INTRODUCCIÓN
Los agaves, comúnmente llamados magueyes pulqueros, son usados para la producción de aguamiel y pulque. Las principales especies usadas son A. salmiana Otto ex Salm-Dyck, A. mapisaga Trel., A. atrovirens Karw. Ex Salm-Dyck y A. americana L. En 2021 existían a nivel nacional 9,108 ha de agaves pulqueros en México, con una producción de 189,000 t. En ese mismo año, el estado de Hidalgo tuvo una producción de 110,400 t (58.4 % de la producción nacional), mientras que el Estado de México sólo produjo 18,500 t (9.8 %), con una superficie sembrada muy similar a la de Hidalgo (SIAP, 2022), lo que probablemente se debió al inadecuado manejo fitosanitario de las plantaciones, donde el principal problema es el picudo del agave Scyphophorus acupunctatus Gyllenhal (Coleoptera: Dryophthoridae) (Ríos, Com. Pers.)1.
El picudo del agave, S. acupunctatus, es una especie cosmopolita (CABI, 2022), es la plaga más importante en varias especies del género Agave, que incluye al grupo de agaves para la producción de bebidas como el tequila, mezcal y pulque, además de agaves ornamentales y de distribución silvestre (Figueroa-Castro et al., 2013; Romo y Morrone, 2012; Setliff y Anderson, 2011; Waring y Smith, 1986). Los daños directos son causados por la larva, de hábitos crípticos, al barrenar internamente la base de hojas y las piñas, mientras que las perforaciones que realizan los adultos al ovipositar o alimentarse pueden ser puntos de entrada de bacterias y hongos fitopatógenos (Solis-Aguilar et al., 2001); se han aislado bacterias como Erwinia carotovora, Pseudomonas sp. y los hongos Aspergillus niger, Kluyweromyces marxianus y Pichia amethionina del exoesqueleto de los adultos de este picudo (Molina, 2013; Terán y Azuara, 2013).
El monitoreo de S. acupunctatus en plantaciones de agave tequilero y mezcalero es a través de un sistema de trampeo con una feromona de agregación sintética y un atrayente alimenticio (tejido de agave), al cual se le agrega insecticida para retener a los individuos en las trampas (Figueroa-Castro et al., 2017; Piñero y Ruiz-Montiel, 2019).
En México, son pocos los estudios sobre la incidencia y grados de severidad que S. acupunctatus causa a los agaves pulqueros, el poco conocimiento sobre este picudo puede estar relacionado con problemas de mal manejo de la plaga y altos índices de severidad en las plantaciones de agave pulquero del Estado de México; por lo anterior, el presente estudio tuvo como objetivos determinar la incidencia y fluctuación poblacional de S. acupunctatus a través de un sistema de monitoreo con trampas, así como conocer el grado de severidad que causa el picudo en tres variedades de maguey pulquero A. salmiana en el noreste del Estado de México, considerando el sistema agrícola índice de parcela agroecológica (IPA,) por plantación y la caracterización fitoquímica por variedad (CR).
MATERIALES Y MÉTODOS
Material genético y sitios experimentales
La presente investigación se desarrolló en tres plantaciones de maguey pulquero A. salmiana ubicadas en el noreste del Estado de México, durante los meses de enero a noviembre de 2021. Las plantaciones de maguey pulquero se seleccionaron con el apoyo de los técnicos de la Campaña de Manejo Fitosanitario del Agave, perteneciente al Comité de Sanidad Vegetal del Estado de México (CESAVEM). En cada parcela estaban presentes las tres variedades de A. salmiana: Manso, Verde y Carrizo. Las plantaciones seleccionadas estuvieron ubicadas en el Rancho Ahuatepec, en una parcela útil de 2 ha, localizada en el municipio de Otumba (19° 40´ 12.3” N; 98° 43´ 34” W, 2468 msnm); Hacienda Nerea, con una superficie de 3 ha en el municipio de Axapusco (19° 43´ 251.6” N; 98° 41´ 15.2” W, 2495 msnm) y en el Ejido Tepetitlán en el municipio de Teotihuacán (19° 39´ 21.8” N; 98° 48´ 59.8” W, 2324 msnm) en una superficie de 1 ha. El clima de las tres localidades corresponde al tipo Cw0, que se caracteriza por ser templado subhúmedo, y corresponde al más seco de este grupo (INEGI, 2010).
Muestreo y levantamiento de información
En cada plantación se midió la incidencia del picudo del agave mediante un muestreo aleatorio simple (MAS) por cuadrantes, con base en la siguiente fórmula (Vivanco, 2005):
Donde n = tamaño de muestra, N = número total de plantas por variedad, Z∝/٢ = valor de tablas para confiabilidad deseada, e = error máximo permisible y pq = valor de la varianza.
En este muestreo se contabilizaron 252 plantas en Hacienda Nerea, 171 en Rancho Ahuatepec y 117 en Ejido Tepetitlán. Cada cuadrante estuvo conformado por 16 plantas de maguey pulquero, en las cuales se registró la presencia/ausencia de picudo del agave.
La fluctuación poblacional de adultos del picudo del agave se registró de enero a noviembre de 2021 mediante el monitoreo con trampas con feromona de agregación sintética más cebo alimenticio (trozos de tejido de agave) (TAA). En cada parcela se colocó un sensor climático (Hobo Onset®, Bourne, Massachusetts, EUA) para el registro de humedad relativa (HR) y temperatura (T) con intervalos de 30 min. En total se establecieron siete TAA tipo “TOCCI” (trampas con orificios circulares y cono interno), propuestas por Figueroa-Castro et al. (2013). A cada trampa se le agregó, como fuentes de atracción, la feromona de agregación sintética (2-metil-4-octanona) (P440-Lure®), más 300 g de tejido de penca de maguey pulquero como atrayente alimenticio, cortado en pequeños trozos en una bolsa de poli papel con varias perforaciones (capacidad de 2 kg). Para retener a S. acupunctatus se usó el insecticida orgánico Senvicid® (2 %) (extracto de ajo, chile y anémona). Las trampas se revisaron quincenalmente para registrar y recolectar los adultos del picudo capturados y hacer el cambio de Senvicid. La feromona de agregación se reemplazó cada dos meses y el tejido de agave cada mes. Los adultos capturados se llevaron a laboratorio para sexado, con el uso de un microscopio de disección (American Optical®, Modelo 570, Vernon Hills, Illinois, EUA).
En cada plantación se midió el porcentaje de severidad (SV) en octubre de 2021, considerando 27 plantas de cada variedad (Manso, Verde y Carrizo), éste se calculó con una escala diagramática de severidad (Figura 1).

Figura 1 Escala diagramática del porcentaje de severidad en A. salmiana propuesta por el Consejo Regulador de Tequila, con modificaciones. LI es el límite inferior, LM es el límite medio y LS corresponde al límite superior.
La severidad por variedad se estimó usando los datos obtenidos del porcentaje de severidad observado, más la adición de evaluación del agroecosistema, el cual se obtuvo del cálculo del índice de parcela agroecológica (IPA) y caracterización fitoquímica por variedad (CR). En la evaluación del sistema agrícola, el IPA se obtuvo a partir de la metodología propuesta por Sarandón y Flores (2009) y Palestina-González et al. (2021), con algunas modificaciones, considerando algunos componentes, indicadores y variables base (Figura 2).
El IPA se obtuvo mediante la fórmula siguiente:
Donde Pi es parcela evaluada, el componente social es S, el económico es E, el agrícola es A y el ecológico es C.
Para la caracterización fitoquímica de cada uno de las tres variedades se tomó una muestra compuesta de 600 g de tejido, de tal forma que en cada uno de los tres predios (Rancho Ahuatepec, Hacienda Nerea y Ejido Tepetitlán) se seleccionó una planta de cada variedad, de la que se obtuvieron 200 g de tejido de la base de hojas secundarias, y se enviaron al laboratorio Quibimex (Alfonso Toro 1207 Col. Sector Popular, Delegación Iztapalapa 09060, Ciudad de México) para analizar las variables % de carbohidratos calculado por diferencias con base en la NMX-F-807-NORMEX-2014; el de kcal/100 g de acuerdo con la NOM-051-SCFVSSA1-2010; el % de fibra cruda de acuerdo con la NMX-F-613-NORMEX-2017; el % de proteína de acuerdo con la NMX-F-608-NORMEX-2011 y el % de grasa de acuerdo con la NMX-F-615-NORMEX-2018.
Análisis de resultados
A partir del registro de los picudos adultos capturados en trampas, así como de la humedad relativa media (HRM) y la temperatura media (TM), se generó una gráfica de distribución para seguimiento de fluctuación poblacional; además, se realizó un análisis de regresión lineal para determinar la influencia de HRM y TM sobre la fluctuación poblacional del picudo del agave.
La significancia del porcentaje de severidad por variedad se analizó bajo un diseño completamente al azar con una prueba no paramétrica de Kruskall Wallis, y para determinar diferencias entre variedades se usó la comparación de medias de Bonferroni (P ≤ 0.01). Para correlacionar el porcentaje de severidad, de acuerdo con el IPA y el CR, se aplicó la prueba de Kendall. Todos los análisis se realizaron en el paquete estadístico R v 4.1.0 (R Core Team, 2021).
RESULTADOS
El mayor número de plantas con picudo del agave se encontró en el Ejido Tepetitlán (48.7 %), seguido del Rancho Ahuatepec (30.5 %) y la Hacienda Nerea (2.4 %) (Figura 3A); de igual manera, hubo un mayor número acumulado de adultos del picudo del agave en el Ejido Tepetitlán (n = 426), comparado con el registro de adultos en la Hacienda Nerea (n = 22.7) (Figura 3B).

Figura 3 A) Número de plantas de agave con y sin presencia del picudo, B) número acumulado de picudos del agave capturados en trampas en tres variedades de maguey pulquero en el noreste del Estado de México
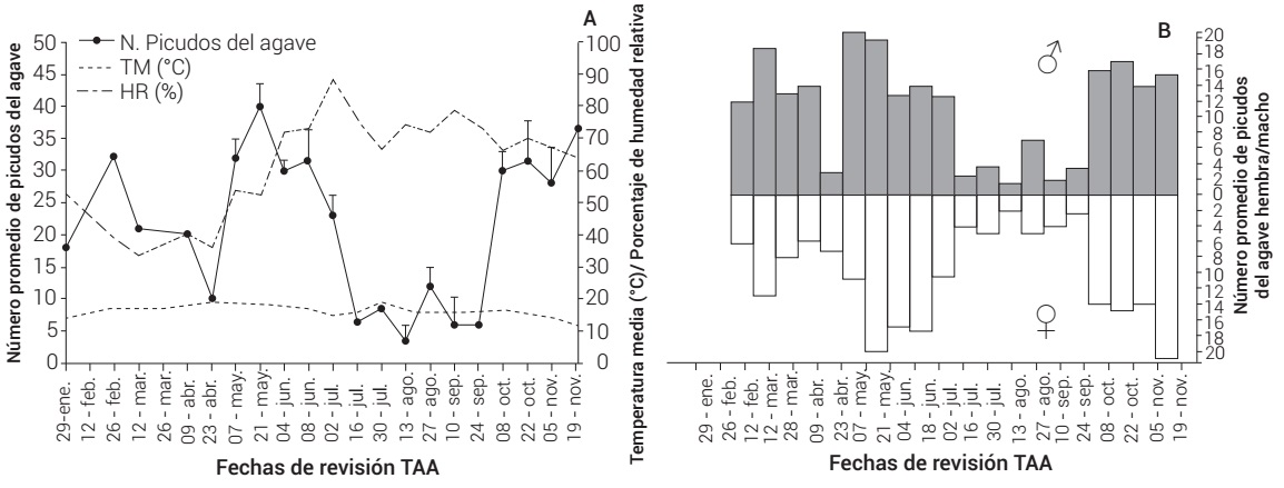
En el Ejido Tepetitlán se detectaron tres picos poblacionales, el primero fue registrado a finales de febrero, el segundo entre mayo y junio y el tercero entre octubre y noviembre. La menor densidad poblacional del picudo se presentó de mediados de julio a finales de septiembre, período donde hubo una mayor HRM (Figura 4A). En relación con la proporción sexual de S. acupunctatus, en este predio se observó que el número promedio de hembras fue de 19.2 y de machos 21.3, con una proporción promedio de H:M de 1.0:1.1 (Figura 4B).

Figura 4 A) Número promedio de adultos y B) número promedio de machos y hembras del picudo del agave registrado en el Ejido Tepetitlán, Teotihuacán, Estado de México a través de fechas de revisión en 2021.
En el Rancho Ahuatepec se registraron tres picos poblacionales, el primero se registró a finales de abril, el segundo a mediados de junio y el tercero, el mayor de los tres, a principios de noviembre. Aquí también el período de menor densidad poblacional se presentó entre julio y septiembre, época de mayor HRM (Figura 5A). En este predio, el número promedio de hembras durante el estudio fue de 13.7 y el de machos 16.1, con una proporción sexual media H:M de 1.0:1.2 (Figura 5B).

Figura 5 A) Número promedio de adultos y B) número promedio de machos y hembras de picudos de agave registrados en el Ejido Rancho Ahuatepec, Otumba, Estado de México a través de fechas de revisión en 2021.
En la Hacienda Nerea se detectaron tres picos de densidad poblacional del picudo del agave, el primero de finales de abril a finales de junio; el segundo de finales de julio a finales de agosto y el tercero a principios de noviembre; de la misma manera, con promedios menores de curculiónidos en la época de mayor HRM, entre mediados de julio a principios de octubre (Figura 6A). En este predio el número promedio de hembras y machos fue de 0.6 y 0.8, respectivamente, con una proporción sexual H:M, de 1.0:1.3 (Figura 6B).

Figura 6 A) Número promedio de adultos y B) Número promedio de machos y hembras de picudos de agave registrados en Hacienda Nerea, Axapusco, Estado de México a través de fechas de revisión en 2021
La TM y HRM no mostraron influencia significativa en la fluctuación poblacional de adultos del picudo del agave en el Ejido Tepetitlán (Y = -0.0132TM + 16.706, R² = ٠.٠٠٨; Y = -0.2783HRM + 68.512, R² = 0.04), el Rancho Ahuatepec (Y= -0.047TM + 17.468, R² = 0.0822; Y = 0.6312HRM + 48.567, R² = 0.1487) y Hacienda Nerea (Y = 0.4428TM + 15.773, R² = 0.1039; Y = 4.7158HRM + 54.338 R² = 0.1241).
En la evaluación de los sistemas agrícolas de maguey pulquero, el IPA fue de 0.57 para el Ejido Tepetitlán, de 0.79 para el Rancho Ahuatepec y de 0.87 para la Hacienda Nerea. La principal diferencia entre las tres plantaciones fue el nivel de tecnificación y el manejo agronómico realizado, ya que en Hacienda Nerea se realizan de manera periódica actividades de limpieza del predio (huerta), manejo de residuos vegetales, deshierbe, y se da seguimiento a las indicaciones para el trampeo del picudo del agave. La vinculación entre productores, instituciones municipales y estatales fue similar en las tres plantaciones.
En la caracterización de CR, la variedad Manso mostró mayor porcentaje de carbohidratos, Kcal y fibra, mientras que Verde tuvo un porcentaje de grasa idéntico a Manso; sin embargo, tuvo valores más bajos de fibra y proteína; por otro lado, la variedad Carrizo presentó el menor porcentaje de carbohidratos, Kcal y porcentaje de grasa (Cuadro 1).
Cuadro 1 Porcentaje de severidad y caracteres fitoquímicos en tres variedades de maguey pulquero en el noreste del Estado de México.
| Variedad | % Severidad | % Carbohidratos | Kcal/100 g | % Fibra | % Grasa | % Proteína |
|---|---|---|---|---|---|---|
| Manso | 13.9 b † | 11.97 | 51.1 | 1.31 | 0.35 | 0.076 |
| Verde | 53.2 a | 4.6 | 21.5 | 0.86 | 0.35 | 0.025 |
| Carrizo | 20.6 b | 4.1 | 19.4 | 1.03 | 0.33 | 0.076 |
†Letras diferentes significan diferencias estadísticamente significativas (Bonferroni, P ≤ 0.01).
Con la prueba Kruskal-Wallis para la SV se encontró que al menos una variedad de agave pulquero fue diferente en porcentaje de severidad causado por S. acupunctatus (P = 2.6E-12); la SV de Verde fue diferente a la SV de Manso (Bonferroni, P = 1.5 E-7) y a la SV de Carrizo (Bonferroni, P = 8.4 E-11) (Cuadro 1). La correlación de Kendall muestra que los valores porcentuales de proteína y de fibra expresaron los mayores niveles de correlación negativa (P ≤ 0.01), denotando una tendencia donde a mayor magnitud de estos valores, hay menor SV causada por el picudo del agave (Figura 7).
DISCUSIÓN
Durante el tiempo en que se realizó esta investigación, la incidencia del picudo del agave fue entre 2 y 49 % en las plantaciones de maguey pulquero en el noreste del Estado de México. Posiblemente, el ciclo de vida del picudo del agave y la presencia estable de su hospedero influyeron en la incidencia. La proporción sexual de los adultos del picudo del agave (hembras a machos, H:M) capturados en trampas con feromona de agregación en las plantas de agave fue muy cercana a 1:1, lo cual es muy diferente a lo observado en estudios de este insecto en agave tequilero, donde la proporción de hembras capturadas en este mismo sistema de trampas fue mayor a la de machos (Figueroa-Castro et al., 2013; Rodríguez-Rebollar et al., 2012; Ruiz-Montiel et al., 2008), no obstante que en las plantas de agave tequilero la proporción de H:M es de 1:1 (Figueroa-Castro et al., 2013); en plantas de agave pulquero se ha estimado que hay mayor número de hembras que machos (Vergara, 2022; Com. Pers.)2. Al capturar más hembra en las trampas con feromona de agregación, se sugiere que éstas pueden tener potencial para establecer un sistema de trampeo masivo como táctica de control de esta plaga en agave tequilero (Ruiz-Montiel et al., 2008); sin embargo, para el caso de plantaciones de agave pulquero la anterior propuesta pudiera no funcionar.
El ciclo de vida del picudo en agave tequilero se completa entre los 113 y 135 días (Terán y Azuara, 2013), no hay período de hibernación, y al contar con un ciclo relativamente largo, se favorece su desarrollo durante todo el año (Figueroa-Castro et al., 2013; Setliff y Anderson, 2011; Solís-Aguilar et al., 2001), lo cual puede estar ocurriendo en plantaciones de agave pulquero. A la par, el noreste del Estado de México tradicionalmente cuenta con especies de agaves pulqueros, tanto en áreas naturales como en aprovechamiento en áreas de cultivo (Narváez-Suárez et al., 2016), y aunado al reciente aumento de plantaciones de este maguey, se generan condiciones favorables para que S. acupuntactus cuente con un nicho ecológico relativamente estable.
En diferentes especies de insectos se ha demostrado que el factor ambiental juega un papel importante en la fluctuación poblacional (Piñero y Ruíz-Montiel, 2019). En S. acupunctatus se ha evaluado la influencia de algunos factores abióticos sobre el comportamiento estacional de las poblaciones del picudo del agave (Figueroa-Castro et al., 2013). En Oaxaca, en magueyes mezcaleros, se observó un mayor aumento de este picudo en épocas con mayor humedad (Aquino et al., 2007), mientras que en Jalisco, Figueroa-Castro et al. (2013) determinaron en Agave tequilana que la temperatura y la precipitación no tuvieron influencia significativa sobre la densidad poblacional del picudo; en cambio, la humedad relativa si tuvo un efecto negativo en dicha densidad. En el presente estudio no hubo una relación significativa entre la fluctuación poblacional con la HRM y la TM, lo que puede implicar que además de estas variables, es necesario incluir en futuros estudios otras variables climáticas como la precipitación, radiación solar o la velocidad del viento, para determinar si existe relación con el comportamiento del insecto.
El porcentaje de severidad encontrado en las plantaciones varió del 10 al 100 %. En otros reportes se ha mencionado que S. acupunctatus puede ocasionar daños del 24 al 100 % en A. tequilana, del 46 % en A. angustifolia, del 50 % en A. fourcroydes y del 30 al 40 % en A. salmiana (Cuervo-Parra et al., 2019), lo cual corrobora la necesidad de entender los factores bióticos y abióticos que influyen en los niveles de daño que causa S. acupuntatus en los magueyes. En la presente investigación se encontró que el manejo agrícola y la variedad de maguey pulquero son factores que influyen en el porcentaje de severidad en plantas causado por la alimentación de S. acupunctatus. El manejo agrícola en las plantaciones está relacionado con presencia de S. acupuntatus ya que, generalmente los residuos vegetales, resultados de las podas y de la eliminación de plantas enfermas, no son adecuadamente desechados, lo que representa un medio apropiado para el desarrollo del picudo del agave, ya que éste tiene atracción por los volátiles de fermentación de tejido vegetal, lo que representa un foco de infestación y un aumento en las densidades poblacionales de esta plaga (Piñero y Ruíz-Montiel, 2019; Ruiz-Montiel et al., 2017).
Respecto a los porcentajes de severidad que causa el picudo del agave, existe una relación con los compuestos fitoquímicos proteína, grasa y fibra. Waring y Smith (1986) indicaron que las concentraciones de compuestos generados en las plantas de agave por factor de estrés biótico, tipo de variedad y su fenología influyen en la susceptibilidad al ataque del picudo. Los diversos compuestos de agaves juegan diferentes roles en su desarrollo y pueden variar dependiendo de la fenología y época el año (Olvera et al., 2015); si bien pueden ser útiles como mecanismos de defensa a insectos (Shegute y Wasihun, 2020), también lo pueden ser en la protección de la planta contra factores abióticos, como sequía o heladas (Pérez-López y Simpson, 2020); en otras especies de insectos, también pueden generar mayor preferencia de alimentación; de esta forma, se concluye que la variedad Verde muestra mayor severidad de daño por el picudo del agave, posiblemente por ser el que presenta menor porcentaje de fibra y menor contenido de proteína. Con estos resultados no es posible determinar si éste resulta atrayente para el picudo del agave o si presenta mecanismos de resistencia menos eficientes que le permiten resistir el ataque de este insecto.
CONCLUSIONES
En el noreste del Estado de México, las plantaciones de maguey pulquero puede tener una incidencia de plantas infestadas por S. acupunctatus de 2.4 a 48.7 %, y es posible encontrar adultos durante todo el año. Las plantas de maguey pulquero con incidencia de picudo del agave, mostraron porcentaje de severidad del 10 al 100 %, aspectos que influyen en el manejo del sistema agrícola, donde las variedades con mayor IPA o de uso más eficiente de prácticas agrícolas muestran menores densidades poblacionales del insecto. Las variedades de maguey pulquero estudiadas muestran distinta influencia sobre el porcentaje de severidad, siendo la variedad Verde la que muestra el mayor porcentaje de severidad.










nueva página del texto (beta)




