de precio, siguiendo la metodología propuesta por Franses y Hobijn (1997) y utilizando el paquete estadístico Jmulti versión 4.24. Se realizaron pruebas individuales "t" sobre la significancia de los coeficientes de las raíces estacionales, desde uno hasta doce estaciones, obteniendo resultados mixtos respecto la existencia de raíz unitaria. Basados en Ghysels et al. (1994), quienes extienden el análisis de HEGY proponiendo una prueba F de significancia conjunta, en este caso los coeficientes resultaron diferentes de cero por lo que se rechaza la hipótesis nula de raíz unitaria para las tres series de precios de tomate.
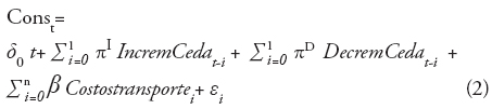
Con estos resultados se concluyó que las series de tiempo son estacionarias, por lo que la estimación del modelo se realizó por Mínimos Cuadrados Ordinarios. Se procedió a estimar las variaciones del precio al consumidor únicamente en función de los incrementos y decrementos de la central de abastos (Ceda) y de los costos de transporte para cada región, de acuerdo al siguiente modelo;

El modelo anterior se estimó para cada una de las cinco regiones productoras de tomate (cuadro 3). Para la primera región, Sierra de Amula, puede interpretarse de la siguiente manera, al incrementarse en una unidad la variable independiente incremento ceda (mayorista), la variable dependiente consumidor se incrementa en 1.013 unidades, por otra parte, si se incrementa en una unidad la variable independiente decremento ceda, la variable consumidor disminuye en 0.961 unidades y al incrementarse en una unidad los costos de transporte, la variable consumidor disminuye en 0.009521 unidades. Puede apreciarse que los resultados del modelo para las otras cuatro regiones son similares y su interpretación es idéntica.

En términos generales, los cinco modelos son significativos a un nivel de significancia de 5%, de acuerdo a la prueba de F. Por otra parte, no existe una diferencia estadística significativa en los coeficientes de determinación R2 en cada uno de los modelos, lo cual significa que el comportamiento estadístico es homogéneo y por lo tanto, no existen grandes variaciones y el precio del consumidor es explicado en 45% por las variables independientes incluidas en el modelo. A lo anterior cabe señalar que en relación al estadístico t, a un nivel de significancia de 5%, la variable incremento Ceda y decremento Ceda son significativas. La variable costo de transporte no es significativa.
Se rechaza la hipótesis nula de que el coeficiente de la variable incremento Ceda es igual al coeficiente de la variable decremento Ceda, lo que indica que la velocidad de ajuste de los movimientos, es decir aumentos y disminuciones del precio en la central de abastos no son iguales, a esto se denomina transmisión asimétrica del precio a corto plazo. El precio que paga el consumidor aumenta proporcionalmente más que cuando este disminuye, en respuesta a un aumento o disminución de igual magnitud del precio en la central de abastos. En el cuadro 3 en lo que se refiere a la variable costos de transporte, aparece con un valor y signo similar en todos los modelos, lo que podría interpretarse como un costo fijo ya que no se distingue la región productora y abastecedora de tomate, es decir, el lugar de donde se envía no es relevante.
Prueba de causalidad de Granger
La observación empírica en el mercado del tomate indica que, para el caso de un producto homogéneo, por ejemplo, la misma variedad de tomate, las variaciones del precio en un nivel del mercado, generan movimiento del precio en el siguiente nivel del mercado, la hipótesis es que el mercado intermediario es quien tiene influencia sobre los precios al productor, principalmente por su carácter de oligopsonio.
Como una técnica previa a la estimación de los modelos, se procedió a estimar la prueba de causalidad, obteniendo los siguientes resultados (cuadro 4).

El resultado del contraste de causalidad de Granger proporcionó información acerca de la relación dinámica entre las variables en estudio. En cada caso, apareció el valor del estadístico F con su correspondiente probabilidad. El resultado de los contrastes indicó que se rechaza la hipótesis de precios del consumidor respecto a la central de abastos (mayoristas) y viceversa, lo que indica que sí existe una relación lineal causal bidireccional. Al mismo nivel de significancia del 5% los valores de F no son significativos, por lo que no se rechaza la hipótesis de que no existe una relación de causalidad de Granger de precios al productor con respecto a los precios mayoristas central de abastos y a los precios del consumidor. Sin embargo, en la relación inversa, considerando el valor del estadístico F y su significancia, se concluyó que sí existe una relación causal unidireccional de los precios de la Central de abastos a los precios del productor, así como de los precios del consumidor final al productor. Las relaciones anteriores son explicadas en función de los datos del mes anterior. Se evidenció con la técnica de causalidad, que las variaciones de precios al productor no tienen un impacto significativo en los precios al consumidor así como a los precios al mayorista. Considerando el resultado de la prueba de Causalidad de Granger, donde se constató que los precios al productor no tienen un efecto causal sobre los precios al consumidor ni al mayorista.
Conclusiones
Los resultados de las pruebas de raíz unitaria sobre las series de precios mostraron que estas son estacionarias, sin tendencia de largo plazo, lo que facilita su uso para realizar planeación de la producción.
Existe una respuesta asimétrica en los resultados obtenidos debido a que los incrementos de precios que presentan las centrales de abasto, no se refleja en los precios que recibe el productor, en tanto que los incrementos del precio del tomate del mayorista (central de abasto) se transmiten totalmente al consumidor final, pero los decrementos no se transmiten totalmente.
La prueba de causalidad evidenció que existe una relación bidireccional del consumidor-central de abasto y una relación direccional consumidor-productor y central de abasto-productor. No existe una relación causal productor-consumidor y productor-central de abasto por lo que las variaciones de precios al productor no tienen un impacto significativo en los precios al consumidor así como a los precios al mayorista, es decir que el productor es tomador de precios.
El mercado del tomate en Guadalajara es un mercado en el que participan muchos productores con escasa información sobre los precios y pocos comercializadores que influyen en la direccionalidad y magnitud de los movimientos de los precios. Los resultados son consistentes con esta observación empírica. Derivado de esto, la autoridad en la materia deberá estar atenta para apoyar a los productores, que en este caso se ven afectados, principalmente por falta de información y organización.
Bibliografía
Dickey, D. y W. A. Fuller (1979) "Distribution of the Estimators for Autoregressive Time Series with a Unit Root" Journal of the American Statistical Association. Volumen 74. pp. 427-431. [ Links ]
Enders, W (1995) Applied Econometric Time Series (segunda ed.). Wiley Series Probability and Statistics, University of Alabama, Wiley. [ Links ]
Diario Oficial de la Federación. Índice Nacional de Precios al Consumidor. Varios años. Disponible en <http://dof.gob.mx/index.php> (Recuperado el 16 de enero de 2011). [ Links ]
FAO (2010) La volatilidad de los precios agrícolas. Informes de política, [en línea]. En <http://www.fao.org/economic/es-policybriefs/es> (Recuperado el 20 de marzo de 2011) [ Links ]
Franses, P. y B. Hobijn (1997) "Critical Values for Unit Root Tests in Seasonal Time Series" Journal of Applied Statistics. 24, 25-47. [ Links ]
Ghysels, E., H. Lee, Noh, J. (1994) "Testing for Unit Roots in Seasonal Time Series: Some Theoretical Extensions and a Monte Carlo Investigation" Journal of Econometrics. 62, 415-442. [ Links ]
Jiménez, R. y H. J. García (2005) "Integración vertical y transmisión de precios en los canales de distribución de la chirla" Estudios Agrosociales y Pesqueros. 205, 189-218. [ Links ]
Kaabia, M. y J. Gil (2008) "Asimetrías en la transmisión de precios en el sector del tomate en España" Economía Agraria y Recursos Naturales. 81, 57-82. [ Links ]
Kinnucan, H. y O. Forker (1987) "Asymmetry in Farm Retail Prices for Major Dairy Product" American Journal of Agriculture Economics. 69, 285-292 [ Links ]
Lass, D. (2005) Agribusiness. [en línea]. Willey Periodicals. En: <http://www.interscience.wiley.com> (Recuperado en marzo de 2010). [ Links ]
Ming, T. (2006) "Asymmetry in Farm to Retail Price Transmission: Evidence from Canada and the USA". Thesis for Degree of Master of Science. Agriculture and Resource Economics. EUA, University of Delaware. [ Links ]
Pick, D., Karrenbrock, J., H. Carman (1990) "Price Asymmetry and Marketing Margin Behavior: An Example for California-Arizona Citrus" Agribusiness. 6, 75-84. [ Links ]
Rapsomanikis, G., Hallam, D., PI Conforti (2004) Integración de mercados y transmisión de precios en determinados mercados de productos alimentarios y comerciales en países de desarrollo: examen y aplicaciones. Departamento económico y social. Depósito de documentos de la FAO. Disponible en: <http://www.fao.org/DOCREP/007/Y5117S/y5117s06.htm> (Recuperado el 11 de noviembre de 2010). [ Links ]
Siller, B. et al. (2009) "Formación de precios de alimentos y el efecto de la información: los casos de México y Estados Unidos de Norteamérica" Agrociencia. Volumen 43, número 4, pp. 447-455. [ Links ]
Sistema Nacional de Información e Integración de Mercados. Precios de hortalizas. de <http://www.sniim.gob.mx/2010/frutas> (Recuperado el 25 de noviembre de 2010). [ Links ]
Tomek, W. y K. L. Robinson (2003) Agricultural Product Prices (cuarta ed.). EUA, Cornell University Press. [ Links ]





















