Panorama
Una característica que es deseable en un profesional de la Química como parte de su formación académica es la llamada "intuición química" que, en términos prácticos, se puede conceptualizar como el conocimiento de la reactividad entre moléculas. Esta intuición se genera y agudiza con el aprendizaje en las clases, las lecturas, tareas, pero, sobre todo, con el interés, vocación, trabajo, dedicación y el sentido de asombro que tenga cada uno de los estudiantes de Química por seguir descubriendo nuevas moléculas, y el cómo estas se pueden sintetizar mediante la reactividad de sus especies precursoras. Este artículo pretende ampliar la "intuición química" sobre un tema en particular: la química macromolecular orgánica o química de polímeros (Báez, 2006 y Báez, 2010). Esto es, la química que se ocupa de la síntesis y transformación de las macromoléculas orgánicas, también llamadas polímeros.
La química de polímeros utiliza los conceptos de reactividad química vistos en Química Orgánica, con la diferencia de que estos principios también pueden ser utilizados para obtener macromoléculas que generalmente sobrepasan los 1,000 g/mol y cuyas propiedades físicas son diferentes de las de las moléculas orgánicas convencionales. En este sentido, las claves que nos llevan a propiciar las reacciones químicas sobre las macromoléculas las proporcionan los mismos grupos funcionales vistos en cursos de Química Orgánica convencional. Sin embargo, dependiendo de la posición donde se encuentren los grupos funcionales dentro de una cadena polimérica, se puede predecir la naturaleza del producto que se obtendrá. Esto es, se pueden obtener los llamados copolímeros bloques (dibloque o tribloque), ramificados, entrecruzados y dendrímeros. En este trabajo hablaremos principalmente de cómo se han utilizado polímeros lineales con grupos funcionales terminales en uno o 2 de sus extremos para obtener copolímeros bloque.
Copolímeros bloque
Los copolímeros bloque son macromoléculas en las que unidades diferentes (A y B) se agrupan separadamente formando secuencias y están enlazadas químicamente en una zona definida, lo cual puede generar copolímeros dibloque (...AAAA−BBBB... = −[A]n−[B]m−), tribloque (...AAAA−BBBB−AAAA... = −[A]n−[B]m−[A]n−), etc. Su nombre dependerá directamente del número de segmentos que integren la cadena principal del polímero (Cowie y Arrigui, 2008). Estos segmentos son químicamente distintos y pueden generar una segregación de fases (cristalino-cristalino o amorfo-cristalino) que alcanza escalas nanométricas (5-100 nm) y puede producir complejas nanoestructuras (Kim, Yang, Lee y Kim, 2010). Se conoce que los copolímeros dibloque y tribloque tienen propiedades de autoensamble (Darling, 2007) y forman estructuras tridimensionales ordenadas que pueden ser depositadas en sustratos, generando patrones que, a su vez, son analizados por diversas técnicas analíticas, como diferentes microscopias, por ejemplo: microscopia de electrónica de transmisión, microscopia de fuerza atómica y microscopia óptica de luz polarizada, entre otras. Aunado a lo anterior, los copolímeros bloque presentan potenciales aplicaciones que pueden abarcar aspectos como la fabricación en microelectrónica, implantes médicos, agentes compatibilizantes de mezclas poliméricas, entre otros. Las características intrínsecas de los copolímeros bloque permiten a los químicos obtener propiedades de 2 diferentes polímeros en una sola cadena polimérica. Tradicionalmente los copolímeros bloque se habían sintetizado usando el mismo mecanismo de polimerización para ambos bloques; por consiguiente, los comonómeros precursores comparten el mismo grupo funcional para ser polimerizados por el mismo mecanismo de reacción. Sin embargo, en la actualidad esto no es restrictivo.
Objetivo
El objetivo de este trabajo es explorar la química de polímeros sintéticos utilizando la reactividad de los grupos funcionales orgánicos estrictamente ubicados en los extremos (o grupos terminales) de una cadena en un polímero.
Los precursores: homopolímeros monofuncionales y telequélicos
Contrariamente a los copolímeros bloque, un homopolímero es una macromolécula cuya unidad repetitiva está compuesta de una sola especie química (...AAAA... = −[A]n−) (Báez, 2006) y es continua a lo largo de la cadena principal. Dentro de los polímeros, podremos encontrar una clasificación según el orden dimensional en el espacio. En consecuencia, puede haber polímeros que presenten un orden lineal, ramificado, entrecruzado o dendrimérico. Según su orden se observan propiedades físicas características de cada uno de ellos. En el presente trabajo nos interesa estudiar una familia de polímeros que tiene como características: 1) ser lineales y 2) presentar grupos funcionales en cada uno de sus extremos. Teniendo en mente un homopolímero lineal, es de esperarse que en ambos extremos de la cadena polimérica existan grupos terminales específicos que pueden ser de naturaleza química variable (R−[A]n−R) con grupos funcionales (R) como hidroxilos (-OH), ácidos carboxílicos (-CO2H), olefinas (-CH=CH2), etc. Cuando un homopolímero tiene el mismo tipo de grupos funcionales reactivos en ambos extremos de la cadena polimérica se dice que es un homopolímero telequélico o α,ω-telequélico (fig. 1a) y, por otra parte, cuando cuenta con un solo grupo funcional se llama homopolímero monofuncional (α no simétrico).

Figura 1 Concepto de polímero a partir de su analogía con curvas, donde R es un grupo funcional reactivo terminal: a) homopolímero α,ω-telequélico; b) homopolímero monofuncional o α no simétrico.
Una característica que presentan estos polímeros telequélicos es que, al ser utilizados como precursores, se puede obtener diferentes productos poliméricos mediante la reacción de los grupos terminales. Productos como copolímeros dibloque o tribloque son de interés sintético debido a que proporcionan las propiedades de 2 macromoléculas diferentes que pueden formar una nueva. Esto ha permitido sintetizar especies químicas jamás pensadas. Respecto a los reportes recientes, es factible llegar a macromoléculas que anteriormente se podrían considerar "quiméricas", por ejemplo, macromoléculas que presenten 2 tipos de naturaleza química diferente como péptidos (macromoléculas naturales) y polímeros (macromoléculas sintéticas) (Dirks et al., 2005). Esta versatilidad y avance en la química macromolecular se ha podido realizar mediante reacciones específicas que utilizan determinados grupos funcionales terminales en polímeros para posteriormente producir novedosos copolímeros bloque.
Azida (R 1 −N 3 ) y alquino (R 2 −C≡CH): grupos funcionales para una química clic ( click chemistry )
El pionero de lo que hoy se conoce como "química clic" es Sharpples (Premio Nobel en Química 2001), el cual publicó (Kolb, Finn y Sharpless, 2001) lo que es una "química clic": "la reacción debe ser modular, con amplio alcance, que obtenga altos rendimientos, que genere subproductos inofensivos que puedan ser eliminados por métodos no cromatográficos y que sea estereoespecífica (pero no necesariamente enantioselectiva)." Una reacción que cumple con estas características es la llamada cicloadición 1,3-dipolar la cual fue reportada por primera vez por Huisgen para la síntesis de 1,2,3 triazoles (Huisgen, 1963), en donde 2 diferentes grupos funcionales son los precursores: una azida (R1-N-+N≡N) y un alquino (R2-C≡CH) (Lutz, 2007). Posteriormente fue descubierto que la reacción puede ser catalizada por compuestos de cobre con estado de oxidación 1+ (Cu [I]) (Tornøe, Christensen y Meldal, 2002) (fig. 2), lo cual aumentó la velocidad de reacción y su absoluta esterioselectividad (Lee et al., 2003 y Appukkuttan, Dehaen, Fokin y van der Eycken, 2004). Esta reacción también puede ser clasificada como una reacción ortogonal (o quimioselectiva); esto es, la reacción puede ser utilizada dentro de una amplia gama de otros diferentes grupos funcionales que estén presentes en la molécula o macromolécula (intramolecular) o fuera de ella (intermolecular) sin interferir con estos otros grupos funcionales ni causar reacciones laterales o subproductos no deseados (reacción parásita). Recientemente, para el uso de esta reacción en medios biológicos (Le Droumaguet y Velonia, 2008) se suprimió el uso de catalizadores de Cu (I) por enzimas que pueden llevar a cabo la misma reacción con la ventaja de no usar un metal tóxico (Cu [I]). El uso de enzimas como catalizadores derivó en una biocatálisis enzimática que se denominó reacción bioortogonal debido a su regioselectividad en sistemas de biológicos.
Para utilizar la cicloadición 1,3 dipolar en química macromolecular es necesario contar con grupos terminales azida y alquino en los extremos de 2 polímeros diferentes. Utilizando esta característica, en años recientes se han podido sintetizar macromoléculas "quiméricas" que nunca antes, o difícilmente, se hubieran atrevido a pensar, por ejemplo, dibloques de macromoléculas naturales y polímeros sintéticos, particularmente un oligopéptido-b -poliestireno (Dirks et al., 2005) y una proteína-b -polietilenglicol (Deiters, Cropp, Summerer, Mukherji y Schultz, 2004). Por otro lado, también es posible sintetizar copolímeros dibloque anfifílicos como poliestireno-b -polietilenglicol (PS-b -PEG) (Opsteen y van Hest, 2005 y Lutz, 2007), en el que la parte hidrofóbica e hidrofílica es atribuida al poliestireno (PS) y al polietilenglicol, respectivamente (fig. 3).

Figura 3 Síntesis de un copolímero dibloque poliestireno-b-polietilenglicol (PS-b-PEG) mediante química clic de la cicloadición 1,3 dipolar (Opsteen, 2005).
Partiendo como precursor de un polímero que no presente en sus grupos terminales un grupo funcional acorde a los indispensables para una química clic (alquino y azida), es necesario proceder previamente a una funcionalización del polímero para obtener un grupo alquino (o azida) terminal y después realizar una química clic para sintetizar finalmente el copolímero bloque deseado. Con relación a lo anterior, la figura 4 ejemplifica el uso de un paso previo para funcionalizar a un polímero llamado poli(hidroxivalerato-co-hidroxibutirato) (PHBHV). El PHBHV es un polímero biodegradable que es sintetizado por diferentes bacterias y que presenta un ácido carboxílico (R-CO2H) terminal (Babinot, Renard y Langlois, 2011). Después de una reacción de condensación entre el PHCHV con su ácido carboxílico (R-CO2H) terminal y una amina primaria (H2N-CH2-C≡CH, molécula bifuncional) (fig. 4a) se obtuvo un grupo funcional amida y un grupo alquino terminal. En un segundo paso, es posible realizar una reacción de tipo química clic entre el PHBHV con un grupo alquino terminal y un PEG con grupo azida terminal para sintetizar un copolímero dibloque PHBHV-b -PEG (fig. 4b), donde ahora un segmento hidrofílico como el PEG llevó a obtener un copolímero dibloque amfifílico con potenciales propiedades físicas para aplicaciones biológicas en el área biomédica.

Figura 4 Síntesis de poli(hidroxibutirato-co-hidroxivalerato)-b-polietileneglicol (PHBHV-b-PEG), R=CH3 (0.86), C2H5 (0.14) (entre paréntesis la fracción molar). a) Condensación para la formación de una amida que está funcionalizada con un alquino y b) química clic para la formación de un copolímero dibloque (Babinot, 2011).
α, ω-Hidroxil telequélico (HO−R−OH): la puerta para obtener poliuretanos
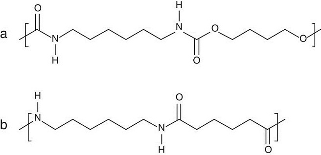
Los poliuretanos son compuestos que tienen en común la repetición del grupo funcional uretano (-NH-CO-O-) a lo largo de la cadena del polímero. Históricamente la reacción para la formación de poliuretanos fue descubierta por Bayer en 1937 (fig. 5 a), y en buena medida fue empujada por la necesidad de la compañía alemana IG Farben (ahora BAFT y Bayer) para producir un material que pudiera hacer competencia al nailon 6,6. El nailon 6,6 fue descubierto por Carothers en 1935 y producido por la casa Dupont de Estados Unidos (fig. 5 b).

Figura 5 Estructuras químicas para: a) poliuretano, derivado de 1,6-hexametilendiisocianato y el 1,4-butanodiol; y b) nailon 6,6, derivado de 1,6-hexametilenediamina y ácido1,6-hexanoico (ácido adípico).
En la actualidad, una amplia gama de materiales en la vida diaria son poliuretanos, un ejemplo de estos son: suelas de zapatos, aislantes térmicos en refrigeradores, recubrimientos automotrices, pisos antiderrapantes, etc. Uno de los requisitos indispensables para la producción de poliuretanos es tener como precursores a un diisocianato (O=C=N−R−N=C=O) y un diol (HO−R−OH) o macrodiol α,ω-hidroxil telequélico (fig. 6).

Figura 6 Reacción general de formación de poliuretanos por policondensación, donde R2 puede ser un polímero o una molécula orgánica de bajo peso molecular. S.B. segmento blando; S.D.: segmento duro.
Dentro de la cadena principal del poliuretano formado, este se clasifica en segmento duro (S.D.) y segmento blando (S.B.). El segmento duro o rígido viene dado por los grupos uretanos que mediante los puentes de hidrógeno intermoleculares confieren rigidez y cohesión a las cadenas de polímeros. En este sentido, la molécula de diisocianato por utilizar formará parte del llamado S.D. (hard segment) . Por otra parte, los macrodioles con grupos terminales α,ω-hidroxil telequélico proporcionan flexibilidad al polímero mediante cadenas hidrocarbonadas (o con hereoátomos) y debido a esta característica es llamado S.B. (soft segment) . La gran variedad de polímeros α,ω-hidroxil telequélico y diisocianatos comerciales ha llevado a que la reacción de síntesis de poliuretanos sea de las más versátiles en los laboratorios y la industria, además del relativo bajo costo de los precursores de partida y de la poca infraestructura necesaria para llevar a cabo la reacción. Dentro de las muchas aplicaciones de los poliuretanos podemos destacar algunas como material biomédico para aplicaciones cardiovasculares (Cowie y Arrigui, 2008) como los poliuretanos llamados comercialmente Pellethane(r) y Tecoflex(r) (fig. 7), fabricados por las compañías Microspec y Lubrizol, respectivamente.
Halogenuros de alquilo (R−X): un crecimiento vía polimerización radical por transferencia de átomo
La polimerización radical por transferencia de átomo (atom transfer radical polymerization [ATRP]) es una vía para polimerizar olefinas (R1-C=C-R2) por un mecanismo de polimerización radical, con la particularidad de tener un control sobre la polimerización debido a la presencia de especies durmientes y activas (Cowie y Arrigui, 2008). Los ingredientes de la reacción son: 1) un halogenuro de alquilo o iniciador (R-X) que puede ser un polímero (o molécula) con un cloro o bromo en su grupo terminal; 2) un catalizador en forma de haluro metálico que puede estar formando parte de un compuesto de coordinación (MtzY/l), donde Mt es un metal de transición (Cu, Ni, Pd, Rh, Ru y Mo), el superíndice z representa un estado de oxidación del metal, Y es un halógeno (cloro [Cl] o bromo [Br]) y L es un ligante sustituyente (molécula orgánica con pares electrónicos coordinándose con el metal) y 3) el monómero puede ser estireno, metacrilatos, metacrilamidas y acrilonitrilo. La iniciación de la polimerización empieza por la abstracción del átomo del halógeno (X) del grupo RX por parte del catalizador MtzY/l para formar como producto un radical R• y un catalizador metálico oxidado XMtz+1Y/l. La reacción general para la polimerización vía ATRP se ilustra en la figura 8, donde las especies durmientes son las derivadas de los halogenuros de alquilo (RCl y PnCl) y las especies activas a la polimerización son los radicales libres (R• y Pn •).

Figura 8 Reacciones de iniciación y propagación de la polimerización radical por transferencia de átomo (ATRP) (Cowie y Arrigui, 2008).
Por otro lado, se pueden usar iniciadores (moléculas o macromoléculas) bifuncionales, como por ejemplo: HC≡C−R−Br, para utilizar el halogenuro (−Br) en una polimerización vía ATRP y posteriormente el alquino (−C≡CH) en una cicloadición 1,3 dipolar (Pfeifer y Lutz, 2010) (fig. 9). En este sentido, la combinación de ATRP y química clic ha sido reportada previamente por Gao, Min y Matyjaszewski (2007) para sintetizar copolímeros dibloque PS-b -PEG (fig. 10).

Figura 9 Reacción de polimerización del estireno por ATRP utilizando un iniciador bifuncional para obtener poliestireno (PS), en círculos el grupo alquino (−C≡CH) y el grupo bromuro (−Br) ().
Aspectos interesantes de las reacciones
Una característica que tienen las 3 reacciones anteriormente presentadas para la síntesis de copolímeros bloque es la versatilidad para utilizar diferentes grupos funcionales terminales. En este sentido, es posible ejemplificar con un polímero que presenta propiedades biodegradables como la poli(ε-caprolactona) (PCL), un poliéster alifático que se obtiene comúnmente mediante una polimerización por apertura de anillo (ROP) de su monómero ε-caprolactona (CL) en presencia de un iniciador y un coiniciador que puede ser un alcohol primario (Báez, 2006). Mediante este método se puede obtener una diversidad de grupos funcionales según lo ilustra la figura 11, donde las PCL funcionalizadas con grupo alquino (Xu, Lu, Du y Li, 2007), diol (Báez et al., 2006) o halogenuro de alquilo (Qayouh et al., 2015) han sido precursores de copolímeros dibloque (Xu et al., 2007 y Qayouh et al., 2015) y poliuretanos (Báez et al., 2006).

Figura 11 Reacciones de polimerización de la ε-caprolactona (CL) para la obtención de la poli(ε-caprolactona) (PCL). PCLs biodegradables con diferentes grupos terminales para su uso como precursores de copolímeros bloque en las siguientes reacciones: a) química click (Xu et al., 2007), b) síntesis de poliuretanos (Baez et al., 2006) y c) ATR (Qayouh et al., 2015). Nota: en un círculo los grupos terminales por usar.
Relación de la temática con clases universitarias
Los temas previamente presentados pueden ser utilizados en el desarrollo de una clase de polímeros o como un tópico complementario en un segundo curso de Química Orgánica, en donde el profesor expanda el uso de grupos funcionales para la síntesis de macromoléculas sintéticas. Si bien las principales diferencias entre los polímeros orgánicos (de alto peso molecular) y moléculas orgánicas (de bajo peso molecular) son sus propiedades físicas, un punto interesante para discutir con los alumnos es que ambos tipos de especies químicas son susceptibles de experimentar la reactividad química de los diferentes grupos funcionales orgánicos tradicionalmente vistos en clases de Química Orgánica. Complementariamente, los estudiantes reciben esta nueva perspectiva hacia polímeros con interés debido a que estos tipos de productos químicos los usan con cotidianidad en su vida diaria, desde los zapatos hasta un cepillo de dientes. Un aspecto práctico que se puede discutir en clase es el referente a los poliuretanos, debido a que el nombre de esta clase de polímeros es de relativo uso común y comercial en diferentes productos. Por lo tanto, esta temática despierta el interés de los estudiantes en el tema.
Epílogo
Después de la lectura de este artículo, los estudiantes y profesores de cursos de Química Orgánica o polímeros podrán tener una mayor perspectiva sobre la reactividad de grupos funcionales, y observar que estos no solo se aplican al área de la Química Orgánica convencional sino también a la química de polímeros o macromolecular para la obtención de diversas especies poliméricas dentro de las cuales se encuentran los copolímeros bloque. La reactividad de las 3 series de grupos funcionales presentados en este trabajo como: a) azida (R−N3) y alquino (R−C≡CH); b) grupos α,ω-hidroxil telequélicos (HO−R−OH) y diisocianatos (OCN−R−NCO), y c) halogenuros de alquilo (R−Cl y R−Br) apenas es una pequeña incursión sobre la gran diversidad de reactividad y mecanismos que se pueden encontrar en química de polímeros. Adicionalmente, la reactividad de estos grupos funcionales no es restrictiva a un solo tipo de arquitectura macromolecular: diferentes estructuras químicas como polímeros ramificados, entrecruzados, dendriméricos, entre otros, son actualmente foco de la investigación contemporánea dentro de la química de grupos terminales en polímeros. Lo anterior, con la finalidad de continuar con "el crecimiento en los extremos".










nueva página del texto (beta)





