Antecedentes y objetivo
A partir del 16 de marzo del 2020, se suspendieron las labores académicas presenciales en la Facultad de Química de la Universidad Nacional Autónoma de México (UNAM), debido a la contingencia sanitaria ocasionada por la pandemia del COVID 19. El reto para los cursos de enseñanza experimental fue el poder concluir el semestre con un mínimo de prácticas que permitieran evaluar a los alumnos y responder de esta manera a la emergencia que se había presentado. Cuando se dejaron de impartir clases presenciales (marzo de 2020), ya se tenía un avance del 50 % en el curso de laboratorio Química Orgánica III, clave 1628 de la carrera Químico de Alimentos. En este artículo se muestra una propuesta concreta, la cual es el resultado del objetivo que nos planteamos para resolver el problema de como impartir las clases de enseñanza práctica a distancia.
Condiciones necesarias para atender la problemática de impartir clases en línea
1) Tener acceso a una cuenta institucional de la Facultad de Química, lamentablemente con una capacidad de almacenamiento limitado, pero que permite recibir y almacenar archivos de tareas, series de problemas y exámenes. En la UNAM pueden ser dos: @comunidad.unam.mx o bien @unam.mx. Cualquiera de estos correos, tiene la ventaja que permite crear aulas virtuales colaborativas con los estudiantes, compartir documentos, realizar video conferencias compartir pantalla y administrar las actividades sincrónicas.
2) Aprender a utilizar el servicio de videoconferencia Google Meet y la interfase Google Drive. La misma situación se presentó en la plataforma Teams.
3) Que los alumnos cuenten con una computadora para su uso personal y dispongan en su casa de una buena señal de Wifi.
4) Disposición de los alumnos para participar en una actividad académica, nueva, tanto para el docente como para ellos mismos.
5) Al inicio de la pandemia, esto implicaba continuar con el desarrollo del semestre que quedó trunco en la semana 8. Esta situación requirió un compromiso por parte de todos para sacar adelante el curso del semestre 2020-2. Y ante el hecho de que el problema de la pandemia se ha extendido, esta situación se está presentando en los semestres subsecuentes. León, 2020.
Curso Química Orgánica III, clave 1628. Licenciatura Química de Alimentos
En el curso Química Orgánica III, Clave 1628 de la carrera Química de alimentos, se estudian los métodos de síntesis de anillos heterocíclicos para ilustrar como se forman estos compuestos durante la reacción de Maillard, la cual se lleva a cabo durante el proceso de cocción de los alimentos. Bajo estas condiciones se llevan a cabo reacciones entre un azúcar reductor con el grupo amino de un aminoácido o proteína, favoreciéndose estas reacciones al emplear procesos térmicos como el tostado, el freído y la cocción, procesos que se efectúan a diferentes temperaturas y que impactan directamente en las propiedades organolépticas de los alimentos.
Los efectos producidos por la reacción de Maillard pueden ser tanto favorables, como el sabor de la costra de pan, el aroma al hornear el mismo, el aroma al preparar palomitas de maíz o tostar café, el sabor de los diferentes tipos de cerveza; pero también pueden ser desfavorables, como al calentar leche, al freír un huevo o al cocer carne. Jiménez, 2016.
La reacción de Maillard
Louis Camille Maillard observó que al calentar diferentes aminoácidos con glicerol se formaban péptidos. Posteriormente, en 1912, reemplazó el glicerol por la glucosa, y en lugar de obtener péptidos, la mezcla de reacción se tornó café después de un periodo corto de calentamiento formándose dióxido de carbono. La reacción de Maillard, también conocida como glicación no enzimática de proteínas, se lleva a cabo entre un azúcar reductor (monosacárido, disacárido o polisacárido/cetosa o aldosa) y un grupo amino libre, proveniente de un aminoácido, péptido o una proteína. La reacción de Maillard es la responsable de la apariencia y el sabor de los alimentos. Se vincula con el aroma, el color y el sabor del tostado de café y cacao en grano. El asado de la carne, el horneado de los pasteles, el pan y las galletas.
La reacción de Maillard implica tres etapas distintas:
1. La condensación entre un grupo carbonilo con un grupo amino, seguida de la eliminación de dos moléculas de agua y la formación de N-glicosilaminas inestables que experimentan la transposición de Amadori y forman cetosaminas. Jiménez, 2016.
2. Las cetosaminas pueden reaccionar de las siguientes formas:
a) deshidratación de dos moléculas de agua para producir reductonas (caramelo y un poderoso antioxidante)
b) ruptura hidrolítica de una cadena corta, lo que produce diacetilo, acetona, piruvato entre otros, que sufrirán además la degradación de Strecker con aminoácidos para formar aldehídos
c) deshidratación de la base de Schiff de tres moléculas de agua en las que los productos reaccionan con grupos amino.
3. Los compuestos producidos en la segunda etapa pueden reaccionar entre sí y con grupos amino para dar lugar a las melanoidinas y a compuestos avanzados de la reacción de Maillard. Hodge, 1911. Hemmler, 2017.
En la segunda etapa de las reacciones de Maillard, dentro los productos que se forman ya se encuentran anillos heterocíclicos. En este curso se revisan los principales métodos de obtención de estos anillos. Se hace uso de esquemas y diagramas de flujo tanto para explicar la formación de los diferentes anillos heterocíclicos, como se ejemplifica en el Esquema 1, y en la explicación del procedimiento lo que permite que los estudiantes analicen y comprendan el procedimiento experimental. de Oliveira, 2016.
Operaciones unitarias. Diagramas de flujo
El proceso químico
La industria química se caracteriza por producir sustancias que normalmente no existen en la naturaleza, en la concentración y/o cantidad necesaria. El método de obtención de los productos químicos se conoce como proceso químico, el cual consiste en un conjunto de transformaciones necesarias para obtener una sustancia, a partir de otra u otras (materias primas), mediante mecanismos físicos y químicos. Un esquema general de los procesos químicos se ilustra en el Esquema 2.
Las operaciones unitarias describen cada uno de los cambios físicos que se producen en los procesos de la industria química. Surgen del estudio de distintos procesos químicos en los cuales aparentemente se realiza una operación distinta, pero la base teórica es la misma. A Grosso modo, estas operaciones son de tres tipos:
a) Transporte de masa.
Implica un cambio en la masa o composición de la materia, que puede incluir un cambio químico. Estas operaciones son procesos de transferencia entre fases (estados físicos de la materia), las cuales pueden ser: destilación, absorción, adsorción, extracción e intercambio iónico. En ellas el cambio es principalmente físico (cambio de una fase determinada, a otra).
b) Transporte de energía.
Implica un cambio en la energía, el cual puede suponer un cambio de estado físico originado por una modificación en la presión y/o la temperatura. Dentro de esta clasificación se encuentra la evaporación, aunque también se incluyen otras operaciones que combinan transporte de energía con masa e.g. secado, liofilización, sublimación, cristalización y humidificación.
c) Cantidad de movimiento.
Implica un cambio en las condiciones cinéticas de la materia, dentro de las cuales se encuentran las operaciones que comprenden un cambio cinético (movimiento) como son: filtración, sedimentación, flotación y centrifugación.
Todas estas operaciones se basan en las leyes de conservación correspondientes (conservación de masa, conservación de energía, conservación cinética (movimiento)).
Este tipo de operaciones son utilizadas en múltiples industrias, se trata de la base de un amplio rango de procesos de distinto ámbito de aplicación, como son por ejemplo la industria de la alimentación, la energética y la farmacéutica entre otras.
Por ejemplo, el índice actual del libro de McCabe, 2004, incluye 13 operaciones unitarias, las cuales se muestran en la Tabla 1.
Tabla 1 Principales operaciones unitarias.
| Mecánica de fluidos | Transferencia de masa |
| Transporte de fluidos | Absorción de gases |
| Reducción de tamaño | Destilación |
| Manejo de sólidos | Lixiviación y extracción |
| Mezclado | Cristalización |
| Separaciones mecánicas | Operaciones de contacto aire agua |
| Flujo de calor | Secado |
| Evaporación |
Para facilitar el estudio de estas operaciones, éstas se pueden dividir en dos grupos:
1) Las que requieren para su estudio teórico los principios del equilibrio termodinámico.
2) Las que aplican los principios de los fenómenos de transporte.
En los cursos de enseñanza experimental, es importante enfatizar al alumno que es a través de estas operaciones unitarias como se lleva a cabo un proceso químico. Y él tiene que visualizarlas y poderlas ver gráficamente, a través de un diagrama de flujo, para que una vez analizadas y estudiadas, sea capaz de tener un desempeño aceptable en su trabajo experimental en el laboratorio.
Clases a distancia de asignaturas de enseñanza experimental
Durante esta contingencia sanitaria, estas clases fueron y siguen siendo un gran reto. Los profesores que impartimos el laboratorio de la materia Química Orgánica III, clave 1628, durante el semestre 2020-2 revisamos con nuestros alumnos las prácticas de la 5 a la 10, pero en realidad fueron clases en las cuales más bien se les orientaba para que analizaran los puntos más importantes de las prácticas ya indicadas, resaltando las operaciones unitarias que se hubieran llevado a cabo en el laboratorio, que es algo que también se realiza cuando los cursos son presenciales. Lamentablemente al iniciar la pandemia, esto ya no fue posible de llevar a cabo. Debido a lo anterior, desde ese momento se comenzó a pensar en actividades que permitieran adecuar, en la medida de lo posible, la enseñanza a distancia (virtual) de las materias experimentales.
Es claro que un curso de enseñanza experimental no es posible llevarlo a cabo a distancia. Con esto en mente, el objetivo que se planteó fue que el alumno desarrollara la capacidad de comprender la situación que se viviría en una actividad presencial y que el final fuera capaz de analizar el proceso experimental y que propusiera diagramas de flujo para visualizar el proceso. León, 2020.
La manera en la que se trabajó durante el semestre 2020-2 fue la siguiente:
Para cada sesión, los alumnos subían a un subdirectorio de la plataforma Google Drive o Teams, las imágenes de su cuaderno de laboratorio o las hojas escaneadas en pdf, con el prelaboratorio de cada una de las prácticas, con los siguientes puntos:
a) Nombre de la práctica.
b) Reacción a estudiar y fundamento de la misma.
c) Mecanismo de reacción
d) Aplicaciones en química de alimentos del heterociclo a sintetizar.
e) Etapa en la cual se forma el heterociclo en la reacción de Maillard.
f) Toxicidad de reactivos y productos
g) Propiedades físicas y químicas de reactivos y productos.
h) Diagrama de flujo.
i) Cálculos del reactivo limitante.
En cada una de las sesiones virtuales de discusión, se analizaron los siguientes puntos: la importancia del compuesto a sintetizar, la reacción a efectuar, su fundamento, el mecanismo de reacción a través del cual se explica la formación del anillo heterocíclico, y se buscó la forma en que el alumno fuera capaz de explicar el porqué del procedimiento experimental, que realizará un análisis del porqué se hace uso de cada reactivo y además él explicara la razón de llevar cada una de las operaciones unitarias propuestas en el procedimiento.
Para lograr el objetivo anterior, se requirió que el alumno analizara la técnica y elaborara un diagrama de flujo indicando las principales operaciones unitarias que se desarrollan durante la práctica (lo cual ya estaba en su libreta).
Al finalizar la sesión de discusión (aproximadamente con una duración de 1 hora), los profesores subieron el examen de cada una de las prácticas a la página de AMYD. En algunos casos, se les dio un tiempo de resolución del examen de 30 minutos. Transcurrido este tiempo, los alumnos subían el examen resuelto a un subdirectorio de Google drive, lo enviaban por correo o bien, lo subían a Teams. En la siguiente sesión, se resolvía el examen y se daba la retroalimentación. Posteriormente, se discutía la práctica siguiente.
Cabe señalar que las preguntas de los exámenes fueron de aplicación de conocimientos y se incorporaron preguntas con un mayor grado de dificultad que las que son consideradas cuando se realizan los exámenes en las sesiones presenciales.
Semestre 2021-1
Ya con la experiencia de haber terminado el curso del semestre 2020-2, de la mejor manera posible, se llevó a cabo una reunión entre los profesores que impartieron la materia. En un inicio se había contemplado el utilizar laboratorios virtuales como Labster. Sin embargo, este programa no cubría nuestras necesidades, ya que se requiere una gran capacidad de cómputo, los videos están en inglés y los experimentos propuestos están enfocados hacia un curso introductorio de Química Orgánica.
Se decidió cambiar la estrategia y se grabaron 6 de los 10 experimentos (Jiménez 2016), que se estudiarían en este curso (semestre 2021-1). Para esto, los profesores grabaron las prácticas, recalcando las operaciones unitarias que se llevan a cabo en cada uno de los 6 procesos químicos. El objetivo fue que los alumnos observaran dichas operaciones y que a pesar de que ellos no podrían realizar los experimentos, si pudieran observar los cambios físicos que se llegan a presentar al llevar a cabo el procedimiento en las 6 prácticas. Los videos de dichas prácticas se encuentran en la nube, y es posible consultarlos y/o bajarlos:
Métodos de caso
Otro punto importante que se incorporó en este curso de enseñanza experimental fue la resolución de métodos de caso. En forma presencial, esta actividad permite a los alumnos: estudiar y analizar el caso, plantear acciones, discutir soluciones, con lo cual se fomenta el trabajo, tanto individual como en equipo, y se desarrolla el pensamiento crítico. Martínez, 2006.
Los alumnos proponen mejoras sobre una problemática que se les plantea, deben tomar decisiones, y proponer una solución al método de caso. En clases presenciales, dichas soluciones son probadas por los propios alumnos y muchas veces son modificadas hasta llegar a una propuesta final, lo cual acerca al alumno a lo que ocurre en la vida real y permite que pongan en práctica los conocimientos teórico-prácticos que ha ido adquiriendo a lo largo de su carrera, no solamente en Química orgánica sino también en otras materias. Las habilidades que desarrollan los alumnos son: comunicación, negociación y manejo de conflictos. Por las razones anteriores, se consideró que podrían estudiar métodos de caso, aunque los alumnos de este curso no pudieran probar sus propuestas experimentalmente
Durante el semestre 2021-1, se plantearon a los estudiantes diversos métodos de caso enfocados al curso de Química Alimentos. Los alumnos seleccionaron el método de caso con el cuál iban a trabajar, posteriormente desarrollaron una serie de investigaciones orientadas a la resolución de métodos de caso específicos para cada equipo de trabajo, tomando en cuenta todas las consideraciones arriba mencionadas. En la parte final del curso, los alumnos presentaron el método de caso que les tocó analizar, empleando presentaciones de PowerPoint.
Se ha trabajado con resultados experimentales que teníamos de semestres anteriores en los cursos presenciales, y de otras fuentes (artículos, tesis de maestría y doctorado de alumnos del programa de maestría y doctorado en Ciencias Químicas de esta Universidad). Es posible consultar y/o bajar un método de caso, el cual sirve como ejemplo de esta metodología, en la Nube química del Centro de informática:
Metodología empleada para ilustrar las prácticas
Para ilustrar la práctica de Paal-Knorr, al alumno se le proporciona el manual, el cual puede bajar de la página de la plataforma MOODLE: Administración de manuales y documentos de la Facultad de la Química (AMYD). Si tomamos como ejemplo la práctica 1, Síntesis de pirroles de Paal-Knorr, Obtención del 1-fenil-2,5-dimetilpirrol, en el manual el alumno encuentra la siguiente información:
Práctica No. 1. Síntesis de pirroles.
Obtención del 1-fenil-2,5-dimetilpirrol.
Información.
Las 1,4-dicetonas se ciclizan con facilidad para formar anillos heterocíclicos de 5 miembros con 1 heteroátomo, por medio de la reacción de Paal-Knorr. Así la acetonilacetona (2,5-hexanodiona) en presencia de anilina (o derivados de la misma) forma el 1-fenil-2,5-dimetilpirrol correspondiente.
Importancia de los derivados del pirrol en química de alimentos
Uno de los compuestos responsables del sabor en la costra del pan blanco es la 2- acetil-1-pirrolina. Es la responsable del aroma a palomitas de maíz y del aroma de la carne cocida, Figura 1.
Los derivados de pirrolinona se forman por medio de la reacción de aminas primarias con el producto de degradación de la glucosa, 1-desoxiglucodiulosa.
Así mismo se han realizado estudios experimentales que describen la formación de ε-(2-formil-5-hidroximetil-pirrol-1-il)-L-nor-leucina, en la reacción de Maillard entre la L-lisina y la D-glucosa. En las mieles, en la tercera etapa de la reacción de Maillard los compuestos dicarbonílicos reaccionan con grupos amino o guanidino de las proteínas para formar productos finales de glicación avanzada (AGE). Lee, (2017).
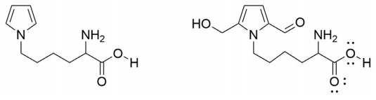
Derivados de lisina con un resto pirrol como la pirralina y la N-ε-pirrolil-nor-leucina se forman durante la reacción de 3-desoxiosonas y compuestos amino, Figura 2.
Procedimiento general para la obtención de pirroles 2,5-dimetil-1-arilsustituidos. (Jiménez, 2016)
En un matraz de fondo redondo, se colocan 1.94 g (2.00 mL) de 2,5-hexanodiona (acetonilacetona), 17 mmol de la anilina aromática correspondiente, 1 o 2 gotas de ácido clorhídrico concentrado, 15 mL de alcohol etílico y piedras de ebullición. Se adapta un refrigerante de agua en posición de reflujo, y se calienta a ebullición por 2 horas. Al finalizar el tiempo de calentamiento, se vierte la disolución caliente en un matraz Erlenmeyer que contenga una mezcla de 50 mL de agua y 3 mL de ácido clorhídrico concentrado. Se aísla el producto y se purifica por recristalización o por cromatografía en columna según sea el caso. Se determina el punto de fusión del producto y se caracteriza.
Notas:
Las reacciones pueden realizarse en ausencia de disolvente (alcohol etílico), pero los rendimientos obtenidos disminuyen ya que el disolvente ayuda a tener los reactivos en disolución
Se aísla el producto y se purifica por recristalización o por cromatografía en columna según sea el caso, se determina el punto de fusión del producto y se caracteriza.
Como ya se comentó, un punto importante es que el alumno sea capaz de proponer un diagrama de flujo en el que se describan las principales operaciones unitarias que va a efectuar en dicha práctica. Inclusive en las sesiones virtuales. Un ejemplo de dicho diagrama de flujo se muestra en el Esquema 6. Jiménez (2016).
Compromiso de los alumnos
En general, los alumnos mostraron un gran compromiso y responsabilidad para participar en estas actividades académicas, lo que permitió que se pudiera concluir el semestre 2020-2. Consideramos que el proceso enseñanza aprendizaje se mejoró, al mostrarle a los alumnos los videos con los procedimientos experimentales. Todavía no es posible cuantificar esto, y deberemos tener más datos para poder hacer el análisis estadístico correspondiente.
Conclusiones
1) El futuro llegó de golpe, y ahora se ve la necesidad de conocer otros servicios ofrecidos por las videoconferencias.
2) Esta propuesta, permite cubrir los objetivos de este curso experimental. Los videos de las técnicas experimentales resultan de gran utilidad para ilustrar las técnicas experimentales.
3) Los métodos de caso han resultado ser muy útiles, ya que los alumnos se ven obligados a aplicar sus conocimientos para poder resolverlos.
Perspectivas
Consideramos que la situación por la estamos atravesando es una fuente de oportunidades en la labor docente. Si bien muchos de nosotros no habíamos hecho uso de las tecnologías de Información y Comunicación (TIC), ahora son nuestra principal herramienta de trabajo. Y como la evolución de la pandemia lo indica, vamos a seguir haciendo uso de ellas.
No todo ha sido negativo, ya que el vernos obligados a responder a la situación de emergencia de la pandemia, nos permitió desarrollar nuevas formas de enseñar, que deberemos utilizar en el futuro, y que nos va a servir para mejorar el proceso enseñanza aprendizaje.
Lo aprendido ante esta situación de pandemia permitirá el desarrollo de material para impartir clases de manera hibrida.
Se hace necesario conocer otras plataformas, e investigar cómo resolver los problemas que se presentan en el aula virtual, como el problema de la falta de pizarrón, mantener la atención de los alumnos, y desarrollar diferentes actividades individuales o en grupo, para reforzar el proceso enseñanza aprendizaje.
Al final todo se reduce a: estudiar, conocer y aplicar, para mantenernos actualizados en el uso de las nuevas tecnologías.










nueva página del texto (beta)











