Servicios Personalizados
Revista
Articulo
Indicadores
-
Citado por SciELO -
Accesos
Links relacionados
-
Similares en
SciELO
Compartir
Educación química
versión impresa ISSN 0187-893X
Educ. quím vol.24 no.1 Ciudad de México ene. 2013
Didáctica de la química
A utilização da Ciência Forense e da Investigação Criminal como estratégia didática na compreensão de conceitos científicos
The use of Forensic Science and Criminal Investigation as a teaching strategy in the understanding of scientific concepts
Ana Paula Sebastiany,1 Michelle Camara Pizzato,2 José Cláudio Del Pino3 & Tania Denise Miskinis Salgado4
1 Mestranda do Programa de PósGraduação em Educação em Ciências: Química da Vida e Saúde Universidade Federal de Rio Grande do Sul, Brasil. Emails: anapaulaslajeado@yahoo.com.br;
2 Instituto Federal do Rio Grande do Sul Campus Porto Alegre, Brasil. Emails: michelle.pizzato@poa.ifrs.edu.br;
3 Instituto de Química Universidade Federal do Rio Grande do Sul, Porto Alegre, Brasil. Emails: delpinojc@yahoo.com.br
4 Instituto de Química Universidade Federal do Rio Grande do Sul, Porto Alegre, Brasil. Emails: tania.salgado@ufrgs.br
Fecha de recepción: 8 de febrero de 2012.
Fecha de aceptación: 24 de septiembre de 2012.
Abstract
In this paper we present a brief introduction to the area of Forensic Science and Criminal Investigation, as well as its importance in elucidating crimes. Furthermore, we propose as examples four didactic modules of experimental character (fingerprints, footprints, blood and ballistic), which may promote understanding of phenomena/concepts involved in areas of chemistry, physics and mathematics, and/or can be used in the development of a teaching proposal in the attempt to unravel a fictitious crime in a contextualized and interdisciplinary form. The teacher or responsible for the activity will fit the role of seeking the best way to use these materials within the context of their classes, and the opportunity to discuss with other teachers in order to exchange experiences and thus perceive other forms of application.
Keywords: forensic sciences, interdisciplinarity, experiential tasks.
Resumen
En este artículo se presenta una breve introducción al área de la Ciencia Forense e Investigación Criminal, así como su importancia en la elucidación de crímenes. Más aún, se proponen ejemplos de cuatro módulos didácticos de carácter experimental (impresiones digitales, pisadas, sangre y balística), con los cuales puede promoverse la comprensión de fenómenos/conceptos involucrados en estas áreas de la química, la física y las matemáticas, y que pueden ser utilizados para el desarrollo de una propuesta de enseñanza, bajo la misión de resolver un crimen supuesto en una manera contextualizada e interdisciplinaria. El profesor que sea responsable de la actividad deberá jugar el papel de buscar la mejor manera de emplear estos materiales en el contexto del aula y de discutir con otros profesores para intercambiar experiencias y otras formas de aplicación.
Palabras clave: ciencia forense, interdisciplinaridad, actividades experimentales.
A Ciência Forense é uma área interdisciplinar que envolve física, biologia, química, matemática e várias outras ciências de fronteira. Seu objetivo é dar suporte às investigações relativas à justiça civil e criminal. Em investigações de crimes, o foco principal do profissional forense é confirmar a autoria ou descartar o envolvimento do(s) suspeito(s). As técnicas empregadas permitem que seja possível identificar, com relativa precisão, se uma pessoa, por exemplo, esteve ou não na cena do crime a partir de uma simples impressão digital, ou então um fio de cabelo encontrado no local do crime. Em algumas situações, os especialistas forenses utilizam a tecnologia dos testes de DNA, as análises da autenticidade de obras de arte e de documentos ou, ainda, o exame de combustíveis adulterados, entre outras análises (Chemello, 2006).
O desenvolvimento de temas transversais, como Ciência Forense e a Investigação Criminal nesse trabalho, surge como uma proposta para auxiliar na construção de um saber mais sistêmico e contextualizado (FiedlerFerrara e Mattos, 2002).
Assim buscase integrar várias disciplinas, desenvolvendo dessa forma uma ideia não fragmentada do conhecimento, ampliando o leque de fenômenos da vida social cotidiana, nos quais se esperam tomadas de decisão que sejam fundamentadas nas vivências e experiências. Com isso, pretendese que o estudante seja posto em situações de pesquisador que lhe permitam reconhecer a importância do trabalho coletivo e individual, da investigação. Este tipo de atividade estimula uma variedade de atitudes: desde a observação à manipulação, a curiosidade à interrogação, o raciocínio à experimentação, o direito à tentativa e erro e capacidades relacionadas com a comunicação, trabalho de análise e síntese e criatividade, em cuja conjugação se encontra um marco essencial para o desenvolvimento do indivíduo. Em especial, acreditamos que o envolvimento da Ciência Forense, de rara abordagem em nosso contexto, ampliará a diversidade de atividades de ensino oferecidas em nosso país. Finalmente, esse tema pode proporcionar o estímulo à curiosidade, à criatividade e à busca por carreiras científicas e tecnológicas.
Nesse sentido, o objetivo do presente trabalho é apresentar alguns módulos didáticos que envolvem atividades experimentais que permitem abordar temas desencadeadores como a Ciência Forense e a Investigação Criminalística e que podem ser usados no desenvolvimento de uma proposta de ensino sobre essa temática na tentativa de desvendar um crime. Assim, permite que os sujeitos envolvidos assumam o papel de peritos forenses (procurando e analisando provas) além de aprender várias coisas que se usam na Investigação Criminalística e na Ciência Forense. Além disso, as atividades apresentadas nos módulos podem ser trabalhadas de forma isolada, quando o objetivo for explorar e/ou trabalhar com algum conceito científico de forma contextualizada. Os módulos didáticos podem ser utilizados em qualquer nível de ensino, porém, caso o objetivo do professor seja discutir sobre os conceitos científicos envolvidos, seria melhor explorado com alunos do Ensino Médio.
MÓDULO DIDÁTICO 1: COMO INVESTIGAR O CASO DAS IMPRESSÕES DIGITAIS NA CENA DO CRIME
Nesse módulo discutimos os métodos que podem ser usados para o reconhecimento de impressões digitais e como podemos analisálas. Contudo, seria conveniente anteriormente explorar com os alunos ou participantes da atividade o que vem a ser uma impressão digital, as diferenças entre elas, onde elas podem ser encontradas, e porque e como são formadas.
TÉCNICA DO PÓ
Sendo a mais utilizada entre os peritos, é usada quando as impressões localizamse em superfícies que possibilitam o decalque da impressão, ou seja, superfícies lisas, não rugosas e não adsorventes. A adsorção é um fenômeno caracterizado pela fixação de moléculas de uma substância (o adsorvato) na superfície de outra substância (o adsorvente). Quando a impressão digital é recente, a água é o principal composto no qual as partículas de pó aderem. À medida que o tempo passa, os compostos oleosos, gordurosos ou sebáceos são os mais importantes. Esta interação entre os compostos da impressão e o pó é de caráter elétrico, tipicamente forças de van der Waals e ligações de hidrogênio.
Coleta de impressões digitais I
Material: um pedaço de carvão, graal e pistilo, uma folha de papel e um rolo de fita adesiva transparente.
Procedimento: Pegue um pedaço de carvão e tritureo muito bem até obter um pó muito fino. Borrife o pó sobre a superfície que pode conter impressões digitais, e retire o excesso um pequeno pincel. A seguir, recolha a impressão digital com fita adesiva e colea em um papel branco para depois ser comparada com a impressão digital de possíveis suspeitos.
PRODUÇÃO DE UM PÓ ORGÂNICO
Material: 1 g de brometo de potássio, 25 mL de água destilada, 35 g de amido de milho, bastão de vidro, erlenmeyer de 100 mL, copo de Becker de 250 mL, graal e pistilo.
Procedimento: Um deles seria dissolver 1 g de brometo de potássio em 25 mL de água destilada. Em seguida, lentamente, dissolvese 35 g de amido de milho na solução aquosa de brometo de potássio. Esta mistura é deixada secar por setes dias e após é reduzida a pó. Este, por sua vez, é conservado em um recipiente contento sulfato de cálcio anidro como dessecante.
TÉCNICA DO NITRATO DE PRATA
O Nitrato de Prata reage com cloretos de secreções da pele, com um resultado da revelação de cor acinzentada quando exposto à luz. Após a revelação, a impressão deve ser fotografada imediatamente, pois muito frequentemente a reação acaba preenchendo a região vazia entre as cristas papilares, e assim formase um borrão. Indicada para superfícies porosas, plásticos e madeira não envernizada. Se utilizada com outros reagentes deve ser empregada após aplicação do iodo e da Ninidrina. Seu resultado também é inócuo em artigos que tiverem sido expostos à água.
Ao trabalhar com o iodo é necessário seguir algumas recomendações: usar luvas, roupas limpas que cubram todo o corpo e óculos de proteção como forma de proteger a sua pele e seus olhos, e tomar cuidado quanto à inalação, pois o vapor de iodo é bastante irritante.
Coleta de impressões digitais II
Material: solução de nitrato de prata 5%, borrifador, vidro de relógio.
Procedimento: Borrife a solução de nitrato de prata sobre a superfície suspeita. Outra opção é colocar a superfície suspeita em uma cuba (ou vidro de relógio, ou copo de Becker de boca larga) contendo solução de AgNO3 5% durante aproximadamente 30 segundos. A reação entre o sal do suor e o reagente químico, o nitrato de prata, formará um composto, como mostra a Figura 1, que vai ter precisamente a forma das impressões digitais.

Com exceção dos cloretos de prata, mercúrio e chumbo, todos os outros são solúveis em água. É exatamente uma destas exceções, o cloreto de prata, que permite a visualização da impressão. Na figura 1, "XCl(aq)" representa qualquer sal de cloro excetuando os já mencionados, como o cloreto de sódio dissolvido [NaCl(aq)]. Devese deixar a superfície contendo a impressão secar em uma câmara escura. Após isto, ela é exposta à luz solar o tempo necessário para que o íon prata seja reduzido à prata metálica, revelando a impressão sob um fundo negro. A impressão digital revelada deve ser fotografada rapidamente antes que toda a superfície escureça.
TÉCNICA DO IODO
O iodo tem como característica a sublimação, ou seja, passagem do estado sólido diretamente para o estado vapor. Para esta mudança de estado, o iodo precisa absorver calor. Este calor pode ser, por exemplo, o do ar que expiramos ou até mesmo o calor de nossas mãos direcionado sobre os cristais. Seu vapor tem coloração acastanhada e, quando em contato com a impressão, forma um produto de coloração marrom amarelada, como mostra a Figura 2. O vapor interage com a impressão através de uma adsorção física, não havendo reação química. Uma vantagem que esta técnica tem em relação às demais, como a do pó, é que ela pode ser utilizada antes de outras.

Coleta de impressões digitais III
Material: iodo (I2), saco plástico.
Procedimento: Esta técnica é utilizada geralmente quando a impressão encontrase em objetos pequenos. Colocandose o material a ser examinado junto com os cristais em um saco plástico selado, após agitação é gerado calor suficiente para a sublimação dos cristais.
TÉCNICA DA NINIDRINA
A ninidrina reage com aminoácidos para produzir um produto de reação com coloração roxa, como mostra a Figura 3. Indicado para superfícies porosas, o tempo de revelação médio é de 10 dias, podendo ser acelerado com aplicação de calor e umidade. Se utilizada em conjunto com outras substâncias químicas, deve ser empregada depois do iodo e antes do nitrato de prata. Muito utilizada pelas polícias técnicocientíficas, seu resultado é inócuo em artigos que tiverem sido expostos à água.

Preparação da solução de ninidrina
Materiais: 0,5 g de ninidrina, 30 mL de etanol anidro, erlenmeyer de 100 mL.
Procedimento: Dissolva a ninidrina no etanol anidro, utilizando um erlenmeyer de 100 mL. Esta mistura pode ser armazenada em um borrifador. O líquido deve ser borrifado a cerca de 15 cm da superfície. Esperase alguns instantes até a evaporação do solvente, repetindo a operação quantas vezes forem necessárias.
TÉCNICA DO DFO
O DFO (diazafluorenona) é uma substância com alta capacidade de revelação (em torno de dez vezes comparado à ninidrina). Muito aplicada em superfícies porosas (como papel e cartolina), sua reação pode ser acelerada através de aplicação de calor (requer o emprego de câmara de vaporização). Se for empregada em processos que incluam a ninidrina, o DFO deve ser utilizado antes desta. Muito útil também para revelar manchas de sangue, sua aplicação demanda a utilização de uma fonte de luz do tipo azul forense.
Preparação do DFO
Materiais: 50 mg de DFO, 4 mL de metanol, 2 mL de ácido acético glacial, 100 mL de freon, pipetas volumétricas de 2 mL, proveta de 100 mL, erlenmeyer de 250 mL.
Procedimento: Misturase o DFO ao metanol e ao ácido acético. Após a dissolução do DFO, diluise a solução em 100 mL de freon.
Instruções para analisar as impressões digitais
Para que seja possível identificar/descobrir a quem pertence cada uma das impressões digitais recolhidas em uma cena de crime ou situação semelhante, será necessário comparálas com as digitais de uma base de dados, tentando encontrar os traços característicos de cada uma para chegar ao possível suspeito. Para isso o professor ou quem desejar realizar esse tipo de atividade deverá criar seu próprio banco de dados, recolhendo impressões digitais de diversas pessoas e as mesmas podem ser organizadas em fichas que contenham algumas informações, por exemplo, impressão digital, nome, idade, altura, data de nascimento, como se fosse uma ficha cadastral.
Na análise das impressões digitais a comparação é efetuada a partir de 67 pontoschave (intersecção, centro, bifurcação, fim de linha, ilha, delta e poro) escolhidos dentre os traços mais característicos. Se todos coincidirem temos a chamada: "Correspondência Positiva". Além desses pontos chaves para analisar as impressões digitais também são consideradas as linhas que formam nossos dedos. Por exemplo, arco, presilha interna, presilha externa e verticilo.
MÓDULO DIDÁTICO 2: COMO INVESTIGAR AS PEGADAS NA CENA DO CRIME
Provas por impressão moldes de gesso
Ao abordar uma cena de crime com a intenção de registrar provas por impressão pegadas a primeira coisa a se fazer é entrar, procurando impressões e reconstruindo os eventos do crime com todo o seu conhecimento. Dessa forma, é possível determinar fatos importantes como a direção de viagem ou o número de suspeitos na cena.
Procedimento:
1) Descubra e escolha uma pegada nítida e coloque/prenda uma tira de cartolina à sua volta, de modo a formar um círculo que contorne a pegada e enterreo no terreno. Prendaa com um clipes ou grampeador.
2) Prepare o gesso. Ponha um pouco de água num balde, adicione o pó de gesso e mexa bem. Em seguida despeje o gesso na marca da pegada e deixe secar durante 15 minutos.
3) Desenterre o molde de gesso e a terra à sua volta. Envolva o molde em papel de jornal. E deixeo durante um dia para solidificar.
4) Quando o gesso estiver duro, desprenda a cartolina e lave o molde debaixo de água corrente, utilizando uma escova de dentes velha. O molde final será uma cópia exata da pegada de uma das pessoas que esteve na cena do crime e que pode auxiliálo a desvendar o caso.
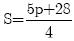
Outro tipo de análise que pode ser realizada é quanto ao tipo de pegada. Dessa forma, por meio de uma pegada, usando a fórmula1 mostrada a seguir, é possível calcular o número do calçado/sapato de uma determinada pessoa (S) com o auxílio de uma fórmula matemática. Para isso é necessário medir (em centímetros) o tamanho da pegada (p).

INSTRUÇÕES PARA ANALISAR AS PEGADAS
Para que seja possível identificar a quem pertence os moldes das pegadas coletadas na cena do crime, será necessário comparálas com os "calçados" de uma base de dados, tentando encontrar traços característicos de cada uma para chegar ao possível suspeito, assim como nas impressões digitais. Além disso, por meio das pegadas encontradas em uma cena de crime também se pode realizar outros tipos de análises. Por exemplo, fazer uma reconstrução da cena, no sentido de tentar identificar o sentido/direção dessas pegadas, a fim de compreender qual foi o caminho realizado pelo possível suspeito ou pessoas envolvidas, o que pode ajudar na análise final do caso.
MÓDULO DIDÁTICO 3: COMO INVESTIGAR AS MANCHAS DE SANGUE NA CENA DO CRIME
Os vestígios de sangue podem determinar vários aspectos significativos de um crime, de acordo com o lugar onde ele cai, da maneira como cai, da consistência, do tamanho e do formato das gotas ou pingos de sangue.
PRIMEIRO PASSO: COMO FAZER PARA IDENTIFICAR SE A SUBSTÂNCIA ENCONTRADA NA CENA DO CRIME É SANGUE OU NÃO?
Quando uma possível mancha de sangue é coletada, a mesma é sujeita a testes de presunção. Esses são geralmente catalíticos e envolvem o uso de agente oxidante. Um exemplo é o reagente de KastleMeyer, um indicador que pode mudar de cor (ou luminescente) e que sinaliza a oxidação catalisada pela hemoglobina. Se a amostra for de sangue, esta terá, necessariamente, hemoglobina, a qual possui a característica de decompor o peróxido de hidrogênio (comportamento de peroxidase) em água e oxigênio nascente. Então, este oxigênio promoverá a forma colorida (rosa) do reagente fenolftaleína, como mostra a Figura 4, evidenciando ao perito que a amostra pode conter sangue. Esse procedimento pode ser encontrado em Dias F° e Antedomenico (2010).

A Figura 5 mostra o esquema das reações envolvidas nesse processo.

Da mesma forma que o reagente de KastleMeyer, o reagente de benzidina baseiase na catálise da decomposição do peróxido de hidrogênio em água e oxigênio pela hemoglobina presente no sangue. O oxigênio formado irá oxidar a benzidina, alterandolhe sua estrutura, fenômeno que é perceptível, sob o ponto de vista experimental, com o aparecimento da coloração azul da solução.
Contudo, há casos em que a mancha não é explicita ou que o criminoso limpe a cena do crime a fim de encobrir o acontecido. Como detectar rastros de sangue, se estes não são visíveis a olho nu? Para estes casos, utilizase o luminol, que reage com quantidades muito diminutas de sangue. É um composto que, sob determinadas condições, pode fazer parte de uma reação quimiluminescente. Sua sensibilidade pode chegar aos impressionantes 1/1.000.000.000, mesmo em locais com azulejos, pisos cerâmicos ou de madeira, os quais tenham sido lavados. Ele é recomendado para locais onde há suspeita de homicídio e superfícies que, aparentemente, não exibem traços de sangue.
PRÁTICA DE IDENTIFICAÇÃO DE SANGUE VISÍVEL REAGENTE DE BENZIDINA
Materiais: 2 vidros de relógio; 2 hastes flexíveis com algodão; 2 espátulas; 0,16 g de benzidina cristalizada, 4 mL de ácido acético glacial e 4 mL de peróxido de hidrogênio de 3 a 5%, 1 frasco lavador; 50 mL de água deionizada.

Procedimentos: Coletar duas amostras usando os vidros de relógio. Molhar as amostras coletadas com água deionizada, em seguida misturar cada uma das amostras de forma a ter uma mistura homogênea e colocar um pouco de cada amostra nas hastes flexíveis. Pingar duas gotas de reagente sobre cada amostra contida nas hastes e anotar o que ocorreu. Pingar duas gotas de peróxido de hidrogênio em cada haste e anotar o que aconteceu.
PARTE B: O QUE O SANGUE ENCONTRADO NA CENA DO CRIME PODE LHE MOSTRAR?
As manchas podem ajudar a recriar um crime por causa da maneira como o sangue se comporta. Ele deixa o corpo como um líquido, seguindo as leis do movimento, do atrito e da gravidade. Ao se movimentarem, as gotas assumem a forma esférica por causa da tensão superficial. As moléculas do sangue são muito coesas, ou seja, atraem umas às outras, apertandose até ficarem de um formato com a menor área possível. Assim, por causa das leis anteriores, as gotas se comportam de maneiras previsíveis quando caem sobre uma superfície ou quando uma força age sobre elas.
Lembrese do que acontece quando você derrama gotas de água sobre o chão. O líquido cai devagar formando uma poça circular. O formato e o tamanho dependem da quantidade de água derramada, da altura em que estava o copo e se você derrubou sobre o carpete, madeira, ou alguma outra superfície. Uma grande quantidade de água forma uma poça maior. E se cair de uma longa altura terá um diâmetro menor. Em uma superfície dura irá manter uma forma circular, enquanto o carpete absorve um pouco da água e faz as margens aumentarem. O mesmo ocorre com o sangue, ou seja, a circunferência de uma mancha de sangue ela tende a aumentar conforme aumenta a altura, como mostra a Figura 7.

Sendo assim, podemos determinar a que distância da evidência de sangue e onde possivelmente a pessoa se encontrava quando foi alvejada (deitada, sentada ou em pé).
PARTE C: O QUE OS RESPINGOS DE SANGUE PODEM LHE INDICAR?
O sangue se comporta de maneira muito parecida com as gotas de água derramadas. Um respingo de baixa velocidade geralmente é o resultado de gotas de sangue pingando, se a vítima é esfaqueada e anda pelo local sangrando. A força do impacto é de 1,5 metros por segundo ou menos e o tamanho dos pingos fica entre 4 e 8 mm. Respingos de sangue podem identificar como a vítima estava na hora em que foi golpeada. Um respingo de média velocidade tem uma força entre 1,5 e 30,5 metros por segundo e o seu diâmetro geralmente não é maior do que 4 mm. Esse tipo de respingo pode ser causado por um objeto sem ponta, como um bastão, ou pode ocorrer quando a pessoa é espancada ou golpeada com faca. Os respingos de alta velocidade geralmente são provocados por ferimentos à bala, embora também possam ser causados por outras armas se o agressor aplicar muita força. Eles se movimentam com uma velocidade maior do que 30,5 metros por segundo e geralmente parecem com um borrifo formado por gotas pequenas, com menos de 1 mm de diâmetro.
O tamanho e a força do impacto são apenas dois aspectos usados para conseguir informações sobre os respingos de sangue. A seguir, vamos ver os formatos e como os analistas usam fios, e funções para mapear uma cena do crime.
FIOS, SENOS E FORMATOS DOS RESPINGOS
A técnica de colocar fios sobre cada respingo é apenas uma maneira de determinar a área de convergência ou a fonte de sangue. Nesse método, que é usado por vários analistas, o especialista documenta a localização de cada respingo usando o sistema de coordenadas. A seguir, ele estabelece uma base para demonstrar para onde o pingo está voltado em relação ao chão e ao teto. Usando fios elásticos, o profissional coloca linhas a partir de cada respingo até a base. Depois, usa um transferidor na base da área onde os fios convergem para determinar o ângulo de lançamento de cada gota. Se estiverem principalmente na parede, é possível medir a distância entre a área de convergência e o objeto para descobrir onde a vítima estava.
Alguns analistas usam cálculos trigonométricos para descobrir a área de convergência. As medidas da mancha de sangue se tornam os lados de um triângulo retângulo: seu comprimento é a hipotenusa e a largura fica do lado oposto ao ângulo que o analista está tentando descobrir, como mostra a Figura 8. Para isso, primeiramente é necessário localizar cada mancha e medir o comprimento e a largura delas usando uma régua ou compasso de calibre. Em seguida, calcular o ângulo usando essa fórmula: ângulo de impacto = arco seno (lado oposto/hipotenusa). Para que a fórmula funcione é preciso medir o comprimento e a largura da mancha; dividir a largura da mancha pelo comprimento e determinar o arco seno desse número (usando uma calculadora).

Uma gota de sangue que cai perfeitamente na vertical ou formando um ângulo de 90° com a horizontal deixa uma mancha redonda. À medida que o ângulo de impacto com a horizontal diminui, a mancha fica cada vez mais longa e desenvolve uma "ponta" que indica a direção de lançamento da gota, como mostra a Figura 9. Quanto maior a diferença entre a largura e o comprimento, mais agudo será o ângulo de impacto. Por exemplo, imagine uma mancha de sangue com 2 m de largura e 4 mm de comprimento. A largura dividida pelo comprimento seria igual a 0,5. O arco seno de 0,5 é 30°, então o sangue caiu na superfície formando um ângulo de 30° com a horizontal. Em uma mancha com a largura de 1 mm e comprimento de 4 mm, o coeficiente seria de 0,25. Nesse caso, o sangue caiu na superfície formando um ângulo com cerca de 14° com a horizontal.

MÓDULO DIDÁTICO 4: COMO INVESTIGAR AS EVIDÊNCIAS DE BALÍSTICA NA CENA DO CRIME
Nesse módulo iremos explorar um pouco sobre alguns procedimentos que podem ser usados quanto a evidências de balísticas e como podemos analisálas. Contudo, seria conveniente, primeiro estudar o que vem a ser uma arma de fogo, do que ela é constituída, como é o seu funcionamento (mecanismo de disparo), assim como, o cartucho.
INTRUÇÕES PARA ANÁLISE
São inúmeros os procedimentos e as técnicas que podem ser utilizadas na interligação entre a arma e o crime, algumas mais simples e outras de ordem mais complexas, como mostraremos a seguir.
IDENTIFICAÇÃO DO ATIRADOR PELA ARMA
A identificação do atirador pela arma baseiase no encontro de impressões digitais deixadas nas armas (conforme descrito no módulo 1). No entanto, para uma situação de ensino o professor ou o responsável pela atividade deverá fornecer aos participantes a impressão digital recolhida na arma suspeita ou implantar em uma suposta cena de crime uma arma de plástico ou material semelhante e, dessa forma os participantes poderiam realizar o processo de coleta da impressão digital.
IDENTIFICAÇÃO DA ARMA PELO PROJÉTIL
Em primeiro lugar é necessário achar o projétil, em seguida, é necessário examinar o projétil, verificando seu peso, formato, comprimento, diâmetro, composição, calibre, raiamento, estriações laterais finas e deformações. Para se obter a identificação da arma devese realizar tiros de prova, produzindo projéteis da mesma forma, calibre, dimensões, constituição, do mesmo fabricante, da mesma série que o projétil suspeito. Esses tiros de prova serão disparados em saco de algodão ou em uma caixa d' água.
No entanto, em uma situação de ensino esses testes de prova não poderiam ser realizados pelos alunos, pois somente profissionais especializados estão autorizados a realizálos. Sendo assim, o professor ou o responsável pelo desenvolvimento desse tipo de atividade deverá fornecêlos. Os projéteis assim obtidos serão comparados com aqueles a serem identificados, com o auxílio de lentes de aumento, do microscópio binocular e do microscópio comparador.
CONFRONTO BALÍSTICO
Quando um disparo é efetuado por uma arma de fogo, o projétil é expelido pelo cano e sai na direção do alvo. Este projétil, por estar em contato direto com a superfície interna do cano, passa a incorporar marcas e microestriamentos em sua superfície. Sendo assim, uma alternativa para ligar a arma de fogo ao crime é uma técnica utilizada pelos peritos chamada de Confronto Microbalístico. Obtémse, no caso, o projétil, após, fazse testes com a(s) arma(s) de fogo suspeita(s), disparandoa(s) em tanques de água, por exemplo, a fim de obter o projétil sem deformações, a não ser as inerentes ao contato com as raias ou superfície interna do cano. Após, com a ajuda de um microscópio óptico, observase as microestrias dos dois projéteis (o retirado da vítima e o produzido no tanque de água) e, através desta observação, podese ligar ou não a arma ao crime.
O confronto microbalístico não se restringe apenas aos projéteis. Se houver cápsulas de cartuchos deflagradas na cena do crime, é possível analisar as marcas do percutor e as ranhuras produzidas na culatra. Seria como uma análise de impressão digital, onde cada arma produz um conjunto de microestrias único. No entanto, como mencionado acima, em uma situação de ensino os testes de prova não poderiam ser realizados pelos alunos, pois somente profissionais especializados estão autorizados a realizálos. Sendo assim, o professor ou o responsável pelo desenvolvimento desse tipo de atividade deverá fornecer os projéteis e/ou cápsulas de cartuchos testados. E esses, assim obtidos serão comparados com aqueles a serem identificados, com o auxílio de lentes de aumento, do microscópio binocular e do microscópio comparador.
IDENTIFICAÇÃO DA ARMA PELA PÓLVORA
A pólvora pode apresentarse queimada ou não e pode ser encontrada na cápsula, na arma ou no corpo ou vestes da vítima. O seu exame se faz através do exame do sarro, que permite verificar se o disparo foi feito com pólvora negra ou com pólvora piroxilada. Primeiramente, observase o aspecto da pólvora, macroscópica e microscopicamente. A pólvora negra deixa no interior do cano abundante resíduo preto, que passa em poucos dias a uma cor cinzentoesbranquiçada, para depois tomar o aspecto avermelhado de ferrugem. A pólvora piroxilada deixa pouco resíduo, de cor cinza escura, que não se altera a não ser muito depois com a ferrugem. Em seguida, se realiza o exame químico do sarro, no qual a parte interna do cano ou outro objeto qualquer é lavado com água quente, sendo essa água de lavagem submetida à análise. O líquido é filtrado e sua reação é verificada com a fenolftaleína: a pólvora negra dá reação fortemente alcalina; a pólvora sem fumaça dá reação neutra. A análise mostrará, no caso da pólvora negra, a presença de sulfetos, sulfatos, tiossulfatos, carbonatos, tiocianatos, e também de carvão e enxofre. Com relação à pólvora piroxilada, encontrarseão nitritos e nitratos.
DISTÂNCIA E DIREÇÃO DO TIRO
A determinação da distância do tiro pode ser calculada usando as fórmulas mostradas na Figura 10, com as respectivas especificações e usando as unidades do Sistema Internacional de Unidades.

Com o objetivo de descobrir a posição do atirador no momento do disparo, é necessário traçar uma circunferência com centro no alvo e raio igual à distância calculada anteriormente. Em seguida, fazer uma reconstrução da cena levando em conta a posição do corpo (alvo) e o local onde o projétil se encontra.
RESÍDUOS DE ARMA DE FOGO
No momento do tiro são expelidos, além do projétil, diversos resíduos sólidos (provenientes do projétil, da detonação da mistura iniciadora e da pólvora) e produtos gasosos (monóxido e dióxido de carbono, vapor d'água, óxidos de nitrogênio e outros). Também integram a parte sólida dos resíduos partículas constituídas pelos elementos antimônio (Sb), bário (Ba) e chumbo (Pb), provenientes de explosivos como sais de chumbo, bário e antimônio, além da composição da liga de projéteis e cartuchos. Parte desses resíduos sólidos permanecem dentro do cano, ao redor do tambor e da câmara de percussão da própria arma. Porém, o restante é projetado para fora, atingindo mãos, braços, cabelos e roupas do atirador, além de se espalharem pela cena do crime. Em Oliveira (2006) encontrase o exame residuográfico rodizonato de sódio que é realizado nas análises de disparos de armas de fogo, assim como, a discussão teórica dos conceitos e reações químicas envolvidas.
CONSIDERAÇÕES FINALS
Nesse trabalho, procuramos expor algumas atividades que podem ser utilizadas para desvendar um crime fictício e sempre que possível relacionálas com conceitos científicos da área de Química, Física e Matemática. De forma mais especifica, podemos colaborar apontando alguns conceitos que poderiam ser abordados nos módulos apresentados. No módulo das impressões digitais, sangue e balística, poderseia trabalhar com conceitos relacionados à transformação e reações químicas. Além disso, no módulo sobre sangue e balística, também é possível trabalhar com conceitos matemáticos (trigonometria e ângulos) e físicos (movimentos).
Outra forma de abordagem seria propor aos participantes da atividade um problema de investigação cientifica que envolvesse a resolução de um crime fictício e, dessa forma realizando assim um trabalho de caráter contextualizado e interdisciplinar. Dessa forma, os participantes além de aprenderem sobre conceitos científicos, podem discutir questionar e testar suas hipóteses e ideias, confirmandoas ou reelaborandoas, além de coletar e analisar dados para encontrar possíveis soluções para o problema. Além disso, pode contribuir significativamente para despertar o interesse e a curiosidade, e desenvolver a criatividade e imaginação, esta última quando da elaboração de hipóteses e modelos explicativos. É uma forma de levar o aluno a participar de seu processo de aprendizagem, deixando de lado a postura passiva do modelo tradicional de ensino (ZembalSaul et al., 2002; Silveira e Ostermann, 2002; Lima, 2004). Ao professor ou responsável pela atividade caberá o papel de buscar a melhor maneira de utilizar estes materiais dentro do contexto de suas aulas, além da possibilidade de discutir com outros docentes visando à troca de experiências e, assim, encontrar outras formas de aplicação.
REFERÊNCIAS BIBLIOGRÁFICAS
Chemello, E., Ciência forense: impressões digitais, Química Virtual, 2006, de La URL (http://www.quimica.net/emiliano/artigos/2006dez_forense1.pdf) [ Links ]
FiedlerFerrara, N., Mattos, C., Seleção e organização de conteúdos escolares: recortes na interdisciplinaridade. Anais do Encontro de Pesquisa em Ensino de Física, VIII, Águas de Lindóia. São Paulo: Sociedade Brasileira de Física, 2002 (CDROM, arquivo:C081_2) 15 p. [ Links ]
Dias F°, C. R., Antedomenico, E., A perícia criminal e a interdisciplinaridade no ensino de ciências naturais, Química Nova na Escola, 32(2), 6772, 2010. [ Links ]
Lima, V. A., Atividades experimentais no ensino médio: reflexão de um grupo de professores a partir do tema eletroquímica. Dissertação (Mestrado) São Paulo: USP, 2004. [ Links ]
Oliveira, M. F., Química Forense: a utilização da Química na pesquisa de vestígios de crime, Química Nova na Escola, 24, 1719, 2006. [ Links ]
Silveira, F. L., Ostermann, F., A insustentabilidade da proposta indutivista de "descobrir a lei a partir dos resultados experimentais", Caderno Brasileiro de Ensino de Física, 19 (especial), 7v27, 2002. [ Links ]
ZembalSaul, C. et al. Webbased portfolios: a vehicle for examining prospective elementary teachers' developing understandings of teaching science, Journal of Science Teacher Education, 13(4), 283302, 2002. [ Links ]
1 Fórmula retirada de http://www.escolakids.com/a-matematica-e-o-numero-que-voce-calca.htm.













