Introduction
In recent decades, a considerable increase in multidisciplinary chemical research has been observed, allowing greater scientific achievements to be achieved. However, at the curricular level, it is necessary to make a greater effort to transfer the inherent advantages of multidisciplinary development to the curricula of university teaching in chemistry and chemical engineering [Wiggins, M. B., 2019]. In this context, titanocene monochloride (Cp2TiIIICl) is a single-electron transfer (SET) complex that is at the forefront of multidisciplinary research. This SET has been shown to be capable of catalysing and/ or promoting homolytic cleavage of C-X bond (X being a heteroatom with free valence electrons), present in several functional groups, giving a carbon-centered radical that can undergo different reactions of great utility in organic and organometallic synthesis (see next section). While there are excellent reviews that exhaustively cover recent developments within a specific area, such as its chemical reactivity [Gansäuer, A., 2007; Streuff, J., 2014; Rosales, A., 2015], as new green reagent [Rosales Martínez, A., 2017], and application towards the synthesis of natural products [Barrero, A. F., 2006; Justicia, J., 2011], this article seeks to emphasize the wide diversity of uses for this SET by briefly reviewing a number of different fields of research, such as organic synthesis, green chemistry and analytical techniques. The result is a didactic manuscript capable of simultaneously presenting novel concepts focused as multidisciplinary chemistry.
The author considers this article helpful to chemistry educators and students in three ways. This article can be used as a complementary reading material to the topics of organometallic and radical chemistry. Also, this article describes the effectiveness of Cp2TiCl as a green reagent that fulfils many of the twelve principles of the green chemistry. Finally, this article can also be used by students to learn inert atmosphere techniques.
Synthesis and properties of Cp2TiCl
The synthesis of Cp2TiCl is straightforward via Mn or Zn dust reduction of Cp2TiCl2 in a solvent such as tetrahydrofuran, toluene or acetonitrile [Green, M. L. H., 1972; Gansäuer, A., Bluhm, H., Pierobon, M. 1998; Enemaerke, J. R., 2001]. Alternatively, organosilicon reducing agents [Saito, T., 2014], electrochemical reduction [Liedtke, T., 2019] and photoredox catalysis [Zhang, Z., 2019] can be employed to obtain Cp2TiCl from Cp2TiCl2. In THF solution, Cp2TiCl is in an equilibrium between dinuclear and mononuclear species (Scheme 1) [Castro Rodríguez, M., 2017; Rosales Martínez, A., 2021].
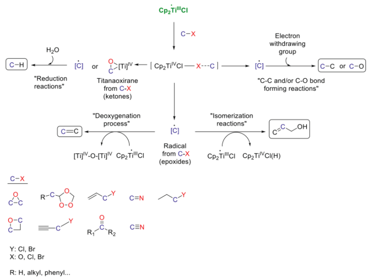
These structure each have an unpaired d electron, giving them mild electron-reducing character (Eº= -0.8 V vs. Fc+/Fc) [Enemaerke, J. R., 2004]. Furthermore, this reagent has a vacant site, allowing the coordination a heteroatom with free valence electrons to initiate the monoelectronic transfer through an inner-sphere mechanism [Ogoshi, S., 1998]. So, Cp2TiCl has ability to generate carbon radicals by homolytic cleavage of C-X bonds (X being heteroatoms with free valence electrons) present in several functional groups (Scheme 2). From this carbon-centered radical, depending on the experimental conditions, several reactions can be promoted (Scheme 2) [Rosales Martínez, A., 2021].
Cp2TiCl as a green chemistry reagent
After the seminal works reported by Nugent and Rajanbabu [Nugent, W. A., 1998; RajanBabu, T. V., 1989; RajanBabu, T. V., 1990; RajanBabu, T. V., 1994], Cp2TiCl has been postulated as a new green reagent which complies with, if not all, at least some to the twelve principles of green chemistry reported by Anastas, P., 2010, being this reagent a perfect opportunity for teaching green chemistry [Franco Moreno, R. A., 2020 and references cited]. So, it is worth to mention that this SET is a non-hazardous material, and although this SET is not a renewable feed stock it derives from transition metal (titanium), the second most abundant transition metal in the upper continental Earth´s crust [Yaroshevsky, A. A., 2006]. On the other hand, the use of Cp2TiCl as a catalyst was a breakthrough in the application of this reagent with the development of two catalytic cycles, which allowed regeneration of Cp2TiCl2 from the titanium species formed in homolytic cleavage of bonds. Under reductive conditions [Gansäuer. A., Pierobon, M., and Bluhm, H., 1998] hydrochloride-substituted pyridines was used a regenerator of titanium(IV), and under non-reductive conditions [Barrero A. F., Rosales A., Cuerva J. M., and Oltra J. E. 2003] 2,4,6-trimethyl-1-trymethylsilylpyridinum chloride [Coll/TMSCl]. Recently the role of the intermediate Cp2TiCl(H)was found that spontaneously decomposes to regenerate titanocene(III) and molecular hydrogen [Gordon J. 2018]. Both catalytic cycles for epoxides opening are reported in Scheme 3, giving alcohol (reduction process) or alkene and/or allylic alcohol (non-reduction process) [Rosales Martínez, A., 2021].
Another principle of green chemistry that Cp2TiCl meets is the energy efficiency, since the reactions catalysed by this single electron transfer are conducted at room temperature and atmospheric pressure. Also, Cp2TiCl is a highly diastereoselective reagent that maximizes the selectivity and atom and step economy. This makes the radical cascade mono- and polycyclisation reactions of monoepoxides of acylic polyprenes catalysed by Cp2TiCl -yielding C10, C15, C20 and C30 terpenoids- especially relevant [Barrero A., 2006; Justica J., 2011]. Another advantage of Cp2TiCl is that it allows to reduce the use of derivatives since this SET is compatible with numerous functional groups such as silanes, esters, and ethers. Finally, tetrahydrofuran and toluene are solvents commonly used to generate Cp2TiCl from Cp2TiCl2 and Mn or Zn. Both solvents are considered usable by the guidelines for solvents used in the pharmaceutical industry [Tables and List Guidance for Industry, U.S. Department of Health and Human Services. FDA. 2017, (accessed 03/19/2020)] and their hazardous impact is thus minimal. Therefore, many of the twelve principles of green chemistry are verified by Cp2TiCl [Castro Rodríguez M., 2017; Rosales Martínez A., 2021].] (Figure 1). This reagent is a good example to teach green chemistry to chemistry and chemical engineering students.
Cp2TiCl as a reagent widely used in organic and organometallic chemistry
The main applications in organic and inorganic chemistry of this SET reagent are briefly summarized below. One of the most useful features of Cp2TiCl complex is its ability to form carbon radicals by the homolytic cleavage of C-X bonds (X being a heteroatom with free valence electrons) present in different functional groups (Scheme 4). In the presence of electron withdrawing groups and in the absence of a hydrogen atom-donor, these carbon radicals can normally be used to generate a new C‑C or C‑O bond, either inter- or intramoleculary (C‑C and C‑O bond forming reactions, Scheme 4) [Rosales A., 2015]. In the presence of a good hydrogen-atom donor, such water, a H-atom transfer to the carbon radical [Cuerva J. M., 2006] or to the titanaoxirane intermediate [Rosales A., 2014] takes place (reduction reactions, Scheme 4). The reduction of ketones catalysed by Cp2TiCl using water as H-atom donors takes place through organometallic mechanisms, rather than via radical mechanism (titanaoxirane intermediate), as previously reported [Barrero A. F., Rosales A., Cuerva J. M., Gansäuer A., and Oltra J. E., 2003]. On the other hand, in the absence of electron withdrawing functional groups or good hydrogen-atom donors, epoxides react to yield allylic alcohols or alkenes [Justicia J., 2009]. Thereby, tertiary carbon radicals lead to allylic alcohols through a reaction in which Cp2TiCl removes a α radical hydrogen atom (isomerization process, Scheme 4) [Justicia J., 2009]. If the radical is on a di-substituted carbon, an alkene is formed (deoxygenation process, Scheme 4) [Justicia J., 2009]. In this case, the radical is trapped by a second Cp2TiCl species to generate a bimetallic specie that eventually leads to the formation of an alkene.
Therefore, without describing the mechanistic consideration in detail and depending on the reaction conditions, many important chemical transformations are catalysed by Cp2TiCl. Several examples of this catalytic processes are reported in Scheme 5.
Cp2TiCl as a colorimetric indicator for learning inert atmosphere techniques
The use of Cp2TiCl as a very useful visual aid for students learning standard Schlenk vacuum line techniques was reported [Nieter Burgmayer, S. J., 1998]. The students were instructed to practice solvent degassing and filtering through frits using a Cp2TiCl solution. The correct degassing of the solvent can be judged by the students if a change in colour in the solution is observed (Scheme 6). The initially orange-red solution of Cp2TiCl2 turns green when Cp2TiCl is formed. Additionally, if the solvent is acetonitrile the green colour changes to deep blue indicating the formation of [Cp2Ti(NCCH3)2]+, a result of facile dimer cleavage in the coordination solvent acetonitrile. Finally, the students observed that when the solution of titanocene(III) is exposed to O2, the deep blue colour is rapidly bleached to yellow as titanocene(III) species is oxidized back to titanium(IV) [Nieter Burgmayer, S. J., 1998]. (Scheme 6). This colour change is used as a colorimetric analytical indicator to determine the presence of oxygen. Later, colorimetric analysis and mass spectrometric indicated that oxidation from Ti(III) to Ti(IV) gives a host of oxygen-containing intermediates, where appearance parallels the observed color change [Yeung D., 2018]. In all cases, the use of Cp2TiCl in radical-initiated catalysis needs an inert atmosphere to avoid the oxidation to Ti(IV). Representative examples where Cp2TiCl is used under an inert atmosphere are radical cascade cyclization, coupling reactions, umpolung reactions, THF-ring formation reactions, H-atom transfer, Barbier-type reactions and deoxygenation of alcohols [Rosales A., 2015].
Conclusions
The synthesis and applications in multidisciplinary chemistry of Cp2TiCl reveal a valuable reagent that can be used as didactic material in the teaching of chemical sciences and chemical engineering as a model reagent capable of transmitting new advances in different areas of chemical knowledge. This article shows the multidisciplinary character of this monoelectronic transfer reagent and allows the student the possibility of handling concepts of green, organic, organometallic and analytical chemistry.









nueva página del texto (beta)










