Servicios Personalizados
Revista
Articulo
Indicadores
-
Citado por SciELO -
Accesos
Links relacionados
-
Similares en
SciELO
Compartir
Economía: teoría y práctica
versión On-line ISSN 2448-7481versión impresa ISSN 0188-3380
Econ: teor. práct no.34 México ene./jun. 2011
Organización del trabajo e innovación: Un estudio comparativo entre ramas productivas argentinas*
Analía Erbes,** Sonia Roitter*** y Marcelo Delfini****
Investigadores docentes de la Universidad Nacional de General Sarmiento (UNGS), Buenos Aires, **aerbes@ungs.edu.ar , ***sroitter@ungs.edu.ar , ****mdelfini@ungs.edu.ar
* Fecha de recepción: 23 de septiembre de 2010
Fecha de aceptación: 10 de marzo de 2011
RESUMEN
El objetivo principal del presente artículo es analizar las características que adopta la organización del trabajo en un conjunto de empresas pertenecientes a diferentes ramas productivas argentinas y su vinculación con los procesos de innovación. Este estudio se basa en datos de una encuesta realizada a empresas de las ramas automotriz, textil, de maquinaria agrícola y siderúrgica de Argentina. Para el análisis se utilizaron dos técnicas estadísticas: análisis de cluster y modelos logit. En un contexto de fuerte predominio de formas de organización del trabajo de escasa complejidad, se concluye que las dinámicas innovativas más virtuosas prevalecen entre las empresas que se caracterizan por esquemas formativos.
Palabras clave: organización del trabajo, innovación, ramas productivas.
Clasificación JEL: O32, L14, D21, M54, L60.
ABSTRACT
This paper analyzes work organization features within companies belonging to different Argentinean production networks as well as their relationship with innovation processes. The research is based on a survey applied to automotive, clothing, agricultural machinery, and iron and steel production networks. A cluster analysis and logit models have been used. The study concludes that, in a context where low complexity work organization style prevails, beneficiai innovative dynamics stands out among learning organizations.
Key words: work organization, innovation, production networks.
Clasification JEL: O32, L14, D21, M54, L60.
INTRODUCCIÓN
Las transformaciones desarrolladas en los pasados 30 años en la economía mundial ponen de manifiesto la centralidad del conocimiento y la innovación en la competitividad dinámica, no sólo a nivel de las empresas, sino también dentro de las redes de las que forman parte (Erbes et al., 2006; Nonaka y Takeuchi, 1995, y Lundvall, 2003).
En este marco, se parte de la idea de que la competividad empresarial es favorecida por la existencia de contextos organizacionales que promueven los procesos de innovación y de generación y circulación del conocimiento. La organización del trabajo es un factor clave en el desarrollo de dichos procesos en tanto posibilite una intervención activa de los trabajadores y, a la vez, contribuya a la formación de capacidades laborales.
La existencia de dinámicas con estas características exige que las empresas estimulen y desarrollen procesos de aprendizaje con el fin de incrementar los saberes de los trabajadores y de producir mejoras en la competitividad. De esta forma, las empresas se constituyen en organizaciones formativas y se establece una relación dinámica entre formación y productividad. En este sentido, las formas de organizar el trabajo que tienden a estimular procesos de aprendizaje y a contribuir al desarrollo de procesos de innovación se caracterizan por el trabajo en equipo y la búsqueda de polivalencia y autonomía de los trabajadores para intervenir en el proceso productivo, entre otros elementos (Lorenz y Valeyre, 2005; Arundel et al., 2007).
Tomando estos elementos como punto de partida, este artículo tiene como objetivo general investigar el vínculo existente entre las formas de organización del trabajo y los procesos de innovación en las empresas. En este marco, se propone: i) describir las formas organizacionales que caracterizan a diferentes dinámicas innovativas de las empresas; ii) analizar las características que adopta la organización del trabajo en un conjunto de empresas pertenecientes a diferentes ramas productivas argentinas, y iii) estudiar la relación entre las formas de organización del trabajo y los procesos de innovación.
Las preguntas centrales que guían este trabajo son las siguientes: ¿Qué tipo de organización del trabajo favorece, en mayor medida, el desarrollo de los procesos de innovación y circulación de conocimiento? ¿Qué dimensiones pueden considerarse para caracterizar las formas de organización del trabajo predominantes en las empresas encuestadas? ¿Cuáles son las relaciones existentes entre organización del trabajo e innovación en este grupo de empresas? ¿Qué impacto tiene la organización del trabajo en los procesos de innovación? ¿Cuáles son las particularidades que asumen estas dimensiones en las empresas de cada una de las ramas analizadas?
Las unidades analíticas consideradas para el desarrollo de este estudio son las empresas individuales pertenecientes a distintas ramas productivas argentinas. Esto implica que el objeto de estudio sean las empresas y no la rama en sí misma, por lo que esta última se presenta en el análisis realizado como una variable independiente que puede condicionar el desarrollo de determinadas formas organizacionales. Pese a esto, es importante abordar la relación entre organización del trabajo y procesos de innovación en el marco de estas estructuras productivas, dadas las características de los intercambios productivos y de conocimiento implícitos en las mismas, lo cual resulta menos evidente cuando se considera como marco la rama de actividad o el sector. Así, la rama productiva se define como un espacio económico de intercambio que incluye una o varias empresas organizadoras (núcleo) y a sus proveedores y clientes. Si bien el centro del intercambio entre estos actores está en los bienes y/o servicios que comercializan, existen vinculaciones extracomerciales entre los mismos que hacen posible el desarrollo de procesos de aprendizaje colectivo, enriqueciendo la dinámica productiva e innovativa y mejorando las competencias de los trabajadores (Bisang et al., 2005).1
Este estudio se basa en los datos de una encuesta realizada a empresas de las ramas automotriz, textilconfecciones, maquinaria agrícola y siderúrgica de Argentina, los cuales fueron tratados mediante dos técnicas estadísticas.2 En primer lugar, se realizó un análisis factorial de correspondencias que permitió constituir grupos homogéneos (cluster) en función de los rasgos que asume la organización del trabajo. Luego, se estimó un modelo logit, que discrimina los efectos de los aspectos que definen la forma de organización del trabajo, como indicadores indirectos (proxy) de los procesos de producción y circulación de conocimiento sobre la dinámica innovativa de las empresas.
El análisis de estas empresas se inscribe en el marco de un fuerte crecimiento de la economía argentina y, particularmente, de la actividad industrial desde mediados de 2002, a partir de la devaluación de la moneda local. Al respecto, puede señalarse que entre 2003 y 2007 la industria creció a una tasa promedio anual de 10.3%, medido en términos del volumen físico de la producción (CEP, 2008). En esa dirección, Fernández Bugna y Porta (2007) y Lavopa (2007) plantean que, si bien la configuración sectorial de la industria no se modificó considerablemente entre 2002 y 2005, es posible identificar sectores que realizaron una contribución relativa mayor al crecimiento industrial en el último periodo, tales como el complejo textil y el metalmecánico. En lo que respecta a los sectores vinculados a las ramas objeto del presente estudio, y tomando como referencia el índice del volumen físico de la producción, se destaca el crecimiento experimentado por el sector automotriz (208% acumulado entre 2002 y 2007), lo cual impulsó una dinámica positiva del sector de autopartes que redundó en una tasa de crecimiento cercana a 53%, mientras que en la producción de maquinaria el incremento fue de 179%. Por su parte, la confección de prendas de vestir logró un aumento de 85% y la producción de hierro y acero vinculada con la rama siderúrgica creció 36%. Este crecimiento de la economía se reflejó en el incremento del empleo, lo que posibilitó reducir en 2007 la tasa de desempleo a 7.5 por ciento.
En la sección I de este artículo se presenta el marco teórico en el que se inscribe el análisis desarrollado, estableciendo las características de las formas de organización del trabajo que favorecen los procesos de creación y circulación de conocimiento. En la sección II se establece la vinculación entre los procesos innovativos y las formas que asume la organización del trabajo. Enseguida, se da cuenta de las dimensiones analíticas de la organización del trabajo, y en la sección III se presentan las características generales de las ramas, lo cual permite hacer referencia el análisis realizado con posterioridad. Luego se analiza la conformación de los cluster y su relación con las ramas productivas consideradas.
En la sección IV se presenta un modelo logístico ordinal que permite dar cuenta de los efectos que las distintas formas organizacionales tienen en la dinámica innovativa. Finalmente, se presentan las principales conclusiones.
I. ORGANIZACIÓN DEL TRABAJO
El nuevo contexto productivo caracterizado por la importancia que adquiere el conocimiento en tanto factor productivo, coloca a las empresas frente a la necesidad de crear modos de organizar el trabajo que favorezcan los procesos de aprendizaje y que dinamicen el desarrollo de sus competencias. En este sentido, una empresa es generadora de conocimiento en la medida que promueve procesos de aprendizaje en su interior, interacciones entre los trabajadores y la participación de éstos en distintos ámbitos de la organización (Mallet, 1995; Mertens, 2002; Méhaut, 1994; Zarifian, 1995; Harteis, 2003).
Para ello, se requiere de una organización del trabajo que potencie el aprendizaje y la integración de conocimientos codificados y tácitos. Precisamente, la mirada sobre el proceso de trabajo posibilita caracterizar a las organizaciones y su vinculación con la dinámica innovativa de empresas que pertenecen a una rama productiva. Así, el análisis de la forma de organización del trabajo permite dar cuenta del nivel de vinculación entre los procesos de aprendizaje, conocimiento, innovación y competitividad (Mertens, 2002; Lorenz y Valeyre, 2005; Arundell, et al, 2007; Rojas, 1998).
La organización del trabajo puede definirse como el conjunto de aspectos técnicos y sociales que intervienen en la producción de bienes y servicios. Se refiere a la división del trabajo entre las personas, y entre las personas y las máquinas. En este sentido, intervienen el medio ambiente y la totalidad de las dimensiones presentes en cualquier prestación laboral (Novick, 2000). La estructura organizacional posibilita el ordenamiento de una secuencia de actividades, otorgándole sentido y coherencia al proceso productivo. Incluye tanto el entorno donde se desarrolla el trabajo como la disposición de los objetos y de las herramientas en el espacio de producción. El trabajador, la tecnología y los otros trabajadores (pares, superiores y maestros) constituyen un "sistema de actividad humana" y, con ello, un contexto de aprendizaje individual y colectivo.
En este sentido, desempeñan una función importante algunos componentes clave de la gestión que dan "contenido" al modo de organizar el trabajo, entre los que se cuentan los criterios de asignación de tareas, la implantación de dispositivos grupales que permiten la conversión de conocimiento y la reflexión sobre la acción, además la producción colectiva de rutinas e innovaciones. Desde esta perspectiva, el cumplimiento de una tarea (realizada sola o en colaboración con otros) se asocia con la organización específica de cursos de acción, es decir, con la construcción de un orden observable, inteligible y descriptible en las actividades.
Para dar cuenta de la forma que adopta la organización del trabajo y su contribución a la circulación del conocimiento, es preciso identificar dos dimensiones: la "arquitectura" o diseño organizativo del trabajo y las herramientas de gestión social asociadas al mismo. Definida de esta manera, la "arquitectura" puede constituirse en un obstáculo o generar las condiciones para una mejora considerable en la comunicación y en el intercambio de saberes y, con ello, en la coordinación de las actividades. Sin embargo, esto no garantiza el desarrollo de nuevas capacidades, ya que además se requiere la puesta en juego de un conjunto de herramientas de gestión social que "activen" dicha estructura en la práctica.
Las distintas formas organizacionales pueden diferenciarse a partir de: a) la complejidad que adquieren los equipos de trabajo; b) la importancia de la adquisición de experiencias en el proceso de trabajo, y c) el grado de autonomía de los trabajadores.
Desde este enfoque analítico es posible establecer diferentes formas de organización del trabajo que derivan de las características que asume la actividad productiva, y que abarcan desde aquellas que promueven procesos de aprendizaje hasta las que los limitan. Al respecto, este abordaje permite identificar organizaciones que se denominarán: "formativas", "híbridas" o "simples".

En primera instancia, una organización "formativa" se define como aquella que promueve procesos de aprendizaje y en la que intervienen elementos que viabilizan el incremento de las competencias de los trabajadores y posibilitan el desarrollo de oportunidades de innovación para la empresa, permitiendo mantener un flujo de innovaciones y mejoras en los procedimientos y en la producción (Montero Leite, 1996).
El trabajo en equipo constituye uno de los aspectos a considerar para la dinámica de las organizaciones formativas. Por su carácter interactivo, los equipos de trabajo permiten intercambiar experiencias posibilitando la difusión e integración del conocimiento tácito y codificado entre sus miembros (Rullani, 2000). En este sentido, la realización del proceso productivo por medio de equipos tiene características enriquecedoras cuando más allá de la mera ejecución de tareas promueve: i) el intercambio de funciones dentro del grupo, ii) la posibilidad de compartir experiencias a partir de la acción misma, y iii) un mayor protagonismo de los trabajadores en actividades de concepción del proceso de trabajo y en la programación de maquinarias.
Otra de las dimensiones que definen los rasgos formativos de los espacios de trabajo es el carácter que asume la polivalencia. Se considera que ésta tiene un carácter formativo cuando la rotación se produce entre puestos de distinto nivel de complejidad, lo cual supone la aparición de conocimientos individuales y colectivos nuevos (Méhaut, 1994).
Asimismo, las organizaciones formativas se caracterizan por el grado de autonomía que tienen los trabajadores en el proceso de trabajo. Esta autonomía se puede entender como la capacidad del personal operativo para intervenir en el proceso productivo, no sólo como ejecutantes, sino como actores. Para ello, es necesario evaluar tanto las competencias requeridas por el proceso de trabajo como la posibilidad de intervenir en el mismo.
En síntesis, una organización formativa se caracteriza por una "arquitectura" acompañada por una "gestión social del trabajo" que permite crear las condiciones para el despliegue de la experiencia acumulada, en un contexto que facilite la participación de los individuos en diferentes actividades, que implique la continua interacción grupal y que fomente la cooperación y transmisión de conocimientos entre ellos.
La organización "híbrida", por su parte, se caracteriza por una estructura cercana a la "formativa", aunque existen elementos de la "gestión social del trabajo" que la alejan de la misma. Así, por ejemplo, la estructuración del trabajo en equipos se limita a tareas meramente operativas y casi rutinarias y la polivalencia se encuentra ligada con la posibilidad de intensificar los ritmos de trabajo, desarrollándose en un marco en el que la rotación entre puestos no implica diferentes tipos de complejidad ni habilidades. De esta manera, existe una rotación improvisada entre puestos con el mismo nivel de complejidad, generalmente en una misma célula de trabajo, por lo que la rotación adquiere rasgos de una "polivalencia funcional". En este caso, la autonomía en la toma de decisiones es limitada, dado que los trabajadores no intervienen en la definición de los ritmos ni de los métodos de trabajo y, como consecuencia, sus posibilidades de participar en la concepción del proceso de trabajo son reducidas.
Puede entenderse, entonces, que la lógica organizativa "híbrida" es estructuralmente cercana a la de una organización "formativa" dado que en ambas están presentes, por ejemplo, los equipos de trabajo, pero los criterios dinámicos vinculados a la "gestión social" se desarrollan con distinta intensidad en uno u otro caso.
Por último, las organizaciones "simples" se caracterizan por una profundización en la división técnica del trabajo, segmentando el proceso en diferentes partes en las que cada trabajador cumple una tarea específica (asignación individual de los puestos). En este caso, existe una escasa participación de los obreros en tareas vinculadas a la concepción, por lo que se presenta una separación clara entre ésta y la ejecución. En este sentido, el trabajo se organiza de manera individual, con una marcada especialización y una estricta división de tareas, adoptando aspectos característicos del taylorismo. A su vez, no existen procesos de rotación como parte de la dinámica organizativa y, en aquellos casos en que se desarrollan, sólo se orientan a suplir las deficiencias del sistema y no existe planeación ni regularidad vinculada a ellos. La autonomía en estas formas de organización se encuentra restringida por las jerarquías existentes y por la dinámica de descomposición del proceso de trabajo en múltiples segmentos.
El desarrollo de una espiral virtuosa que articule una organización de trabajo formativa con potencial para desarrollar capacidades en los trabajadores, y el aprovechamiento por parte de la empresa de dichas capacidades, promueve la generación de ventajas competitivas dinámicas que redundan en una mayor estabilidad ante las contingencias de los escenarios macroeconómicos en los que se desarrollan las empresas.
II. ORGANIZACIÓN DEL TRABAJO Y DINÁMICA INNOVATIVA
La integración de los aspectos señalados parte de la pregunta sobre la articulación existente entre organización del trabajo, aprendizaje, innovación y competitividad. La innovación en productos y procesos surge del aprovechamiento de los conocimientos y de la coordinación de las mejoras que se producen en las distintas áreas de la empresa (Nelson y Winter, 1982). En este sentido, la innovación depende del aprendizaje y consiste en un proceso orientado a cambiar comportamientos para modificar resultados. Se trata de un proceso dinámico, continuo y acumulativo orientado a optimizar resultados, favorecido por formas de organización del trabajo que estimulan el intercambio de conocimientos. En principio, es posible afirmar que el desarrollo de esta articulación es central en la medida que la empresa experimenta una permanente confrontación entre los factores endógenos y exógenos, es decir, entre su dinámica organizativa, tecnológica y social interna, y las exigencias del mercado y la competencia a la que se ve sometida. Las empresas recurren al aprendizaje para resolver esa oposición, la cual representa un proceso que implica la movilización de saberes y competencias por parte de los actores. La construcción de soluciones a problemas tanto internos como externos representa, en última instancia, un proceso de aprendizaje técnico organizacional (Villavicencio, 2000).
Diversas aportaciones realizadas desde la perspectiva evolucionista coinciden en señalar la importancia de las competencias endógenas diferenciales desarrolladas a lo largo del sendero evolutivo de la empresa, para su capacidad innovativa. En esta dirección, Penrose (1959) y Nelson y Winter (1982), entre otros, aportan elementos sumamente importantes para entender las diferencias existentes en las conductas de las empresas en términos de innovación. En particular, señalan que cada empresa cuenta con un conjunto de competencias o capacidades que derivan de conocimientos y experiencias adquiridas en el marco de un determinado sendero de desarrollo (path dependence) y se convierten, de esta manera, en activos específicos de una organización a los que no puede accederse a partir del mercado y, por tanto, no pueden ser fácilmente reproducidos por otros agentes (Teece y Pisano, 1994).
Desde esta perspectiva, Teece y Pisano (1994) sostienen que la verdadera fuente de ventajas competitivas de una organización no radica en las competencias desarrolladas, sino más bien en la capacidad de reorganizarlas y coordinarlas para enfrentar el contexto competitivo en el que la empresa se inserta. Las diferencias existentes en términos de generación y desarrollo de competencias se traducen, entonces, en capacidades diferenciales de innovación (Pavitt, 1984; Milesi, 2006).
Como consecuencia de esto, entre quienes analizan e interpretan los procesos de innovación, existe consenso en que la cantidad de conocimiento producido no depende solamente de la cantidad de información que se introduzca en la empresa, sino también de la dotación de recursos de que se disponga, de las competencias desarrolladas, de los mecanismos para la difusión del conocimiento tácito y de las características estructurales que rodean el proceso de aprendizaje (Nelson y Winter, 1982). En este sentido, la forma en la que se organiza el trabajo adquiere un lugar central para explicar la capacidad con la que se cuenta para realizar esfuerzos de innovación y lograr resultados derivados de esas actividades.
De esta manera, se considera que una estructura organizacional que haga posible la circulación y producción del conocimiento es un elemento central para la dinámica innovativa. Se destaca entonces la importancia de formas de organización del trabajo que favorezcan tanto el desarrollo de las competencias individuales y colectivas, como dinámicas de circulación y generación de conocimiento, de innovación y de incremento de las capacidades de los agentes.
Así, pueden identificarse estructuras específicas de organización del trabajo orientadas a favorecer la dinámica de la formación y, con ello, los procesos de innovación. En este sentido, una empresa es formativa y generadora de conocimiento en la medida que promueve procesos de aprendizaje en su interior mediante la participación de los trabajadores y de la interacción entre ellos (Mallet, 1995; Mertens, 2002; Méhaut, 1994; Zarifian 1995; Harteis, 2003).
Los procesos de innovación tienden a desarrollarse preponderantemente en marcos organizacionales que no restringen el aprendizaje a un grupo limitado de "empleados del conocimiento", sino que se asocian a esfuerzos compartidos colectivamente. Una gestión social del trabajo de estas características favorece la dinámica innovativa y, a partir de ella, promueve mejoras en la competitividad.
III. CARACTERÍSTICAS GENERALES DE LAS RAMAS ESTUDIADAS
En este trabajo, el análisis sobre la relación entre características de la organización del trabajo e innovación se aborda considerando empresas pertenecientes a cuatro ramas argentinas, las cuales presentan diversos grados de complejidad tecnológica e integración de etapas productivas y de agentes económicos: maquinaria agrícola, automotriz, siderurgia y textil.
Tal como se mencionó, los datos correspondientes a las empresas de estas ramas se recogieron en diversos trabajos de campo realizados entre 2006 y 2008, en el marco de un proyecto financiado por IDRC. En particular, entre las ramas escogidas para este artículo, se encuestaron 55 empresas de maquinaria agrícola, 41 de textil y confecciones, 87 de autopartes y 77 proveedores y clientes de siderurgia.
Entre el amplio conjunto de actividades vinculadas a la producción de maquinaria agrícola, en este estudio se consideraron solamente aquellas relacionadas con la fabricación de máquinas, implementos agrícolas y agropartes destinadas al sector agrícola. El proceso productivo en la fabricación de maquinaria agrícola comprende dos etapas diferenciadas: corte, estampado y plegado de materias primas siderúrgicas, y el ensamblado de partes, piezas y componentes. En general, estas etapas son asumidas por empresas distintas. Se trata de un sector que se destaca por la baja estandarización de componentes, por la presencia de un elevado número de empresas de escala reducida y por la fuerte integración productiva de los fabricantes de máquinas. En un contexto de escasa relevancia de economías de escala y de heterogeneidad de la demanda local, las estrategias de las empresas nacionales se vinculan principalmente a la diversificación productiva y al desarrollo de economías de alcance (scope). Por su parte, la dinámica de las empresas transnacionales que operan en el sector se caracteriza por la escasa integración de empresas nacionales y de procesos locales de aprendizaje innovativo (Gutman y Lavarello, 2008).
Por su parte, la rama automotriz se encuentra constituida por las terminales automotrices, los productores de autopartes, piezas, subconjuntos y conjuntos originales destinados a las terminales y al mercado de reposición, y las concesionarias dedicadas a la venta de vehículos nuevos. Entre éstos, los agentes seleccionados para el desarrollo de este análisis son los fabricantes de autopartes. Esta elección se relaciona con el impacto de su actividad en la evolución de la rama a nivel local y con las derramas potenciales derivadas del desarrollo de sus capacidades hacia otros sectores. En lo que respecta a la estructura de la rama, ésta se articula a partir de relaciones jerárquicas, limitadas y fuertemente heterogéneas con los diferentes agentes que forman parte de la cadena (Motta et al., 2007).
En términos generales, puede decirse que desde la década de los noventa la rama automotriz ha adoptado el modelo de producción flexible que prevalece a nivel internacional. Este rasgo ha generado cambios en la morfología del sector de autopartes y en las estrategias de las empresas que se tradujeron, principalmente, en la concentración de la producción en un número cada vez más reducido de empresas y en una creciente especialización e internacionalización de la producción de componentes (Motta et al., 2007, y OIT, 2005). Aunque el eslabón nacional de la rama automotriz tiene una presencia marginal en la cadena de valor global, cuenta con una fuerte importancia relativa en el contexto local dado que la mayor parte de las empresas multinacionales radicadas en Argentina pertenecen a este sector.
A diferencia de la rama automotriz, la rama siderúrgica se configura a partir de un núcleo nacional transnacionalizado, con un esquema de producción internacional que reproduce, en distintos lugares del mundo, las plantas productivas que desarrollan un proceso continuo.
La industria siderúrgica argentina presenta una importante concentración de la oferta sectorial en la producción de acero y productos siderúrgicos, en torno a cuatro empresas integradas que funcionan como agentes articuladores de una red más amplia que incluye a proveedores de insumos y materias primas, y a clientes. Entre estos agentes, se incluyen en este trabajo a los proveedores y clientes de los núcleos mencionados.
Entre los proveedores más importantes se encuentran unas pocas empresas extranjeras que abastecen de las principales materias primas, como el mineral de hierro y el carbón, ya que actualmente la producción nacional de éstos es prácticamente inexistente. Otros tipos de insumos y servicios vinculados a la actividad son abastecidos por un amplio conjunto de empresas nacionales, independientes y pequeñas. Por su parte, los clientes se diferencian también en términos de las actividades que realizan, destacándose principalmente las empresas que agregan valor al acero recibido, las que proveen servicios y las empresas que utilizan directamente el acero en la elaboración de productos específicos (Borello et al, 2007).
Por su parte, el sector de indumentaria en Argentina está conformado fundamentalmente por empresas pequeñas y medianas de capital nacional, intensivas en trabajo, con alto peso de trabajo femenino e informal. Desde la perspectiva de la organización interna del sector es posible distinguir, en forma depurada, dos tipos de empresas: las que diferencian productos y las que no lo hacen. Las empresas que centran su estrategia productiva y comercial en la diferenciación de productos tienden a concentrar las actividades que generan mayor valor agregado (diseño, mercadotecnia, logística), lo cual les permite contar con cierto control sobre el resto de las etapas productivas (moldería o corte). El trabajo de campo realizado en esta rama involucró fundamentalmente a este grupo de empresas, las cuales, a su vez, pueden diferenciarse a partir de la importancia asignada a las actividades de diseño (Silva Failde et al., 2008). De esta manera, en el grupo de empresas de confecciones encuestado pueden encontrarse agentes caracterizados por una intensidad variable del diseño en sus productos.
IV. ORGANIZACIÓN DEL TRABAJO E INNOVACIÓN EN LAS RAMAS ESTUDIADAS
1. Las dimensiones de la organización del trabajo
En el marco del presente estudio y tomando como referencia lo mencionado anteriormente, la posibilidad de dar cuenta de las formas de organización del trabajo está vinculada a la construcción de tres indicadores, los cuales permiten conocer la forma en la que se desarrollan el proceso productivo (equipos de trabajo), la polivalencia y la autonomía de los trabajadores.
En lo referente al trabajo en equipo, se considera la existencia o no de células de trabajo, la definición de equipos de mejora continua3 por parte de la empresa y la importancia del trabajo en equipo para promover la intervención de los trabajadores en las actividades de concepción del proceso y en la programación de maquinarias. De esta forma se establecen tres categorías según la forma predominante de la realización de las tareas: de manera "individual", en "equipos limitados" o en "equipos virtuosos". En los equipos limitados, el proceso productivo está organizado por células de trabajo, pero no existen equipos de mejora continua o solución de problemas y los trabajadores sólo realizan tareas de carácter operativo. En el caso de los equipos de carácter virtuoso se da una organización productiva por medio de células de trabajo, existen equipos de mejora y los trabajadores realizan también tareas de programación o mantenimiento.
Por su parte, la adquisición de experiencias se asocia a la forma de rotación implantada en la empresa y se traduce en "polivalencia enriquecedora" si, al favorecer el desempeño de funciones gradualmente más complejas, genera una ampliación de los conocimientos de los trabajadores. Para ello, es necesario desarrollar alguna forma de rotación planeada en el espacio productivo. De esta manera, para la construcción del indicador se tiene en cuenta si las empresas han implantado un sistema de rotación entre puestos de trabajo y áreas, y si éste es planeado. En ese caso, se trata de una polivalencia "enriquecedora", mientras que si la rotación no es planeada y no se desarrolla entre diferentes áreas, se asume una polivalencia "funcional". En el caso de no existir rotación entre puestos, la adquisición de experiencias es "especializadora".
Como ya se mencionó, el grado de autonomía en el trabajo puede entenderse como la capacidad de los trabajadores para intervenir en el proceso productivo como ejecutantes y actores. En este sentido, las formas más virtuosas de organización del trabajo consideran la posibilidad de que los trabajadores puedan resolver y aun anticipar los imprevistos que se presentan en su espacio laboral. Así, para la construcción de este indicador se consideran las competencias que les son requeridas, las cuales permiten establecer el nivel de autonomía exigido por las empresas. De esta forma, se establecen tres categorías: "alta", "limitada" y "baja". En el primer caso se evalúa si las competencias demandadas a los trabajadores están relacionadas con la "capacidad de resolución de imprevistos", "autonomía e independencia" y con "otros elementos técnicos" vinculados con la exigencia para integrarse a un proceso de trabajo. En el caso de la autonomía "limitada", la construcción se realizó tomando como referencia la categoría anterior, pero en esta oportunidad se consideró la demanda de una u otra competencia y más de dos del resto de las competencias que se les exige. Por último, se considera que la autonomía es "baja" cuando no se les exige a los trabajadores competencias vinculadas a la capacidad de resolución de imprevistos ni autonomía e independencia.

Estos indicadores referidos a la organización del trabajo se utilizaron como variables activas para la aplicación de la técnica de análisis factorial de correspondencias múltiples (AFCM)4 y la constitución de grupos homogéneos (cluster). Esta técnica permitió examinar la forma de organización del trabajo predominante en cada una de las empresas pertenecientes a las ramas incluidas en este estudio y, luego, vincularla con el resto de los aspectos relativos a la dinámica de innovación de las empresas.
2. Descripción de los cluster según forma de organización del trabajo
El cluster caracterizado como "formativo" incluye a menos de 10% de las empresas seleccionadas. Entre estas empresas, el aprendizaje en las células de trabajo desempeña una función clave que se refleja en el predominio de equipos de trabajo virtuosos o, al menos, limitados (72 vs. 35% promedio) y en formas enriquecedoras de adquisición de experiencias que consideran la rotación planeada del personal. No existe, sin embargo, una característica sobresaliente de este cluster en lo referente al grado de autonomía con que cuenta el personal operativo. Lo anterior se manifiesta en que se requieren escasas competencias de este tipo de personal en 56% de los casos, porcentaje similar a 53% observado para la media muestral (cuadro 3).

El grupo "híbrido", por su parte, está compuesto por 25% de empresas y se diferencia del primero, básicamente, por la existencia de una mayor proporción de empresas con equipos de trabajo de carácter limitado (47 vs. 15%, promedio) y por los altos niveles de autonomía que se brinda al personal operativo (64 vs. 18%, promedio que posee el nivel más alto de este indicador). Sin embargo, este grupo no se diferencia de la media por el tipo de polivalencia que aplica.
Por último, el grupo denominado "simple", conformado por 66% de los agentes, se caracteriza por la realización del trabajo de manera individual (81 vs. 65%), ya sea en puestos fijos, sin rotación (58% de los casos), o con una rotación funcional (42 vs. 38% del panel). Lo anterior se complementa con niveles de autonomía nula o limitada (100% de los casos vs. 82% en el promedio).
Como se observa en el cuadro 4, existe una marcada diferenciación entre las empresas que forman parte de las distintas ramas en función de la forma de organización del trabajo que las caracteriza. Así, dentro del grupo de empresas formativas, sobresalen las empresas proveedoras del sector automotriz (56 vs. 33% en el promedio general). En el cluster híbrido se destacan las empresas asociadas al sector textil (33 vs. 16%) y, finalmente, entre las organizaciones simples prevalecen las empresas de la rama siderúrgica (35 vs. 30% en el promedio general) y, en menor medida, de maquinaria agrícola (24 vs. 21%, promedio).5

No obstante, más allá del predominio de ciertas formas organizativas entre las empresas de cada una de las ramas, debe destacarse el elevado grado de heterogeneidad que caracteriza a cada una de estas últimas. De esta manera puede observarse que, por ejemplo, en la rama automotriz predominan las organizaciones formativas pero también existe un elevado número de empresas que presentan otras características en torno a la organización del trabajo. En este sentido, otros trabajos (Erbes et al., 2006, y Roitter et al., 2007) sostienen que la vinculación con el núcleo suele tener un papel central a la hora de definir las formas organizacionales.
3. Las relaciones entre la dinámica innovativa y la organización del trabajo en las empresas estudiadas
Teniendo en cuenta las categorías presentadas en la sección anterior, puede describirse al conjunto de empresas encuestadas en términos de su dinámica innovativa y analizar la relación que existe entre ésta y las distintas formas bajo las cuales las empresas encuestadas organizan sus procesos de trabajo.
Tal como se presenta en el cuadro 5, se tomaron tres indicadores que permiten analizar la dinámica innovativa de las empresas encuestadas: esfuerzos de innovación incorporados, esfuerzos de innovación desincorporados y resultados de innovación.6 Para cada uno de estos indicadores se definieron tres niveles de complejidad bajo, medio y alto, considerando la cantidad de actividades realizadas y de resultados obtenidos. Así, en el caso de los esfuerzos incorporados, se discrimina entre la no realización, la realización sólo en maquinarias, y en maquinaria y otros. Entre los desincorporados, se consideró la no realización, la presencia de algunas actividades y los esfuerzos en producto y proceso. Por último, se evaluó si las empresas no obtuvieron resultados, si los obtuvieron en algunas de las dimensiones propuestas o en todas ellas.

En lo que respecta a los esfuerzos incorporados, se observa que predominan las empresas que realizan al menos una de las actividades consideradas, en detrimento fundamentalmente de las que no realizan esfuerzos de estas características. Entre los esfuerzos desincorporados, adquieren mayor importancia relativa las empresas que realizaron actividades vinculadas con el desarrollo de productos y procesos. Finalmente, se destaca el carácter no sistémico de los resultados de innovación obtenidos, en tanto sobresalen las empresas que lograron innovaciones solamente en alguna de las dimensiones consideradas en este indicador.
Como consecuencia de esto, puede sostenerse que entre las empresas analizadas sobresalen aquellas que han realizado esfuerzos de innovación incorporados y desincorporados, aunque con distinta importancia relativa entre ellos. Estos esfuerzos, así como también otros realizados en periodos precedentes a los captados por la encuesta realizada, condujeron a la obtención de resultados de innovación en un amplio conjunto de empresas, aunque en la mayor parte de las mismas se destaca la escasa interconexión entre las cuatro dimensiones planteadas.
En lo referente a la relación entre dinámica innovativa y organización del trabajo, se observa que el cluster formativo se caracteriza por contar con una mayor proporción de empresas que han realizado esfuerzos de mayor complejidad relativa en tecnología incorporada en bienes de capital (64 vs. 39%). Este mismo grupo se destaca también por haber realizado esfuerzos más refinados en tecnología no incorporada (68 vs. 45%). Este dato es especialmente relevante cuando se le compara con el comportamiento del cluster simple, donde sobresalen las empresas que no realizaron esfuerzos de innovación de este tipo (24 frente a 19%). A su vez, este último grupo de empresas también se distingue por una mayor proporción que dice no haber obtenido resultados en innovaciones concretas (15 frente a un 11%) (cuadro 5).
Conclusiones similares a las obtenidas en el análisis de cluster se observan cuando se considera un conjunto de modelos logísticos ordenados con el objetivo de evaluar la importancia que adquieren las distintas dimensiones que dan cuenta de la organización del trabajo en los esfuerzos de innovación realizados por las empresas y los resultados obtenidos.
Para construir estos modelos, se utilizaron como variables dependientes los esfuerzos de innovación incorporados (esinc), los esfuerzos de innovación desincorporados (esnoin) y los resultados de innovación (rdosinno). Por su parte, como variables independientes se tomaron aquellas que definen en forma de proxy cada una de las características consideradas en torno a la organización del trabajo: equipo de trabajo (iequipo), adquisición de experiencias (irotac) y autonomía del personal operativo (comre). Cada uno de estos modelos fue controlado también por el tamaño de las empresas, medido a partir de la cantidad de empleados, y por la rama de pertenencia. En este último caso, se tomó como referencia la rama textil y confecciones para analizar la importancia diferencial que adquiere cada una de las restantes en la realización de esfuerzos de innovación y en la obtención de resultados.
Un primer aspecto a destacar en torno al modelo que toma como variable dependiente a los esfuerzos de innovación incorporados, es la importancia que adquieren la adquisición de experiencias y las características de los equipos de trabajo en la definición de la complejidad alcanzada por las actividades de innovación realizadas. En este sentido, se observa, por un lado, que en las empresas que presentan como característica distintiva la existencia de equipos de trabajo y, más específicamente, grupos para solucionar problemas, la probabilidad de realizar esfuerzos de innovación de mayor complejidad es más alta que en el resto de los agentes. Por otro lado, las empresas que poseen esquemas de rotación planeada evidencian una mayor probabilidad de realizar esfuerzos en distintas áreas de adquisición de tecnología incorporada. De esta manera, en el primero de los modelos planteados se verifica una relación positiva entre las características de los procesos de adquisición de experiencias y de los equipos de trabajo, por un lado, y los esfuerzos de innovación incorporados que realizan las empresas, por el otro (cuadro 6).

Por su parte, en el caso de los esfuerzos de innovación desincorporados, se observa una relación positiva con los tres indicadores de organización del trabajo, esto es, la adquisición de experiencias, las características de los equipos de trabajo y la autonomía con la que cuenta el personal operativo. En este sentido, la existencia de células de trabajo, equipos de mejora continua y resolución de problemas, tareas del personal asociadas al mantenimiento y programación, rotación planeada y entre áreas, y personal con autonomía e independencia, capacidad de resolver problemas y competencias técnicas, aumenta la probabilidad de que las empresas realicen esfuerzos de innovación desincorporados ligados al desarrollo simultáneo de productos y procesos (cuadro 6).
El tamaño de las empresas resulta relevante para explicar la complejidad de los esfuerzos de innovación tanto incorporados como desincorporados. Así, la probabilidad de realizar esfuerzos de innovación desincorporados que involucren desarrollo de productos y procesos aumenta entre las empresas con mayor cantidad de empleados y entre aquellas que pertenecen a la rama de maquinaria agrícola. Por su parte, en el caso de los esfuerzos de innovación incorporados, no se observa un comportamiento claro en relación con la rama productiva de pertenencia, aunque se puede destacar una dinámica relativamente menos virtuosa de la rama automotriz cuando se le compara con la de maquinaria agrícola (cuadro 6). Asimismo, también aumenta la probabilidad de realizar este tipo de esfuerzos a medida que se incrementa el tamaño de las empresas.
Cuando se consideran los resultados de innovación obtenidos como variable dependiente, no se observan variaciones significativas en las probabilidades relacionadas con la forma en la que se organiza el trabajo. De esta manera, puede sostenerse que las características de los equipos de trabajo, de la adquisición de experiencias y de la autonomía del personal operativo no condicionan el tipo de resultados de innovación obtenidos por las empresas. Contrariamente, se observa la importancia alcanzada por el tamaño de las empresas y su rama de pertenencia. En particular, la probabilidad de obtener resultados de innovación en producto y proceso aumenta a medida que se incrementa el tamaño de las empresas, y es mayor en aquellos casos en los que las empresas pertenecen a la rama textil, en comparación con la automotriz y la siderúrgica (cuadro 6).
El análisis anterior puede completarse con los datos presentados en los cuadros 7.1, 7.2 y 7.3 y en la gráfica 1, en los cuales se muestra la predicción de probabilidades simples y/o que resulta de la consideración conjunta de las variables relevantes para explicar los esfuerzos incorporados y desincorporados, y los resultados de innovación. Para este tipo de análisis se toma el conjunto de variables independientes que contribuyen a explicar el comportamiento de las variables dependientes, considerando como punto de partida los resultados evidenciados en el cuadro 6.




En primer lugar, el cuadro 7.1 presenta las probabilidades combinadas de desarrollar distintos niveles de esfuerzos de innovación desincorporados, dados diferentes niveles en los indicadores de equipo de trabajo, adquisición de experiencias y autonomía del personal operativo.
En este caso, se observa que la mayor probabilidad de alcanzar un elevado nivel de esfuerzos de innovación desincorporados se logra en aquellas empresas que cuentan con equipos de trabajo con grupos para la resolución de problemas, elevados niveles en el indicador de adquisición de experiencias y una elevada autonomía del personal operativo (87%). Por lo contrario, la probabilidad de no realizar este tipo de esfuerzos en las empresas que cuentan con todas las características de una organización del trabajo virtuosa es de sólo 2%. En el otro extremo, cuando las empresas presentan los niveles más bajos en los tres indicadores vinculados a la organización del trabajo, la probabilidad de no realizar esfuerzos de innovación desincorporados es de 30% y la de realizar esfuerzos elevados de 26%. Así, si bien se observa que a medida que aumenta la complejidad de los indicadores de equipo de trabajo, de adquisición de experiencias y de autonomía del personal operativo se incrementa también la probabilidad de que las empresas logren un elevado nivel en los esfuerzos de innovación desincorporados, esta relación está particularmente influida por lo evidenciado en los casos en los que las empresas logran niveles más elevados en los tres indicadores, ya que cuando se observan niveles reducidos en los mismos las probabilidades de realizar esfuerzos de mayor complejidad o de no realizarlos muestran menores diferencias entre sí (cuadro 7.1).
El cuadro 7.2 refleja la predicción de probabilidades de realizar esfuerzos de innovación incorporados de distinto nivel de complejidad, dados diferentes niveles en los indicadores de trabajo en equipo y adquisición de experiencias.
En este caso, se observa una dinámica similar a la evidenciada en relación con los esfuerzos desincorporados de innovación. Así, la probabilidad de realizar elevados esfuerzos de innovación incorporados teniendo elevados niveles en los indicadores de equipo de trabajo y adquisición de experiencias es de 72%, mientras que la probabilidad de no realizar esfuerzos incorporados en las empresas que cuentan con estos rasgos es de solamente 4%. En el otro extremo, se observa una probabilidad similar (2425%) de no realizar esfuerzos incorporados o de realizarlos en el nivel más complejo considerado entre las empresas que cuentan con un nivel reducido en ambos indicadores (cuadro 7.2). Nuevamente, las mayores diferencias se establecen en relación con aquellos casos en los que se consideran elevados niveles en los indicadores que definen la virtuosidad de la forma de organización del trabajo.
La predicción de probabilidades (cuadro 7.3) retoma la importancia de pertenecer a cada una de las ramas en la realización de esfuerzos de innovación desincorporados y en la obtención de resultados de innovación.
En este sentido, se observa que la probabilidad de realizar elevados esfuerzos desincorporados de innovación aumenta entre las empresas que pertenecen a la rama de maquinaria agrícola cuando se considera a textil y confecciones como referencia (70 vs. 41%). En el otro extremo, la probabilidad de no realizar este tipo de esfuerzos y pertenecer a la rama de maquinaria agrícola es de sólo 6%. Por su parte, en lo que respecta a los resultados de innovación, la predicción de probabilidades ilustra la relación negativa presentada en el modelo logit entre pertenencia a las ramas automotriz y siderúrgica, y la obtención de resultados de innovación en un nivel elevado. En particular, se observa que la probabilidad de obtener resultados con las características mencionadas es de 11% entre las empresas que también se caracterizan por pertenecer a la rama automotriz, y de 9% en las que integran la rama siderúrgica. Ambas probabilidades son mayores cuando un rasgo de los agentes es la no pertenencia a estas ramas (cuadro 7.3).
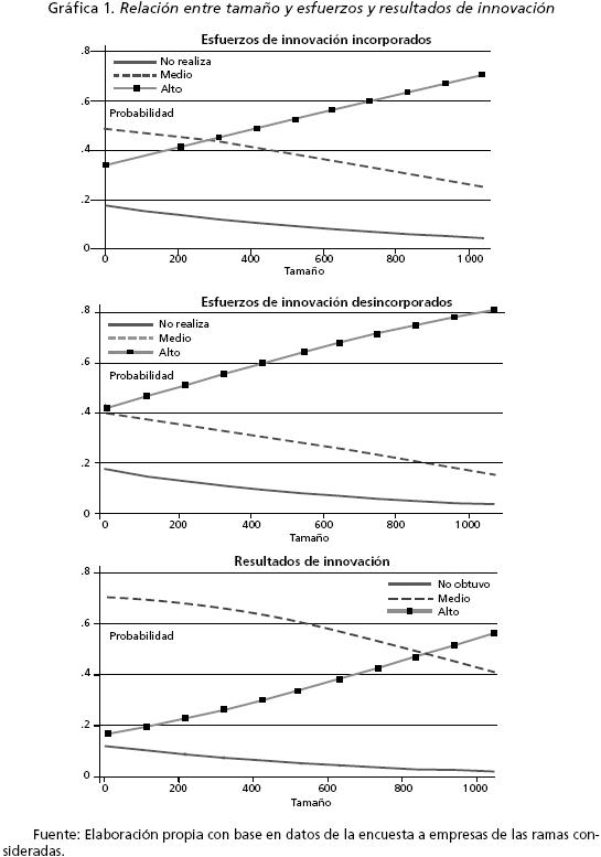
Finalmente, la gráfica 1 muestra la relación existente entre los esfuerzos y resultados de innovación y el tamaño de las empresas. Los modelos probabilísticos estimados evidencian la existencia de una relación positiva entre esfuerzos y resultados de innovación, por un lado, y tamaño de las empresas, por el otro.
De esta manera, las tres imágenes muestran que, a medida que aumenta el tamaño de las empresas, mayor es la probabilidad de que éstas realicen esfuerzos de innovación desincorporados y de que obtengan resultados de innovación de mayor complejidad relativa.
CONCLUSIONES
En este artículo se analizaron las distintas dimensiones que configuran la organización del trabajo y su vinculación con la dinámica innovativa de las empresas. En este marco, se sostiene que existe un conjunto de características asociadas a la forma de organizar el proceso productivo, a la dinámica de adquisición de experiencias y al grado de autonomía de los trabajadores que define las posibilidades con las que cuenta una organización para crear y difundir conocimientos y, con ello, para desarrollar procesos de innovación.
En esta dirección, en un contexto macroeconómico que impacta favorablemente, aunque de manera distinta, en cada una de las empresas que forman parte de las ramas analizadas, la complejidad diferencial de la organización del trabajo repercute en la capacidad de las empresas para generar conocimiento y, por tanto, para desarrollar innovaciones que les permitan diferenciarse de otros agentes.
A partir de este esquema analítico se definieron tres formas ideales de organización del trabajo: las organizaciones "formativas", asociadas al desarrollo de procesos de aprendizaje; las organizaciones "híbridas", caracterizadas por imponer ciertas limitaciones a los procesos formativos; y las organizaciones "simples", definidas como aquellas en las que predominan lógicas vinculadas a tareas de oficio o de especialización.
En términos generales, se esperaría que en una organización formativa se integrasen procesos de alta autonomía, trabajo en equipo de carácter virtuoso y polivalencia enriquecedora. Sin embargo, esta articulación no se desarrolla homogéneamente, sino que se presenta de manera diversa en cada uno de los agentes, permitiendo la emergencia de formas de organización del trabajo que exceden a las planteadas teóricamente.
A partir del análisis de cluster, se pudo establecer la existencia de formas heterogéneas de organización del trabajo que, sin embargo, se acercan a los tipos ideales presentados. Así, se definió como "formativos" a aquellos grupos caracterizados por tener equipos de trabajo y procesos de adquisición de experiencias enriquecedores. En el caso de las formas "híbridas" se destacan los equipos "limitados" y los de alta autonomía. Por último, en las organizaciones "simples" sobresale la realización de tareas de forma individual, la adquisición de experiencias funcional o especializadora y bajos niveles de autonomía.
Tomando estas consideraciones como punto de partida para el análisis empírico, se observó un fuerte predominio de las organizaciones "simples", que dan cuenta de 66% de las empresas, frente a sólo 10% de empresas que tienen una organización de carácter virtuoso asociada a las denominadas "formativas". De esta manera, se evidencia la reducida importancia que adquieren aquellas formas de organización del trabajo que posibilitarían procesos de generación de conocimiento y desarrollo de innovaciones.
También pudieron observarse algunas diferencias entre las ramas consideradas: mientras que las organizaciones "formativas" predominan en la rama automotriz, las "híbridas" sobresalen entre las textiles, y las "simples" son predominantes entre las proveedoras y clientes de siderurgia y las de maquinaria agrícola. Sin embargo, hacia el interior de cada una de las ramas analizadas se pudo observar la heterogeneidad que presentan respecto a la organización del trabajo.
Las dinámicas innovativas más virtuosas prevalecen en las empresas que se caracterizan por formas organizacionales más "formativas", mientras que en las organizaciones "simples" los esfuerzos de innovación son menores. De esta manera, puede establecerse una relación positiva entre las dimensiones señaladas, con las que formas de organización del trabajo virtuosas dan lugar a procesos de innovación más complejos.
Completando lo anterior, el análisis con el modelo logit pone en evidencia que existen mayores probabilidades de realizar esfuerzos de innovación incorporados y desincorporados en aquellas empresas que presentan equipos de trabajo virtuosos y adquisición de experiencias enriquecedora. Así, se observa una relación positiva entre estas dimensiones de la organización del trabajo y los indicadores de esfuerzos de innovación. De igual manera, las empresas de mayor tamaño relativo muestran una mayor probabilidad de realizar esfuerzos de innovación desincorporados.
REFERENCIAS BIBLIOGRÁFICAS
Arundel, Anthony, BengtAke Lundvall, Edwards Lorenz, y Antoine Valeyre (2007), "How Europe's Economies Learn: a Comparison of Work Organization and Innovation Mode for the eu15", Industrial and Corporate Change, Oxford University Press, Vol. 16 (6), diciembre, pp. 11751210. [ Links ]
Bisang, Roberto, Marta Novick, Sebastián Sztulwark, y Gabriel Yoguel (2005), "Las redes de producción y el empleo", en M. Casalet, M. Cimoli, y G. Yoguel, Redes, jerarquías y dinámicas productivas, Miño y Dávila, OIT Flacso, México, Buenos Aires. [ Links ]
Borello, José, Hernán Morhorlang, Verónica Robert, Failde Silva, y Paula Diego y Suárez (2007), "La siderurgia en Argentina: Origen y morfología, perfil del mercado y contexto internacional", en Delfini, M., et al. (comp), Innovación y empleo en ramas productivas de Argentina, Prometeo, Buenos Aires, pp. 275320. [ Links ]
Centro de Estudios para la Producción (CEP) (2008), "Estadísticas del sector productivo", http://www.cep.gov.ar/estsectorprodu/sectoriales/fichas_sectoriales_2007.xls [ Links ]
Crivisqui, Eduardo (1993), Análisis factorial de correspondencias, Ed. del Laboratorio de Informática de la Paraguay, Universidad Católica de Asunción. [ Links ]
Erbes, Analía, Verónica Robert, Gabriel Yoguel, José Borello, y Viviana Lebedinsky (2006), "Regímenes tecnológico, de conocimiento y competencia en diferentes formas organizacionales: La dinámica entre difusión y apropiación", Revista Desarrollo Económico, Vol. 46, núm. 181, abriljunio. [ Links ]
Fernández Bugna, Cecilia, y Fernando Porta (2007), "El crecimiento reciente de la industria argentina. Nuevo régimen sin cambio estructural", en B. Kosacoff (comp.), Crisis, recuperación y nuevos dilemas. La economía argentina 20022007, CEPAL, Buenos Aires, pp. 63105. [ Links ]
Gereffi, Gary, y Miguel Korzeniewicz (1990), "Commodity Chains and Footwear Exports in the Semiperiphery" en W. Martin, (comp.), Semiperipheral States in the WorldEconomy, Greenwood Press, Westport. [ Links ]
Gutman, Graciela, y Pablo Lavarello (2008), "La industria de maquinaria agrícola en Argentina", Dinámica reciente, capacidades innovativas, Documento de Trabajo, http://www.continentedigital.net. [ Links ]
Harteis, Christian (2003), "La organización autoformativa desde la perspectiva de sus empleados", Revista Europea de Formación Profesional, núm. 29, París, Cedefop, pp. 1828. [ Links ]
Holmes, J. (1986), "The Organization and Locational Structure of Production Subcontracting", en A. Scott, y M. Storper (comps.), Production, Work, Territory, Allen & Unwin, Boston. [ Links ]
Lavopa, Alejandro (2007), "La Argentina post devaluación: ¿Un nuevo modelo económico?", Revista Realidad Económica, núm. 231, IADE, Buenos Aires, octubrenoviembre. [ Links ]
Lifschitz, Edgardo (1986), Bloques sectoriales: Partición de los cuadros de insumoproducto correspondientes a las actividades productoras de bienes, Secretaría de Planificación de la Nación, Documento de Trabajo, núm. 1, Buenos Aires. [ Links ]
Lorenz, Edward, y Antoine Valeyre (2005), "Organisational Innovation, Human Resource Management and Labour Market Structure: A Comparison of the EU15", Journal of Industrial Relations, Vol. 47, núm. 4, diciembre, Sidney, sage Publications, pp. 424442. [ Links ]
Lundvall, Bengt Ake (2003), "¿Por qué la nueva economía es una economía del conocimiento?", en F. Boscherini, M. Novick, y G. Yoguel (comps.), Nuevas tecnologías de información y comunicación: Los límites en la economía del conocimiento, Editorial Miño y Dávila, MadridBuenos Aires, pp. 3953. [ Links ]
Mallet, Louis (1995), "Organización formativa, coordinación y motivación", Revista Europea de Formación Profesional, núm. 5, París, pp. 1117. [ Links ]
Mariti, Paolo, y R. H. Smiley (1983), "Cooperative agreements and the organization of industry", The Journal of Industrial Economics, 31 (4), pp. 437451. [ Links ]
Méhaut, Philippe (1994), "Transformaciones organizativas y políticas de formación: ¿Cuáles son las lógicas de las competencias?", Revista Europea de Formación Profesional, núm. 5, París. pp. 5663. [ Links ]
Mertens, Lorenz (2002), Formación, productividad y competencia laboral en las organizaciones, OIT, Centro Interamericano de Investigación y Documentación sobre Formación Profesional, Montevideo. [ Links ]
Milesi, Darío (2006), "Patrones de innovación en la industria manufacturera argentina: 19982001", Documento de Trabajo LITTEC, núm. 1/2006, 79 pp., http://www.littec.ungs.edu.ar/. [ Links ]
Montero Leite, Elenice (1996), El rescate de la calificación, Centro Interamericano de Investigación y Documentación sobre Formación Profesional, Montevideo. [ Links ]
Motta, Jorge, Sonia Roitter, Marcelo Delfini, Gabriel Yoguel, y Darío Milesi (2007), "Articulación y desarrollo de competencias en la rama automotriz argentina: morfología, innovación y empleo", en Delfini, M., et al. (comps.), Innovación y empleo en ramas productivas de Argentina, Prometeo, Buenos Aires, pp. 231274. [ Links ]
Nelson, Richard, y Sindney Winter (1982), An evolutionary of economic change, Harvard University Press, Cambridge, Ma. [ Links ]
Nonaka, Ikujiro, y Hirotaka Takeuchi (1995), The knowledge creating company: How japannesse companies create the dynamics of innovation, Oxford University Press, Londres. [ Links ]
Novick, Martha (2000), "La transformación de la organización del trabajo", en E. de la Garza Toledo, Tratado latinoamericano de sociología del trabajo, FCE, México, pp. 123147. [ Links ]
y Gabriel Yoguel (1998), "La vulnerabilidad de una trama productiva: La difícil relación clienteproveedor en el complejo automotriz argentino", Seminario Producao Flexibel e Novas Institucionalidades na America Latina, Río de Janeiro, UFRJ. [ Links ]
OIT (2005), "Tendencias de la industria automotriz que afectan a los proveedores de componentes", Programa de actividades sectoriales. Informe para el debate de la reunión tripartita sobre el empleo, el diálogo social, los derechos en el trabajo y las relaciones laborales en la industria de la fabricación de material de transporte, Ginebra. [ Links ]
Pavitt, Keith (1984), "Sectoral Patterns of Technical Change: Towards a Taxonomy and a Theory", Research Policy, núm. 13, pp. 343374. [ Links ]
Penrose, Edith (1959), The Theory of the Growth of the Firm, Basil Blackwell, Londres. [ Links ]
Richardson, George (1972), "The Organisation of Industry", Economic Journal, Vol. 82, núm. 327, pp. 883896. [ Links ]
Roitter, Sonia (1991), "Analisis factorial de correspondencias múltiples", Universidad Nacional de Córdoba, Argentína, mimeo. [ Links ]
, Analía Erbes, Gabriel Yoguel, Marcelo Delfini, y Andrea Pujol (2007), "Conocimiento, organización del trabajo y empleo en agentes pertenecientes a las tramas siderúrgica y automotriz", DT 03/2007, LITTEC (http://www.littec.ungs.edu.ar). [ Links ]
, Marcelo Delfini, y Andrea Pujol (2008), "Automotive Network Workers in Argentina: Effects of Labour Organization on Worker Competences and Innovation Process", Globelics International Conference 2008, núms. 2224, septiembre, Ciudad de México (http://globelics_conference2008.xoc.uam.mx/electronicpapers.html). [ Links ]
Rojas, Eduardo (1998), El saber obrero y la innovación en la empresa, OIT, Centro Interamericano de Investigación y Documentación sobre Formación Profesional, Montevideo. [ Links ]
Rullani, Enzo (2000), "El valor del conocimiento", en F. Boscherini, y L. Poma (comps.). Territorio, conocimiento y competitividad de las empresas. El rol de las instituciones en el espacio global, Miño y Dávila Editores, Madrid. [ Links ]
Scott, Allen (1983), "Location and Linkage Systems: A Survey and Reassessment", Annals of Regional Science, 17 (1) pp. 139. [ Links ]
(1986), "Industrial Organization and Location: Division of Labor, the Firm, and Spatial Process", Economic Geography, 62 (3) pp. 215231. [ Links ]
Silva Failde, Diego, Paulina Becerra, Gabriel Yoguel, y Dario Milesi (2008), "Abriendo la caja negra de diseño: La importancia de los procesos de innovación en el sector de indumentaria", 13ª Reunión Anual de la Red Pymes Mercosur, Universidad Nacional de San Martín, Buenos Aires, septiembre. [ Links ]
Teece, David (1992), "Competition, Cooperation and Innovation. Organizational Arrangements for Regimes of Rapid Technological Progress", Journal of Economic Behavior and Organization, núm. 18, pp.125. [ Links ]
Teece, David, y Gary Pisano (1994), "The Dynamic Capabilities of Firms: An Introduction", Industrial and Corporate Change, 3 (3), pp. 537556. [ Links ]
Truel, JeanLouis (1983), "Structuration en filiere et politique industrielle dans l'electrique: Une comparasion internationale", Revue d'Economie Industrielle, 23 (1), pp. 293303. [ Links ]
Villavicencio, Daniel (2000), "Economía y sociología: Historia reciente de una relación conflictiva, discontinua y recurrente", en De la Garza Toledo, E., Tratado latinoamericano de sociología del trabajo, FCE, México. [ Links ]
Yoguel, Gabriel (2000), "Creación de competencias en ambientes locales y redes productivas", Revista de la Cepal, Santiago de Chile, núm. 71. pp. 105119. [ Links ]
, Martha Novick, y Anabel Marín (2001), "Estilos de vinculación, procesos de innovación y tecnologías de gestión social en una trama productiva del complejo automotriz argentino", en Problemas de investigación, ciencia y desarrollo, Jornada Anual de Investigación, núm. 2, UNGS, noviembre, Los Polvorines. [ Links ]
, y Dario Milesi (2003), Entorno productivo y ventajas competitivas: El caso de una trama siderúrgica, Universidad Nacional de General Sarmiento, Colección Investigación, núm. 15. [ Links ]
(coord.), José Borello, Marcelo Delfini, Analía Erbes, Rodrigo Kataishi, Verónica Robert, y Sonia Roitter (2009), Redes de conocimiento en las tramas productivas de Argentina, FLACSO/CIID, Canadá / México. [ Links ]
Zarifian, Philippe (1995), "La organización autoformativa y el modelo de competencias: ¿Qué motivos? ¿qué aprendizajes?", Revista Europea de Formación Profesional, núm. 5, París, Cedefop, pp. 510. [ Links ]
1 La rama productiva es una de las formas que puede asumir la articulación entre los agentes. Tal como se mencionó, se trata de una estructura de organización que privilegia los intercambios de bienes y conocimientos entre las empresas e instituciones que forman parte de la misma. En este sentido, se diferencia de otras estructuras en las que el objeto de estudio son exclusivamente las relaciones entre empresas redes de subcontratación (Holmes, 1986; Scott, 1983 y 1986), "filiéres" (Truel, 1983), bloques sectoriales (Lifschitz, 1986) y commodity chains (Gereffi y Korzeniewicz 1990) o únicamente los intercambios de conocimientos orientados al desarrollo de innovaciones alianzas estratégicas (Teece, 1992) o acuerdos de cooperación (Mariti y Smiley, 1983), por ejemplo. Si bien estas ramas comparten ciertas características vinculadas a la existencia de esta configuración productiva, cada una de ellas adquiere características diferenciales en términos de agentes involucrados, actividades desarrolladas, esquemas de gobernabilidad y relación con agentes extra rama, algunas de las cuales serán retomadas en la caracterización presentada en la sección III de este trabajo.
2 Las empresas encuestadas pertenecen a una muestra diseñada para el proyecto "Redes de conocimiento en ramas productivas: Generación, circulación y apropiación del conocimiento y creación de ventajas competitivas en ramas productivas argentinas" (IDRC : The Internacional DevelopmentResearch Centre), que incluyó un número mayor de ramas que las analizadas en el presente estudio (Yoguel et al., 2009).
3 Los equipos de mejora continua son espacios de trabajo organizados por las empresas con el fin de realizar propuestas o proyectos que permitan desarrollar mejoras en procesos o productos. La mejora continua es una filosofía de trabajo que propone un desafío permanente a los estándares establecidos, tendiente a superarlos, para lograr mejores niveles de efectividad.
4 El AFCM permite analizar todas las asociaciones existentes entre las diferentes modalidades de las variables que componen una matriz de datos y obtener luego, a partir de ello, un conjunto de clases compuestas por empresas que presentan una alta homogeneidad intragrupo y una elevada heterogeneidad extragrupo. Este método opera mediante la reducción de la dimensionalidad del fenómeno estudiado, conformando ejes factoriales cuya determinación permite concentrar el análisis en las variables y modalidades que más aportan para explicar la problemática abordada, brindando una visión manejable de la misma (Roitter, 1991, y Crivisqui, 1993). A partir del AFCM, se realiza el análisis de cluster y, como resultado de ello, se obtienen diferentes grupos. Estos grupos se conforman con las empresas que resultan más cercanas, utilizando las distancias euclidianas calculadas con las coordenadas de las mismas en todos los ejes factoriales.
5 El análisis de cluster permite también observar parte de la heterogeneidad existente dentro de una misma rama, dado que si bien existe predominio de una o dos ramas determinadas en cada cluster, hay empresas correspondientes a las mismas que se encuentran en diferentes cluster.
6 Se consideran esfuerzos de innovación incorporados la compra de bienes de capital y de software y la adquisición de licencias. Los esfuerzos de innovación desincorporados incluyen el desarrollo de software, el desarrollo y diseño de productos y procesos, el cambio organizacional, la introducción de programas de mejora continua, el desarrollo de canales comerciales, la contratación de servicios de consultoría, los procesos de capacitación orientados a la innovación y la investigación y exploración de oportunidades científicas y tecnológicas. Por su parte, se tomaron en cuenta los resultados de innovación en producto, proceso, organización y comercialización.












