Introducción
La lechuga es un cultivo alimenticio importante que se produce en invernaderos en todo el mundo (Sirtautas et al., 2014). Es un vegetal que se consume en grandes cantidades como ensalada (Dupont et al., 2000) debido a su gran contenido de fitonutrientes que promueven la salud humana (Martin et al., 2011). Los procesos primarios que determinan el crecimiento vegetal son el intercambio de gases, la fotosíntesis, la respiración y la transpiración. El nitrógeno (N) es un nutriente esencial para las plantas, tiene una función estructural, constituye aminoácidos, enzimas, clorofila y proteínas de la cadena de transporte de electrones (Taiz y Zeiger, 2013) y se relaciona directamente con la eficiencia fotosintética (Sanclemente y Peña, 2008).
En la fertilización con N, las plantas absorben de manera más eficiente el NO3 -, lo cual varía entre genotipos (Campos et al., 2016) y la estación de cultivo (Konstantopoulou et al., 2010), aunque pueden funcionar mejor con un balance en las relaciones NO3 -/NH4 +, lo cual regula la distribución del N asimilado (Liu et al., 2017). Algunos autores han estudiado los efectos en la fisiologia fotosintetica de la planta con la aplicación de NO3 -/NH4 +, como en plantas de sorgo (Sorghum bicolor L.) que mejoran significativamente la ΦPSII y ETR (Miranda et al., 2014) y en tomate (Solanum lycopersicum L.), que cuando la relación NO3 -/NH4 + sólo contenía NH4 + la Pn se redujo (Liu et al., 2017). Las dosis altas de N aumentan la Pn y la E en gerbera (Gerbera jamesonii H. Bolus) (Corrales-González et al., 2016). Otros factores también influyen en los valores de la eficiencia fotosintética (Azcón-Bieto et al., 2008). El aumento en la radiación en pepino (Cucumis sativus L.) (de 480 a 700 nm) disminuye el transporte de electrones a través del PSII (ΦPSII) a 0.8, en lechuga con 800 μmol m−2 s−1 disminuyó el valor ΦPSII a 0.17-0.38 y la ETR a 30-40, los valores de Fv/Fm bajo condiciones de luz de 800 y 600 μmol m−2 s−1 fueron inferiores a 0.80 (Fu et al., 2012), lo que probablemente generó un daño por fotoinhibición (Azcón-Bieto et al., 2008). En el caso de la iluminación constante en la aplicación de NO3 -/NH4 + en la solucion nutritiva, la Pn aumentó con el incremento de NO3 - y alcanzó su punto máximo con 75/25, lo que indica que en el mismo entorno de luz las plantas de lechuga pueden absorber mejor el N y preferir al NO3 - en lugar del NH4 + (Zhu et al., 2020).
Para mejorar la eficiencia fotosintética que ayude a aumentar la producción en los cultivos (Long et al., 2015) se pueden evaluar diversos tipos de estrés en la fotosíntesis, como la reducción de la tasa fotosintética, el transporte de electrones y los trastornos ocasionados por la luz (Azevedo-Neto et al., 2011), asi como los efectos de la fertilización con NO3 - y NH4 + sobre la fisiología fotosintética de la planta, proceso metabólico importante al que afecta la forma del N utilizado (Zhu et al., 2011). Con base en lo anterior, el objetivo de esta investigación fue evaluar la respuesta fotosintética del cultivo de lechuga en hidroponía con diferentes relaciones de NO3 -/NH4 + en verano y otoño.
Materiales y métodos
El experimento se realizó en el año 2017 en el Centro de Hidroponía de la Facultad de Agronomía y Veterinaria, en San Luis Potosí. Se utilizó un invernadero tipo túnel de dimensiones 5 x 9 m. En el estudio de verano (65 días, julio a septiembre), la temperatura fue de 23.5 °C y una luminosidad de 235 µmol fotones m-2 s-1. Para el estudio de otoño (70 días, octubre a diciembre), la temperatura fue de 15.07 °C y la luminosidad de 135 PPFD µmol fotones m-2 s-1.
Se utilizaron semillas de lechuga de la variedad Montemar, las cuales se sembraron en charolas de poliestireno con 220 cavidades, con un sustrato a base de turba ácida. A los 20 días después de la siembra, cuando las plantas tenían cuatro hojas verdaderas, se trasplantaron en placas de unicel de 1 m x 1 m con 25 cavidades, distribuidas en tres bolillo, con una densidad de 25 plantas / m2 y se cultivaron durante 45 días (verano) y 50 días (otoño) en un sistema hidropónico de raíz flotante. La aireación se realizó de forma manual, vaciando agua de la misma mesa en diferentes puntos, con recipientes plásticos de 750 ml, durante 15 minutos (mañana y tarde), generando entre 3 y 4 mg L-1 de oxígeno disuelto en cada mesa. Se utilizaron 12 mesas con 25 plantas cada una, con un total de 300 plantas por estación. Las mesas de madera tenían las siguientes dimensiones: 1 m altura x 1 m ancho x 1 m largo. En la parte superior se formó un contenedor con la misma madera de 1 m ancho x 1 m largo x 0.10 m de profundidad, lo cual dió un volumen de 100 L de capacidad. El interior del contenedor fue cubierto con plástico color negro calibre 600.
Se utilizó la solución universal de Steiner (1984) conteniendo (en meq L-1): 12 NO3-, 7 SO42-, 1 H2PO4, 9 Ca2+, 7 K+ y 4 Mg2+. La solución se modificó de acuerdo con Lara-Izaguirre et al. (2019) utilizando como base 12 meq L-1 de N total para obtener cuatro relaciones de NO3-/NH4 +: 100/0 (12/0 meq L-1), 80/20 (9.6/2.4 meq L-1), 65/35 (8.5/4.2 meq L-1) y 50/50 (6/6 meq L-1). Los macronutrientes en las soluciones ejercieron una presión osmótica de -0.072 MPa y una CE de 2 dS m-1.
En la preparación de las soluciones nutritivas se consideró el análisis de agua que contenía en meq L-1 los siguientes iones: NO3 0.15, Ca 2.40, Mg 1.89, K 0.08, Na 0.47, SO4 1.59, Cl 2.99, CO3 0.12, HCO3 2.01; y en mg L-1: Fe 0.20, B 0.22, Mo 0.04, Cu 0.01, Mn 0.09, Zn 0, un pH de 7.5 y una CE 0.6 dS m-1. Los fertilizantes utilizados fueron Ca(NO3)2·٤H2O, KNO3, MgSO4·٧H2O, K2SO4, H3PO4 y NH4NO3. Los micronutrientes se complementaron con Carboxy Micro, el cual aportó Fe 5 %, Zn 2.5 %, Mn 1 % y B 0.5 % en forma quelatada EDDHA. Las plantas trasplantadas se establecieron para su adaptación durante 15 días (verano) y 20 días (otoño) en una solución Steiner completa. Después de la adaptación se cambió la solución nutritiva y se aplicaron los tratamientos de NO3-/NH4 + y estas no se cambiaron durante los 30 días que duró el estudio. El pH de la solución inicial se ajustó con ácido sulfúrico a 5.5, se monitoreó diariamente y los valores de los tratamientos se mantuvieron durante el estudio entre 5.5 y 6.5, por lo que no fue necesario realizar más ajustes con ácido sulfúrico. Se restableció diariamente el agua transpirada con agua sin modificar.
Las variables de fotosíntesis evaluadas en la última semana del cultivo de cada estación fueron medidas en hojas intermedias de la parte superior de la cabeza de las lechugas, visiblemente sanas, siendo las siguientes: Fv/Fm: eficiencia máxima del fotosistema II, ФPSII: eficiencia efectiva del fotosistema II, ETR: tasa de transporte de electrones, Pn: asimilación neta de CO2, gs: conductancia estomática y E: tasa de transpiración con el sistema portátil para medición de fotosíntesis LI-COR (LI-6400XT), acoplado al fluorometro de hoja. Las variables de fluorescencia de la clorofila (Fv/Fm, ETR y ФPSII) se registraron entre las 12:00 y las 17:00 h, cuando se presentaron las temperaturas más altas durante el día. La Fv/Fm se midió en hojas aclimatadas a la oscuridad, cubiertas con un plastico negro por un periodo de 20 minutos previo a la medición, dejando libre la ventilación por la parte inferior para evitar cambios en la temperatura. Las variables ФPSII, ETR, Pn, gs y E se registraron en hojas expuestas a la luz, en las cuales, durante la medición, se les proporcionó luz actínica de 500 µmol m-2 s-1 a través de fluorómetro, definida al colocar el sensor PAR del equipo de medición al nivel de las plantas y registrar el nivel de PAR presente y en forma constante para evitar las variaciones de la luz natural. Durante las mediciones de intercambio de gases el equipo se calibró a 400 ppm como concentración de CO2 de referencia para la estimación de Pn.
El diseño experimental fue completamente al azar, con tres repeticiones. Los tratamientos tuvieron un arreglo factorial 4 x 2, en donde las cuatro relaciones de NO3 -/NH4 + fueron 100/0, 80/20, 65/35 y 50/50 y dos estaciones de cultivo, verano y otoño. La unidad experimental fue una mesa con 25 plantas y se establecieron 12 unidades experimentales por cada estación. Con los datos obtenidos se realizó un análisis de varianza y una comparación de medias por Tukey (P < 0.05), con el programa estadístico Statistical Analysis System (SAS) versión 9.0.
Resultados y discusión
Eficiencia máxima del fotosistema II (Fv/Fm)
La estación de crecimiento influyó significativamente en los valores de Fv/Fm observados (Figura 1 A), pues estos fueron menores en verano, 0.797, comparado con otoño, 0.813. Este resultado indica que las plantas cultivadas en verano recibieron un mayor estrés, debido a que el exceso de luz disminuye la Fv/Fm, pues en lechuga se reportan valores inferiores a 0.80 con exceso de luz (600 a 800 μmol m−2 s−1). En condiciones fisiológicas normales, los valores de Fv/Fm de la gran mayoría de las plantas están en 0.8-0.84 (Fu et al., 2012).

Figura 1 Efecto de la estación de cultivo de verano (V) y otoño (O) en: A: eficiencia máxima de fotosistema II (Fv/Fm), B: eficiencia efectiva del fotosistema II (ФPSII), C: tasa de transporte de electrones (ETR), D: asimilación neta de CO2 (Pn), E: tasa de transpiración (E) y F: conductancia estomática (gs) del cultivo de lechuga Montemar. Medias con letras iguales no son estadísticamente diferentes (Tukey, ≤ 0.05).
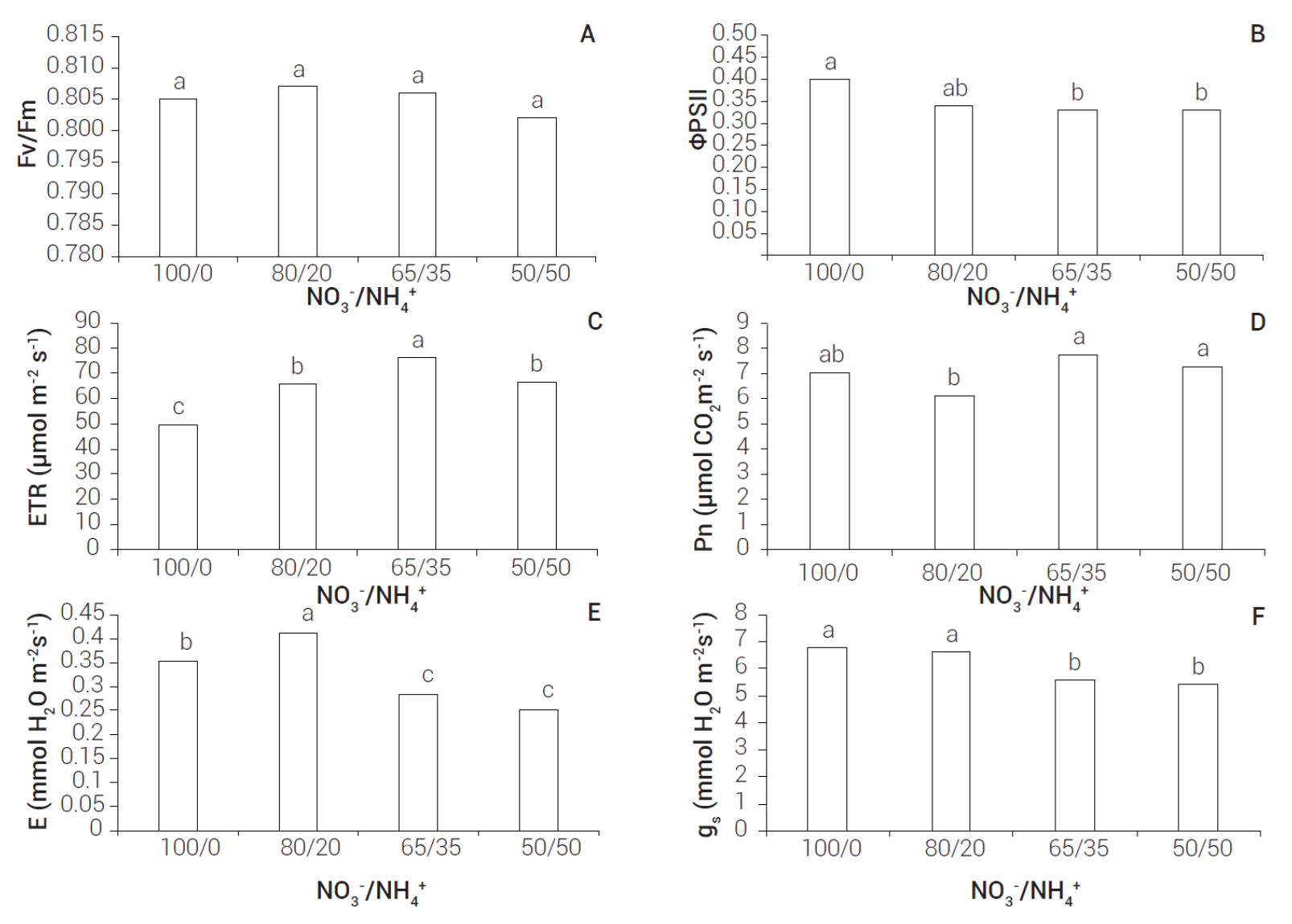
Al comparar la aplicación de las diferentes relaciones de NO3 -/NH4 + (Figura 2 A) no se encontraron diferencias significativas, con un valor promedio de 0.805. Azcón-Bieto et al. (2008) mencionan que los valores de Fv/Fm de una gran variedad de plantas no estresadas es de 0.75 a 0.85. En contraste, Zhou et al. (2011) mencionan que en hojas de pepino, los valores de Fv/Fm al usar NO3 - estuvieron en 0.82 y al usar NH4 + se reduce a 0.75, lo que provoca fotoinhibición por el amonio.

Figura 2 Efecto de diferentes relaciones nitrato/amonio (NO3 -/NH4 +) en: A: eficiencia máxima de fotosistema II (Fv/Fm), B: eficiencia efectiva del fotosistema II (ФPSII), C: tasa de transporte de electrones (ETR), D: asimilación neta de CO2 (Pn), E: tasa de transpiración (E) y F: conductancia estomática (gs) del cultivo de lechuga Montemar. Medias con letras iguales no son estadísticamente diferentes (Tukey, ≤ 0.05).
En la interacción de los dos factores en estudio resultó significativa la variable Fv/Fm (Figura 3 A). Se mostró que en verano el tratamiento 50/50 fue el único que disminuyó significativamente su valor a 0.788, mientras que el resto mostró valores de 0.800 a 0.815 (Figura 1 A), pudiendo afectar la intensidad de luz en verano de 235 a 135 PPFD µmol fotones m2 s-1 en otoño. Caso similar en tomate la Fv/Fm mostró un valor de 0.83 y después disminuyó a 0.77 a medida que aumentó la intensidad de luz, de 0 a 1,400 PPFD µmol fotones m2 s-1 (Yang et al., 2018). El índice Fv/Fm en plantas de algodón (Gossypium sp. L), con dosis bajas (1 mM) y altas (10 mM) de NO3 - se redujo a 0.60 con luz alta (2000 μmol m-2 s-1), en comparación con la luz normal (200 μmol m2 s-1) que mostró valores de 0.77, lo que sugiere que la disminución transitoria de nitrato no afectó la integridad del fotosistema II (Guilherme et al., 2019). Esta disminución puede ser por déficit o problemas ligados al metabolismo del N (Corrales-González et al., 2016) y por un uso ineficiente de la energía absorbida y fotoinhibición (Murchie y Lawson, 2013).

Figura 3 Efecto de la interacción de la estación de cultivo verano (V) y otoño (O) y de diferentes relaciones nitrato/amonio (NO3 -/NH4 +) en: A: eficiencia máxima de fotosistema II (Fv/Fm), B: eficiencia efectiva del fotosistema II (ФPSII), C: tasa de transporte de electrones (ETR), D: asimilación neta de CO2 (Pn), E: tasa de transpiración (E) y F: conductancia estomática (gs) del cultivo de lechuga Montemar. Medias con letras iguales en la estacion de cultivo no son estadísticamente diferentes (Tukey, ≤ 0.05).
Eficiencia efectiva del fotosistema II (ФPSII)
La estación de crecimiento influyó significativamente en la ФPSII (Figura 1 B), ya que fue 48.9 % menor en verano (0.24) en comparación con otoño (0.47). Esto se atribuyó a que la intensidad lumínica, al aumentar el estrés, disminuye la eficiencia cuántica del fotosistema II y aumenta la disipación no fotoquímica (Else et al., 2009). En otra investigación se reportan tendencias similares en lechuga con valores en ФPSII de ٠.٢ con temperaturas de 25.6 °C (Schofield et al., 2005), coincidiendo los valores de este estudio con las temperaturas similares a las de la estación de verano 23.5 ºC.
La aplicación de las relaciones de NO3 -/NH4 + (Figura 2 B) mostró efectos significativos en la relación de 100/0 (0.40) con 17.5 %, mayor en comparación con 65/35 (0.33) y 50/50 (0.33); sin embargo, la relación 80/20 (0.34) no fue diferente entre los tratamientos. En este caso, para completar la cantidad de N requerido por la planta, al utilizar cantidades mayores al 20 % de amonio mostraron los menores valores en ФPSII. Zhu et al. (2020) mencionan que una proporción de NO3 -/NH4 + de 75:25 es más propicia para la síntesis de clorofila y la promoción de la fotosíntesis en las plántulas de lechuga. De este modo, al utilizar NH4 + en lugar de NO3 -, a dosis de 6 mM, la toxicidad reduce las tasas de fotosíntesis neta (Claussen y Lenz 1999), como en este estudio con la aplicación de 80/20, al no mostrar diferencias con los demás tratamientos.
En la interacción de los dos factores de estudio (Figura 3 B) se observó que los mayores valores obtenidos de ФPSII fueron en otoño; sin embargo, el aplicar 50/50 NO3 -/NH4 + disminuyó 24 % la ФPSII comparado con 100/0, aunque fue estadisticamente igual a los otros tratamientos. En el verano, el uso de amonio en las relaciones de NO3 -/NH4 +, desde 0 a 50 % se ve una disminución de 30 % comparado con el otoño. En contraste, Shang y Shen (2018) encontraron en repollo chino (Brassica chinensis L.) que, en baja intensidad de luz (32 % menos de radiación solar) los valores de ФPSII estuvieron debajo de 0.48 en todas las relaciones NH4 +/NO3 -, en comparación con el tratamiento de radiación solar normal con 0.55. Caso contrario a este estudio es el de Miranda et al. (2014), quienes encontraron en plantas de sorgo que las proporciones de 50/50 de NO3 -/NH4 + aumentó la ФPSII, debido a que la salinidad no promovió la fotoinhibición y tampoco el daño fotoquímico del fotosistema II, permitiendo un transporte de electrones favorable.
Tasa de transporte de electrones (ETR)
La estación de crecimiento influyó estadísticamente en la ETR, variable que resultó menor en verano, con 40.98 %, comparado con otoño (Figura 1 C). Yamori et al. (2011) mencionan que las fluctuaciones de luz (entre 500 a 1000 μmol m-2 s-1 ) y temperatura (20 °C) estresaron a las plantas de arroz (Oryza sativa L.), de manera tal que, el sistema de transporte de electrones acumula exceso de potencia reductora, que no puede ser disipado en forma de calor y puede causar fotoinhibición del fotosistema II y reducción en ETR. En contraste, en plantas de tomate al elevar la intensidad de la luz aumenta la ETR (Yang et al., 2018). Esto se atribuye a que, con niveles elevados de luz, el exceso de energía de excitación debe ser disipado de forma inocua, para evitar un deterioro en los centros de reacción por medio del transporte de electrones (Azcón-Bieto et al., 2008).
La aplicación de las diferentes relaciones de NO3 -/NH4 + Figura 2 C) tuvieron diferencias significativas en las ETR. La relación 65/35 mostró los mayores valores, con 12.37 %, comparado con 50/50 y 80/20 y estos mostraron 24.47 % de diferencia a la relación 100/0 con el valor mas bajo. En un caso contrario, Claussen y Lenz (1999) mencionan que la acumulación de amonio en las hojas puede causar el desacoplamiento del transporte de electrones en la fotofosforilación en los cloroplastos, lo que resulta en una disminución de las tasas fotosintéticas.
En la interacción (Figura 3 C) se observaron los mayores valores de ETR en otoño con todas las relaciones de NO3 -/NH4 +; sin embargo, la relación 65/35, con 20.68 %, se diferenció significativamente de 100/0, que fue igual a 80/20 y 50/50. Los valores mas bajos en ETR se observaron en el verano, siendo la relación 100/0 la menor, con 41.76 %, comparado con los demás tratamientos de la misma estación. En plantas de algodón, la ETR aumentó aproximadamente un 43 % a 2000 μmol−2 s-1 de intensidad de luz en plantas con dosis altas de NO3 - (10 mM), en comparación con plantas con dosis bajas (1 mM). Este aumento en las tasas de ETR probablemente esté relacionado con la intensificación de la fuerza de los sumideros alternativos para electrones fotosintéticos, representados principalmente por la reducción de nitrato asimilatorio y las vías de fotorrespiración (Guilherme et al., 2019).
Asimilación neta de CO2 (Pn)
La estación de crecimiento, que influyó en la asimilación de CO2(Figura 1 D), fue 18 % menor en verano, comparado con otoño. Yamori et al. (2011) mencionan que la Pn en plantas de arroz disminuyó de manera gradual en condiciones de fluctuación con intensidades de luz alta y baja (entre 500 a 1000 μmol m-2 s-1 ), debido a la reducción de ETR. Caso contrario en lechugas, la Pn aumentó con mediana y alta irradiación (140 y 220 mmol m2s-1) a valores entre 5 y 9 μmol CO2 m-2 s-1, en comparación con la baja irradiación 60 mmol m-2 s-1, con valores por debajo de 2 μmol CO2 m-2 s-1 (Fu et al., 2017). En este sentido, Azcón-Bieto et al. (2008) mencionan que las plantas de sol muestran tasas mayores de Pn con saturación de luz, que varían dependiendo de la especie y factores ambientales.
Al comparar la aplicación de las diferentes relaciones de NO3 -/NH4 + (Figura 2 D) se pudo observar que la aplicación de NH4 + en 20 % disminuyó la Pn en 15.8 %, en comparación con 65/35 y 50/50, aunque resultó estadisticamente igual a 100/0. En este caso, Hu et al. (2015) mencionan que, en el cultivo de repollo (Brassica oleracea var. Capitata) aumentó la tasa de Pn con 10 % de NH4 + y disminuyó con 25 % en condiciones de baja intensidad de luz. En este sentido, en plántulas de tomate, cuando la relación NO3 -/NH4 + solo contenía NH4 + la Pn se redujo (Liu et al., 2017). En plantas de olivo (Olea europaea L), la Pn más baja se encontró en plantas con dosis de NH4 +, lo cual se atribuyó principalmente a un mayor cierre de estomas (Tsabarducas et al., 2017).
En la interacción de estación de crecimiento con las relaciones de NO3 -/NH4 + (Figura 3 D) se observó que dependiendo de la estación de crecimiento, el tratamiento 65/35 en otoño tuvó valores mas altos que todos los tratamientos, con 27.45 %; en contraste, en verano se mostró menor asimilación de CO2, con 23.56 %. Liu et al. (2017) mencionan que las temperaturas frías (5-18 °C) reducen drásticamente la Pn en plántulas de tomate. Cuando el suministro de N fue 100 % de NH4 + la Pn se redujo en comparación con otras relaciones de NO3 -/NH4 +. En ambas temperaturas (5-18 °C y 14-30 °C) se mostró mayor Pn en plantas a temperaturas normales con la proporción de 75/25 y la proporción 50/50 NO3 -/NH4 + para las plantas cultivadas con frío. En lechuga, con menor irradiancia, el suministro de N y Pn se correlacionó de forma significativa. Sin embargo, no se encontró una relación significativa entre la irradiancia moderada y alta (Fu et al., 2017).
Tasa de transpiración (E)
La estación de crecimiento influyó en la transpiración, pues ésta, con 18.43 %, se mostró menor en verano, comparado con otoño (Figura 1 E). Fu et al. (2017) mencionan que en lechuga a diferentes combinaciones de intensidad de luz (60, 140 y 220 mmol m-2 s-2) la E presentó diferencias significativas. Los factores ambientales que más afectan a la transpiración en las plantas son la radiación y la temperatura; una elevada temperatura del aire, a través de su efecto en el déficit de presión de vapor, reduce la eficiencia transpiratoria (Sánchez-Díaz y Aguirreolea, 2008).
Al comparar la aplicación de las relaciones de NO3 -/NH4 + (Figura 2 E) se mostraron diferencias significativas con la relación de 80/20, que fue 14.76 % mayor que la relación 100/0, y ésta fue mayor con 31.23 % a los demás tratamientos. La tasa de transpiración más baja en plantas de olivo se encontró aplicando N en forma de NH4 +; la mayor depresión de la tasa fotosintética neta se atribuyó principalmente a un mayor cierre de estomas (Tsabarducas et al., 2017). Caso contrario en Canna indica la E no se vio afectada con aplicación de NH4 +, de NO3 - o en combinación NH4 +/NO3 - (Konnerup y Brix, 2010). El estrés generado por acción tóxica de los iones induce un incremento en la respiración por la entrada de ATP a la cadena respiratoria, por lo que la planta necesita de mayor energía para generar los mecanismos necesarios que le ayuden a salir de esta condición de estrés (Casierra-Posada et al., 2006).
Al observar la interacción de los dos factores en estudio (Figura 3 E), la mayor E se obtuvo en el otoño con los tratamientos 100/0, 80/20 y 65/35, teniendo una diferencia de 17.97 % con el tratamiento 50/50 y este tratamiento fue igual a 100/0 y 80/20 de verano. Como en el caso de repollo, la E no mostró diferencias en plantas cultivadas con luz normal (200 μmol m−2 s−1) entre las relaciones de NH4 +/NO3 -. Con baja intensidad de luz (100 μmol m−2 s−1), la dosis 10/90 NH4 +/NO3 - fue más alta respecto a las demás dosis (Hu et al., 2015). La transpiración, al usar NH4 +, disminuyó un 43.1 %, en comparación con usar NO3 - en plantas de pepino; éstas experimentaron foto-inhibición cuando se cultivaron con NH4 + como fuente de N (Zhu et al., 2011).
Conductancia estomática (gs)
La estación de crecimiento influyó en la conductancia estomática, pues ésta se se mostró menor en verano, con 35.62 %, comparado con otoño (Figura 1 F). Wahid (2007) menciona que la gs y la fotosíntesis declinan ante temperaturas relativamente altas en muchos cultivos. Como en el cacao (Theobroma cacao L.), en donde la gs presenta un efecto negativo sobre el intercambio gaseoso con un incremento en temperatura y radiación (Suárez-Salazar et al., 2017).
Al comparar la aplicación de las relaciones de NO3 -/NH4 + (Figura 2 F) se mostraron diferencias significativas con la relación de 100/0 y 80/20, con 15.73 % mayor que 65/35 y 50/50. Lo cual coincide con lo reportado por Hu et al. (2015) con repollo, donde la aplicación de amonio tiene efecto positivo en la gs con la relación 10/90 de NH4 +/NO3 -. En gerbera, la gs no mostró ninguna diferencia significativa entre los tratamientos con aplicación de N (Corrales-González et al., 2016).
Al observar la interacción estación de crecimiento y relaciones de NO3 -/NH4 + Figura 3 F), los tratamientos 100/0, 80/20 mostraron una diferencia en la gs de 27.7 % con el tratamiento 50/50 en ambas estaciones de crecimiento. El tratamiento 65/35 en la estación de otoño fue igual estadisticamente a 100/0 y 80/20, siendo mayor 57.55 % que en el verano con el mismo tratamiento. Hu et al. (2015) encontraron, en el cultivo de repollo, que la conductancia estomática fue baja en condiciones de sombra (100 μmol m−2 s−1), en comparación con la intensidad de luz normal (200 μmol m−2 s−1); además, las relaciones NH4 +/NO3 - regularon la gs; la relación 15/85, en intensidad de luz normal, y la relación 10/90, en condiciones de sombra, aumentaron la gs.
Conclusiones
Los parámetros fotosintéticos de fluorescencia de la clorofila (eficiencia efectiva del PSII y transporte de electrones) y de intercambio de gases (asimilación neta de CO2 y tasa de transpiración) del cultivo de lechuga en hidroponía son inhibidos por las temperaturas y niveles de radiación solar elevados, propios del verano, respecto a las condiciones del otoño, en latitudes alrededor de la línea del trópico de cancer.
Dosis de amonio mayores a 35 % reducen la fotosíntesis en el cultivo de lechuga; pero en condiciones de otoño (temperatura y radiación menor que en verano), la aplicación de 35 % de amonio favorece la tasa de transporte de electrones y la asimilación neta de CO2 en el cultivo de lechuga.










nueva página del texto (beta)


